CONTRIBUCIÓN A LA DOCENCIA
Recepción: 31 Mayo 2023
Aprobación: 07 Febrero 2024
DOI: https://doi.org/10.24844/EM3601.07
Financiamiento
Fuente: Generalitat Valenciana
Nº de contrato: CIAICO/2022/154
Descripción del financiamiento: Este trabajo ha sido financiado por el proyecto CIAICO/2022/154 de la Generalitat Valenciana que ha recibido una subvención para la realización de proyectos I+D+i desarrollados por grupos de investigación consolidados 2023.
Resumen: En este estudio se examinó el efecto de una intervención académica, asociada a la música, sobre la comprensión conceptual de la notación musical y la representación, orden, equivalencia y adición de fracciones de estudiantes de primero de Educación Secundaria Obligatoria (ESO) de un centro escolar público multicultural y socioeconómico mixto español. Los estudiantes (N = 12) tenían conceptos previos acerca de instrucción musical, así como de los conceptos a evaluar sobre fracciones. Se trata de un estudio observacional en el que se les administró una batería de cuatro tareas antes y después de una instrucción basada en un entorno musical, siendo la notación musical función semiótica. La instrucción contó con 9 sesiones de 50 minutos cada una. Los resultados previos a la intervención evidencian carencias en un concepto que no era nuevo para el alumnado, sin embargo, tras la intervención, el alumnado se vio competente en todos los conceptos. En particular, la notación musical fue un instrumento utilizado de forma potencial como soporte para la representación, ordenación y equivalencia de las fracciones.
Palabras clave: Fracciones, función semiótica, música, intervención multidisciplinar..
Abstract: In this study, the effect of an academic intervention associated with music on the conceptual understanding of musical notation and the representation, ordering, equivalence, and addition of fractions was examined. The participants of this research were 12 students from first year of Compulsory Secondary Education from a multicultural, mixed socio-economic Spanish public school. They had prior knowledge about musical instruction, as well as the concepts to be evaluated regarding fractions. This was an observational study in which a battery of four tasks was administered to them before and after instruction based on a musical environment, with musical notation serving as a semiotic function. The instruction comprised 9 sessions, each lasting 50 minutes. Pre-intervention results revealed deficiencies in a concept that was not new to the students; however, following the intervention, the students demonstrated competence in all concepts. Particularly, musical notation was a potentially powerful instrument used to support the representation, ordering, and equivalence of fractions.
Keywords: Fractions, semiotic function, music, multidisciplinary intervention.
INTRODUCCIÓN
Aunque se pudiera pensar que la música y las matemáticas son materias muy distintas, la realidad es diferente. En la antigua Grecia, Pitágoras (ca. 580-500 a. C.) se dio cuenta de la relación existente entre diferentes sonidos y la proporción de las cuerdas que los emitían. Esto llevó a una descripción de la música usando símbolos matemáticos (Henning, 2009; Weber, 1991, citados en Mall et al., 2016). Pero la relación entre las matemáticas y la música no se da porque sean materias cercanas, sino “porque los parámetros musicales pueden ser transformados y organizados usando técnicas matemáticas, y viceversa” (Mall et al., 2016, p. 12), es decir, la notación musical y las matemáticas (números) son compatibles. Desde la armonía hasta los tiempos, pasando por los timbres de los instrumentos; todo aquello sobre lo que está construido la música tiene un componente matemático (Castrillón et al., 2019).
Así, se trata de dos disciplinas en las que se suceden dos sistemas de signos compatibles: notación musical y números (naturales, racionales e irracionales). En la actualidad, estos sistemas interactúan creando un conjunto semiótico (Arzarello, 2006). Con todo esto, parece lógico tratar de aprovechar este nexo para potenciar el aprendizaje a través de proyectos interdisciplinarios. El propósito de impulsar el aprendizaje correlacionando estas dos materias no es nuevo, la propia Unión Europea (UE, 2011) financió proyectos como el de Mall et al. (2016) con el fin de potenciar la interdisciplinaridad.
Este contexto define la necesidad de continuar la investigación en torno a la incorporación de la música y sus características en el proceso de enseñanza y aprendizaje de las matemáticas, y viceversa. En particular, en este trabajo se tiene como objetivo evaluar el efecto que tiene la notación musical como función semiótica sobre el proceso de enseñanza-aprendizaje de las fracciones, su representación, sus propiedades de orden y equivalencia, así como la adición entre estos números, en alumnado de primer grado de Educación Secundaria Obligatoria (edades entre 12 y 14 años).
ANTECEDENTES Y MARCO TEÓRICO
Según Avdulova (2018, citado en Veraksa et al., 2022) el juego simbólico representa la capacidad del niño para vincular la experiencia concreta con el pensamiento abstracto al conectar el significado con el significante (Piaget, 1962). En este proceso, el niño desarrolla la función semiótica, es decir, una habilidad para representar un objeto ausente o un evento que no se percibe directamente a través de símbolos o signos (Veraksa et al., 2022).
En la enseñanza moderna de las matemáticas, la interacción entre percepción y acción se vuelve también cada vez más importante. Diferentes niveles de comunicación trabajan a la vez en los conjuntos semióticos (Arzarello, 2015) y los estudiantes usan los ciclos de la acción y la percepción para desarrollar el entendimiento matemático. La identificación de los patrones y su interpretación como un sistema de signos, constituye una tarea matemática fundamental. Las repeticiones, y por consiguiente las regularidades, pueden ser encontradas mediante la observación de símbolos escritos. Estas regularidades son la base del entendimiento matemático (Mall et al., 2016) y la unión con el sistema de signos como puede ser la notación musical.
La literatura es extensa al respecto de la implementación de currículos integrados que proporcionan evidencias para la transferencia y una relación positiva entre la música y la mejora en matemáticas (An et al., 2013; An y Tillman, 2015; Courey et al., 2012; Edelson y Johnson, 2003; Harkleroad, 2006; Johnson y Edelson, 2003; McDonel, 2015; Ribeiro y Santos, 2017; Wilson et al., 2003). En particular, para la instrucción de fracciones Courey et al. (2012) examinaron los efectos de una intervención de un programa de música centrado en el ritmo, sobre la comprensión conceptual de la notación musical, símbolos de fracciones, tamaño de fracción y equivalencia de fracciones en tercer grado. La intervención de música experimental incluyó 12 sesiones y los resultados indicaron que estos estudiantes usaron su comprensión conceptual de la música para desarrollar conceptos de fracciones. Por su parte, Azaryahu et al. (2020) compararon el programa de Courey et al. (2012) con otro que se centraba en el ritmo de la melodía, determinando que este segundo mostraba una mayor transferencia de conocimiento, así como una mayor capacidad con fracciones que no estuvieran relacionadas con las propias que se identifican con la notación musical. Finalmente, Lovemore et al. (2022) en su estudio demuestran que existe una comprensión más profunda del razonamiento de fracciones porque los estudiantes son introducidos a los conceptos de fracciones de maneras divertidas y atractivas. Finalmente, Hamilton et al. (2018) a través de un estudio piloto, con-firmaron la enseñanza de fracciones al relacionar los ritmos tocados a través de instrumentos musicales, su pentagrama y la asociación con una circunferencia dividida en partes (1/4, 1/4, 1/4, 1/8, 1/8).
Representación de fracciones y la música
Respecto a la representación de fracciones, se ha encontrado que estas pueden representarse de manera geométrica, discreta y simbólica-numérica o literal- (Rico, 1997).
En las representaciones discretas, la unidad se compone de un conjunto discreto de objetos. En cuanto a las representaciones numéricas, existen diferentes formas de utilizar los números para indicar una fracción que se basa en los diferentes usos de la fracción (Kieren, 1980): como cociente (3/5), como razón (3:5), con una escritura en número decimal (0,6) y en porcentaje (60%). En el caso de las representaciones literales se pueden distinguir de diferentes formas: tres quintos, tres sobre cinco y una relación de tres a cinco (Llinares y Sánchez 1996).
Pero es la representación geométrica, modelo de área o lineal, la que se utiliza comúnmente durante la instrucción de fracciones (Sidney et al., 2019), por ser una forma común para apoyar la comprensión de los niños sobre ese concepto (Siegler et al., 2010; Siegler et al., 2013).
El uso de la notación musical como herramienta de representación de fracciones está dentro de lo que se denomina representación mediante modelos discretos. La particularidad de este modelo de representación se halla en el hecho de que la fracción, en este entorno, es representativa de la relación entre una parte de un conjunto de elementos discretos y un todo (Malet, 2010).
Particularmente, para la aplicación de la simbología musical en la representación gráfica se hace uso de las figuras musicales aprovechando la relación que existe entre ellas (figura 1).

Equivalencia y orden de fracciones a través de la música
La equivalencia de fracciones es una propiedad fundamental para poder comprender y realizar con éxito diferentes manipulaciones con fracciones, como son la reducción a común denominador o la ordenación de fracciones (Maza y Arce, 1991). La base para comprender la equivalencia de fracciones es entender la fracción como un ente que es un par ordenado de números que representa a un sólo número (Maza, 1999). El completo dominio de las fracciones equivalentes tiene una especial dificultad, porque se aplican reglas en su proceso de enseñanza-aprendizaje y no se les instruye con materiales realistas (Kamii y Vlark, 1995). Así, entre los errores más frecuentes para obtener fracciones equivalentes, que se han presentado en trabajos previos son: a) cuando el alumna-do olvida la regla y al tratar de aplicarla lo que hace es sumar o restar, en vez de dividir y multiplicar numerador y denominador por el mismo número (Brown y Quinn, 2006); b) multiplicar por números distintos al numerador y al denominador (Morales, 2014).
En cuanto a la propiedad de orden de las fracciones, tiene una importancia crítica en campos como el álgebra, el razonamiento proporcional y la probabilidad (Clarke y Roche, 2009). Esto requiere, por parte de los alumnos, capacidad para determinar la magnitud relativa de dos o más fracciones. En este caso, son cinco los métodos que indica la bibliografía estudiada (Cuchillo, 2020; Maza, 1999): reducción a común denominador, expresión decimal, representación en la recta, fracción intermedia o complemento a la unidad. Para este caso, los dos errores comunes que se cometen son: a) la obtención de fracciones equivalen-tes cuando hay más de dos fracciones a ordenar (Kerslake, 1986); b) la ordenación de numeradores o denominadores como si fuesen números naturales (Godino, 2004).
Siguiendo las ideas de Kamii y Vlark, (1995), quienes en su estudio tienen una contextualización de situaciones, el sistema de signos musical permite una conexión directa con estas dos propiedades.
Adición de fracciones a través de la música
El uso de la notación musical como herramienta de adquisición del concepto de fracción y, en particular, de la adición de estos números, está dentro de lo que se denomina adición mediante modelos discretos. La tradición escolar aboga por un proceso de enseñanza-aprendizaje de las fracciones basado en los modelos continuos (Rico, 1997), pero desligarlos de un contexto discreto (Kieren, 1993) provoca que el alumnado no sea capaz de desenvolverse en contextos en los que subyacen otros significados o subconstructos de la fracción, por ejemplo, como medida, razón u operador. De ahí la importancia de enseñar fracciones en el contexto de la música con un modelo discreto.
Al respecto de la adición de fracciones, la investigación ha demostrado que muchos estudiantes aprenden operaciones con fracciones a través de instrucción basada en la memoria y orientada a procedimientos o reglas, atribuyendo poco significado a tales operaciones y cometiendo por tanto errores con el paso del tiempo (Behr et al., 1992; Cramer y Henry, 2002; Cramer et al., 2002; Kennedy y Steve, 1997). El Rational Number Project Curriculum apuesta por un aprendizaje de las fracciones a través de contextos de la vida cotidiana que se ven reflejados en los problemas verbales. Otros como Braithwaite et al. (2017) apuestan por contextos como la recta numérica; o en el mismo sentido que en este estudio, hay quienes ven la aritmética musical como una base para el proceso de enseñanza-aprendizaje de las fracciones (Oshanova et al., 2022).
METODOLOGÍA
El presente trabajo se enmarca en un estudio experimental y observacional. Dentro de los estudios observacionales, este se define como un estudio longitudinal a corto plazo. Se ha trabajado sobre la misma muestra durante un periodo de 2 meses, con alumnado perteneciente a primer grado de Educación Secundaria Obligatoria del sistema educativo español. Los datos se obtuvieron al inicio y al final de una intervención. En lo siguiente, se da cuenta de la muestra estudiada y el método utilizado, este último incluye la intervención, el instrumento y las variables de investigación.
MUESTRA
Con respecto a la población del estudio, se trata de un grupo de 12 alumnos pertenecientes a un instituto público de Valencia, España. Entre el alumnado existe un elevado número de inmigrantes y alumnos en riesgo de absentismo escolar. A su vez, existe una gran diversidad con respecto a los niveles económicos y culturales de las familias de los alumnos que componen el aula. Las edades de los alumnos están comprendidas entre los 12 y los 14 años.
MÉTODO
El estudio tiene tres secciones diferenciadas. En primer lugar, previo a una intervención, se aplicó una batería de cuatro preguntas (pre-test). Tras esto, se realizó una intervención con una duración aproximada de dos meses (9 sesiones de 50 minutos cada una). Finalmente, se aplicó una segunda batería de cuatro preguntas (post-test). Ambas baterías contienen cuestiones relacionadas con los contenidos de fracciones que los alumnos ya han visto en el curso anterior (6º de Educación Primaria) y que serían extendidos en el curso en el que se llevó a cabo la presente investigación (LOMLOE, 2022). A continuación, se da cuenta del diseño de la intervención, posteriormente se expone el diseño de los materiales pre-test y post-test, así como las variables que se toman en cuenta para el análisis.
Intervención
La intervención está basada en el trabajo de Azaryahu et al. (2020), pero en el presente trabajo no se evalúa la adquisición de conceptos matemáticos, sino que el sistema de signos musicales es la función semiótica utilizada para obtener resultados acerca de cuatro conceptos específicos con fracciones.
Sesión 1
La primera intervención, se inicia con la parte introductoria de las fracciones, así como una breve introducción de cómo estas tienen gran importancia en el mundo de la música.
Para realizar esta introducción a la realidad matemática, al alumnado se le introduce al concepto de fracción desde el entorno musical de la orquesta. Para ello, se usa como apoyo un retrato de una famosa intérprete de violonchelo figura 2a, instrumento culturalmente conocido, así como de la simbología musical figura 2b. Se debe reseñar, que en el currículum de España (LOMLOE, 2022) el alumnado, en cursos previos a séptimo grado ya han sido introducidos tanto a la simbología musical como a los instrumentos de cuerda.

Sesión 2
En el manual usado en el aula (Colera y Gaztelu, 2020) se presentan los modelos de representación continuo y lineal. Para el primero se hace uso de figuras planas típicas (círculos y rectángulos), el modelo lineal se presenta de forma usual usando una recta y colocando la fracción correspondiente sobre ella.
Con esta sesión se trata de abordar parte del objetivo del trabajo, valuar el efecto que tiene la notación musical como función semiótica sobre el proceso de enseñanza-aprendizaje de la representación de fracciones.
Para ello se le presentan al alumnado, tras la introducción de los modelos vistos en el manual, un modelo lineal y un modelo discreto y simbólico de representación de fracciones desde un punto de vista musical. Esto se realiza usando como apoyo las imágenes de la figura 3.

En la intervención se introduce, mediante las cuerdas del violonchelo, el modelo de representación lineal, figura 3a. Esta parte se contextualiza de forma histórica exponiendo cómo Pitágoras descubrió la relación entre las longitudes de una cuerda y la frecuencia del sonido que producían, aunque se remarca que Pitágoras dividió la cuerda en dos, y en nuestro caso, para realizar una asociación entre el modelo lineal y discreto, utilizamos los medios y los cuartos.
Seguidamente, se introduce el modelo discreto y simbólico a través de la simbología musical figura 3b. Con este se expone la utilidad de esta simbología como un elemento codificador que es usado para aumentar la velocidad con la que los intérpretes son capaces de leer las partituras.
En consecuencia, en esta sesión se cubre, entre otras, la parte del currículo correspondiente a representación gráfica de fracciones, que corresponde a Q1 del pre-test y post-test.
Sesión 3
Tiene como finalidad principal explicar la adición y la sustracción de fracciones con mismo denominador utilizando elementos musicales. En su caso, el manual (Adiel, 2021), se limita a refrescar el proceso algorítmico de esta operatividad. Además, introduce un ejemplo gráfico haciendo uso de un modelo continúo basado en el modelo de área o del pastel.
A este aspecto, en la intervención realizada, se exponen dos modos gráficos de realización o comprobación de estas operaciones desde un ámbito musical: uno lineal y uno discreto. Para ejemplificar el modelo lineal se hace uso de las cuerdas de un violonchelo (figura 4a), en cambio, para ejemplificar el modelo discreto se utilizan las figuras musicales figura 4b.

Sesión 4
Se cubren contenidos del currículo relacionados con la equivalencia de fracciones. Estos contenidos resultan de una gran importancia pues son la base para otros contenidos relacionados con las fracciones como la simplificación o la reducción a común denominador (Colera y Gaztelu, 2020).
Para cumplir con este objetivo, se hace uso de las figuras musicales, modelo discreto y simbólico, en conjunto con el modelo lineal (figura 5), pues se muestra sobre la recta unidad. La motivación de utilizar estos dos modelos conjuntamente no es otra, sino facilitar la asociación de un valor fraccionario al modelo musical presentado.

Sesión 5
Se trabaja de nuevo la adición y sustracción de fracciones, pero con la particularidad de que el denominador difiere. Al igual que en la sesión anterior, el soporte gráfico que brinda la representación musical sigue siendo el elemento que promueve la consecución de evaluar el efecto que tiene la música en la adquisición de conocimientos sobre fracciones.
Como ejemplo práctico, se le presenta al alumnado la figura 6 donde se muestra el proceso seguido para realizar la suma de dos fracciones con distinto denominador y, a la vez, la representación gráfica desde la perspectiva musical que se ha venido utilizando en las anteriores sesiones, específicamente con el uso del modelo lineal que integra las figuras musicales que son un modelo discreto.

Sesión 6
El objetivo principal de esta sesión es plantear al alumnado una situación más realista, en el ámbito musical, en el que deben hacer uso directo de la adición de fracciones.
Para tal fin, se utilizó un extracto de cuatro compases de la Sinfonía nº 9, la Oda de la alegría (van Beethoven, 1824), comúnmente llamada Himno de la Alegría (figura 7), se muestra cómo el modelo de representación discreta expuesto en las sesiones anteriores no es una construcción artificial. El alumnado comprueba que esta codificación que se les ha presentado anteriormente es, en realidad, utilizada por los compositores e intérpretes en su día a día. El alumnado observa que el compás indica la métrica musical y está compuesto por varias figuras musicales entre líneas divisorias, cuyos valores (duraciones) suman la métrica indicada.

Los alumnos, también observan que ellos mismos hacen uso de esta codificación durante sus clases de música en el centro. Se espera, pues, que llegados a este punto vean una utilidad manifiesta de las fracciones. Utilidad de la cual ellos mismos eran usuarios sin saberlo, creando así esa contextualización que despierta su atención e interés.
Sesiones 7, 8 y 9
En ellas se realiza un compendio de actividades que tienen como finalidad la consolidación de los conocimientos y objetivos propuestos en el presente trabajo. Una breve exposición de estas actividades puede verse en la tabla 1.

En la actividad Eso me suena, los alumnos deben utilizar todos los conceptos expuestos en las sesiones realizadas hasta este momento, en la intervención. Se trata de que ellos determinen la posición de las líneas divisorias en algunos fragmentos musicales (figura 8). Para ello tendrán que sumar los valores (duraciones) de las figuras musicales, en número fraccionario, hasta que el resultado de dicha suma sea igual al del compás del fragmento.

Para resolver esta actividad existen tantas posibilidades como voces hay en cada partitura. Estas posibilidades se exponen durante la corrección de la actividad. Al finalizar la misma, los alumnos escuchan las piezas utilizadas en el ejercicio y se les expone, de nuevo, la realidad matemática existente en la composición y lectura de partituras. Asimismo, se les presenta la realidad de estar usando matemáticas sin saberlo mediante el uso de una codificación que no requiere, por parte del usuario, el conocimiento de su fundamentación.
En la segunda actividad, Batucada, los alumnos tienen que completar fragmentos que se han eliminado de unas partituras de percusión (figura 9). Estos huecos se pueden rellenar haciendo uso de sus conocimientos musicales. No obstante, se les pide a los alumnos, explícitamente que, realicen la tarea apli-cando las nociones matemáticas vistas en las intervenciones.

Se pretende que el alumno, a través del ejercicio, descubra de forma indirecta que en realidad el camino musical para resolver el problema no es más que una solución matemática escondida tras una codificación. De este modo se integra esa realidad matemática que era ajena a los alumnos hasta ese momento. Otro ejercicio de esta actividad le brinda al alumnado la posibilidad de crear su propia obra rítmica. En esta ocasión los estudiantes ven las matemáticas como una herramienta para crear algo propio en lugar de un elemento utilizado para solucionar problemas asépticos.
Para finalizar, la última actividad, De menor a mayor, consiste en la ordenación de fracciones, pero, de nuevo, haciendo uso de los conocimientos vistos en las intervenciones (figura 10).

Se pide al alumno que ordene las fichas calculando el valor (duración) que tiene cada una de ellas. Al igual que sucedía en las otras actividades, el alumnado puede comprobar si ha realizado correctamente la actividad usando sus conocimientos musicales.
Instrumento y Variables de Investigación
Para obtener datos de la investigación se hace uso de un test de lápiz y papel con 4 cuestiones diferentes. En este caso, el cuestionario se considera una herramienta apropiada pues permite la producción y recogida de datos de una forma estructurada (Meneses y Rodríguez-Gómez, 2011).
Aunque cambian algunos datos en las cuestiones entre el pre-test y el post-test, se conserva el isomorfismo entre ambos para hacer posible una evaluación sobre la comprensión conceptual que desarrolla el alumnado referente a las fracciones.
Q1. Representa, en tantas formas como te sea posible la siguiente fracción: ¼
La cuestión Q1 permite comprobar las habilidades de representación de fracciones del alumnado; en particular, así como analizar con cuántos modelos de representación está familiarizado. Por otro lado, también se pondrán en relevancia, de existir, los posibles errores que cometan en la ejecución de este proceso.
Para poder realizar un análisis descriptivo de esta cuestión, las variables de investigación definidas son tres:
Tipo de Representación: este campo se corresponde con el modelo de representación utilizado en la respuesta: 1) área, 2) lineal, 3) discreto o 4) numérico (decimal).
Éxito: esta variable permite determinar si el alumnado ha resuelto correctamente Q1.
Errores: en este campo se introducen los errores expuestos en el marco teórico que aparecen en las respuestas de los alumnos a esta cuestión: a) pregunta en blanco, b) responder haciendo fracciones equivalentes, y c) respuesta al azar.
Cabe destacar que en esta pregunta no se van a evaluar errores debidos a la propia representación como podrían ser errores técnicos o conceptuales al respecto de establecer la igualdad de las partes. Se pretende observar el cono-cimiento acerca de los diferentes modelos, y por ello escribir fracciones equivalentes se considera un error, por no ser un modelo de representación.
Q2. Ordena, de menor a mayor: Pre-test: 2/2,1/4, 7/8, 5/4. Post-test: 1/2, 3/4, 2/8, 2/2
La segunda de las cuestiones sirve para evaluar el objetivo correspondiente a la propiedad de orden de las fracciones, así como, dependiendo del método, las capacidades de representación y de producción de fracciones equivalentes.
Para poder realizar un análisis descriptivo de esta cuestión y presentarlo en forma de tabla, se han codificado una serie de categorías que se describen a continuación:
Éxito: relación entre alumnos que han contestado satisfactoriamente a la pregunta con respecto al total.
Proceso: en este campo se introduce el método utilizado para resolver la cuestión: expresión decimal, representación con modelo discreto (figuras musicales), lineal o continuo, y reducción a común denominador.
Errores: se introducen los errores expuestos en el marco teórico que aparecen en las respuestas de los alumnos a esta cuestión: ordenar usando los numeradores o los denominadores (Naturales) y cometer error en la reducción a común denominador.
Q3. Escribe y representa dos fracciones equivalentes.
La tercera cuestión trata los objetivos relacionados con la capacidad del alum-nado para obtener fracciones equivalentes y realizar la representación de estas.
Esta tarea pone en relevancia si el alumno ha comprendido realmente un proceso tan importante como la obtención de fracciones equivalentes. Tal y como se ha comentado con anterioridad, este proceso es base para otras operaciones con fracciones.
Para poder realizar un análisis descriptivo de esta cuestión y presentarlo en forma de tabla, se han codificado una serie de categorías que se describen a continuación:
Q4. Calcula, puedes apoyarte en representaciones: Pre-test: a) 1/2+3/8; b) 2/2-1/4. Post-test: a) 2/4+1/2, b)6/8-1/4.
La cuestión Q4 permite comprobar las habilidades en la adición de fracciones del alumnado. En particular, permite analizar si utilizan métodos alternativos, como la representación, que se les sugiere, o únicamente aplican el algoritmo de dicha operación. Por otro lado, también se pondrán en relevancia, de existir, los posibles errores que cometan en la realización de este proceso.
Para poder realizar un análisis descriptivo de esta cuestión, las variables de investigación definidas son tres:
Éxito: relación entre alumnos que han contestado satisfactoriamente a la pregunta con respecto al total.
Proceso: en este campo se introduce el método utilizado para resolver la cuestión: operar con la expresión decimal, usar la representación gráfica o aplicar el algoritmo.
Errores: uso del algoritmo de la multiplicación, uso del algoritmo de la división, común denominador.
RESULTADOS Y DISCUSIÓN
Este apartado se subdivide en 4 partes, cada una corresponde al análisis de las preguntas de los test Q1, Q2, Q3 , y Q4 , respectivamente. En estos apartados, el análisis sigue una misma estructura con tal de favorecer la lectura. Primero, se realiza un análisis descriptivo de los resultados obtenidos en el pre-test, después se ejecuta el análisis de los resultados obtenidos en el post-test, y finalmente, se comparan los resultados entre el pre-test y post-test para dejar evidencia de la evolución individual de los estudiantes.
Resultados Q1
Como se puede ver en la tabla 2, en el pre-test, 7 de 12 alumnos han representado con éxito a la fracción empleando un modelo de área. Así pues, tal y como se comenta en Siegler et al. (2013), parece ser que el modelo de área sigue siendo el protagonista en la enseñanza de fracciones, al menos, en las etapas iniciales. Cabe destacar que solamente dos alumnos han optado por dejar la respuesta en blanco.

En cuanto a los errores del pre-test, es interesante mencionar que no son intrínsecos a la representación. Dos alumnos han contestado a la cuestión construyendo fracciones equivalentes cuando no es lo que se pide, mientras que otro alumno ha optado por escribir una respuesta aleatoria. Este último error se da cuando el alumno simplemente desconoce el procedimiento para llegar a la respuesta correcta y, en lugar de dejar el espacio vacío, escribe cualquier cosa (Ciscar y García, 1997). No se trata, por tanto, de un error provocado por defectos en la comprensión de los procedimientos ni por descuidos o distracciones.
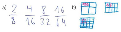
Al analizar lo ocurrido en el post-test, 11 de 12 alumnos respondieron correctamente. De estos, todos han hecho uso nuevamente del modelo de área (figura 11), pero 5 de 12 alumnos además utilizan el modelo discreto (figura 11), de ellos, uno utiliza también el modelo lineal (figura 11c).

Además, 2 alumnos han expresado la fracción en notación decimal (figura 11bxref>), notación que entra dentro de las representaciones simbólicas (Rico, 1997). Esto no es considerado como error en esta cuestión, se acepta como representación simbólica, debido a que el enunciado no explicita que la representación debe de ser gráfica y se puede malinterpretar. En cuanto a los errores, se puede apreciar que hay 4 alumnos que identifican las fracciones equivalentes como una forma de representar otra fracción, tanto simbólica (figura 12a) como a través de representación gráfica (figura 12b).

En cuanto a la evolución del alumnado, los alumnos que en el pre-test utilizaron el modelo de área, siguen usándolo en el post-test (Siegler et al., 2010). No obstante, 3 de ellos (S1, S3, S7) han ampliado sus respuestas añadiendo otros modelos, entre ellos el modelo discreto o simbólico, siguiendo los resultados de trabajos precedentes en los que se indica que aquellos que ya representaban, la notación musical les permite una representación discreta o simbólica de las fracciones (Azaryahu et al., 2020; Courey et al., 2012; Lovemore et al., 2022). Además, la mitad de los alumnos participantes (S1, A3, S4, S7, S12, S15) han utilizado, al menos, dos modelos distintos de representación.
En cuanto a los errores, se comprueba que la idea de utilizar fracciones equivalentes como una representación sigue estando presente y que, son más alumnos los que la utilizan tras la intervención, relacionado con el uso gráfico continuado para la construcción de fracciones equivalentes. En particular, se observa que el alumno S9, ha cometido este error tanto en el pre-test como en el post-test. A su vez, el alumno S2 parece que no ha evolucionado al mismo ritmo que el resto de sus compañeros al no haber realizado ninguna representación y, a su vez, haber cometido el error de responder a la cuestión construyendo fracciones equivalentes a la propuesta.
Resultados Q2
De la columna de pre-test de la tabla 3, se deduce con facilidad que la ordenación de fracciones resulta una actividad más compleja que la representación de las mismas (Q1), tal y como ya disponían en su trabajo Behr et al. (1983).

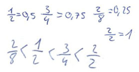
Como puede verse, solamente, 3 de los 12 alumnos han respondido correcta-mente a la tarea, siendo su método la conversión a expresión decimal (figura 13).

En cuanto a los errores de Q2 (figura 14), es destacable que todos los alumnos que han fallado la respuesta (9/12) han cometido el mismo tipo de error: ordenar las fracciones basándose únicamente en los numeradores o en los denomina-dores de las mismas de forma exclusiva, error reportado en otros estudios, por ejemplo en Godino (2004).

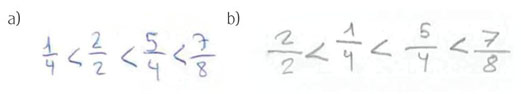
Viendo ahora la columna del post-test, se observa que 9 de 12 alumnos han proporcionado una respuesta correcta a la pregunta. Por tanto, se puede decir que hay una evolución positiva tras la intervención. Con respecto a los métodos de resolución, 4 alumnos han usado la expresión decimal y 3 han usado algún modo de representación gráfica (figura 15). No obstante, hay que remarcar que dos alumnos han usado varios métodos (ver tabla 4).

Con respecto a los errores en el post-test se tiene que un total de 3 alumnos han fallado en sus respuestas. Un alumno ha cometido un error en el proceso de reducción a común denominador mientras que dos alumnos han vuelto a cometer el error de ordenación que se observó de manera generalizada en el pre-test (figura 14).
Así, con estos resultados, la evolución es muy resaltable en esta cuestión, ya que destaca el aumento de alumnos que han conseguido responder con éxito a las cuestiones. Al respecto del sistema de signos musicales o la notación musical, como función semiótica, son 3 los alumnos que han utilizado esa representación, y les ha permitido resolver con éxito la cuestión.
La tabla 4 muestra que, los alumnos que contestaron correctamente en el pre-test (S2, S4, S13) no han repetido el método de resolución, sino que han optado por utilizar la reducción a común denominador. Por otro lado, los alumnos S10 y S12 son los únicos que han cometido el mismo error tanto antes como después de la intervención.
Resultados Q3
Un análisis descriptivo de las respuestas a la tercera cuestión, producidas por el alumnado, se resume en la tabla 4.

Son 5 de los 12 alumnos quienes lograron escribir una fracción y producir su equivalente, aunque, estas respuestas estaban acotadas a las fracciones que representan la unidad o la mitad de la unidad (figura 16). Esto, probablemente, se debe a que los alumnos comprenden que las fracciones equivalentes tienen el mismo valor en magnitud, pero no recuerdan cómo proceder para obtenerlas si no se trata de las fracciones que representan esas magnitudes tan características.

En cuanto a los errores en el pre-test, de 3 categorías diferentes, un alumno ha dejado la cuestión sin responder, tres alumnos han intentado obtener la fracción equivalente sumando en lugar de multiplicar (Brown y Quinn, 2006). Por último, hay 3 alumnos que han dado respuesta a la pregunta sin una estrategia ni un método claro.
Analizando ahora la columna del post-test, se observa que prácticamente la totalidad de los alumnos han sido capaces de crear fracciones equivalentes sin confundirse en el proceso (11/12). Además, parece haber una preferencia para obtener las fracciones equivalentes a través de la multiplicación (8/12). Con respecto a los errores, en el post-test solamente un alumno ha cometido el error consistente en sumar un mismo número al numerador y denominador para tratar de obtener una fracción equivalente.
Finalmente, al respecto del uso de la representación gráfica para la obtención de fracciones equivalentes, son 5 de12 alumnos los que en el post-test han hecho uso de ella, y como se observa en la figura 17, todos la utilizan como apoyo para responder, ya que está combinada con el método de multiplicar numerador y denominador por un mismo número. Cabe notar que, en ese modelo gráfico de apoyo, aparece la representación asociada a la música (figura 17 b y c).

Sobre la evolución individual (tabla 4), lo más destacable, en esta cuestión, es la correspondiente al alumno S7, que tras la intervención no solamente ha proporcionado las fracciones equivalentes, sino que, además ha realizado la representación de dos formas distintas (figura 17c). Por otro lado, el alumno codificado como S10 no ha sido capaz de realizar con éxito ninguna de las tareas de la cuestión ni en el pre-test ni en el post-test, alumno que le ocurrió lo mismo en y repite patrón más adelante en . Cabe recordar que las fracciones equivalentes proporcionadas por los alumnos en el post-test ya no son las equivalentes al medio o a la unidad, sino que generan otras fracciones equivalentes como a, o .
Resultados Q4
Tal y como se puede comprobar en la parte del pre-test en la tabla 5, solo un alumno de 12 ha conseguido realizar con éxito la adición de fracciones. Esto va en línea con lo que se obtiene en estudios precedentes (Braithwaite, 2017) en los que se determina que el alumnado de 13 a 14 años sigue teniendo dificultades al realizar esta operación.

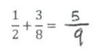
Se puede observar que el método utilizado en el pre-test, por el alumno que ha resuelto correctamente esta cuestión, ha implicado la manipulación de las fracciones (figura 18), pues ha obtenido la expresión decimal y ha operado con estas expresiones (Carpenter et al., 1976). Si bien esto es una estrategia perfectamente válida, también confirma que en el momento de realizar el pre-test el alumno no recordaba las herramientas para contestar la cuestión operando sobre las fracciones, hecho que se evidencia en los errores cometidos.

Se determina en el pre-test una tendencia generalizada por parte del alumnado (8 de 12) de cometer el mismo tipo de error: confusión con la regla del algoritmo de multiplicación de fracciones. El alumnado aplica el algoritmo de la multiplicación, pero adaptado a la suma (figura 19), así, suma numerador con numerador y denominador con denominador (Howard, 1991; Keller et al., 1940; NAEP, 2013).

Otro error que marcan los estudios precedentes (Mata y Porcel, 2006), es la adaptación del uso del algoritmo de la división. Así, el alumno que lo utiliza en el pre-test, realiza una suma en cruz (figura 20).

Esta confusión en las reglas de los algoritmos, verifica el hecho de que la regla es un aprendizaje memorístico, lo que implica que con el paso del tiempo se olvide o se confunda con reglas similares (Hart, 1981).
Analizando ahora los resultados obtenidos tras la intervención -post-test- se observa un aumento significativo en el éxito obtenido por el estudiantado (10/12), lo que lleva a determinar que el uso de la música como metodología ha favorecido el proceso de enseñanza-aprendizaje (Azaryahu et al., 2020; Courey et al., 2012; Lovemore et al., 2022), y en particular para la adición de fracciones. Esta afirmación se remarca, ya que el alumnado que ha participado en este estudio tenía cono-cimientos previos en la suma de fracciones, por ser un tema, que en el currículo español se inicia en 4º de Educación Primaria y se repite en 5º y 6º curso de este nivel primario, lo que indicaría que su conocimiento debería estar consolidado en el primer curso de educación secundaria, que como se ha comprobado en el pre-test, los resultados en este estudio arrojan otra información.
Si se analizan los métodos utilizados de quienes resolvieron correctamente la actividad después de la instrucción, se observa que la aplicación del algoritmo de la suma de fracciones es el proceso más utilizado por el alumnado (9/12), siendo un alumno el que ha optado por resolver las operaciones, excepcionalmente de manera gráfica (figura 21), resultado que también fue expuesto por Rau et al., (2015).

Finalmente, con respecto a los errores en el post-test cabe destacar que un alumno presenta la confusión en el uso del algoritmo de la división (figura 22). Este alumno, tal y como se ve en la tabla 5, venía de un error, aplicando el algoritmo de la multiplicación. Además, aparece un error relacionado con determinar el común denominador (Vinner et al., 1981).

En cuanto a la evolución, en primer lugar, se destaca el aumento significativo de alumnos que han realizado ambas operaciones tras la intervención, pasando de uno a diez.
Con respecto a los métodos utilizados por los alumnos en la resolución, en el pre-test, el único alumno que realizó las operaciones lo hizo utilizando la expresión decimal de las fracciones propuestas, tal y como se ha explicado con detalle. En cambio, en el post-test se observa que ningún alumno hace uso de esta estrategia y, en su lugar, todos operan directamente con las fracciones e incluso hay un alumno que realiza las operaciones de forma gráfica (figura 21).
Otro aspecto positivo es que desaparecen las respuestas en blanco en el post-test, los dos alumnos (S15 y S16) pasan a una resolución algorítmica, una correcta (S15) y la otra con un error en la obtención del denominador común.
Siguiendo con los errores, el uso del algoritmo de la división persiste, aunque no lo mantiene S6 que lo hace en el pre-test, sino que es el alumno S10 quien pasa de uso del algoritmo de la multiplicación al de la división.
CONCLUSIONES
El trabajo desarrollado evaluó las nociones de modelos de representación, propiedades de orden y equivalencia y adición de fracciones que se adquieren tras un proceso de enseñanza-aprendizaje basado en la música como función semiótica.
La investigación de carácter experimental y observacional en doce alumnos de primer curso de educación secundaria de un centro educativo español ha permitido determinar que la intervención provoca un efecto positivo en el aprendizaje de las fracciones, al mejorar la comprensión conceptual de los estudian-tes de este nivel educativo.
En particular, la influencia de la notación musical se ha mostrado de forma muy directa en el análisis de los diferentes modelos utilizados en la representación gráfica. El estudiantado ha mostrado respuestas en el post-test en el que hizo uso de la representación discreta utilizando las figuras musicales para desarrollar sus respuestas, pero, además, contribuyó en una mejora significativa en el éxito en la respuesta de dicha pregunta.
Si nos centramos en la adición de fracciones se muestran carencias significativas, a pesar de ser un concepto matemático que está presente en el currículum español desde los 10 años (LOMLOE, 2022). Sin embargo, esta intervención interdisciplinar ha permitido revertir esta situación inicial dramática. Al analizar detenidamente las soluciones del alumnado, no se observa una consecuencia directa de la intervención realizada, ya que son únicamente dos los alumnos que utilizan la simbología musical como soporte para realizar la adición. Sin embargo, en la equivalencia de fracciones, sí que se aprecia un uso potencial del sistema de signos musicales, para resolver las situaciones planteadas, ya que tal y como indican Vinner et al. (1981) para la suma de fracciones son dos las ideas que deben estar presentes, común denominador y fracciones equivalentes, siendo la segunda idea asumida por el alumnado a través de la intervención interdisciplinar, y con ello, se puede determinar que se trata de una adquisición necesaria para la mejora en la adición de fracciones.
Finalmente, para el orden de fracciones cabe destacar las carencias iniciales del alumnado y, como tras la intervención se ha conseguido obtener casi un éxito total por parte del alumnado, destacando en particular, la representación gráfica como soporte para la realización de esta actividad.
Además, no solo la intervención musical ha servido para una mejora en la adquisición de conceptos relativos a fracciones, como representación, propiedades de orden y equivalencia y adición, sino que, a lo largo de las intervenciones en las que se introdujeron los elementos musicales y su relación con las matemáticas, los alumnos siguieron las clases con gran interés, además de mostrar curiosidad por las resoluciones matemáticas de las actividades propuestas en las últimas intervenciones.
En cuanto a las limitaciones de este trabajo, es importante señalar que se trata de una intervención diseñada dentro de un Trabajo Final de Máster, en el que se limitó el acceso a más alumnos, por lo que en posteriores investigaciones se replicará esta intervención con un mayor número de alumnos. Asimismo, no existen datos de un grupo control que permitan comparar entre alumnos que han recibido clases con una metodología tradicional, siguiendo el manual de aula, y alumnos que, además de las clases regulares, han participado en las intervenciones expuestas en este trabajo.
AGRADECIMIENTOS
Este trabajo ha sido financiado por el proyecto CIAICO/2022/154 de la Generalitat Valenciana que ha recibido una subvención para la realización de proyec-tos I+D+i desarrollados por grupos de investigación consolidados 2023.
REFERENCIAS
Adiel, M. (2021). Agrega - Suma y resta de fracciones no homogéneas [[Web; accedido el 10-06-2021]]. http://agrega.educacion.es/visualizar/es/es_2013120913_9122920/false
An, S., Capraro, M. M., & Tillman, D. A. (2013). Elementary Teachers Integrate Music Activities into Regular Mathematics Lessons: Effects on Students’ Mathematical Abilities. Journal for Learning through the Arts, 9(1), n1. https://doi.org/10.21977/D99112867
An, S. A., & Tillman, D. A. (2015). Music activities as a meaningful context for teaching elementary students mathematics: A quasi-experiment time series design with random assigned control group. European Journal of Science and Mathematics Education, 3(1), 45-60.
Arzarello, F., (2006). Semiosis as a Multimodal Process. Revista Latinoamericana de Investigación en Matemática Educativa, (Esp), 267-299. https://www.redalyc.org/comocitar.oa?id=33509913
Arzarello, F. (2015). Semiosis as a multimodal process. Revista Latinamericana de Investigación en Matemática Educativa (RELIME), 9(1), 267-300, http://math.unipa.it/~-grim/YESS-5/arzarello%20relime.pdf
Azaryahu, L., Courey, S.J., Elkoshi, R., & Adi-Japha, E. (2020). ‘MusiMath’ and ‘Academic Music’ - Two music-based intervention programs for fractions learning in fourth grade students. Development Science, 23(4), e12882. https://doi.org/10.1111/desc.12882
Behr, M. J., Harel, G., Post, T., & Lesh, R. (1992). Rational number, ratio and proportion. In D. Grouws (Ed.), Handbook of research on mathematics teaching and learning (pp. 296-333). Macmillan.
Behr, M., Lesh, R., Post, T., & Silver E. (1983). Rational Number Concepts. In R. Lesh & M. Landau (Eds.), Acquisition of Mathematics Concepts and Processes, (pp. 91-125). Academic Press.
Braithwaite, D. W., Tian, J., & Siegler, R. S. (2017) Do children understand fraction addition? Developmental Science, 21(4), 1-9. https://doi.org/10.1111/desc.12601
Brown, G. & Quinn, R. J. (2006). Algebra students’ difficulty with fractions: An error analysis. The Australian Mathematics Teacher, 62(4), 28-40. https://files.eric.ed.gov/fulltext/EJ765838.pdf
Carpenter, T. P., Coburn, T. G., Reys, R. E., & Wilson, J. W. (1976). Using research in teaching: Notes from National Assessment: addition and multiplication with fractions, The Arithmetic Teacher, 23(2), 137-142. https://pubs.nctm.org/view/journals/at/23/2/arti-cle-p137.xml
Castrillón, M., Gil, O., & Vázquez, M.J. (2019). Engineering and Mathematics: harmonies. Mathematical Thought, 9(2), 37-48. https://dialnet.unirioja.es/descarga/articulo/7552162.pdf
Ciscar, S. L., & Garcia, M. V. S. (1997). Fractions: The part-whole relationship. Synthesis.
Clarke, D. M. & Roche, A. (2009). Students’ fraction comparison strategies as a window into robust understanding and possible pointers for instruction. Educational Studies in Mathematics, 72(1), 127-138. https://doi.org/10.1007/s10649-009-9198-9
Cramer, K., & Henry, A. (2002). Using Manipulative Models to Build Number Sense for Addition of Fractions. In B. Litwiller & G. Bright (Eds.), Making Sense of Fractions, Ratios, and Proportions: 2002 Yearbook (pp. 41-48). National Council of Teachers of Mathematics.
Cramer, K., Post, T. & delMas, R. (2002). Initial Fraction Learning by Fourth- and Fifth-Grade Students: A Comparison of the Effects of Using Commercial Curricula with the Effects of Using the Rational Number Project Curriculum. Journal for Research in Mathematics Education, 33(2),111-144. https://doi.org/10.2307/749646
Colera, J., & Gaztelu, I. (2020). Mathematics 1. Anaya.
Courey, S. J., Balogh, E., Siker, J. R., & Paik, J. (2012). Academic music: music instruction to engage third-grade students in learning basic fraction concepts. Educational Studies in Mathematics, 81, 251-278. https://doi.org/10.1007/s10649-012-9395-9
Cuchillo, E. (2020). Matemáticas 1º E.S.O. Marea Verde.
Edelson, R. J., & Johnson, G. (2003). Music makes math meaningful. Childhood Education, 80(2), 65-70. https://doi.org/10.1080/00094056.2004.10521259
Godino, J. D. (2004). Didáctica de las Matemáticas para Maestros. Proyecto Edumat-Maestros.
Hart, K. (1981). Fractions. Mathematics in School, 10(2), 13-15.
Hamilton, T. J., Doai, J., Milne, A., Saisanas, V., Calilhanna, A., Hilton, C., Goldwater, M, & Cohn, R. (2018). Teaching mathematics with music: A pilot study. Proceedings of 2018 -EEE International Conference on Teaching, Assessment, and Learning for Engineering (TALE) (pp. 927-931). Wollongong, NSW, Autralia. https://doi.org/10.1109/TALE.2018.8615262
Harkleroad, L. (2006). The math behind the music. Cambridge University Press
Howard, A. C. (1991). Addition of Fractions-the Unrecognized Problem, The Mathematics Teacher, 84(9), 710-713. https://pubs.nctm.org/view/journals/mt/84/9/article-p710.xml
Kamii, C., & Vlark, F. B. (1995). Equivalent fractions: Their difficulty and educational implications. The Journal of Mathematical Behaviour, 14(4). 365-378. https://doi.org/10.1016/0732-3123(95)90035-7
Keller, M. W., Shreve, D. R. & Remmers, H. H. (1940). Diagnostic Testing Program in Purdue University. The American Mathematical Monthly, 47(8), 544-548.
Kennedy, L. M., & Steve, T. (1997). Guiding children’s learning of mathematics (8th ed.). Wadsworth/Thomson.
Kerslake, D. (1986). Fractions: Children’s Strategies and Errors. A Report of the Strategies and Errors in Secondary Mathematics Project. NFER-NELSON Publishing Company.
Kieren, T. (1980). The rational number constructs. Its elements and mechanisms. In T. Kieren (Ed.) Recent Research on Number Learning (pp. 125-149). Eric/smeac.
Kieren, T. E. (1993). Rational and fractional numbers: From quotient fields to recursive understanding. In T. P. Carpenter, E. Fennema, & T. A. Romberg (Eds.), Rational numbers: An integration of research (pp. 49-84). Lawrence Erlbaum Associates, Inc.
Johnson, G. L., & Edelson, R. J. (2003). Integrating music and mathematics in the elementary classroom. Teaching Children Mathematics, 9(8), 474-479. https://link.gale.com/apps/doc/A99618634/AONE?u=anon~80f1fa43&sid=googleScholar&xid=8489d361
LOMLOE. (2022). Spanishc Organic Law 3/2020, of December 29, which modifies Organic Law 2/2006, of May 3, on Education.
Lovemore, T., Robertson, S. A., & Graven, M. (2022). Task design grapplings in integrating music and fraction representations. In K.R. Langenhoven & C.H. Stevenson-Milln (Eds.) Book of Proceedings of the 30th Annual Conference of the Southern African Association for Research in Mathematics, Science and Technology Education (pp. 49-61). SAARMSTE.
Malet, O. (2010). Los significados de las fracciones: una perspectiva fenomenológica. Revista Mendom@tica, 21, 1-10.
Mall, P., Spychiger, M., Vogel, R., & Zerlik, J. (2016). European Music Portfolio (EMP)-Maths:’Sounding Ways into Mathematics’: A Manual for Teachers. Frankfurt University of Music and Performing Arts. http://maths.emportfolio.eu/images/deliverables/Teacher_Handbook_Spanish_Version.pdf
Maza, C. (1999). Equivalencia y orden: la enseñanza de la comparación de fracciones. Suma: Revista sobre Enseñanza y Aprendizaje de las Matemáticas, 31, 87-95.
Maza, C. & Arce, C. (1991). Ordenar y clasificar. Sínstesis.
Mata, L. E. & Porcel, E. A. (2006). Análisis de los errores cometidos en el algoritmo de la Suma de Fracciones por ingresantes a la Fa.C.E.N.A. Universidad Nacional del Nordeste.
McDonel, J. S. (2015). Exploring learning connections between music and mathematics in early childhood. Bulletin of the Council for Research in Music Education, (203), 45-62. https://doi.org/10.5406/bulcouresmusedu.203.0045
Meneses, J. & Rodrıíguez-Gómez, D. (2011). El cuestionario y la entrevista. Universitat Oberta de Catalunya. https://femrecerca.cat/meneses/publication/cuestionario-en-trevista/cuestionario-entrevista.pdf
Morales, Z. (2014). Analysis of students’ misconceptions and error patterns in mathematics: The case of fractions. South Florida Education Research Conference, 32, 1-10. https://digitalcommons.fiu.edu/cgi/viewcontent.cgi?article=1350&context=sferc
NAEP (2013). National Assessment of Educational Progress. Retrieved March 1, 2020, from https://nces.ed.gov/NationsReportCard/nqt/Search
Oshanova, N. T., Shekerbekova, S. T., Sagimbaeva, A. E., Arynova, G. C., & Kazhiakparova, Z. S. (2022). Methods and techniques of formation of arithmetic musical competence in students. International Journal of Learning and Change, 14(1), 46-56. https://doi.org/10.1504/IJLC.2022.119530
Piaget, J. (1962). The stages of the intellectual development of the child. Bulletin of the Menninger Clinic, 26(3), 120-128.
Rau, M. A., Aleven, V., & Rummel, N. (2015). Successful learning with multiple graphical representations and self-explanation prompts. Journal of Educational Psychology, 107(1), 30-46. https://doi.org/10.1037/a0037211
Ribeiro, F. S., & Santos, F. H. (2017). Enhancement of numeric cognition in children with low achievement in mathematic after a non-instrumental musical training. Research in Developmental Disabilities, 62(January), 26-39. https://doi.org/10.1016/j. ridd.2016.11.008
Rico, L. (1997). Mathematics education in secondary education. Horsori.
Sidney, P. G., Thompson, C. A., & Rivera, F. D. (2019). Number lines, but not area models, support children’s accuracy and conceptual models of fraction division. Contemporary Educational Psychology, 58, 288-298. https://doi.org/10.1016/j.cedpsych.2019.03.011
Siegler, R., Carpenter, T., Fennell, F., Geary, D., Lewis, J., Okamoto, Y., Thompson, L., & Wray, J. (2010). Developing effective fractions instruction for kindergarten through 8th grade: A practice guide (NCEE #2010-4039). National Center for Education Evaluation and Regional Assistance, Institute of Education Sciences, US Department of Education. Retrieved from https://whatworks.ed.gov/publications/practiceguides.
Siegler, R., Fazio, L., Bailey, D., & Zhou, X. (2013). Fractions: The new frontier for theories of numerical development. Trends in cognitive sciences, 17(1), 13-19.
UE. (2011). The Lifelong Learning Programme: education and training opportunities for all [Access: 02/15/2023]. https://eur-lex.europa.eu/EN/legal-content/summary/life-long-learning-programme-2007-13.html
van Beethoven, L. (1824). Sinfonía n.° 9, la Oda a la alegría. Viena.
Veraksa, N., Colliver, Y., & Sukhikh, V. (2022). Piaget and Vygotsky’s Play Theories: The Profile of Twenty-First-Century Evidence. In N. Veraksa & I. P. Samuelsson (Eds.) Piaget and Vygotsky in the XXI century. Discourse in early childhood education (pp. 165-190). Springer.
Vinner, S., Hershkowitz, R., & Bruckheimer, M. (1981). A Forum for Researchers: Some Cognitive Factors as Causes of Mistakes in the Addition of Fractions. Journal for Research in Mathematics Education, 12(1), 70-76. https://doi.org/10.5951/jresemathe-duc.12.1.0070
Wilson, R. J., Flood, R., & Fauvel, J. (2003). Music and mathematics: From Pythagoras to fractals. Oxford University Press.
Notas de autor