Artículos de investigación
El rol de la experimentación en la modelación matemática
The Role of Experimentation in Mathematical Modeling
El rol de la experimentación en la modelación matemática
Educación matemática, vol. 28, núm. 3, pp. 91-110, 2016
Editorial Santillana
Recepción: 02 Octubre 2015
Aprobación: 02 Agosto 2016
Resumen: La presente investigación tiene como objetivo describir el rol de la experimentación en el diseño de una clase de matemáticas para ingenieros basada en modelación matemática. La clase en particular es un curso de Ecuaciones Diferenciales (ED) que se imparte en segundo año en una institución privada del noreste de México. El estudio, de tipo cualitativo, detalla la manera en que la experimentación aporta elementos significativos para la mejor comprensión de la modelación de fenómenos eléctricos a través de las Ecuaciones Diferenciales, muy específicamente, alrededor del estudio de los circuitos eléctricos Resistencia-Capacitor (RC) y su respectivo estudio desde el punto de vista matemático y físico por medio del uso de tecnología específica. Los resultados encontrados revelan que la implementación de experimentaciones en una clase de matemáticas permite favorecer la construcción, interpretación y validación de los modelos matemáticos por los propios alumnos, los cuales son propuestos en clase de manera grupal en contraste con la enseñanza denominada tradicional, la cual se limita a la presentación de métodos para resolver ED sin ninguna conexión con la realidad.
Palabras clave: Modelación matemática, experimentación, Ecuaciones Diferenciales, Ingeniería.
Abstract: This research aims at describing the role of experimentation in the design of a mathematics course for engineers, which was based on mathematical modeling. The course is Differential Equations (ED), taught in second year in a private institution in Northeast Mexico. The study, in a qualitative approach, shows how experimentation provides significant elements for better understanding the modeling of electrical phenomena by Differential Equations, specifically, the study of electrical circuit Resistor-Capacitor (RC) and their respective study from mathematical and physical point of view through the use of specific technology. The results reveal that the implementation of experimentation in a math class allows the construction, interpretation, and validation of mathematical models by the students themselves, which are proposed in the course in a collaborative way as opposed to traditional teaching of this subject, which it is limited to the presentation of methods to solve ED without any connection to reality.
Keywords: Mathematical models, experimentation, Engineering Education, Differential Equations.
Introducción
La razón principal para la enseñanza de las matemáticas es la de formar alumnos capaces de aplicar las matemáticas y transferir estos conocimientos en una variedad de contextos y situaciones fuera de la escuela (Alsina, 2007). Cuando se trata de educación superior, los fines de la enseñanza de las matemáticas están ligados a los retos del mundo laboral futuro de los estudiantes (Camarena, 2008).
Una de las asignaturas de mayor importancia en la formación de ingenieros, por su amplia relación con fenómenos físicos y sociales, son las Ecuaciones Diferenciales. A pesar de ello, la enseñanza de esta materia ha estado subordinada a la memorización de procedimientos analíticos lo que ha llevado a la incomprensión de sus aplicaciones en los diversos contextos profesionales (Artigue, 1995; Blanchard, 1994).
Con el propósito de superar este tipo de prácticas, se inicia aproximadamente hace 40 años en la comunidad científica el estudio de la modelación matemática, la cual representa el proceso de construcción y uso de modelos matemáticos para la resolución de problemas aplicados en contextos cotidianos como profesionales.
Si bien han sido reportados ampliamente las competencias que este tipo de enseñanza de las Matemáticas basadas en la modelación desarrolla en los alumnos que aprenden Ecuaciones Diferenciales (Rodríguez & Quiroz, 2015) , el interés por comprender más en detalle la adquisición de dichas competencias sigue latente.
Los recursos de los cuales se puede valer la modelación matemática han aumentado debido a la incorporación de numerosa tecnología en el aula de matemáticas, entre ellos, software que simula diversos tipos de fenómenos (https://phet.colorado.edu/es/) o la propia experimentación de ellos de manera real (Rodríguez, 2015). El cuestionarse la importancia de la experiencia en una clase abstracta como las Matemáticas no es un tema del todo nuevo (Briand, 2011) y sin embargo, poco estudiado al día de hoy. Lo anterior conlleva a una serie de cuestionamientos sobre el impacto de dichos recursos en el aprendizaje de las matemáticas. En base a lo anterior, la presente investigación busca conocer el rol de la experimentación en dos etapas del ciclo de modelación: la construcción y uso de los modelos matemáticos. A través del diseño e implementación de una clase de Ecuaciones Diferenciales, se detallan los elementos que se ven influenciados por el armado de circuitos eléctricos (Resistencia-Capacitor, RC) para el aprendizaje del método analítico para resolver una ED Lineal de Primer Orden.
Primeramente son presentados los aspectos teóricos que sustentan el estudio. En segundo lugar se retoma la metodología seleccionada para dar paso a los resultados y las conclusiones a las que se llegaron.
Marco conceptual: la modelación matemática y la experimentación
Basados en los resultados de diversas investigaciones previas (Blum y Niss, 1990; Pollak, 1969; Trigueros, 2006), en el presente trabajo se entiende a la modelación matemática como el proceso cíclico consistente en la creación o uso de modelos matemáticos para la resolución de una problemática basada en fenómenos de naturaleza física o social relacionados con la realidad propia del quehacer profesional de los alumnos, en este caso futuros ingenieros. A pesar de que ha sido vista desde diferentes perspectivas, en este trabajo se retoma a la modelación como una estrategia didáctica de acuerdo con Kaiser y Sriraman (2006). En este sentido reconocemos que su rol apoya el aprender las matemáticas dentro del salón de clases en relación a problemas reales varios (Biembengut y Hein, 2004). El proceso de modelación matemática es detallado por Rodríguez (2007, 2010), quien esquematiza ocho etapas ubicadas en cuatro dominios presentados en la Figura 1. Se ilustran en el esquema, además del reconocimiento de un dominio real y uno matemático, la presencia de dos dominios más: el dominio pseudo-concreto y el dominio físico.

El dominio físico, conformado a su vez por dos etapas: Modelo Físico y Resultados Físicos, tiene su génesis en el reconocimiento de la importancia de la comprensión de los fenómenos físicos abordados en la problemática inicial. Así, la comprensión del problema planteado lleva a los alumnos a armar un Modelo Físico que eventualmente apoya la construcción del Modelo Matemático.
Se ha reportado (Henry, 2001) que la creación de un Modelo Matemático (como una ED) así como la generación de sus resultados (búsqueda de solución) es una de las etapas más difíciles de lograr por los alumnos. Entre las principales problemáticas reportadas para dicho logro se encuentran la falta de comprensión de la problemática inicial o la carencia de conocimiento sobre los fenómenos físicos que se buscan modelar (Blum y Borromeo, 2009). La comprensión de los fenómenos físicos podría verse beneficiada por la introducción de experimentos en el aula. Su práctica es posible gracias al gran auge tecnológico que llevó a las matemáticas a convertirse en una disciplina empírica como lo señala Borwein (2003). En ciencias, han sido ampliamente reportados los beneficios del uso de experimentos en clase, donde los alumnos tienen oportunidad de: a) obtener experiencias para desarrollar el pensamiento científico; b) verificar sus explicaciones y extraer conclusiones de sus preguntas; c) generar sentido crítico; d) despertar la curiosidad y observación; y e) propiciar el cuestionamiento de su entorno natural y social (García y Calixto, 1999).
Por su parte Navarro (2012) agrega a estas razones, el que la experimentación en el aula de ciencias: a) apoya la construcción del conocimiento por medio de visualizaciones; b) apoya la motivación; c) provoca una mejor comprensión y asimilación de conceptos; y d) favorece el trabajo grupal y colaborativo.
A pesar de ello, los experimentos en el aula de matemáticas no han sido el común denominador en el diseño de lecciones de los profesores. Algunas de las investigaciones relacionadas han mostrado las competencias globales de modelación matemática que los alumnos desarrollan, con o sin el apoyo en tecnología (Houston, 2007; Maaß, 2006; Rodríguez, 2015; Rodríguez & Quiroz, 2015; Singer, 2007). Sin embargo, son pocos los resultados que muestren la manera en que este tipo de actividades pudieran apoyar a la modelación matemática, específicamente en la etapa crucial del armado o uso de modelos matemáticos. En aras de comprender esta relación, se presenta en la siguiente sección el marco contextual de la investigación así como su metodología.
El objetivo general de la investigación consiste en determinar el rol de la experimentación en el armado y construcción del Modelo Matemático en un curso de ED basado en la modelación matemática. Además nos interesa definir el rol de la experimentación en la secuencia didáctica diseñada así como los retos que implicó su ejecución en el aula.
Marco contextual: el contexto de los circuitos eléctricos
Desde el 2008, la enseñanza de las ED en la universidad en la que se realiza la investigación, ha sufrido una reestructuración desde su currículo. El curso basa su enseñanza en la modelación matemática de diferentes fenómenos tanto físicos como sociales. Entre ellos, fenómenos eléctricos, mecánicos, térmicos, así como fenómenos sociales como el crecimiento de población, esparcimientos de virus o crecimiento de capital. En la mayoría de las lecciones implementadas, se ha incorporado múltiple tecnología de acuerdo con las características de cada contenido matemático. El uso de diverso material tecnológico ha posibilitado que los alumnos experimenten fenómenos eléctricos en el aula así como el uso de simuladores.
El diseño de las lecciones ha sido conformado tanto por expertos en matemáticas así como con el apoyo de expertos en las áreas de ingeniería de cada uno de los contextos a modelar. Esto ha permitido el robustecimiento del curso así como una continua y enriquecedora comunicación entre disciplinas.
En el presente artículo se presenta con detalle la clase que corresponde a introducir el método analítico para resolver una ED Lineal de Primer Orden de la forma y´ + P(x) * y = Q(x). Se decide, debido a la enseñanza por medio de la modelación, que la clase inicie justamente en la necesidad de comprender la modelación de un fenómeno eléctrico en el cual se busca conocer el cambio respecto al tiempo de la carga de un capacitor (C) de un Circuito Eléctrico Resistencia-Capacitor.
La sesión ha sido implementada desde hace 4 años aproximadamente y ha tenido mejoras continuas a través de las experiencias con alumnos y maestros. La presente investigación busca el análisis de la última versión de dicha sesión. En la secuencia de clase se diseñaron siete secciones (actividades) que estuvieron en relación con el proceso de modelación matemática descrito anteriormente en la figura 1. Se describen a detalle en la sección de metodología cuando se presenta la secuencia didáctica tal y como fue implementada.
Metodología de la investigación
Las investigaciones cualitativas tienen el propósito de comprender la situación problemática abordada desde el punto de vista de quienes la experimentan (Hernández, Baptista, y Fernández, 2010). Con la intención de analizar la complejidad de algunos casos particulares dentro del contexto que se presenta, se utiliza un enfoque de Estudio de Casos (Stake, 2005). En específico, el estudio de casos se denomina embebido, puesto que de acuerdo a Yin (2003), éste tiene la particularidad de elegir más de un caso pero siguiendo subunidades lógicas que serán analizadas en detalle.
Nos interesa determinar la manera en que la experimentación apoya la creación y uso de modelos matemáticos lo cual permitirá, eventualmente, reflexionar sobre los retos que conlleva su implementación en una clase de ED. En concordancia con el marco teórico presentado en la sección anterior, se eligieron las unidades de análisis (los diálogos entre los mismos alumnos y documentos generados por ellos) que dieran pie a la producción y estudio de los datos, aunque siempre con un carácter flexible como lo señala Stake (2005). Las unidades de análisis estuvieron en concordancia con los siguientes propósitos, de caracterizar:
El rol de la experimentación en la actividad de los alumnos donde fue implementada la secuencia didáctica diseñada.
Los retos que implicó la ejecución de la experimentación en el aula.
La población de la investigación fue conformada por 46 estudiantes de diversas ramas de la ingeniería que cursaban la materia de ED en el semestre agosto-diciembre 2015 (2 grupos). La elección de la muestra estuvo basada en criterios propios de un estudio de casos, donde fue necesaria una reflexión sobre el número de réplicas para recolectar la información a ser analizada (Yin, 2003). Con el propósito de ser exhaustivos en el análisis de las transcripciones, se seleccionaron seis casos (agosto-diciembre 2015), correspondientes a dos equipos de trabajo. Su elección fue de manera aleatoria entre los 14 equipos de trabajo.
La secuencia de la actividad experimental ocurre en una sesión de clase de 1.5 horas de duración. La secuencia de actividades estuvo determinada siguiendo las etapas del ciclo de modelación de Rodríguez (2007, 2010). A continuación se presenta a detalle la secuencia de actividades en esa sesión y en la Figura 2 se representan las actividades ubicadas en el esquema de modelación matemática.

Actividad 1. La actividad uno presenta la situación problema (Situación Real dentro del ciclo de modelación). La situación gira en torno a cuestionarse en conocer cómo está cambiando la magnitud "carga de un capacitor" en un circuito RC respecto al tiempo. Durante los primeros minutos de la clase, se presenta una breve introducción al tema de circuitos mediante una charla con expertos en la divulgación de la ciencia y/o de ingenieros expertos en el área. Esto supone la mayor parte del tiempo, la presencia de colaboradores externos en la clase para la adecuada presentación del tema. Durante la charla, los alumnos discuten ideas que los llevan a iniciar la propuesta de un Modelo Pseudo-Concreto.
Actividad 2. Es durante esta actividad donde se empieza a incorporar el uso de tecnología en el aula. De nuevo, esta actividad busca que los alumnos vivan la Situación Real e inicien con la creación de un Modelo Pseudo-Concreto. Se invita a los alumnos a construir un circuito RC con material que el profesor lleva a la clase. El experimento que los alumnos realizaron fue diseñado por la profesora responsable del grupo en colaboración con expertos en física e ingeniería eléctrica y robótica. Los materiales que incluía el experimento fueron: a) 1 sensor de voltaje; b) 1 computadora; c) 1 Lab quest mini (dispositivo entre el sensor y la computadora); d) 1 cable adaptador; e) un juego de 4 baterías (1.5 volts = 6 volts; f) 1 resistencia; g) 1 capacitor; h) tres cables conectores. El material mencionado se distribuyó en cada equipo de trabajo, conformado por tres estudiantes. A cada uno se le proporcionó un protocolo de práctica de laboratorio previamente realizada por el docente donde se les indicaba las instrucciones para realizar las diversas conexiones (ver Figura 3).

Actividad 3. En esta actividad los alumnos pueden obtener mediante la tecnología los Resultados Físicos y Resultados Pseudo-Concretos de la situación que se presentó en un inicio. Se pidió el armado del circuito y la generación de gráficas que se forman por la carga y descarga del capacitor con apoyo del sensor de voltaje. Se propició una discusión grupal con el fin de iniciar una interpretación de las gráficas proporcionadas por el sensor. Algunos ejemplos son mostrados en la parte inferior (ver Figura 4):

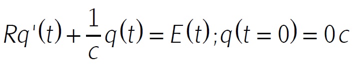
Actividad 4. Los resultados arrojados por el sensor apoyan la construcción del Modelo Físico y Modelo Matemático. Se propicia la discusión grupal de sus conocimientos previos que buscará iniciar la construcción de un modelo de ED para representar el cambio de la carga del circuito eléctrico RC. La ED es: 
Actividad 5. En el ciclo de modelación, la etapa de Estudio Matemático está representada en esta actividad. Se introduce la deducción del método analítico de una Ecuación Diferencial Ordinaria (EDO) lineal de primer orden. En algunas ocasiones, éste ya ha sido presentado previamente y sólo se procede a la resolución matemática de la ED propuesta con anterioridad.
Actividad 6. Por último se permite al alumno que confronte sus resultados del Modelo Matemático con los resultados que la tecnología propició, es decir, el Modelo Situación Real. Con los resultados obtenidos (solución general y particular) del modelo teórico, se solicita evaluar el Modelo Matemático que había sido propuesto con la información obtenida del armado del circuito. Se compara este análisis con las gráficas obtenidas por el sensor y la respuesta analítica de la carga. La forma de la solución general es:
.
Actividad 7. Se reflexiona de manera general sobre el proceso de experimentación y modelación; además se discute sobre las diferencias entre lo expresado analíticamente y la experimentación realizada.
La recolección de información de los casos fue suficiente para alcanzar un nivel de comparabilidad y estudio exhaustivo del fenómeno que permitiera la validación de las conclusiones (Stake, 2005). En ella se usaron dos fuentes de información: los diálogos entre los mismos alumnos y los documentos generados, es decir, los registros escritos que fueron realizados por los estudiantes durante la sesión. La recolección de la información utilizó tres técnicas importantes:
Instrumento A. La observación participativa en 3 sesiones previas, durante y posterior a la implementación en cuestión. La observación fue videograbada y transcrita para su análisis a detalle en los dos grupos donde se llevó a cabo la experimentación.
Instrumento B. El análisis de documentos producidos en estas 3 clases (protocolo de práctica y ejercicio) y/o tareas posteriores.
Instrumento C. Una encuesta previa para conocer el conocimiento y la familiaridad de los 46 alumnos sobre el contexto eléctrico.
Instrumento D. Una encuesta final del curso (46 estudiantes) donde se les preguntó en especial sobre el impacto del uso de experimentación en su aprendizaje de las ED.
Instrumento E. La transcripción de la entrevista de 6 de los 46 alumnos durante el semestre agosto-diciembre 2015. Las entrevistas fueron videograbadas y transcritas para su análisis a detalle.
El análisis de la información buscó examinar, categorizar, tabular, evaluar y recombinar evidencia, siempre guiados por las proposiciones iniciales del estudio (Yin, 2003). La triangulación óptima para el estudio de casos es la que confrontó las observaciones directas con la revisión de registros y la metodología planteada (Stake, 2005).
La validez de constructo fue seleccionada como la óptima para las investigaciones de esta naturaleza. Esta validez refiere a que los conceptos definidos en el marco teórico se reflejaron en los instrumentos utilizados (Concha, Barriga y Henríquez, 2011). De esta manera, fue por medio de la concepción de modelación matemática y sus diferentes etapas y transiciones, como se pudieron confeccionar los instrumentos para la recolección y posterior análisis de los datos obtenidos. Para completar dichos instrumentos se utilizaron video grabaciones en las sesiones de recolección de datos. (Yin, 2003).
Presentación y discusión de los resultados
Los resultados muestran que la puesta en marcha de la experimentación tuvo dos roles importantes. En primer lugar, la manipulación de los diversos materiales que conformaban un circuito eléctrico vivenció un acercamiento hacia un fenómeno que pocos alumnos de la clase han tenido oportunidad de apreciar. Dentro del ciclo de modelación, el planteamiento de la Situación Real es de gran importancia puesto que representa el detonante de todo un proceso de creación de modelos matemáticos. Precisamente la tecnología permitió que los alumnos no sólo tuvieran un acercamiento al problema mediante su lectura, sino además, a través de la experimentación del mismo, mediante los materiales involucrados. Ello fue un factor de motivación durante la sesión.
De acuerdo con una encuesta previa (Instrumento c) realizada a los estudiantes antes de la sesión, menos del 45% de ellos tenían alguna experiencia con el armado de circuitos eléctricos en otras asignaturas y materias. Los alumnos expresaron asombro y motivación cuando se entregaron los elementos del armado. El apoyo en la motivación y la promoción de la curiosidad y la observación son dos roles atribuidos a la experimentación que están en concordancia con los resultados de García y Calixto (1999) y Navarro (2012).
Cinco de las preguntas de la encuesta final (Instrumento D) estuvieron encaminadas a la indagación de la percepción de los alumnos respecto a la utilización de diferentes recursos tecnológicos en el aula. Resalta la pregunta número 3 de la encuesta, donde los alumnos muestran la valoración que le asignan al uso de sensores en el aprendizaje de las ED. Las respuestas de 46 alumnos encuestados en una escala tipo Likert, muestra que 91.1% consideran que la experimentación en clase favoreció el aprendizaje de las ED en diversas formas.

Algunos de los comentarios registrados al momento de las entrevistas (instrumento e) con los alumnos se registran a continuación.
A3: Sí, es muy diferente simplemente ver los problemas en papel que realmente observar el fenómeno y comparar el desarrollo teórico con la práctica, porque así se materializa lo que vimos en clase y te das cuenta de su utilidad.
A6: Definitivamente sí fue de ayuda el uso de experimentos debido a que me los puedo imaginar sin ningún problema y en consecuencia la visualización y el planteo de la ecuación no se vuelven tan complicados.
A8: Sí. Ver personalmente que tus predicciones son certeras y que en verdad estás entendiendo cómo funciona el mundo es una experiencia que no siempre se tiene.
A10: La actividad de circuitos fue muy padre, ya que tiene un uso más práctico que solo medir temperatura.
A22: Definitivamente sí, me es más fácil aprender basándome en ejemplos que acontecen en la vida cotidiana debido a que me los puedo imaginar sin ningún problema y en consecuencia la visualización y el planteo de la ecuación no se vuelven tan complicados.
Los resultados de los instrumentos analizados muestran, que la experimentación aunada con la charla inicial con los expertos, permitió a los alumnos iniciar su planteamiento del Modelo Pseudo-Concreto y del Modelo Físico. Las palabras mismas que utilizaban para explicarse la situación que estaban vivenciando fueron indispensables al momento de hacer una acercamiento a la modelación matemática. Ello conlleva al segundo de los roles que tuvo la tecnología en el proceso de modelación.
El segundo rol que tuvo la experimentación en el aula fue permitir una mejor comprensión y asimilación de los conceptos matemáticos en juego (ED, su solución, estabilidad de la misma, etc.) por los alumnos. Esto está determinado por la actividad número cuatro, que estuvo encaminada a la formación de un Modelo Matemático a través de un Modelo Físico. En la discusiones generadas por los estudiantes, el Modelo Matemático estuvo fuertemente ligado con la propia experiencia a través del manejo de los circuitos eléctricos y los simuladores. Uno de los principales debates giró en torno a la interpretación de las gráficas del sensor versus el comportamiento de la carga del capacitor en tiempo (Situación Real).
En el inicio de la clase, los alumnos de ambos equipos analizados dibujaron, de acuerdo con sus ideas previas, dos gráficas diferentes como se muestra en la Figura 6. El docente buscó siempre el debate de ideas sin validar alguna de ellas.
Dentro de estas interacciones se aprecia como el Estudio Matemático, parte importante del proceso de modelación, no se limita a la respuesta analítica de las ED, sino que permite el análisis cualitativo de representaciones gráficas. Ello conlleva a una posterior generación de ideas para su discusión y validación de las respuestas analíticas.

La construcción del circuito eléctrico RC en cuestión, permite el diálogo continuo y que los alumnos confrontaran sus ideas iniciales de lo que ocurriría con lo que sucede en la realidad. En las conversaciones registradas, se evidencia que al final de la sesión los estudiantes muestran un manejo correcto de los términos propios del contexto eléctrico (carga, descarga, capacitor, resistencia, etc.) y una mejor comprensión de lo que ocurre en el fenómeno estudiado en relación al tema matemático mostrado en la clase (ver Figura 7). Es importante señalar que los 2 ejemplos de gráficas mostradas en la Figura 6 no es la gráfica que realmente refleje lo ocurrido en el circuito (ver respuesta en Figura 4). Sin embargo, el hacer vivir una actividad de experimentación en una clase de matemáticas (que no es lo usual) ayuda a que los alumnos entiendan el significado de una solución particular de la ED y que vislumbren el apoyo importante de los métodos analíticos para encontrar estas expresiones matemáticas. El sensor deja ver la gráfica y una tabla numérica de comportamientos pero nunca la expresión matemática de la solución analítica.

De esta manera, las explicaciones que los estudiantes proporcionaron, eran verificadas por ellos mismos después de observar el circuito eléctrico. Esto dentro del ciclo de modelación es posible apreciarlo en la parte de Confrontación del Modelo de la Situación Real. De esta manera, no era el mismo docente quien validaba las respuestas de los equipos, sino que la misma tecnología orientaba una discusión cuando no había congruencia por los resultados del modelo analítico. Por ello, se identificó el desarrollo de un sentido crítico, muy relacionado con lo afirmado con Navarro (2012), puesto que incluso las explicaciones ofrecidas por los expertos en el tema hicieron dudar a los alumnos quienes buscaban continuamente la constatación que estos supuestos fueran ciertos:
Docente: (Después de mostrar las gráficas de varios equipos) Entonces la carga debe comportarse de manera exponencial.
A6: A nosotros no nos queda así, así no carga nuestro capacitor.
Docente: Tal vez los cables tienen un problema
A4: Pero si funcionó hace un momento ¿no puede ser que haya diferencias entre la manera de cargarse cada uno de los circuitos?
La evidencia recolectada y triangulada, correspondiente al segundo objetivo específico, mostró que el armado del Modelo Matemático estuvo vinculado a la realización del experimento. Los alumnos comprendieron lo que ocurría cuando el circuito eléctrico era cerrado por ellos mismos, ello fue evidenciado con las explicaciones de los mismos estudiantes respecto a las gráficas que se generaron:
A2: ¿Qué representa la asíntota en la gráfica?
A1: La asíntota es el voltaje total de las baterías.
A3: Pero como una batería no estaba muy nueva no se alcanzó el voltaje máximo teórico.
Esta comprensión los llevó a proponer un Modelo Matemático para explicar el fenómeno en ambos equipos. Los alumnos eligieron correctamente los elementos que componen la ecuación diferencial gracias a los materiales previamente manipulados en la experiencia. Cuando los estudiantes mostraron los modelos creados por los equipos se permitió que el grupo no solamente debatiera el modelo correcto sino también la forma de su solución de manera analítica:
Docente: ¿Cuál es la función de la solución que acabamos de ver?
A4: Exponencial.
Docente: ¿Más ideas?
A5: Raíces.
A6: Es que nos dijeron que tarda tiempo infinito en cargarse, debe ser exponencial.
Docente: Muy bien. Lo que vimos en el sensor es que la solución es exponencial, ¿cómo se resuelve analíticamente?
A1: Con lineal (refiriéndose al método para resolver una ED lineal).
Una parte importante de la clase fue la promoción de una reflexión entre la solución analítica y la gráfica que había sido generada por los sensores. Las explicaciones de los alumnos mostraron la comprensión del fenómeno tanto física como matemáticamente (ver Figura 8).

Es necesario reconocer que los resultados muestran que el trabajo en equipos fue determinante en el proceso de construcción y de discusión de ideas entre los alumnos, ello acorde con lo expuesto por Hitt (2003). Por ejemplo, un caso particular donde un estudiante tuvo como primera idea el que la solución era de tipo raíces, pudo comprobar que estaba en un error cuando sus mismos compañeros debatieron con él la idea de que la gráfica se acercaba más a una exponencial. El uso de la tecnología brindada por el sensor brindó elementos importantes que dieron fundamentos a los argumentos de los alumnos. El rescate de sus conocimientos previos, el armado del propio circuito, y las estrategias para su resolución, representaron aspectos ricos en ideas que llevaron a una evolución conjunta de los saberes de los alumnos.
Respecto al segundo objetivo específico, los retos que implicó el poner en marcha la experimentación en el aula fueron múltiples. En primer lugar demandó para el docente el trabajo previo diseñando la actividad más adecuada al contenido matemático elegido. Una vez seleccionada, se inició la búsqueda de un problema preciso y que fuera factible su manipulación en el aula de clases. En un segundo momento, uno de los retos del docente estribó en el constante cuestionamiento de las ideas iniciales de los alumnos para lograr una construcción de su conocimiento. Las interacciones del docente con los alumnos fueron cruciales para el desarrollo del armado físico del circuito eléctrico y en la conformación de los modelos que lo describían, así como lo señalan Quiroz (2015) y Quiroz, Hitt & Rodríguez (2015).
Por último, contrario a lo esperado por los profesores; el uso de la tecnología por los alumnos no representa un reto difícil de superar. La práctica brindada por la docente con las instrucciones del armado permite el reconocimiento y la utilización de los distintos materiales por los alumnos. Sin embargo, una vez generadas las gráficas por el sensor, el principal reto originado por el experimento fue la búsqueda de explicaciones tanto en el ámbito físico como matemático de los resultados encontrados.
Conclusiones y recomendaciones para futuras investigaciones
La experimentación en el aula de clases ha mostrado de antemano importantes aportaciones para la comprensión de las ciencias. Sin embargo, en el aula de matemáticas no es común su aplicación. La presente investigación mostró cómo la experimentación no solamente tiene cabida en una clase de matemáticas sobre todo si está basada en modelación matemática, sino que además la experimentación en la clase por los estudiantes es determinante en el proceso de dotar de nuevo significado a los estudiantes sobre las nociones matemáticas en juego.
Sin embargo, los resultados presentados abren más interrogantes sobre la misma aplicación de la experimentación. Por ejemplo, la relación que pudiera existir entre una experimentación física en el aula o aquella que utiliza simuladores, puesto que no siempre es posible proporcionar a los alumnos el material adecuado. Por otro lado, los elementos utilizados para el diseño de la actividad, en concordancia con el ciclo de modelación, podría apoyar el diseño de otras clases donde se emplee la experimentación en diferentes cursos de matemáticas.
Los resultados de la presente investigación pretenden formar la base de más estudios preocupados por el rol y los retos de la experimentación en una clase de matemáticas basada en la modelación matemática. Consideramos que el uso.de este tipo de actividades en el aula apoya no solamente la comprensión de los conceptos matemáticos sino también ayuda a promover la motivación de los estudiantes al percibir su relación con su vida cotidiana.
La búsqueda de estrategias que combinen, en el aprendizaje de las matemáticas, los contenidos y sus aplicaciones brindan oportunidades a los alumnos de reconocer la utilidad de esta asignatura en contextos propios de su vida cotidiana. Esta búsqueda es indispensable en la formación de ingenieros, quienes deben ser capaces de dar solución a las problemáticas profesionales a las que se enfrentarán en sus áreas laborales.
Finalmente, es necesario reconocer la labor determinante del docente en la elección, diseño o adaptación y puesta en escena de actividades experimentales en el aula. Por tanto, el trabajo con los docentes ha de ser un aspecto primordial si se busca la diseminación de este tipo de actividades en las aulas de clase. Investigaciones recientes han mostrado metodologías que combinan el trabajo investigador-docente y cuyos resultados pudieran tomarse en cuenta para el seguimiento del estudio de la experimentación en matemáticas.
Referencias
Alsina, C. (2007). Less Chalk, Less Words, Less Symbols... More Objects, More Context, More Actions. In Blum, W., Galbrait, P.L., Henn, H.W. & Niss, M. (Eds.). In The 14th ICTMI study: Modelling and Applications in Mathematics Education. Berlin: Springer. pp. 35-55.
Artigue, M. (1995). El lugar de la didáctica en la formación de profesores. En Gómez, P. (Ed.), Ingeniería didáctica en educación matemática. Un esquema para la investigación y la innovación en la enseñanza y el aprendizaje de las matemáticas. Bogotá, Colombia: Grupo Editorial Iberoamérica. pp. 7-23.
Biembengut, M., y Hein, N. (2004). Modelación matemática y los desafíos para enseñar matemática. Educación Matemática, 16(2), 105-125.
Blanchard, P. (1994). Teaching Differential Equations with a Dynamical Systems Viewpoint. The College Mathematics Journal, 1(25), 385-393.
Blum, W., & Borromeo, R. (2009). Mathematical Modelling: Can it Be Taught and Learnt? Mathematical Modelling, 1(1), 45-58.
Blum, W., & Niss, M. (1990). Applied Mathematical Problem Solving, Modelling, Applications, and Links to other Subjects. State, trends and issues in mathematics instruction. Educational Studies in Mathematics, 22(1), 37-68.
Briand, J. (2011). El lugar de la experiencia en la construcción de las matemáticas en la clase. Educación Matemática, 23(1), 5-36.
Borwein, J. (2003). Mathematics by Experiment: Plausible Reasoning in the 21 Century Burnaby, Canada: Council of Canada.
Camarena, P. (2008). Teoría de la matemática en el contexto de las ciencias. En Actas del III Coloquio sobre Enseñanza de las Matemáticas. Lima, Perú, pp. 2-17.
Concha, V., Barriga, O., y Henríquez, G. (2011). Los conceptos de validez en la investigación social y pedagógico. Revista Latinoamericana de Metodología de las Ciencias Sociales1(2) 91-111.
García, M., y Calixto, R. (1999). Actividades experimentales para la enseñanza de las ciencias naturales en educación básica. Perfiles Educativos, 84(1), 11.
Henry, M. (2001). Notion de modèle et modélisation dans l'enseignement. In Henry, M. (Ed.), Autour de la modélisation en probabilités. Besançon: Commission Inter-IREM Statistique et Probabilités. 149-159.
Hernández, R., Baptista, P., y Fernández, C. (2010). Metodología de la investigación. México, D.F.: McGraw-Hill.
Hitt, F. (2003). Le caractère fonctionnel des représentations. Annales de Didactique et de Sciences Cognitives, 8(1), 255-271.
Houston, K. (2007). Assessing the "Phases" of Mathematical Modelling. In Blum, W., Galbrait, P.L., Henn, H.W. & Niss, M. (Eds.). The 14th ICTMI study: Modelling and Applications in Mathematics Education. Berlin: Springer . pp. 249-256.
Kaiser, G., & Sriraman, B. (2006). A Global Survey of International Perspectives on Modelling in Mathematics Education. Zentralblatt für Didaktik der Mathematik, 38(3), 302-310.
Maaß, K. (2006). What are Modelling Competencies? Zentralblatt für Didaktik der Mathematik 38(2), 113-142.
Navarro, E. (2012). La experimentación científica en Secundaria. Argumentos para llevarla a cabo. Revista digital de educación y formación del profesorado (I), 1-8.
Pollak, H. (1969). How Can We Teach Applications of Mathematics? Educational Studies, 2(2), 393-404.
Quiroz, S. (2015). Concepciones de modelación matemática de docentes en formación de educación primaria. (Disertación doctoral sin publicar). Tecnológico de Monterrey, México.
Quiroz, S., Hitt, F. et Rodríguez, R. (2015). Évolution des conceptions du processus de modélisation mathématique de futurs enseignants du primaire. Annales de Didactique et de Sciences Cognitives, 20.
Rodríguez, R. (2007). Les équations différentielles comme outil de modélisation mathématique en Classe de Physique et de Mathématiques au lycée: une étude de manuels et de processus de modélisation d'élèves en Terminale S. Sciences. (Disertación doctoral sin publicar) Joseph Fourier Grenoble I, Francia.
Rodríguez, R. (2010). Aprendizaje y enseñanza de la modelación: el caso de las ecuaciones diferenciales. Revista Latinoamericana de Matemática Educativa, 13(4-1), 191-210.
Rodríguez, R. (2015). A Differential Equations Course for Engineers Through Modelling and Technology. In Stillman, G. Blum, W. & Biembengut, A. (Eds.) Mathematical Modelling in Education Research and Practice. Cultural, Social and Cognitive Influences, Blumenau: Springer. pp. 545-555.
Rodríguez, R., & Quiroz, S. (2015). Developing Modeling Competencies through the Use of Technology. En Stillman, G. Blum, W. & Biembengut, A. (Eds.). Mathematical Modelling in Education Research and Practice. Cultural, Social and Cognitive Influences, Blumenau: Springer. pp. 443-452.
Singer, M. (2007). Modelling Both Complexity and Abstraction: a Paradox? Applications and Modelling in Mathematics Education. New York, Estados Unidos de América. pp. 233-240.
Stake, R. (2005). Qualitative Case Studies. In Denzin, N. & Lincoln, Y. (Eds.), The Sage Handbook of Qualitative Research 3a. ed., California: Sage Publications. pp. 443-466.
Trigueros, M. (2006). Ideas acerca del movimiento del péndulo: un estudio desde una perspectiva de modelación. Revista Mexicana de Investigación Educativa, 11(031), 1207-1240.
Yin, R. (2003). The Case Study Antology. California: Sage Publications