ARTÍCULOS DE INVESTIGACIÓN
Recepción: 20 Julio 2020
Aprobación: 21 Abril 2022
DOI: https://doi.org/doi.org/10.24844/EM3403.06
Resumen: En este artículo se reporta cómo estudiantes chilenos, de secundaria y universitarios, comprenden el Conjunto Solución de un Sistema de Ecuaciones Lineales de tres ecuaciones y dos incógnitas (CSSEL3x2). El estudio se sustenta en la teoría Modos de Pensamiento, con una metodología de Estudio de Caso, y el uso de la Estadística Implicativa. Como estrategia, se utilizaron ecuaciones equivalentes, para indagar en la influencia del concepto de dependencia lineal en el tránsito de las distintas maneras de concebir su conjunto solución. Se destaca en las respuestas de los estudiantes el uso del concepto de pendiente y la idea de combinación lineal como mecanismos para transitar entre los modos sintético-geométrico y analíticos asociados al CSSEL3x2. Se constató una desarticulación entre los distintos modos de pensar el conjunto solución cuando se incorporan parámetros a los coeficientes de las ecuaciones, lo que es particularmente notorio para el caso conformado por estudiantes que habían cursado Álgebra Lineal. Por otra parte, se aprecia que el concepto de dependencia lineal que se pone en juego en el análisis se restringe al caso de múltiplo escalar.
Palabras clave: Modos de pensamiento, Sistemas de ecuaciones lineales, Con-junto solución, Estadística implicativa.
Abstract: This article reports the Chilean high school and university students’ understanding of the Solution Set of a System of Linear Equations of Three Equations and Two Unknowns (CSSEL 3x2). The study is based on the theory of Modes of Thought, with a Case Study methodology and the use of Implicative Statistics. As a strategy, equivalent equations were used to investigate the influence of the concept of linear dependence on the path to the different ways of conceiving its set of solutions. The use of the concept of slope and the idea of linear combination as mechanisms to transit between the synthetic-geometric and analytical modes associated with the CSSEL3x2 stand out in the students’ responses. A disarticulation between the different ways of thinking the whole solution when parameters are incorporated to the coefficients of the equations was observed, which is particularly noticeable for students who had studied Linear Algebra. On the other hand, we show that the concept of linear dependence that is brought into play in the analysis is restricted to the case of scalar multiples.
Keywords: Modes of thought, Systems of Linear Equations, Solution Set, Impli-cative Statistics.
1. INTRODUCCIÓN
Los matemáticos babilónicos, griegos y chinos abordaron problemas en el ámbito del comercio y la agrimensura haciendo uso de Sistemas de Ecuaciones Lineales (SEL) (Andrews-Larson, 2015; Martzloff, 2006). Gracias al trabajo de esos matemáticos se desarrollaron métodos como el Fangcheng shu, similar al método Gauss-Jordan (Martzloff, 2006). Más tarde, entre los siglos XVII y XVIII, los SEL se utilizaron como herramienta para ajustar puntos de una curva. A finales de ese período Euler los estudió como un objeto matemático, pudiendo establecer que el tipo de solución de un SEL depende de la relación que se da entre las ecuaciones que lo constituyen. Ese proceso no estuvo exento de dificultades, ya que las técnicas algebraicas invisibilizaron los aspectos geométricos que se relacionan con el tipo de solución de un SEL. También fue el punto de partida para dar forma al concepto de dependencia lineal, el cual se formalizaría un siglo más tarde, más allá del ámbito de las ecuaciones lineales de un SEL (Dorier, 2000; Kleiner, 2007).
Considerando los antecedentes epistemológicos sobre los SEL y los aspectos matemáticos que se dieron a comienzos del siglo XX -como la consolidación del concepto de función y los avances de la teoría de conjuntos- podemos pensar en una articulación de los SEL con otras nociones matemáticas tales como matriz, recta y plano, por nombrar algunas. Lo anterior se sustenta en investigaciones que han reportado dificultades por parte de los estudiantes para comprender a cabalidad qué es el Conjunto Solución (CS) de un SEL (Borja, 2015; De Vries y Arnon, 2004; Manzanero, 2007; Ochoviet, 2009; Autor et al., 2019).
2. PROBLEMÁTICA Y ANTECEDENTES
La axiomatización del Álgebra Lineal (AL) mediante el concepto de espacio vectorial permitió la formalización, generalización y sistematización de conceptos tales como vectores, matrices y SEL, entre otras nociones (Artigue, 2003; Dorier, 2000; Kleiner, 2007). Cabe mencionar que, en el marco de la reforma de las matemáticas modernas que se inició a finales de los años 50, el AL pasó a ser un tema de enseñanza tanto a nivel escolar como universitario; las consecuencias que ello conllevó fueron publicadas por Bkouche et al. (1991). Lo anterior generó un programa de investigación en torno a la enseñanza y aprendizaje de los conceptos del AL a nivel escolar y universitario (Dorier y Sierpinska, 2002; Harel, 2000; Robinet, 1986) y, a su vez, propició la aparición de marcos teóricos ad hoc para estudiar los fenómenos asociados con el aprendizaje de dichos conceptos (Arnon et al., 2014; Sierpinska, 2000).
Con relación a los SEL, podemos indicar que son un contenido del currículo escolar en varios países de Latinoamérica, por ejemplo Argentina, Colombia y Chile. Dicho tópico está presente en programas de estudio a nivel universitario, fundamentalmente en cursos de AL para Ingeniería y estudiantes de Pedagogía en Matemática. Su enseñanza y aprendizaje ha sido motivo de variadas investigaciones, algunas de las cuales se han focalizado en estudiar las concepciones que tienen los estudiantes al resolverlos (Borja, 2015; Harel, 2000; Manzanero, 2007; Ochoviet, 2009; Autor et al., 2019; Trigueros et al., 2007).
Cabe indicar que la resolución de un SEL no está exenta de dificultades (Ochoviet, 2009). Avanzar en el entendimiento de estas, permitirá diseñar propuestas de aula para revertirlas. Ello ayudará, por ejemplo, a que más estudiantes universitarios puedan abordar con éxito problemas en el análisis, donde las rectas y planos son fundamentales para entender el concepto de derivada mediante funciones de una o dos variables (Artigue, 2003).
La enseñanza del álgebra, en general, y de los SEL, en particular, se dificulta por la arraigada costumbre de centrar su enseñanza y aprendizaje en lo práctico y mecánico, sin cautelar, por ejemplo, que la construcción de conceptos se realice con base en situaciones reales, donde se tenga un adecuado uso de los registros de representación semiótica, que conlleve a que los conceptos previos estén fundadamente adquiridos y que la habilidad operatoria esté desarrollada o en vías de desarrollo (Ochoviet, 2009; Oktaç y Trigueros, 2010).
2.1. Sobre los programas de estudio a nivel escolar
Actualmente en Chile, las Bases Curriculares establecen y orientan el hacer del Sistema Educativo Nacional con base en diferentes subsectores del aprendizaje (Ministerio de Educación [MINEDUC], 2011). El subsector de matemática se organiza a través de cuatro ejes temáticos, siendo Álgebra uno de ellos. Para dicho eje, en el nivel donde se atiende a estudiantes de entre los 14 y 15 años, se formulan dos objetivos de aprendizaje (OA) que hacen mención a los SEL. El primero de ellos establece “resolver sistemas de ecuaciones lineales (2x2) relacionados con problemas de la vida diaria y de otras asignaturas, mediante representaciones gráficas y simbólicas, de manera manual y/o con software educativo”. El segundo plantea “graficar relaciones lineales en dos variables de la forma ; por ejemplo: un haz de rectas paralelas en el plano cartesiano, líneas de nivel en planos inclinados (techo) […]” (MINEDUC, 2017, pp. 31 y 32).
2.2. Sobre los estándares referenciales para la formación de profesores de Matemática
El Estado de Chile está llevando a cabo lo que se conoce como Programa Inicia. Este considera estándares referenciales de desempeño para la formación de profesores de todas las disciplinas y una prueba para los egresados que incluye diferentes instrumentos. En esos estándares orientadores se explicitan indicado-res que dan cuenta de un dominio y desempeño para cada nivel disciplinar (MINEDUC, 2012). En la tabla 1 se presenta el estándar disciplinar y los correspondientes indicadores de desempeño para el tema SEL, que se han propuesto para la formación de los estudiantes de Pedagogía en Matemática.
2.3. El caso SEL 3x2 en el marco de esta investigación
La razón de enfocarnos en los SEL 3x2 es la necesidad de avanzar gradualmente en la identificación de aquellos elementos matemáticos que propician la comprensión del CSSEL desde el nivel de secundaria al de la enseñanza universitaria.
Sea V un K-espacio vectorial V, y sea E un conjunto de vectores de V, de cardinal n. Si n=2, que E sea linealmente dependiente se reduce a que cada vector es múltiplo del otro, y la combinación lineal correspondiente es solo del tipo ; si, por el contrario, , la dependencia lineal debe expresarse de la manera general. De allí que, en los SEL , la solución en ese caso se pueda encontrar directamente examinando si los vectores ortogonales a los hiperplanos determinados por las ecuaciones son múltiplos uno del otro, en cuyo caso las variedades lineales correspondientes al sistema no homogéneo ya sea que coinciden o bien no intersecan.
El caso de un SEL 2x2 necesita considerar tres vectores (bien sean los ortogonales a cada recta afín involucrada o, más naturalmente, sus vectores directores), y, en el caso no homogéneo, aparece una situación no prevista en el caso de 3x2: las rectas afines pueden intersecar a pares, pero sin encontrarse las tres en un punto. La situación es análoga para un SEL , y sugiere la compleja situación que puede ocurrir para un SEL , en el cual subconjuntos del conjunto de variedades lineales correspondientes a las ecuaciones podrían intersecarse, sin que el sistema tenga solución -es decir, que tenga solución vacía-.
El presente artículo indaga con profundidad en el SEL 3x2, que resulta relevante pues desde el caso de un SEL 2x2 los conceptos de variable, incógnita y parámetro ya entran en tensión, porque la idea de incógnita que se hereda de la resolución de ecuaciones de primer grado no es suficiente para comprender el CSSEL (Ursini y Trigueros, 2006). Por otro lado, dicha tensión se agudiza cuando las ecuaciones son equivalentes, hecho que dificulta a un estudiante obtener el CS con un método que ha sido exitoso en un SEL 2x2 (con el determinante de los coeficientes diferente de cero), pero que en un SEL 3x2 no lo es. Para atender esto último, se hace necesaria una aproximación diferente que incluya el concepto de función, como ya lo han planteado Sfard y Linchevsky (1994). En atención a lo que plantean Eslava y Villegas (1998) y Barrera (2008), la interpretación geométrica que hacen los estudiantes de un SEL 2x2 y 3x3, respectivamente, es insuficiente para comprender qué es la solución de un SEL. Por otro lado, cuando un estudiante llega por procedimientos algebraicos a expresiones del tipo 0 = 0 o bien 0 = p (p no nulo), ello le genera aún más dificultades para interpretar qué ocurre con las soluciones del SEL (Alcocer, 2007; Cutz, 2005; Ramírez, 2005).
2.4. Preguntas de investigación
En atención a los antecedentes y la problemática que hemos presentado en el apartado anterior, nos propusimos responder las siguientes preguntas de investigación:
¿Qué tipo de procedimientos, estrategias y argumentos despliegan estudiantes de Pedagogía en Matemática, estudiantes de Ingeniería y estudiantes de secundaria, al resolver un SEL 3x2?
¿Qué conocimientos matemáticos permiten a los estudiantes de Pedagogía en Matemática, estudiantes de Ingeniería y estudiantes de secundaria, articular las distintas maneras de concebir el conjunto solución de un SEL 3x2?
3. MARCO TEÓRICO
Para llevar adelante nuestra investigación, recurrimos al marco teórico Modos de Pensamiento (MP) de Sierpinska (2000), que provee los constructos necesarios para describir la manera en que un aprendiz comprende conceptos matemáticos que requieren de la abstracción, en un sentido piagetano (Arnon et al., 2014). En particular, los MP permiten identificar aquellas formas de comprender que afloran en un estudiante cuando aborda una determinada tarea matemática y, a la vez, nos ayudan a describir las diferentes conexiones que este puede establecer para transitar de un modo de pensar a otro, evidenciándose con ello un estado de compresión que ha adquirido respecto del conocimiento que está en juego.
Sierpinska (2000) identifica dos modos generales de pensar la matemática: (1) el pensamiento práctico que se genera con el fin de obtener algo en concreto y se interesa por la acción sobre los hechos concretos de la matemática, y (2) el pensamiento teórico que se produce en el hecho puro de pensar y se interesa en las relaciones sobre sistemas de conceptos de la matemática. Con la finalidad de hacer explícito el pensar teórico para el AL, Sierpinska (2000) describe con base en el pensar teórico y práctico tres modos de pensamiento: el Sintético Geométrico (SG), el Analítico Aritmético (AA) y el Analítico Estructural (AE). En el modo SG, el pensamiento procura describir el objeto que percibe de manera intuitiva, más allá de una definición o propiedades que lo caractericen. En el modo AA los objetos son presentados a través de relaciones aritméticas haciendo uso de -adas o ecuaciones. En el modo AE se utilizan axiomas, propiedades y teoremas que caracterizan al objeto matemático en cuestión. Cabe indicar que esos MP no son secuenciales ni revisten un grado de importancia uno respecto del otro. Sin embargo, en su conjunto, permiten a un estudiante acceder y comprender de manera profunda un concepto matemático, que en nuestro caso estará referido a los SEL 3x2.
Cabe precisar que para definir los MP de un SEL 3x2 se ha realizado un análisis teórico, en el cual hemos supuesto que una ecuación lineal en es una función proposicional de la forma con , es decir, es una relación binaria en . Por otro lado, determina un conjunto en denominado el gráfico de la función proposicional.
De acuerdo al resultado de una larga controversia de matemáticos y lógicos hacia 1910, se solía identificar la relación con su gráfico; en este caso, la ecuación se identifica con la recta por ella definida. Luego, un SEL 3x2 es , donde las funciones proposicionales están definidas en por con .
El conjunto solución de un SEL 3x2 está dado por: , es decir, el conjunto en que se intersectan simultánea-mente los gráficos correspondientes a las tres relaciones. Por tal razón, interesa diferenciar las posiciones relativas “genéricas” de tres rectas en el plano (cf. Rodríguez et al., 2019), que originan tres tipos de solución: vacía, reducida a un punto y, una recta. En atención a esto último, en la tabla 2 presentamos los diferentes MP que hemos considerado para abordar este estudio.

4. METODOLOGÍA
En este apartado damos cuenta del propósito de nuestro cuestionario que proponemos en la figura 1. Con él, quisimos estimular el uso de diferentes procedimientos matemáticos, estrategias y argumentos que son independientes del conocimiento matemático de los informantes que conformaron nuestros dos casos de estudio. Además, en la tabla 2, proponemos un análisis a priori de eventuales respuestas de nuestros informantes, que nos permitió establecer las categorías de análisis prospectivas que presentamos en la tabla 5.

Cabe indicar que el motivo de utilizar un único instrumento para la recolección de información, además de estimular el uso de diferentes procedimientos y estrategias, fue indagar si un estudiante puede combinar técnicas que se utilizan en un SEL 2x2 para resolver un SEL 3x2 o bien saber de qué manera dichas técnicas se activan cuando un estudiante utiliza el método de Gauss-Jordan cuando se incorporan parámetros a las ecuaciones de un SEL 3x2. Por otro lado, quisimos saber si el uso de parámetros en los coeficientes de un SEL 3x2 homogéneo estimula a un estudiante a articular los aspectos geométricos y algebraicos subyacentes a un SEL 3x2.
4.1. De la unidad de análisis y el cuestionario
Para esta investigación hemos considerado un estudio exploratorio, descriptivo y no correlacional mediante un estudio de casos (Stake, 2010). La muestra fue no probabilística y la conformaron estudiantes de secundaria (E), de Pedagogía en Matemática para secundaria (P) y de Ingeniería (I), que de ahora en adelante llamaremos informantes. Agregar un número correlativo a las letras I, E y P tuvo como propósito identificar a nuestros informantes dependiendo del caso de estudio en que se sitúan, lo que se detalla en la tabla 3.

Los estudiantes de Ingeniería formaban parte de un curso de álgebra que se dicta en el primer semestre de su carrera, asignatura que no incluye el tema SEL. Por otro lado, los estudiantes de secundaria cursaban el plan electivo de matemática, instancia al cual optan quienes desean estudiar una carrera universitaria del área científica. El criterio de selección de los escolares fue tener un buen rendimiento en la asignatura de Matemática del plan común. Nuestro Caso 1 representan la transición entre la enseñanza secundaria y la universitaria para observar de qué manera influye la matemática escolar en la resolución de un SEL 3x2; con este caso se buscó observar si es posible extrapolar técnicas para resolver un SEL 2x2 en uno de 3x2. Por último, cabe indicar que los estudiantes de Pedagogía en Matemática, Caso 2, ya habían cursado asignaturas como AL y geometría analítica, además de un curso de didáctica del álgebra y la geometría. Con el Caso 2 nos propusimos indagar cómo el conocimiento de AL incide en la resolución de un SEL y, por ende, en la comprensión del CSSEL 3x2.
4.2. Análisis a priori de las preguntas del cuestionario
En la tabla 4 presentamos una respuesta esperada para las cuatro preguntas de nuestro cuestionario, el que hemos adjuntado en los anexos. Para completar dicha tabla recurrimos a los antecedentes curriculares que se pueden revisar en los apartados 2.1 y 2.2.

4.3. Categorías de análisis para las preguntas del cuestionario
A continuación, en la tabla 5, proponemos algunos procedimientos matemáticos, estrategias y argumentos para cada una de las preguntas del cuestionario, en correlato con los distintos MP y, un eventual tránsito que hemos simbolizado con “⟷”, de acuerdo a la descripción de los MP que se proponen en la tabla 2. En particular, hemos destacado aquellos elementos que parecen indicar la presencia de un modo de pensamiento en el que el estudiante considera el objeto -en cualquier caso, el diseño del cuestionario es también una invitación a transitar entre uno y otro modo de pensamiento-. La tabla, entonces, nos sirve para poner atención a la presencia eventual de un modo de pensamiento particular en algún momento de la respuesta que un estudiante da al cuestionario.

Para analizar los datos utilizaremos las categorías de la tabla 5 y el Analyse Statistique Implicative (ASI) mediante el software Cohesive Hierarchical Implicative Classification (CHIC), versión 6.0 (Gras et al., 2008). Una de las motivaciones para el uso de este tipo de estadística obedece, fundamentalmente, a que ASI es un método exploratorio no simétrico que permite obtener indicadores tales como similaridad e intensidad de implicación, los que son calculados bajo un enfoque probabilístico. La similitud es una medida de correspondencia entre las variables que se clasifican jerárquicamente, utilizando la copresencia como criterio de agregación -en el sentido clásico del análisis de conglomerados-, el método provee de informantes que contribuyen a las clases significativos sobre un umbral que el investigador determina relevante. Por otro lado, la intensidad de implicación es una medida que se basa en el número de contraejemplos que invalida una implicación entre dos variables, en un sentido matemático clásico (Gras et al., 2008); con el grafo implicativo es posible establecer un vínculo directo con las categorías de análisis y el fenómeno que se estudia, en nuestro caso el tránsito entre los modos de pensamiento.
El árbol jerárquico de similaridad (dendograma) se forma de la manera habitual, esto es, comienza con cada variable formando una única clase y agrupando, sucesivamente, paso a paso, las dos clases más similares, hasta llegar a una única clase que agrupa todas las variables, siendo la interpretación de los grupos hallados el aspecto más importante del proceso. Adicionalmente, el árbol de similaridad destaca algunas clases como significativas, por la relación preponderante de los índices de similaridad entre las variables que se hallan reunidas en ellas (Gras et al., 2008). Una vez obtenida la colección de clases de variables similares, habiéndose formado cada clase de variables similares, se puede calcular un índice de contribución de cada informante a la formación de su respectiva clase. Con esos índices, se destaca el grupo de los informantes que más la ha manifestado. Una inspección detallada de esos informantes permite ahondar aún más en la descripción de la clase, así como indagar el posible efecto de otras variables (asociadas a las categorías de análisis) en su formación.
El grafo implicativo es la representación gráfica de las reglas de asociación entre parejas de variables. La fuerza de las reglas de asociación se suele medir mediante un índice llamado confianza, esto es, el porcentaje de individuos que cumple la regla de entre los que la podrían cumplir (por verificar el antecedente de la regla). Este indicador es útil para predecir si un individuo presenta el rasgo del consecuente, una vez se sabe que presenta el rasgo del antecedente. No obstante, cuando el rasgo consecuente es muy abundante en los informantes, no es evidente que su presencia se deba a un efecto causado por el antecedente de la regla. Así, el grafo implicativo representa las reglas cuyas intensidades superan un umbral (elegido por los investigadores, y que suele ser del 90%, 95% o 99%), y se deben interpretar como asociaciones implicativas estadísticamente significativas. A partir de estas asociaciones, distinguimos relaciones de causa y efecto, que se justifican a la luz de nuestras categorías de análisis a priori, y otras relaciones, que se puedan justificar adecuadamente, por ejemplo alguna relación ligada a un resultado de una investigación previa al estudio.
5. RESULTADOS
Para analizar las respuestas de algunos estudiantes al cuestionario, mostraremos fragmentos de sus respuestas. Luego formularemos algunas hipótesis basadas en conocimiento matemático previo para agrupar procedimientos y estrategias a priori. Posteriormente, con base en todos ellos, recurriremos tanto al árbol de similaridad como al grafo implicativo para validar, refutar o refinar aquellas hipótesis enunciadas.
5.1. Hipótesis sustentadas en las respuestas de los informantes I4, E3 y E4 al cuestionario: Caso 1
En la figura 2 se aprecia un extracto de la respuesta de I4 a la pregunta 1, quien asume que un punto común a dos rectas de un SEL es una solución. Además recurre al concepto de pendiente para escribir dos ecuaciones homogéneas de un SEL. El proceder de I4 sugiere un tránsito entre los modos SG y AA, al manifestar que dos rectas, cuyas pendientes son distintas, se intersectan en un punto solución, basándose en la solución de un SEL 2x2.

Por otro lado, E3 supone que la posición relativa de las tres rectas no aporta soluciones al Conjunto Solución SEL 3x2 (CSSEL3x2), como se aprecia en la figura 3. Además, escribe ecuaciones del SEL asignando valores a las variables, incluyendo una ecuación homogénea. Para las dos primeras ecuaciones considera el par ordenado (1, −1), para las dos últimas el par ordenado (2, −2) y, finalmente, para la primera y la última ecuaciones, el par ordenado (5, −5). E3, al hablar de intersecciones se aproxima al tema de manera SG, y procede a resolver el sistema, pensando en la propiedad que se cumple, es decir, AE. Sin embargo, el tránsito no le resulta, a nuestro parecer, por un posible obstáculo didáctico, proveniente de que el profesor se suele referir al modo SG con cierta imprecisión: “la solución se produce allí donde se intersectan”; de allí que no pueda transitar correctamente entre estos MP.

De igual manera E4 reconoce que la posición relativa de las tres rectas no aporta soluciones al SEL, como se observa en la figura 4. Aunque E4 no escribe un SEL, declara que mediante la ecuación de una recta es posible hacerlo. Dicho procedimiento -utilizar convenientemente un sistema de coordenadas rectangular para aplicar la fórmula “punto pendiente” y obtener la ecuación de la recta- favorece un tránsito entre los modos SG y AA. Con ello se refuerza la relación de un SEL 3x2 y la representación geométrica mediante los puntos de intersección de las rectas, lo que podría ser un camino para avanzar a la idea de solución en este tipo de SEL. En efecto, E4 se aproxima al tema desde el modo SG y, a nuestro parecer, el tránsito al modo AA es correcto, dado que, al intentar responder la pregunta, la cual comienza por pedir un sistema de ecuaciones que sea una instancia de la situación propuesta, escribe un sistema adecuado. Con ello E4 muestra claridad en cuanto al tránsito del modo SG al AA, cosa que E3 no tenía.

Por otro lado, como se aprecia en la figura 5, E3 responde a la pregunta 2 asignando valores a los parámetros de las ecuaciones de tal manera que los coeficientes de las ecuaciones sean múltiplos, declarando que las rectas vectoriales asociadas al SEL son coincidentes. Ello sugiere que la noción de múltiplo asociada a los coeficientes de las ecuaciones promueve un tránsito entre el modo SG y AA. Con ello se muestra que la proporcionalidad de los coeficientes y términos constantes en un SEL homogéneo conecta con rectas coincidentes (o paralelas, para el caso de que los términos constantes no lo sean).

En la figura 6 se presenta un extracto de la respuesta que dio E2 a la pregunta 3, quien se enfoca en el parámetro p de la primera ecuación para inferir que el CSSEL no puede ser vacío, en la posibilidad de existir proporcionalidad entre los coeficientes y términos constantes con la segunda ecuación. Cabe destacar que la idea de múltiplo en los coeficientes y términos constantes de un SEL, que incluye ecuaciones homogéneas y no homogéneas, permite activar un tránsito entre el modo SG y AA, relacionando rectas paralelas o coincidentes.

En la figura 7 se aprecia la respuesta que dio E3 a la pregunta 4, donde muestra que las dos últimas ecuaciones del SEL representan dos rectas paralelas. Además identifica coeficientes que son múltiplos.

Con base en los argumentos observables presentados por los informantes de estos casos, postulamos que la estrategia “asignar valores a expresiones algebraicas” permite escribir ecuaciones lineales de dos incógnitas a partir de rectas en un plano, en atención a lo realizado por E3. Dicha estrategia permite coordinar la elección de los coeficientes de las ecuaciones y las respectivas soluciones que se suponen a priori, hecho que refuerza la idea de solución de una ecuación lineal. Por otro lado, como lo indicó E4, proponemos que la estrategia de ubicar convenientemente las rectas en un sistema de coordenadas permite luego, vía procedimientos de la geometría analítica, determinar las ecuaciones de las rectas a partir de las coordenadas de los puntos pertenecientes a ellas que se obtengan en el plano. Pareciera que estas dos estrategias son indicio de los informantes que activan un tránsito entre los modos SG y AA. Con base en las dos estrategias anteriores, si se agrega la decisión de elegir un par de ecuaciones en un SEL3x2, hecho que también podemos realizar en un SEL n×2, aplicando en esa selección los métodos para un SEL 2x2 -como se evidenció en la respuesta de I4-, se obtendrían valores que deberían satisfacer a cada una de las ecuaciones del SEL n×2 para que sea declarada una solución del SEL 3x2. Esta última estrategia la hemos propuesto en el modo AA.
Otra hipótesis que se puede sustentar vía procedimientos algebraicos al resolver un SEL 3x2 con ecuaciones equivalentes, se relaciona con evocar la posición relativa de sus rectas para interpretar resultados imprevistos, a través de la pendiente y coeficiente posicional de la recta. En ese sentido destaca la respuesta de I4 a la pregunta 2, quien al resolver “por parejas” las ecuaciones del SEL 3x2 compara las pendientes de ambas rectas para interpretar el resultado 0 = 0.
El procedimiento realizado por I4 en la pregunta 2 nos lleva a proponer que el aplicar la propiedad “del producto nulo” permite establecer que un SEL homogéneo siempre incluye en su conjunto solución la solución trivial.
5.2. Respuestas de algunos informantes al cuestionario: Caso 2
En la figura 8 se muestran algunas de las posibilidades que P8 consideró para representar un SEL 3x2, con ello se muestra la confusión que este tiene para saber cuál de los puntos en común a las tres rectas es una solución de dicho SEL. Ello queda de manifiesto en el ejemplo que etiquetó como (5). Con ello P8 muestra, probablemente, que está influenciado por lo que ocurre en el caso de un SEL 2x2.

Por otro lado, como se aprecia en la figura 9, P12 logra mostrar las distintas posibilidades de representar geométricamente un SEL 3x2, lo que le permite determinar cuándo el CSSEL es vacío y también aquellos casos en que hay solución. Por último, P12 deja en claro que una solución es aquel punto común a todas las rectas que están relacionadas con el SEL. En la respuesta de P12 se evidencia una comprensión del CSSEL 2x3 en el modo SG, considerando que la dirección de las rectas no interfirió en el número de posibilidades que tuvo para representar un SEL 3x2.

Como se observa en la figura 10, P3 logra conciliar los aspectos geométricos y algebraicos ante la dificultad de los parámetros asociados a los coeficientes de las ecuaciones del SEL homogéneo de la pregunta 2, reparando en la solución trivial. Destacamos en la respuesta de P3 las relaciones que establece entre los coeficientes de las ecuaciones, para referirse al CSSEL. Con ello se muestra un eventual tránsito entre el modo SG y AA mediante las relaciones de proporcionalidad que se enuncian entre los coeficientes de las ecuaciones del SEL.

La figura 11 muestra que, para responder a una parte de la pregunta 2, P7 aplica operaciones elementales fila a la matriz ampliada, motivado por la presencia de parámetros en los coeficientes de las ecuaciones, pero no termina con éxito dicho procedimiento.

Por otro lado, en la figura 12 se aprecia un extracto de la respuesta de P7 a la pregunta 4, quien hace referencia explícita a la presencia de rectas paralelas cuando hay pares de ecuaciones con coeficientes que son múltiplos, hecho que lo lleva a suponer que el SEL no tiene solución.

En la respuesta de P9 a la pregunta 4 (figura 13), P9 logra escalonar la matriz ampliada y se refiere a la solución del SEL mediante el análisis de los rangos asociados a dicha matriz. Además, P9 complementa su respuesta, argumentando que ello se debe a la presencia de un par de ecuaciones que al tener coeficientes que son múltiplos no transforman un par (x, y) en el mismo número real. Lo anterior, sin hacer mención explícita a las propiedades de R como campo. Asimismo, en los argumentos mostrados por P9, se logra un trabajo activo en el modo AA mediante la noción de múltiplo.

En general, los argumentos mostrados por nuestros informantes mayoritariamente se instalan en el modo AA para resolver el SEL 3x2, y desde ahí transitan hacia los modos AE o SG.
En relación con el resto de los argumentos, sobresale la respuesta de P9 a la pregunta 4, porque en ella: (1) aplica correctamente el método de Gauss-Jordan, (2) compara las ecuaciones cuyos coeficientes generaron ceros en la matriz ampliada y, (3) interpreta ese hecho desde el campo de los números reales. Esta manera de proceder de P9 sugiere una articulación entre los modos AA y AE mediante las propiedades de suma y multiplicación del campo de los números reales.
Otra respuesta que destacamos es la de P11 a la pregunta 4. Con ella de base proponemos como hipótesis que las operaciones elementales de fila permiten escribir a través de matrices un SEL equivalente, con ecuaciones que contienen coeficientes que son múltiplos o combinación lineal de otras ecuaciones del SEL.
Estas maneras de proceder que se han mostrado para el Caso 2, sugieren una articulación de los modos SG y AE, dando paso a un tránsito entre la matemática escolar y la introducción al AL.
5.3. El Análisis Implicativo a las respuestas de los dos casos de estudio al cuestionario
Para analizar las respuestas del cuestionario asignamos un 1 para la presencia de nuestras categorías de análisis y un 0 para la ausencia de estas. Luego, mediante el uso del software CHIC, obtuvimos un árbol de similaridad y un grafo implicativo para aquellos informantes con conocimiento de AL, Caso 2, y aquellos informantes sin ese conocimiento, Caso 1.
5.3.1. Análisis global de los casos de estudio
En la tabla 6, considerando las distintas preguntas del cuestionario y los dos casos de estudio, presentamos un panorama global de la activación de los MP para cada uno de los integrantes en cada caso. Para ello hemos considerado un 1 para dar cuenta de la activación de un modo y/o el respectivo tránsito entre estos y un 0 para la no activación.

5.3.2. El árbol de similaridad y las categorías de análisis a partir de las clases significativas
En la figura 14 el árbol de similaridad para los informantes de los Casos 1 destaca 7 clases significativas que el software CHIC marca con un trazo rojo. Por otro lado, en la figura 15, el árbol de similaridad para los participantes del Caso 2 incluye 9 clases significativas.


La tabla 7 presenta información específica de las tres primeras clases significativas para cada árbol de similaridad. Cabe indicar que no hay un criterio que establezca cuál de esas clases significativas se debe analizar, sin embargo, para nuestro análisis hemos considerado un índice de similaridad igual o superior a 0,90. La elección de ese nivel de significación nos permite acceder a las categorías de análisis que son más representativas de nuestros dos casos de estudio.

En relación con el Caso 1, a partir de las categorías de la clase 1, se puede inferir que es altamente probable que algunos estudiantes consideren rectas coincidentes, aspecto que es necesario articular con el modo AA mediante relaciones proporcionales de sus coeficientes, para identificar ecuaciones equivalentes en un SEL. Por otro lado, de las categorías asociadas a la clase 6, podemos desprender que -para que el caso del SEL 2x2 no sea un obstáculo didáctico en la comprensión de la solución de un SEL 3x2- un estudiante debe transitar del modo AE al modo AA, asumiendo que una solución satisface simultánea-mente a cada ecuación, y que ello se observa en los puntos que coinciden con todas las rectas asociadas con el SEL -de lo contrario haría inestable la comprensión de lo que es el conjunto solución de un SEL 3x2-. Por último, la clase 9 permite agregar, a lo anterior, la importancia del tránsito del modo SG al modo AA para comprender el rol de las ecuaciones equivalentes en la comprensión del conjunto solución de un SEL.
Para el Caso 2, la clase 1 plantea la necesidad de simplificar el problema y analizarlo en términos de rectas vectoriales, aplicando luego técnicas para un SEL 2x2. De la clase 5 se puede ver lo relevante que son el paralelismo y las rectas vectoriales con ecuaciones homogéneas al interpretar las posibilidades de los parámetros. Por último, la clase 9 destaca el rol de los coeficientes proporcionales para identificar rectas paralelas y/o coincidentes desde ecuaciones homogéneas y no homogéneas. Con dichas clases se pone de manifiesto un modo AE basado en los rangos de las matrices.
5.2.1. Sobre el grafo implicativo
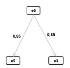
En el grafo implicativo de la figura 16 aparecen las implicaciones e6 → e5 y e6 →e3 que ponen de relieve las estrategias e3, e5 y e6. De la primera implicación se supone que hay informantes que relacionan rectas paralelas o coincidentes con ecuaciones cuyos coeficientes son proporcionales. En la figura 16 se presenta el grafo implicativo para las categorías de análisis en el Caso 1 y, en la figura 17, el respectivo grafo para el Caso 2. En particular se muestran aquellas implicaciones con un índice de implicación igual o superior a 0,85. Ese índice debe ser entendido como la probabilidad que se asocia al número de contraejemplos que debilitan la implicación 1 → 0, en un sentido clásico. Es ese el procedimiento que utiliza CHIC para desplegar implicaciones mediante un grafo implicativo, asignando un índice de implicación.


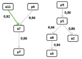
En el grafo implicativo de la figura 17 se aprecian dos grupos de implicaciones que incluyen procedimientos matemáticos y argumentos. Del primer grupo se desprenden las siguientes cadenas de implicaciones (a11 → a7 → p7) y (p6 → a7 → p7), a través de las cuales se evidencia lo conveniente que resultó resolver un SEL 3x2 cuando se mezclan ecuaciones homogéneas y no homogéneas agregando algunos parámetros a sus coeficientes, porque ante la dificultad de aplicar el método de Gauss-Jordan se puede recurrir a otros procedimientos matemáticos y/o activar los aspectos geométricos que están implícitos en la resolución de un SEL n×2. Por otro lado, en el segundo grupo, destacan las cadenas (p9 → p5 → a4 → a5) y (p9 → p5 → a2) que muestran qué tan probable resulta asociar los coeficientes de las ecuaciones de un SEL 3x2 con la posición relativa de sus rectas, al determinar si los coeficientes de las ecuaciones son proporcionales o no.
DISCUSIÓN
En primer lugar, hacemos notar que lo heterogéneo de los casos de estudio y el uso de un único cuestionario nos permitió identificar estrategias y procedimientos matemáticos que favorecen la articulación de los diferentes modos de pensar el CSSEL 3x2. Por otro lado, a través de los informantes fue posible mostrar una diversidad de posibilidades para representar un SEL 3x2; esto es, mediante rectas en un plano, matrices, combinaciones lineales de las ecuaciones, funciones proposicionales y otros, los informantes repitieron algunas de esas posibilidades o tuvieron dificultades para coordinar más de un modo de pensar los SEL 3x2. Lo último, en parte, debido a que la concepción de solución de algunos de esos informantes (I4, E3) está condicionada a que el modo geométrico es consecuencia de representar el modo AA en un gráfico cartesiano. Esto es consecuencia de técnicas utilizadas para resolver SEL 2x2 (Ochoviet, 2009), y de que los informan-tes de esta investigación tienden a generalizarlos a otros sistemas no cuadrados, como fue posible evidenciar en las respuestas de I4 y P8.
Además, durante el análisis de los documentos derivados de la aplicación del cuestionario fue posible constatar que algunos de los informantes, al resolver vía procedimientos algebraicos un SEL 3x2 con ecuaciones equivalentes, recurren a la posición relativa de sus rectas para interpretar resultados imprevistos, a través de la pendiente y coeficiente posicional de la recta. En ese sentido destaca la respuesta de I4 a la pregunta 2, quien al resolver “por parejas” las ecuaciones del SEL 3x2 compara las pendientes de ambas rectas para interpretar el resultado 0 = 0. Esta forma de proceder de I4 lo hace con base en su necesidad de acomodar el SEL 3x2 a su conocimiento previo de los CSSEL 2x2 (Sfard y Linchevsky, 1994).
Los estudiantes de Pedagogía en Matemática si bien conocen el método de Gauss-Jordan no logran utilizarlo con éxito para determinar el CSSEL 3x2 cuando se ven involucrados parámetros en las ecuaciones del SEL 3x2. Pese a esas dificultades, hay estrategias en los diferentes casos de estudio -como por ejemplo trabajar las ecuaciones del SEL 3x2 en parejas- y procedimientos auténticos a tener en cuenta en función de determinadas tareas para estimular la comprensión del CSSEL 3x2 y su paso al CSSEL n×2, las que a continuación presentamos según nuestros casos de estudio.
Casos 1: En los argumentos presentados por los informantes de este caso destaca la estrategia “asignar valores a expresiones algebraicas” para escribir ecuaciones lineales de dos incógnitas a partir de rectas en un plano, en atención a lo realizado por E3. Lo beneficioso de esa estrategia es que para su uso se deben coordinar la elección de los coeficientes de las ecuaciones y las respectivas soluciones que se suponen a priori, hecho que refuerza la idea de solución de una ecuación lineal. Por otro lado, como lo indicó E4, la estrategia de ubicar convenientemente las rectas en un sistema de coordenadas permite luego, vía procedimientos de la geometría analítica, determinar las ecuaciones de las rectas a partir de las coordenadas de los puntos pertenecientes a ellas que se obtengan en el plano. Nuestros informantes han dado muestras que activan un tránsito entre el modo SG y AA cuando trabajan con las dos estrategias que hemos señalado. Con base en las dos estrategias anteriores, si agregamos la decisión de elegir un par de ecuaciones en un SEL3x2, hecho que también podemos realizar en un SEL n×2, aplicando en esa selección los métodos para un SEL 2x2 -como se evidenció en la respuesta de I4-, se obtendrían valores x1, y1 que deberían satisfacer a cada una de las ecuaciones del SEL n×2 para que (x1, y1) sea declarada una solución del SEL 3x2. Esta última estrategia la hemos etiquetado en el modo AA.
Caso 2: En relación con el resto de los argumentos, destaca la respuesta de P9 a la pregunta 4, porque en ella: (1) aplica correctamente el método de Gauss-Jordan, (2) compara las ecuaciones cuyos coeficientes generaron ceros en la matriz ampliada, y (3) interpreta ese hecho desde el campo de los números reales. Esta manera de proceder de P9 sugiere una articulación entre los modos AA y AE mediante las propiedades de suma y multiplicación del campo de los números reales. Cabe mencionar que esta forma de proceder no fue evidenciada en los informantes del Caso 1, por el contrario, I4 en su respuesta a la pregunta 2 no logra aplicar la propiedad “absorbente del cero” para establecer que un SEL homogéneo siempre incluye en su CS la solución trivial.
Otra respuesta que destacamos es la de P11 a la pregunta 4, quien utiliza las operaciones elementales fila para escribir a través de matrices un SEL equivalente, con ecuaciones que contienen coeficientes que son múltiplos o combinación lineal de otras ecuaciones del SEL. Destaca además la respuesta de P3 en la pregunta 2, quien analiza los coeficientes de las ecuaciones del SEL, llegando a establecer relaciones de proporcionalidad y la posición relativa de las rectas que forman parte del SEL 3x2. Estas maneras de proceder que se han mostrado para este caso, sugieren una articulación de los modos SG, AE, dando paso a un tránsito entre la matemática escolar y la introducción al Álgebra lineal.
CONCLUSIONES
En relación con el referente teórico, para los tres modos de pensar de la tabla 3, se evidenciaron mecanismos que ayudan a articular el tránsito de los diferentes modos de pensar el conjunto solución de un SEL 3x2. Particularmente, entre los modos SG y AA podemos indicar -a la luz de nuestros casos de estudio- que ese tránsito se activa mediante los coeficientes de las ecuaciones y la posición relativa de las rectas asociadas al SEL; en cambio, el tránsito entre los modos AA y AE se produce mediante la noción de múltiplo; y la articulación entre los modos SG y AE se efectúa a través de las operaciones elementales fila haciendo uso de las propiedades del campo de los números reales. Ese último escenario nos muestra que la resolución de SEL 3x2 lleva implícitamente la articulación entre la matemática escolar de secundaria y la introducción de elementos del Álgebra lineal.
Por otra parte, destaca la relación que se dio entre los coeficientes de las ecuaciones de un SEL 3x2 con la pendiente de sus rectas y la posición relativa de estas en un plano, mediante la noción de múltiplo. Particularmente, a través de los coeficientes de las ecuaciones de un SEL homogéneo, se observó un predominio del modo SG. A su vez, se relacionaron rectas paralelas a una recta vectorial mediante una ecuación homogénea y sus respectivas ecuaciones no homogéneas.
Respecto del análisis estadístico mostramos la pertinencia del árbol de similaridad para clasificar categorías de análisis a priori y seleccionar estudiantes, que dicha técnica provee. Adicionalmente, usamos el grafo implicativo en el tránsito de los modos de pensar, y, de tal manera, ilustramos, además, su uso en la teoría.
En cuanto a las proyecciones de esta investigación, se hace necesario seguir indagando la manera cómo estos resultados ayudan a avanzar en el entendimiento del conjunto solución de un SEL n×2 desde el uso de las estrategias e interpretaciones que hacen diferentes estudiantes para abordar conceptos tales como la dependencia lineal y la combinación lineal de vectores desde los modos de pensar como encuadre teórico, ya que los SEL permiten ilustrar y el Álgebra lineal muestra cómo hay que manejarlos. Por otro lado, se hace necesario incorporar el uso de entrevistas para dilucidar en profundidad el real sentido del uso de conceptos como pendiente y su relación con los aspectos geométricos que están involucrados.
AGRADECIMIENTOS
Agradecemos la participación desinteresada de los y las estudiantes, al labora-torio LAETEC de la Universidad de Playa Ancha y, al Instituto de Matemáticas de la Pontificia Universidad Católica de Valparaíso. Este artículo fue financiado parcialmente por ANID a través de los proyectos: Fondecyt de Iniciación N° 11190152 y FONDECYT N° 1180468.
REFERENCIAS
Alcocer, I. (2007). Dificultades en la resolución de sistemas de ecuaciones lineales en contexto algebraico y geométrico [tesis de maestría no publicada, CINVESTAV-IPN. México].
Andrews-Larson, C. (2015). Roots of Linear Algebra: An Historical Exploration of Linear Systems. Revista PRIMUS, 25, 507-528. https://dx.doi.org/10.1080/10511970.2015.1027975
Arnon, I., Cottrill, J., Dubinsky, E., Oktaç, A., Roa Fuentes, S., Trigueros, M. y Weller, K. (2014). APOS Theory: A framework for research and curriculum development in mathematics education. Springer. https://doi.org/10.1007/978-1-4614-7966-6
Artigue, M. (2003). ¿Qué se puede aprender de la investigación educativa en el nivel universitario? Boletín de la Asociación Matemática Venezolana, 10(2), 117-134.
Barrera, J. (2008). Modos de Pensamiento en la solución y planteamiento de sistemas de ecuaciones lineales homogéneos con dos incógnitas [tesis de maestría no publicada. Universidad Autónoma del Estado de Hidalgo. México].
Bkouche, R., Charlot, B. y Rouche, N. (1991). Faire des mathématiques: le plaisir du sens. Armand Colin.
Borja, I. (2015). Conjunto solución a un sistema de ecuaciones lineales: Una mirada desde la perspectiva de la teoría APOE [tesis doctoral no publicada. CINVESTAV-IPN. México].
Cutz, B. (2005). Un estudio acerca de las concepciones de estudiantes de licenciatura sobre los sistemas de ecuaciones y su solución [tesis de maestría no publicada, CINVESTAV-IPN. México].
De Vries, D. y Arnon, I. (2004). Solution-what does it mean? Helping linear algebra students develop the concept while improving research tools. En M. J. Joines y A. B. Fuglestad (Eds.), Proceedings of the 28th Conference of the International Group for Psychology of Mathematics Education (Vol. 2, pp. 55-62). Psychology of Mathematics Education.
Dorier, J.-L. (2000). Epistemological analysis of the genesis of the theory of vector spaces. En J.-L. Dorier (Ed.), On the teaching of linear algebra (pp. 3-81). Kluwer Academic Publishers.
Dorier, J.-L. y Sierpinska, A. (2002). The teaching and learning of mathematics at university level. New ICMI Study Series, 7(3), 255-273.
Eslava, M. y Villegas, M. (1998). Análisis de modos de pensar sintético y analítico en la representación de las categorías de tres rectas en el plano [tesina de especialidad no publicada. Universidad Autónoma de Hidalgo].
Gras, R., Suzuki, E., Guillet, F. y Spagnolo, F. (Eds.) (2008). Statistical implicative analysis. Theory and applications. Springer Verlag.
Harel, G. (2000). Three Principles of learning and teaching mathematics. Particular Reference to Linear Algebra - Old and New Observations. En J.-L. Dorier (Ed.), On the teaching of linear algebra (Vol. 23, pp. 177-189). Springer. https://doi.org/10.1007/0-306-47224-4_6
Kleiner, I. (2007). A history of abstract algebra. Birkhäuser.
Manzanero, L. (2007). Sistemas de ecuaciones lineales: Una perspectiva desde la teoría APOE [Tesis de maestría no publicada. CINVESTAV-IPN. México].
Martzloff, J.-C. (2006). A history of Chinese mathematics. Springer.
Ministerio de Educación. (2011). Programa de Estudio para Segundo Año Medio, Unidad de Currículum y Planificación. Autor.
Ministerio de Educación. (2012). Estándares orientadores para carreras de Pedagogía en Educación Media. LOM Ediciones.
Ministerio de Educación. (2017). Texto del estudiante: Primer año de Enseñanza Media. Ediciones SM Chile S.A.
Ochoviet, T. (2009). Sobre el concepto de solución de un sistema de ecuaciones lineales con dos incógnitas [Tesis doctoral, Instituto Politécnico Nacional, Montevideo]. Repositorio digital IPN. http://www.repositoriodigital.ipn.mx/handle/123456789/11405
Oktaç, A. y Trigueros, M. (2010). ¿Cómo se aprenden los conceptos de álgebra lineal? Revista Latinoamericana de Investigación en Matemática Educativa, 13(4), 373-385.
Ramírez, C. (2005). Dificultades que presentan los estudiantes en los sistemas de ecuaciones lineales en los modos geométrico y analítico [tesis de licenciatura no publicada. Universidad Autónoma de Guerrero. México].
Robinet, J. (1986). Esquisse d’une Genèse des Concepts d’Algèbre Linéaire. Cahier de Didactique des Mathématiques, 29, IREM de Paris VII.
Rodríguez, M., Mena-Lorca, A., Mena-Lorca, J., Vásquez P. y Del Valle. (2019). Construcción cognitiva del conjunto solución de un sistema de ecuaciones lineales con dos incógnitas. Enseñanza de las Ciencias, 37(1), 71-92. https://doi.org/10.5565/rev/ensciencias.2194
Sfard, A. y Linchevsky, L. (1994). The gains and pitfalls of reification-The case of algebra. Educational Studies in Mathematics, 26(2-3), 199-228.
Sierpinska, A. (2000). On some Aspects of Studentxs thinking in Linear Algebra. En J.-L. Dorier (Ed.), On the teaching of linear algebra (pp. 209-246). Springer.
Stake, R. (2010). Investigación con Estudio de Casos. Morata.
Ursini, S. y Trigueros, M. (2006). ¿Mejora la comprensión de variable cuando los estudiantes cursan matemáticas avanzadas? Revista Educación Matemática, 18(3), 5-38.
Notas