ARTIGO ORIGINAL
As mudanças na política de atenção primária e a (in)sustentabilidade da Estratégia Saúde da Família
Changes in the primary care policy and the (un)sustainability of the Family Health Strategy
As mudanças na política de atenção primária e a (in)sustentabilidade da Estratégia Saúde da Família
Saúde em Debate, vol. 47, núm. 137, pp. 13-30, 2023
Centro Brasileiro de Estudos de Saúde
Recepção: 28 Julho 2022
Aprovação: 30 Janeiro 2023
Financiamento
Fonte: Fiocruz/VPPCB
Número do contrato: 25380.101539/2019-05
Descrição completa: Suporte financeiro: Fortalecimento da Atenção Primária em Saúde no Brasil – PMA 2019 (Fiocruz/VPPCB; processo 25380.101539/2019-05). A publicação recebeu apoio do Programa de Pós-Graduação em Saúde Coletiva da universidade Estadual de Londrina. LDL é bolsista de produtividade em pesquisa do CNPq e Cientista do Nosso Estado da Faperj
RESUMO: A Atenção Primária à Saúde é um nível de atenção estratégico para a conformação de um sistema de saúde sustentável e capaz de responder a necessidades diversas. Este artigo teve como objetivo analisar a normatização federal e suas implicações para a organização das equipes de atenção primária no Brasil. Pesquisa exploratória de métodos mistos, envolvendo a análise de 25 portarias federais e de dados secundários de abrangência nacional referentes às equipes homologadas no Cadastro Nacional de Estabelecimentos de Saúde, no período de 2017 a 2021. Os resultados indicam mudanças na direcionalidade da política quanto à configuração, ao financiamento e ao credenciamento das equipes. Verificaram-se expansão das equipes de atenção primária, redução de Agentes Comunitários de Saúde e enfraquecimento do Núcleo de Apoio à Saúde da Família. Os resultados sugerem que os estímulos a outros arranjos de equipes e a flexibilização da cobertura do agente comunitário e da atuação multiprofissional comprometem a sustentabilidade do modelo de Saúde da Família no Sistema Único Saúde.
PALAVRAS-CHAVES: Atenção Primária à Saúde, Política de saúde, Modelos de assistência à saúde, Equipe de assistência ao paciente.
ABSTRACT: Primary Health Care is a strategic level of care for forming a sustainable health system that responds to diverse needs. This article analyzed federal regulation and its implications for establishing primary care teams in Brazil. Exploratory mixed methods research involves analyzing 25 federal ordinances and secondary data of national scope referring to the teams approved in the National Register of Health Establishments from 2017 to 2021. The results indicate changes in the direction of the policy regarding the configuration, funding, and accreditation of teams. There was an expansion of primary care teams, a reduction in community health agents, and a weakening of the Family Health Support Center. The results suggest that the incentives for other team arrangements, the flexibility of the coverage of the community agent, and the multidisciplinary action compromise the sustainability of the Family Health model in the Unified Health System.
KEYWORDS: Primary Health Care, Health policy, Healthcare models, Patient care team.
Introdução
A Atenção Primária à Saúde (APS) é reconhecida internacionalmente como um nível de atenção estratégico para a conformação de sistemas de saúde sustentáveis e capazes de lidar com necessidades diversas1,2 da população, com equidade, eficácia e resolutividade3,4. Entretanto, as concepções e formas de organização da APS variam de modo significativo entre os países da América Latina e do mundo, estando relacionadas às ideias centrais que orientam políticas públicas, aos modelos de proteção social e de sistemas de saúde em que se inserem5.
Historicamente, como primeiro nível de atenção, a APS associa-se à constituição dos sistemas universais de saúde na Europa e na União Soviética, pós-Segunda Guerra Mundial. Nesse contexto, a APS destaca-se como alicerce para organização do sistema, responsável pelo primeiro contato com a população e pela garantia da longitudinalidade, integralidade e coordenação do cuidado – essencialmente médico naquele momento6.
Na Conferência e Declaração de Alma Ata, em 1978, momento em que se amplia a compreensão sobre os fatores que determinam as condições de saúde da população, a APS adquire novas concepções. A APS passa a ter caráter abrangente, pautando-se nas dimensões individual e coletiva/territorial do processo saúde-doença e na atenção integral, por meio de ações clínicas e de promoção à saúde e de estratégias de participação social7.
Já a APS seletiva se constrói conceitualmente em oposição à abrangente, como parte de uma crítica à amplitude das suas ações, formalizada em Relatório do Banco Mundial, publicado em 1993. Propõe uma cesta limitada de serviços, em geral, focalizados em populações com maior vulnerabilidade socioeconômica. Essa concepção está intimamente ligada a modelos de proteção social e de sistemas de saúde mais restritivos, recomendados por organismos internacionais para reformas de Estado na América Latina durante os anos 19908.
No Brasil, o Programa Saúde da Família (PSF) se configurou como principal modelo de APS no Sistema Único de Saúde (SUS) a partir da segunda metade dos anos 1990, por meio de mecanismos de regulação e financiamento federal, permanecendo como política prioritária nos anos 20009. Entre os marcos desse processo, destacam-se: a criação do PSF, em 1994, e sua transformação em Estratégia Saúde da Família (ESF), em 1996; a implantação de modalidades de repasse de recursos e incentivos financeiros federais direcionados para o financiamento da APS (o Piso de Atenção Básica fixo e variável), a partir de 1998; e a publicação da Política Nacional de Atenção Básica (PNAB), em 2006, e sua revisão, em 2011. Importante ressaltar que, mesmo com dificuldades e lacunas, foram as políticas direcionadas para o fortalecimento da APS no Brasil que mais favoreceram a implantação dos princípios e diretrizes do SUS, uma vez que produziram diversas mudanças no modelo de atenção e na gestão do trabalho em saúde nos municípios.
Estudos indicam que parte significativa dos avanços observados no SUS se devem à implantação e expansão do modelo de Saúde da Família no território nacional10,11,12,13,14,15. Esse se caracteriza pela composição de equipes multiprofissionais, que operam nas dimensões individual, familiar e coletiva/territorial do cuidado à saúde, e está voltado para uma ampla diversidade de situações e de necessidades de saúde, relacionadas ou não a grupos populacionais específicos16,17. A atuação de equipes de Saúde Bucal (eSB), dos Agentes Comunitários de Saúde (ACS) e dos Núcleos de Apoio à Saúde da Família (Nasf ) integra o modelo, contribuindo para o alcance de práticas mais resolutivas e coerentes com as necessidades de saúde do território18,19,20.
Mais recentemente, o papel da APS nos sistemas de saúde tem sido valorizado nas respostas dos países à pandemia de Covid-19. A APS foi importante tanto no diagnóstico precoce, acompanhamento de casos leves e vigilância em saúde21 quanto na continuidade da atenção e no apoio social a populações específicas por meio de ações intersetoriais22. Destaca-se, também, a sua atuação no teleatendimento, no rastreamento de casos e contatos, na articulação com a vigilância epidemiológica e na vacinação23,24,25. Resultados mais ou menos robustos estão relacionados à capacidade prévia da APS e do sistema de saúde, incluindo financiamento e disponibilidade de trabalhadores26.
Contudo, desde 2017, observam-se mudanças na política nacional de atenção básica, que incidem sobre a composição das equipes de APS e sugerem inflexões e retrocessos com relação aos avanços obtidos com a APS, cuja estratégia primordial é a saúde da família27,28,29,30,31.
Partindo dessa discussão, este artigo tem como objetivo analisar a normatização federal e suas implicações para a organização das equipes de APS no Brasil, no período de 2017 a 2021. Busca-se identificar a direcionalidade da política nacional de saúde e seus efeitos para a sustentabilidade do modelo do Saúde da Família no SUS.
Material e métodos
Trata-se de estudo exploratório de métodos mistos, envolvendo análise documental e de dados secundários de abrangência nacional.
Os documentos foram obtidos do ‘Saúde Legis’, sistema que reúne a regulamentação do SUS, incluindo os atos normativos federais disponibilizados pelo Ministério da Saúde – MS (http://saudelegis.saude.gov.br/saudelegis/secure/norma/listPublic.xhtml)32. O processo de seleção dos documentos se desdobrou em três fases, sistematizadas na figura 1.

Na primeira etapa, os documentos foram selecionados segundo os seguintes critérios: a) tipo de ato normativo: portaria ministerial (PRT), portaria interministerial (PRI) e portaria de consolidação (PRC); b) data da publicação: 21/09/2017 a 31/12/2021 (data de publicação da nova portaria de Atenção Básica até o fechamento do ano de 2021); c) origem: Gabinete do Ministro (GM), Secretaria de Atenção à Saúde (SAS) e Secretaria de Atenção Primária à Saúde (Saps). Na segunda etapa, realizaram-se leitura das ementas e identificação dos atos normativos relacionados ao financiamento e à organização das equipes que atuam no âmbito da APS. Na terceira etapa, procedeu-se à leitura na íntegra dos documentos, com identificação dos atos normativos sistematizados nas portarias de consolidação, cujo conteúdo tinha relação com o problema de pesquisa e que estavam vigentes no período de estudo.
Ao final desse processo, 25 documentos foram selecionados para análise temática, com suas respectivas etapas de categorização, descrição e interpretação33. Os resultados da análise documental foram agrupados em: configuração (composição, parâmetros de cobertura e carga horária), financiamento (valor do incentivo e fonte do incentivo) e processo de credenciamento das equipes (fluxo de credenciamento, cadastramento, fixação das equipes e monitoramento, acompanhamento e avaliação).
Os dados secundários foram obtidos do sistema de informação em saúde do MS, disponibilizados pelo Departamento de Informática do SUS (http://datasus.saude.gov.br/), referentes às equipes que atuam na APS homologadas no Cadastro Nacional de Estabelecimentos de Saúde (CNES) no período de 2017 a 2021. Do CNES, foram extraídos dados relativos ao número de equipes de Saúde da Família (eSF), de Atenção Básica (eAB)/Atenção Primária (eAP), do Núcleo de Apoio à Saúde da Família/ Atenção Básica (eNasf-AB) e de ACS, e seu processamento considerou as macrorregiões do País e o cálculo da variação percentual no período de estudo.
Os resultados da análise documental foram confrontados com as variações percentuais dos tipos de equipes homologadas, buscando evidenciar a direcionalidade da política nacional de saúde e suas implicações.
Destaca-se que, por se tratar de uma pesquisa que utilizou documentos e dados secundários disponíveis publicamente em sistemas de informação, não foi necessário submeter o projeto deste estudo a um comitê de ética e pesquisa envolvendo seres humanos.
Resultados
Os resultados estão organizados em duas seções. A primeira apresenta as determinações normativas no que se refere à configuração, ao financiamento e ao credenciamento das equipes que atuam na APS, e a segunda aborda a evolução da composição dessas equipes no período de 2017 a 2021.
Configuração, financiamento e processo de credenciamento de equipes
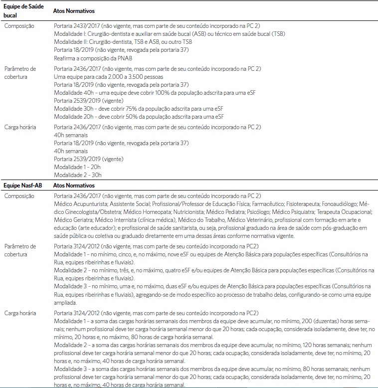
Os quadros 1e2 sistematizam os 25 atos normativos selecionados e analisados segundo os eixos de configuração e financiamento das equipes.





Mudanças relacionadas à composição, ao parâmetro de cobertura e à carga horária dos membros das equipes que atuam na APS podem ser observadas na regulamentação federal do SUS (quadro 1). A eSF, cujo parâmetro de cobertura variava de 2 mil a 3,5 mil pessoas, passou a se diferenciar de acordo com a classificação geográfica dos municípios do Instituto Brasileiro de Geografia e Estatística (IBGE). Com a publicação do Programa Previne Brasil (PPB), em 2019, programa que define novas regras de financiamento federal para as ações e os serviços de APS no Brasil, preconizaram-se: uma equipe por 2000 habitantes nos municípios intermediários remotos e rurais remotos, e uma equipe por 4000 habitantes nos municípios urbanos. Com relação à carga horária, todos os membros da equipe devem cumprir 40h semanais, com exceção das unidades que tenham aderido ao Saúde na Hora. O Saúde na Hora é um programa que visa a estender o horário de funcionamento das unidades de saúde.
Em 2017, a cobertura do ACS, que era de 750 pessoas, passou a ser flexibilizada com a publicação de nova versão da PNAB, sendo esse parâmetro recomendado apenas em áreas de grande dispersão territorial, áreas de risco e vulnerabilidade social. Também houve mudanças na cobertura da eAP a partir do Previne Brasil. Se, antes, as eAP modalidade I (20 horas semanais) cobriam 50% da população atendida pela eSF, agora, as coberturas são estabelecidas de acordo com a tipologia do IBGE do município do IBGE. O mesmo ocorreu com a eAP modalidade II (30 horas semanais).
Quanto à eSB, foram mantidas as modalidades I (composta por um cirurgião-dentista, um técnico ou um auxiliar de saúde bucal) e II (constituída por três membros, incluindo o cirurgião-dentista, dois técnicos ou um técnico e um auxiliar de saúde bucal), porém, com alterações nos parâmetros de cobertura determinados pela carga horária dos profissionais. A partir da criação da modalidade de 20h e de 30h, as coberturas exigidas passaram a ser, respectivamente, 50% e 75% da população adstrita para uma eSF. Sobre a equipe Nasf-AB, não houve alterações no que se refere à configuração.
No eixo financiamento, notam-se regras que privilegiam a expansão da eAP, para a qual os incentivos financeiros foram atualizados e ampliados por diversas vezes no período. Quanto à eSF, não houve alteração do valor do incentivo definido em 2012. Além disso, verifica-se o fim do financiamento da equipe Nasf-AB pelo Programa Previne Brasil e alterações nas formas de repasse das transferências federais para o financiamento da APS – em especial, pela substituição da modalidade per capita pela capitação ponderada. Diferentemente do repasse per capita, a capitação ponderada baseia-se na transferência de recursos apenas para usuários cadastrados pelas equipes de APS. Com o fim do PAB variável, a forma de repasse principal para o financiamento da eSB se dá por adesão a ações estratégicas. Já os ACS podem ser financiados por duas formas de repasse distintas: por meio da capitação ponderada, inserindo-se na ESF, ou por adesão a essa ação estratégica específica.
A sistematização do processo de credenciamento e homologação das equipes também apresenta pistas de como o modelo de APS vem se configurando. Sobre as regras de credenciamento (quadro 3), o ano de 2019 concentrou o maior número de normativas.

Destaca-se um movimento de simplificação do processo, sobretudo pela retirada da Comissão Intergestores Bipartite (CIB) como instância de deliberação sobre credenciamento de equipes. Na mesma linha, houve a unificação de diversos códigos de Identificador Nacional de Equipe (INE). No mesmo ano, foi publicada uma portaria fixando a quantidade de equipes de eSF e eAP e descrevendo o processo de acompanhamento, monitoramento e avaliação das equipes cadastradas. Chama atenção o fato de não haver menção para a equipe Nasf-AB nesse processo, mesmo ainda sendo possível seu cadastro no sistema. No ano de 2020, salienta-se o credenciamento automático das equipes para a condição de eAP, e, em 2021, a criação de critérios para a validação das equipes no CNES.
Evolução da composição das equipes que atuam na APS
A tabela 1 apresenta um panorama das equipes homologadas, nacionalmente e por macror-regiões, e a variação percentual de cada uma delas, de 2017 a 2021.

No âmbito nacional, a equipe que apresentou maior taxa de crescimento foi a eAP, com 821,52%, enquanto a eSF teve 17,93%. Essa disparidade se manteve em todas as regiões do País, até mesmo naquelas que possuem populações mais dependentes do SUS.
O ACS foi o que apresentou a menor taxa de crescimento (4,52%), com destaque para as regiões Sul e Centro-Oeste, onde houve queda do crescimento desse profissional. A eSB apresentou crescimento (média nacional de 31,14%), ainda que com variações entre as regiões do País, sendo o menor no Nordeste (19,79%) e o maior no Norte (45,56%).
Com relação à equipe Nasf-AB, verifica-se uma queda na homologação a partir de 2019, com uma diminuição de 6,75% nos cadastros em 2021, se comparado ao ano de 2019. A queda foi observada em todas as regiões, sendo a menor taxa de crescimento observada no Nordeste (1,28%).
Discussão
A ESF foi se consolidando gradativamente como a principal referência para organização da APS no SUS. Em que pese a existência de limites e desafios importantes, vários estudos indicam os avanços decorrentes do fortalecimento da ESF. Além disso, foram as políticas direcionadas para a APS as que mais favoreceram a implantação dos princípios e diretrizes do SUS35.
As eSF tiveram papel fundamental na garantia do primeiro contato, na longitudinalidade e na coordenação do cuidado. Ao atuarem em áreas geográficas definidas e com populações adstritas, permitiram a construção de vínculo e reconhecimento de necessidades dos usuários20,36,37. Estudos indicam que a implantação e a expansão da ESF ampliaram o acesso da população aos serviços de saúde38, favoreceram a redução da mortalidade infantil e de internações por condições sensíveis à APS16,17,18,19,20,21 e a equidade em saúde23.
No período 1994-2001, o crescimento eSF foi significativo, registrando-se 328 em 1994 e 10.788 em 2001. Neste último ano, as equipes estavam presentes em 4.266 municípios, prestando assistência a 36 milhões de brasileiros38. A regulação federal, baseada, principalmente, na emissão de portarias atreladas a mecanismos de repasses de recursos financeiros do MS, foi fundamental para adesão e implantação do modelo pelos municípios15.
Desse modo, apostar em políticas que promovam a sustentabilidade do Saúde da Família torna-se fundamental para garantia dos avanços obtidos. Mas as mudanças recentes nas regras federais sobre a APS e a evolução observada na composição das equipes não apontam para isso. Pelo contrário, sugerem uma competição entre os modelos de equipes eSF e eAP. As eSF foram financiadas exclusivamente até 2017, quando houve a revisão da PNAB e a instituição das eAP. A depender de quais equipes se fortalecem, determinadas modalidades de atenção se consolidam, produzindo efeitos diretos nos serviços prestados e, consequentemente, na saúde da população.
A análise das portarias ministeriais revelou uma atenção especial à eAP, marcada por três características: por diversas vezes, os valores dos repasses federais para financiamento das eAP foram atualizados, diferentemente das eSF, que não sofreram reajustes desde 2012; o credenciamento para eAP tornou-se automático para algumas equipes cadastradas no CNES; e houve flexibilização da carga horária dos profissionais vinculados a esse tipo de equipe. Ou seja, percebe-se a facilitação da contratação de profissionais em um modelo que prioriza o cuidado individual e o atendimento à demanda espontânea39.
De acordo com Morosini, Fonseca e Lima27, a composição das eAP pode ser mais atraente, já que elas contam com menos profissionais do que as ESF e, portanto, podem ter um custo mais baixo; são mais fáceis de organizar, em função da flexibilidade da carga horária; e são, também, financeiramente apoiadas. Os resultados desse estudo corroboram os aspectos de preferência pelas eAP apontados pelas autoras.
O crescimento do cadastro da eAP de 2017 até 2021 foi de 821,52%, contra um crescimento de 17,93% da eSF. Essas disparidades se mantêm em todas as regiões do País, até mesmo naquelas com populações mais carentes e vulnerabilizadas. Em longo prazo, se essas taxas se mantiverem, grande parte da população brasileira não contará mais com equipes que tenham a presença do ACS. Isso, em termos de modelo de atenção, pode trazer resultados preocupantes no tocante, sobretudo, ao acesso universal. O crescimento da eAP também tende a fortalecer a presença de profissionais cuja formação permanece fortemente orientada para o controle de riscos individuais27.
Com relação às eSB, apesar dos resultados apontarem a taxa de crescimento, um estudo recente mostrou uma significativa supressão na contratualização de eSB de modalidade II40. Reis et al.41 também identificaram uma presença cinco vezes maior de eSB I em relação às eSB II no Sul e no Sudeste do Brasil. Embora o presente estudo não tenha realizado a discriminação entre as modalidades I e II, considerando as normativas que flexibilizam a carga horária e garantem o repasse de recursos federais para as equipes de modalidade I, é possível que o aumento observado se dê apenas nessas conformações em que o quantitativo de profissionais é menor.
Desse modo, os avanços conquistados a partir da Política Nacional de Saúde Bucal (PNSB), implantada em 2004 e que abrange a promoção da saúde, a prevenção de agravos, o diagnóstico, o tratamento e a reabilitação42, podem estar comprometidos com essa nova configuração de eSB com menos profissionais43. O mesmo é apontado por Probst et al.44, os quais ressaltam que as ações propostas pela PNSB para inversão do modelo de atenção à saúde bucal têm sido descontinuadas, sobretudo pela precariza-ção do serviço e pela falta de investimentos.
A nova PNAB também flexibilizou o parâmetro de cobertura de ACS. Atualmente, é possível credenciar uma equipe que tenha apenas um ACS, ao contrário do que ocorria na PNAB anterior, que preconizava no mínimo quadro agentes por eSF. Ou seja, mesmo o MS afirmando que as eSF são uma estratégia prioritária, elas estão, gradativamente, constituindo-se em equipes com quantidades menores de ACS. O estudo de Gomes, Gutiérrez e Soranz45 já detectou que, mesmo com o aumento de cadastro de eSF, houve, no período de 2017 a 2019, uma redução no quantitativo de ACS no País.
Neste estudo, verificou-se que os ACS foram aqueles que apresentaram menor taxa de crescimento (4,52%), sendo que, em algumas regiões (Sul e Centro-Oeste), houve queda. Destaca-se que barrar essa tendência de redução de ACS nas equipes parece pouco provável, visto que houve um processo de simplificação do credenciamento das equipes. Isso quer dizer que outras instâncias, como a CIB, que participavam do processo de aprovação das equipes credenciadas, atualmente, não participam mais desse processo.
Além disso, observa-se um represamento, por parte do governo federal, com relação aos pedidos de validação das equipes. Ou seja, além de ser atualmente o único ente a deliberar sobre a ação de credenciamento das equipes, demonstra morosidade no desenvolvimento desse processo, colocando em questionamento o quanto a ‘desburocratização’ realmente trouxe maior agilidade ao processo de implantação das equipes.
A tendência atual de configuração da APS com um quantitativo menor de ACS nos desloca para um modelo capaz de dar sustentabilidade para a Saúde da Família? Para Giovanella et al.46, a ausência do ACS na equipe afeta um dos pilares do modelo assistencial que caracteriza a ESF em seu componente comunitário e de promoção da saúde, pautado pela concepção da determinação social do processo saúde-doença e da clínica ampliada.
Para Morosini, Fonseca e Lima27, essa configuração expressa a desconstrução de um compromisso com a expansão da ESF e do sistema público de saúde. Além disso, o risco de se recomporem barreiras ao acesso à saúde é grande, tendo em vista que é justamente o ACS que contribui para facilitar o acesso e proporcionar uma relação estável e contínua entre a população e os serviços de APS. As autoras ainda destacam que haverá um comprometimento de processos de trabalho, tais como: a escuta e a percepção de problemas e necessidades que poderiam ser invisíveis aos serviços, bem como a identificação e a criação de possibilidades de intervenção, dadas a partir de seus conhecimentos sobre a dinâmica da vida no território.
Outra questão de destaque é o fim do financiamento das equipes Nasf-AB. O gestor municipal possui autonomia para manter esse arranjo, mas, com a ausência de financiamento, é provável que o componente multiprofissional seja enfraquecido no âmbito da APS. Atividades como matriciamento, educação permanente, comunicação, planejamento conjunto, decisões, saberes e responsabilidade compartilhados, para uma maior resolutividade do cuidado, provavelmente serão descontinuadas mediante a possibilidade concreta de demissão desses profissionais28,39.
Os resultados revelaram que houve crescimento em todas as regiões (2017 a 2021), mas, se considerados os registros a partir de 2019, a tendência é de queda. Além disso, por mais que o credenciamento seja mantido, isso não necessariamente significa que a lógica de trabalho das equipes Nasf-AB esteja sendo preservada.
Estudo recente de Lopes47 revelou que os profissionais foram remanejados para outras funções. A falta de interesse do MS no Nasf-AB também se expressa quando não cita esse tipo de equipe na portaria que estabelece o processo de monitoramento, acompanhamento e avaliação das equipes. Paulino et al.48 alertam que excluir uma das principais estratégias de interprofissionalidade da APS não garante que as demais equipes atuem de maneira integrada, interdisciplinar e multiprofissional.
Com base no exposto, verifica-se o fortalecimento de um novo arranjo de equipe, o desmonte de práticas voltadas para ações de promoção e prevenção a saúde, além da fragilidade na construção do vínculo com a comunidade e o território. Ao que tudo indica, a tendência de indução de uma APS mais restritiva, com características de priorização da demanda espontânea e do atendimento individualizado, causa constrangimentos para a sustentação da APS com foco na ESF.
Considerações finais
No marco de um sistema universal, resiliente e sustentável (econômica e socialmente), a APS integra o conjunto de ações e serviços de saúde dedicados a atender às necessidades individuais e coletivas de uma determinada população, comunidade ou território, envolvendo práticas de cuidado multiprofissionais, articulações com serviços de atenção especializada, relações intersetoriais e com a sociedade.
O estudo visou a identificar em que medida as novas regras de organização da APS repercutem na composição das equipes, aspecto fundamental do modelo de Saúde da Família. Os resultados sugerem que os estímulos a outros arranjos de equipes de saúde, a flexibilização da cobertura do ACS e da atuação multiprofissional comprometem a sustentabilidade do modelo de Saúde da Família no SUS.
Do ponto de vista das normativas federais, verificou-se que as regras tendem a fortalecer uma perspectiva de APS menos abrangente. Algumas características presentes no modelo desenvolvido até 2017 parecem ter perdido prioridade, entre elas, um processo de trabalho de base multiprofissional, vinculado ao território, com condições para que a equipe ampliada atuasse em direção à promoção do acesso e de ações integrais. No que se refere aos dados de homologação, a composição das equipes evidencia a mesma tendência, marcada pelo forte crescimento da eAP, tendência de redução de ACS e de equipes que atuam na lógica multiprofissional.
O governo federal, como um ente com alto poder de indução e coordenação de políticas, assume a defesa de modelo de APS bastante distinto do que se observava nas políticas de APS anteriores. Posto isso, cabe questionar: a quem, a quais grupos e a quais setores interessa a construção de um novo modelo de APS mais restritivo e menos universal?
Referências
Starfield B, Shi L, Macinko J. Contribution of primary care to health systems and health. Milbank Q. 2005; (83):457-502.
Organização Pan-Americana da Saúde. Renovação da atenção primária em saúde nas Américas: documento de posicionamento da Organização Pan-Americana da Saúde/Organização Mundial da Saúde (OPAS/ OMS). Washington, DC: Organização Pan-Americana da Saúde; 2007. [acesso em 2022 mar 14]. Disponível em: http://bvsms.saude.gov.br/bvs/publicacoes/re-novacao_atencao_primaria_saude_americas.pdf.
Lawn JE, Rohde J, Rifkin S, et al. Alma-Ata 30 years on: revolutionary, relevant, and time to revitalise. The Lancet. 2008; 372(9642):917-927.
Walley J, Lawn JE, Tinker A, et al. Primary health care: making Alma-Ata a reality. The Lancet. 2008; 372(9642):1001-1007.
Pereira AMM, Castro ALB, Oviedo RAM, et al. Atenção primária à saúde na América do Sul em perspectiva comparada: mudanças e tendências. Saúde debate. 2012; 36(94):482-499.
Giovanella L, Mendonça MHM. Atenção Primária. In: Giovanella L, Escorel S, Lobato LVC, et al. Políticas e sistemas de saúde no Brasil. 2. ed. Rio de Janeiro: Editora Fiocruz; 2012. p. 493-546.
Giovanella L. Atenção Primária à Saúde seletiva ou abrangente? Cad. Saúde Pública. 2008; 24(supl1):7-2 7.
Cueto M. The origins of primary health care and selective primary health care. Am J Public Health. 2004; (94):1864-1874.
Castro ALB, Machado CV. A política de atenção primária à saúde no Brasil: notas sobre a regulação e o financiamento federal. Cad. Saúde Pública. 2010; 26(4):693-705.
Macinko J, Guanais FC, Fátima M, et al. Evaluation of the impact of the Family Health Program on infant mortality in Brazil, 1990-2002. J Epidemiol Community Health. 2006; 60(1):13-19.
Macinko J, Souza MFM, Guanais FC, et al. Going to scale with community-based primary care: An analysis of the family health program and infant mortality in Brazil, 1999-2004. Soc Sci Med. 2007; 65(10):2070-2080.
Aquino R, Oliveira NF. Impact of the Family Health Program on Infant Mortality in Brazilian Municipalities. Am J Public Heal. 2009; 99(1):87-93.
Guanais FC, Macinko J. Primary Care and Avoidable Hospitalizations: Evidence from Brazil. J Ambul Care Manag. 2009; 32(2):115-22.
Fausto MCR, Giovanella L, Mendonça MHM, et al. A posição da Estratégia Saúde da Família na rede de atenção à saúde na perspectiva das equipes e usuários participantes do PMAQ-AB. Saúde debate. 2014; 38(esp):13-33.
Facchini LA, Thumé E, Nunes BP, et al. Governance and Health System Performance: National and Municipal Challenges to the Brazilian Family Health Strategy. In: Reich MTK, editor. Governing Health Systems. Brookline: Lamprey & Lee; 2015. p. 203-36.
Arantes LJ, Shimizu HE, Merchán-Hamann E. Contribuições e desafios da Estratégia Saúde da Família na Atenção Primária à Saúde no Brasil: revisão da literatura. Ciênc. saúde coletiva. 2016; 21(5):1499-1510.
Malta DC, Santos MAS, Stopa SR, et al. A Cobertura da Estratégia de Saúde da Família (ESF) no Brasil, segundo a Pesquisa Nacional de Saúde, 2013. Ciênc. saúde coletiva. 2016; 21(2):327-338.
Ribeiro MDA, Bezerra EMA, Costa MS, et al. Avaliação da atuação do Núcleo de Apoio à Saúde da Família. Rev. Bras. Promoção Saúde. 2014; (2):224-231.
Silveira Filho AD. Potencial de efetividade das estratégias de promoção da saúde bucal na atenção primária à saúde: estudo comparativo entre capitais e regiões do Brasil. Rev. bras. Epidemiol. 2016; 19(4):851-865.
Alonso CMC, Béguin PD, Duarte FJCM. Trabalho dos agentes comunitários de saúde na Estratégia Saúde da Família: metassíntese. Rev. Saúde Pública. 2018 [acesso em 2022 mar 25]; (52):1-13. Disponível em: https://doi.org/10.11606/S1518-8787.2018052000395.
Organização Mundial da Saúde. Escritório Regional para o Pacífico Ocidental. Papel da atenção primária na resposta ao COVID-19. Escritório Regional da OMS para o Pacífico Ocidental. [acesso em 2021 abr 10]. Disponível em: https://apps.who.int/iris/handle/10665/331921.
Medina MG, Giovanella L, Bousquat A, et al. Atenção primária à saúde em tempos de COVID-19: o que fazer? Cad. Saúde Pública. 2020 [acesso em 2022 mar 25]; 36(8):e00149720. Disponível em: https://doi.org/10.1590/0102-311X00149720.
Prado NMBL, Rossi TRA, Chaves SCL, et al. The international response of primary health care to COVID-19: document analysis in selected countries. Cad. Saúde Pública. 2020 [acesso em 2022 mar 25]; 36(12):e00183820. Disponível em: https://doi.org/10.1590/0102-311X00183820.
Prado NMBL, Biscarde DGS, Pinto Junior EP, et al. Ações de vigilância à saúde integradas à Atenção Primária à Saúde diante da pandemia da COVID-19: contribuições para o debate. Ciênc. saúde coletiva. 2021 [acesso em 2022 mar 25]; 26(7):2843-2857. Disponível em: https://doi.org/10.1590/141381232021267.00582021.
Machado CV, Pereira AMM, Freitas CM. As Respostas dos Países à Pandemia em Perspectiva Comparada: semelhanças, diferenças, condicionantes e lições. In: Machado CV, Pereira AMM, Freitas CM, organizadores. Políticas e sistemas de saúde em tempos de pandemia: nove países, muitas lições. Rio de Janeiro: Observatório Covid-19 Fiocruz; Editora Fiocruz; 2022. p. 323-342.
Pereira AMM, Machado CV, Veny MB, et al. Governança e capacidade estatal frente à Covid-19 na Alemanha e Espanha: respostas nacionais e sistemas de saúde em perspectiva comparada. Ciênc. saúde coletiva. 2021 [acesso em 2022 mar 25]; 26(10):4425-4457. Disponível em: https://doi.org/10.1590/1413812320212610.11312021.
Morosini MVGC, Fonseca AF, Lima LD. Política Nacional de Atenção Básica 2017: retrocessos e riscos para o Sistema Único de Saúde. Saúde debate. 2018; 42(116):11-24.
Melo EA, Almeida PF, Lima LD, et al. Reflexões sobre as mudanças no modelo de financiamento federal da Atenção Básica à Saúde no Brasil. Saúde debate. 2019; 43(esp5):137-144.
Morosini MVGC, Fonseca AF, Baptista TWF. Previne Brasil, Agência de Desenvolvimento da Atenção Primária e Carteira de Serviços: radicalização da política de privatização da atenção básica? Cad. Saúde Pública. 2020; 36(9):e00040220.
Massuda A. Mudanças no financiamento da Atenção Primária à Saúde no Sistema de Saúde Brasileiro: avanço ou retrocesso? Ciênc. saúde coletiva. 2020; 25(4):1181-1188.
Mendes A, Melo AM, Carnut L. Análise crítica sobre a implantação do novo modelo de alocação dos recursos federais para atenção primária à saúde: ope-racionalismo e improvisos. Cad. Saúde Pública. 2022 [acesso em 2021 set 20]; 38(2):e00164621. Disponível em: https://doi.org/10.1590/0102-311X00164621.
Brasil. Ministério da Saúde. Sistema Saúde Legis. Sistema de Pesquisa de Legislação que reúne os atos normativos do Sistema Único de Saúde (SUS), no âmbito da esfera federal. [acesso em 2021 set 20]. Disponível em: http://saudelegis.saude.gov.br/saudelegis/secure/norma/listPublic.xhtml.
Bardin L. Análise de conteúdo. Lisboa: Editora Edições 70; 2020.
Brasil. Ministério da Saúde. Cadastro Nacional de Estabelecimentos de Saúde. Profissionais. [acesso em 2021 out 15]. Disponível em: http://cnes.datasus.gov.br/.
Carvalho BG, Cordoni Junior L, Souza RKT, et al. A organização do Sistema de Saúde no Brasil. In: Andrade SM, Cordoni Junior L, Carvalho BG, et al., organizadores. Bases de Saúde Coletiva. Eduel: Londrina; 2017. p. 70-136.
Brasil. Decreto Federal nº 7.508, de 28 de junho de 2011. Regulamenta a Lei nº 8.080, de 19 de setembro de 1990, para dispor sobre a organização do Sistema Único de Saúde – SUS, o planejamento da saúde, a assistência à saúde e a articulação interfederativa, e dá outras providências. Diário Oficial da União. 28 Jul 2011.
Brasil. Ministério da Saúde. Política Nacional de Atenção Básica. Brasília, DF: MS; 2011.
Marques RM, Mendes Á. A política de incentivos do Ministério da Saúde para a atenção básica: uma ameaça à autonomia dos gestores municipais e ao princípio da integralidade? Cad. Saúde Pública. 2002; 18(supl):163-171.
Giovanella L, Franco CM, Almeida PF. Política Nacional de Atenção Básica: para onde vamos? Ciênc. saúde coletiva. 2020; 25(4):1475-1482.
Martins CP. Repercussões do financiamento e da organização dos serviços de saúde bucal para o modelo de atenção odontológica na macrorregião norte do Paraná. [dissertação]. Londrina: Universidade Estadual de Londrina; 2022.
Reis PAM, Corrêa CP, Martins CB, et al. O técnico em saúde bucal: a atuação deste profissional no serviço público de saúde. RGSS. 2017; 6(3):293-305.
Lucena EHG, Pucca JRGA, Sousa MF. A Política Nacional de Saúde Bucal no Brasil no contexto do Sistema Único de Saúde. Tempus. 2011; 5(3):53-63.
Chaves SCL, Almeida AMFL, Reis CS, et al. Política de Saúde Bucal no Brasil: as transformações no período 2015-2017. Saúde debate. 2018; 42(esp2):76-91.
Probst LF, Pucca Junior GA, Pereira AC, et al. Impacto das crises financeiras sobre os indicadores de saúde bucal: revisão integrativa da literatura. Ciênc. saúde coletiva. 2019; 24(12):4437-4448.
Gomes CBS, Gutiérrez AC, Soranz D. Política Nacional de Atenção Básica de 2017: análise da composição das equipes e cobertura nacional da Saúde da Família. Ciênc. saúde coletiva. 2020; 25(4):1327-1338.
Giovanella L, Bousquat A, Schenkman S, et al. Cobertura da Estratégia Saúde da Família no Brasil: o que nos mostram as Pesquisas Nacionais de Saúde 2013 e 2019. Ciênc. saúde coletiva. 2021; 26(supl1):2543-2556.
Lopes WP. Repercussões do contexto sócio-político, sanitário e normativo para a oferta e organização de serviços de Atenção Básica na Macrorregião Norte do Paraná. [dissertação]. Londrina: Universidade Estadual de Londrina; 2022.
Paulino KC, Silva FC, Barros APM, et al. Reflexões sobre o novo financiamento da atenção básica e as práticas multiprofissionais. BJD. 2021; 7(1):5362-5372.
Notas
Declaração de interesses