ORIGINAL ARTICLE
The impact of bolsonarismo on COVID-19 vaccination coverage in Brazilian municipalities
O impacto do bolsonarismo na cobertura vacinal de Covid-19 em municípios brasileiros
The impact of bolsonarismo on COVID-19 vaccination coverage in Brazilian municipalities
Saúde em Debate, vol. 47, no. 139, pp. 806-817, 2023
Centro Brasileiro de Estudos de Saúde
Received: 08 March 2023
Accepted: 15 August 2023
ABSTRACT: The immunization campaign against COVID-19 started in Brazil in January 2021 after strong pressure from society on the federal government, which had created a series of ideological obstacles against vaccines, especially those produced with Chinese inputs. This article analyzes the impact of far-right ideology on the spatial distribution of vaccine coverage against COVID-19 in Brazilian municipalities. By means of hierarchical models, it was identified that, maintaining constant socio-demographic characteristics and the structures of the Unified Health System, the degree of bolsonarismo in the municipalities had a negative impact on the coverage rates of the first, second and, especially, of the third dose.
KEYWORDS: Vaccination coverage, COVID-19 Vaccines, Immunization programs, Attitude to health, Ideology.
RESUMO: A campanha de imunização contra a Covid-19 foi iniciada no Brasil em janeiro de 2021 após forte pressão da sociedade sobre o governo federal, que havia criado uma série de empecilhos ideológicos às vacinas, sobretudo as produzidas com insumos chineses. Este artigo analisa o impacto da ideologia de extrema direita na distribuição espacial da cobertura vacinal contra Covid-19 nos municípios brasileiros. Por meio de modelos hierárquicos multiníveis de dois estágios identificou-se que, mantidas constantes as características sociodemográficas e as estruturas do Sistema Único de Saúde, o grau de bolsonarismo nos municípios impactou negativamente as taxas de cobertura da primeira, da segunda e, especialmente, da terceira dose da vacina.
PALAVRAS-CHAVE: Cobertura vacinal, Vacina Covid-19, Programas de imunização, Atitude frente a saúde, Ideologia.
Introduction
The aim of this article is to analyze the impact of the federal government’s statements and actions on the COVID-19 vaccination coverage rate in Brazil. The development of an effective vaccine against SARS-CoV-2 occurred swiftly within the scientific production chain. However, in the past few years, countries have encountered structural issues in terms of vaccine production, procurement, and distribution1. Despite the successful implementation of the National Immunization Plan (PNI)2-4, Brazil has faced additional challenges in acquiring and administering vaccines. President Jair Bolsonaro, like some far-right international leaders5,6, has publicly discouraged the population from getting vaccinated through his speeches and interviews.
Populism, in a minimalistic definition, is a ‘thin ideology’ that views an overlap between the elite and the people. In these definitions, the people and society are central, with society being depicted as divided into two homogenous and antagonistic sides. In this context, one can find a ‘pure’ people opposed to a corrupt elite, with the belief that politics should reflect the general will of the people7-9.
Far-right populism, as exemplified by the ideology of Brazilian President Jair Bolsonaro, often relies on selecting ‘symbolic enemies of low informational cost’ in order to maintain the mobilization of its supporters10. In Brazil, bolsonarismo has propagated a discourse that is opposed to the Supreme Court, political parties, and the left. This conservative movement captured a significant portion of the electorate that no longer felt represented by the traditional political system. During the COVID-19 pandemic, it also adopted elements of Trumpism and targeted the World Health Organization (WHO), China, and science as primary adversaries. There were several instances in which these public enemies were explicitly named, and vaccination became a particularly contentious issue because it brought together various antagonists into one.
Therefore, one of the strategies adopted by Bolsonaro to connect with his electorate was to reject and doubt the information provided by the media and traditional institutions regarding the COVID-19 pandemic. This rhetoric, which was hostile towards the progress of science or any other thing that challenged the principles of his political agenda, had been present for years11. In 2020, when the pandemic began, the president became a leading figure in a movement that made it difficult to build a collective trust in the scientific solution to the crisis, namely the vaccines against the virus.
To communicate directly with his supporters, President Bolsonaro has utilized live streams on his social media accounts, small press rallies, and interviews. These have been the main channels through which he has disseminated his narrative on how to approach the COVID-19 pandemic. Generally speaking, this narrative can be divided into two main categories: discourse and state actions.
In his speeches, President Bolsonaro presented pseudo solutions that seemed simple, quick, and less costly for the country’s economy in the short term12. He argued that early treatment with antimalarial drugs could reduce hospitalization and mortality rates, even though there was no scientific evidence to support this claim. He also discredited the efforts of governors and mayors to address the pandemic by labeling them as ‘stop whining’ and claimed that infection with the COVID-19 virus provides more effective immunity than vaccination. At an official event promoted by the United Nations, he advocated for early treatment and the autonomy of physicians to prescribe ineffective drugs. He was also against mandatory vaccination for young people between the ages of 12 and 17, citing potential side effects from the Pfizer vaccine and stating that he would not vaccinate his daughter. He disseminated a false British report linking the COVID-19 vaccine to the AIDS virus, and, without any evidence, he claimed that cases of embolism and thrombosis were side effects of the vaccine. These statements may have contributed to the construction of an ideology of mistrust towards the vaccine among the population.
In terms of state actions, the government has been intentionally inefficient in implementing measures to mitigate the impact of the COVID-19 pandemic. A Parliamentary Inquiry Commission (CPI) was established in the Federal Senate to investigate the actions of the federal government. The Commission discovered that the government failed to respond to five bids for vaccines from Pfizer for two months, and documents revealed that the government halved the number of vaccine doses to be received through the Covax Facility. During the CPI, the director of the Butantan Institute stated that the government delayed the purchase of the Coronavac vaccine due to statements made by President Bolsonaro, and a commercial representative claimed that there was a request for a bribe in negotiations for vaccines between the Ministry of Health and the Davati company.
In regard to state actions, they reflected the government’s intentional inefficiency in addressing the measures needed to mitigate the impact of the pandemic. In response to these omissions and inaction, a Parliamentary Inquiry Commission (CPI) was established in the Federal Senate to investigate the actions of the federal government. The CPI revealed that Pfizer’s bids for vaccines for Brazil were ignored by the federal government for two months and documents showed that the government halved the number of vaccine doses to be received through the Covax Facility. The director of the Butantan Institute testified that the government delayed the purchase of the Coronavac vaccine due to statements made by Bolsonaro and a commercial representative reported an alleged request for a bribe in negotiations between the Ministry of Health and the Davati company. The Federal Audit Court (TCU) also identified the government’s failures in addressing the pandemic and noted that the federal government did not fulfill its role in combating COVID-19. Additionally, the Bolsonaro government vetoed a provision of the Budget Guidelines Law that would have provided a 50% increase in funding for resources to combat the pandemic. A comprehensive overview of the government’s actions and omissions can be found in the report of the Federal Senate’s13.
The actions of a democratically elected political leader and his moral values expressed in public speeches and measures can decide whether a public policy will have adherence among citizens14. In the case of the pandemic this situation was apparent. Research indicates that different political positions of state leaders on contagion and health behaviors impacted the spread of the virus and, consequently, the lives of the population15,16. In the US in the early 2020s, partisan identification (as measured by support for President Trump or Republican/Democrat ideological positioning) explains differences among Americans on a wide range of health rules. Democrats were more in favor of researching information about COVID-19, taking action against the virus, among other things17. A second analysis also indicated that in July and August of the same year in counties less favorable to Trump the growth rates of COVID-19 cases and deaths eased, while counties with greater support for Trump witnessed a trajectory of increased cases and deaths over the same period18. These situations are associated with widely divergent attitudes and behaviors by Republicans and Democrats toward COVID-19.
All the discrediting and discouraging of measures to prevent the side effects of the pandemic played by the President resulted in direct consequences on the population. A number of studies have pointed to a positive relationship between Presidential support and a higher incidence of cases and deaths19-23 and low adherence to non-pharmacological measures against COVID-1924-29.
Given this context, it is important to consider the effect of bolsonarismo on COVID-19 vaccination coverage in Brazilian municipalities. We anticipate that support for Jair Bolsonaro will have a negative impact on adherence to vaccination programs, such that municipalities with higher levels of support for the president will have lower vaccination coverage.
One barrier to achieving high vaccination rates against the COVID-19 virus has been hesitation to receive the vaccine. This has been influenced by ideological issues, particularly by the promotion of conspiracy theories against mass vaccination by far-right party leaders and their supporters30,31. In 2021, counties with a high percentage of Republican voters in the US had significantly lower vaccination rates32. A similar pattern has been observed in Norway, where even when controlling for a range of variables, vaccine refusal is associated with individuals sympathetic to the right-wing ideology33. This study aims to investigate whether support for the far-right President has contributed to increased vaccine hesitancy in the country.
Material and methods
The focus of this study is vaccination coverage, which is divided into three dependent variables: (a) the percentage of the population vaccinated with at least one dose, (b) the percentage of the population vaccinated with at least two doses, and (c) the percentage of the population vaccinated with at least one booster dose. Individuals vaccinated with a single dose of the Janssen vaccine were included in both (a) and (c). The vaccination data were obtained from the Open Data-SUS platform for the period from January 2021 to September 2022. The three indicators were operationalized using the population projection for 2021, which is also available from Data-SUS.
Regarding these variables, the state used greater enforcement measures to encourage the administration of the first and second doses of vaccines. Governors and mayors have implemented decrees restricting access to public transportation and entry into public offices and entertainment venues, such as movie theaters, theaters, and soccer stadiums for unvaccinated individuals. In contrast, for the booster dose, citizens had more choice in deciding whether to be immunized due to the lack of state efforts to promote vaccination as there were for the first two doses.
Therefore, it is expected to find a stronger relationship between bolsonarismo and vaccination coverage at the third dose.
The creation of the indicator from the 2021 population projection led to some instances of municipalities having vaccination coverage rates above 100%, with all cases over 120% being excluded from the analysis. These cases are largely concentrated in the index that measures the percentage of the population with at least one dose and in small municipalities (those with fewer than 10,000 inhabitants). This is primarily due to two factors. Firstly, population projections tend to be more accurate for larger municipalities, with some inaccuracies occurring in small municipalities. Secondly, in the few cases of rates above 100% in larger municipalities (those with more than 100,000 inhabitants), the explanation is vaccine migration, which refers to citizens moving to other municipalities to be immunized. This phenomenon occurred more frequently in the administration of the first dose and in large municipalities in metropolitan areas that absorbed the population of neighboring municipalities34,35.
To operationalize the independent variable ‘degree of bolsonarismo’ in the population, the proportion of votes obtained by Jair Bolsonaro in the first round of the 2022 presidential election was used as a proxy. While this variable is a result of behavior that occurred after the vaccination period, it is the best proxy for a latent variable such as the degree of adherence to the anti-vaccine ideas propagated by the President during the pandemic.
Studies on vaccine inequality in COVID-19 have shown that the rate and volume of doses administered varied among Brazilian municipalities36-38. To control for socioeconomic and spatial variation in municipal capacity to provide vaccines, as well as demographic characteristics of the municipalities, a number of variables were introduced.
Control variables include:
The inequality index (Gini);
Number of public facilities for basic health (sum of health centers/basic units and immunization centers), per 10 thousand inhabitants;
The identification of whether the municipality is a health hub;
GDP per capita;
Percentage of the population over 60;
The logarithm of the population projected by IBGE for the year 2021.
Figure 1 summarizes the respective variables as well as their descriptive statistics:


The observation unit for this study was the 5568 Brazilian municipalities. The econometric model used was a hierarchical linear (multilevel) model with the states serving as the second level of aggregation, with random effects39 included. This model was chosen due to the significant influence that governors had on the measures taken to combat the pandemic, such as the distribution of vaccines among the municipalities.
The information was gathered and made available in a public repository (https://gitlab.com/nerd-lab/eleicao_vacina) in order to guarantee the replicability and publicity of both the databases and the scripts of the econometric models used.
Results
The Center-West and North regions of Brazil had higher rates of support for President Bolsonaro in the elections and lower rates of booster dose uptake. In contrast, the Northeastern municipalities expressed less support for the President and higher rates of booster dose uptake. On the other hand, in the Southeastern states, particularly in São Paulo, there was a higher level of support for Bolsonaro and a higher rate of booster dose uptake. This may be due to the efforts of Governor João Dória (PSDB), a political rival of President Bolsonaro, to address the pandemic through the production of the Sinopharm vaccine and promotion of vaccination, mask-wearing, and social distancing measures.
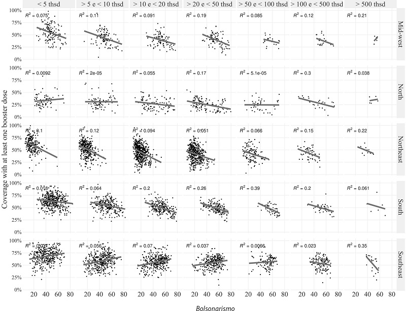
Figure 3 shows the relationship between third-dose coverage percentages with bolsonarismo, controlled by population size and region. The scatter diagram displays a negative relationship between the percentage voting for Bolsonaro and the booster dose vaccination rate in almost all municipality size ranges and regions (with the exception of the Southeast).

The reversal of the relationship observed in the Southeast region of Brazil suggests that the role of the state government, specifically the distribution of vaccines by the governors, may be a significant factor. The actions of the Governor of São Paulo, João Dória (PSDB), who has been in conflict with the federal government, may also be relevant in this context. These considerations justify the inclusion of the states as controls in the regression models.
The results of the sociodemographic controls showed the expected signs and statistical significance, except for the Gini inequality index, which was significant only in the model for the third dose. Overall, higher GDP per capita, larger population size, and greater number of health facilities were associated with higher vaccination coverage rates in all three models.
According to the models, the degree of support for President Bolsonaro, as measured by the percentage of votes received in the 2022 first-round election, is negatively associated with vaccination coverage. Specifically, for each one percentage point increase in the vote for Bolsonaro, vaccination coverage decreases by 0.3 percentage points for the third dose, 0.13 percentage points for the second dose, and 0.09 percentage points for the first dose. This means that municipalities with higher levels of support for President Bolsonaro have lower vaccination rates. The effect of this relationship is particularly pronounced for the third dose, as municipalities with similar characteristics may experience a difference in vaccination coverage of up to 30 percentage points depending on their degree of support for Bolsonaro.


The evidence suggests that the restrictive public policies implemented by governors and mayors have had a limited effect on the third dose vaccination coverage. This may be due to the fact that these restrictions only applied to the first two doses of the vaccine, making the third dose voluntary. Furthermore, the impact of bolsonarismo on vaccination rates appears to be present even in health-focused counties, indicating that the President’s negative influence extends beyond structural issues within the healthcare system.
Conclusions
The growth of anti-vaccine discourse has led. to some individuals being hesitant to receive the COVID-19 vaccine. In countries like Brazil, this hesitancy has been exacerbated by political leaders. In Brazil, rejection of the vaccine developed in conjunction with the Chinese consortium was particularly strong among those who had a positive assessment of Bolsonaro42.
Based on the analysis of COVID-19 vaccination coverage data, a hierarchical linear model was constructed with states as the second level of aggregation. This model controlled for sociodemographic and SUS structure effects in order to measure the impact of the degree of bolsonarismo on municipalities. The results of the analysis showed strong statistical evidence that the greater the electoral support for Bolsonaro, the lower the vaccination coverage. Specifically, for every one percentage point in the 2022 first-round vote for Bolsonaro, vaccination coverage drops by 0.30 percentage points for the third dose, 0.13 for the second dose, and 0.09 for the first dose.
The President’s attacks on COVID-19 vaccination have had negative and statistically significant effects on the immunization campaign. This suggests that the behavior of the country’s president has jeopardized one of the largest and most recognized vaccination programs in the world.
The findings of this paper demonstrate that political factors have hindered the increase in vaccination coverage in municipalities. The evidence suggests that future immunization campaigns in pandemics should consider the political arena as well. This study highlights the influence of political opinions in the public sphere, even when it comes to health issues.
References
Souza LEPF, Buss PM. Desafios globais para o acesso equitativo à vacinação contra a COVID-19. Cad. Saúde Pública. 2021; 37:e00056521.
Gadelha CAG. Programa Nacional de Imunizações: o desafio do acesso universal no Século XXI. Ciênc. saúde coletiva. 2020; 25:4234-4234.
Lima AA, Santos Pinto E. O contexto histórico da implantação do Programa Nacional de Imunização (PNI) e sua importância para o Sistema Único de Saúde (SUS). Sci. Salutis. 2017; 7(1):53-62.
Neves RG, Saes MO, Machado KP, et al. Tendência da disponibilidade de vacinas no Brasil: PMAQ-AB 2012, 2014 e 2018. Cad. Saúde Pública. 2022; (38):135621.
Casarões G, Magalhães D. The hydroxychloroquine alliance: how far-right leaders and alt-science preachers came together to promote a miracle drug. Rev. adm. pública. 2021; 55:197-214.
Ringe N, Rennó L. Populists and the Pandemic: How Populists Around the World Responded to COVID-19. In: Ringe N, Rennó L, communication. Populists and the Pandemic: How Populists Around the World Responded to COVID-19. Abingdon: Routledge; 2023. p. 1-18.
Mudde C, Kaltwasser CR. Exclusionary vs. inclusionary populism: Comparing contemporary Europe and Latin America. Governm. opposition. 2013; 48(2):147-74.
Mudde C. Populist radical right parties in Europe. London. Cambridge: Cambridge university press; 2007.
Mudde C. The populist zeitgeist. Government and opposition. 2004; 39(4):541-63.
Rennó L. Bolsonarismo e as eleições de 2022. Estud. av. 2022; 36(106):147-63.
Kalil I, Silveira SC, Pinheiro W, et al. Politics of fear in Brazil: Far-right conspiracy theories on COVID-19. Global Disc. 2021; 11(3):409-25.
Bertholini F. Brazil: “We are all going to die one day”. In: Ringe N, Rennó L. Populists and the pandemic: how populists around the world responded to covid-19. Abingdon: Routledge; 2023. p. 44-56.
Brasil. Senado Federal. Comissão Parlamentar de Inquérito da Pandemia. Relatório Final: Inquérito da Pandemia (Instituída pelos Requerimentos nos 1.371 e 1.372, de 2021). [accessed in 2023 Jun 12]. Available at: https://legis.senado.leg.br/sdleg-getter/documento/download/72c805d3-888b-4228-8682-260175471243.
Mário CG. Avaliação endógena e a legitimidade das políticas públicas: a experiência da ouvidoria geral do município de Campinas (SP). Desenvol. debate. 2018; 6(1):43-63.
Clinton J, Cohen J, Lapinski J, et al. partisanship and public health concerns affect individuals’ social mobility during COVID-19. Sci. Adv. 2021; 7(2):eabd7204.
Hardy LJ, Mana A, Mundell L, et al. Who is to blame for COVID-19? Examining politicized fear and health behavior through a mixed methods study in the United States. PLos ONE. 2021; 16(9):e0256136.
Gadarian SK, Goodman SW, Pepinsky TB. Partisanship, health behavior, and policy attitudes in the early stages of the COVID-19 pandemic. PLos ONE. 2021; 16(4):e0249596.
Morris DS. Polarization, partisanship, and pandemic: The relationship between county-level support for Donald Trump and the spread of Covid-19 during the spring and summer of 2020. Soc. sci. q. 2021; 102(5):2412-31.
Cabral S, Ito N, Pongeluppe L. The disastrous effects of leaders in denial: evidence from the COVID-19 crisis in Brazil. SSRN. 2021 [accessed in 2023 Sep 18]; Pre-print. Available at: http://dx.doi.org/10.2139/ssrn.3836147.
Almeida L, Carelli PV, Cavalcanti NG, et al. Quantifying political influence on COVID-19 fatality in Brazil. PLos ONE. 2022; 17(7):e0264293.
Fernandes IF, Fernandes GA, Fernandes GA, et al. Ideology, Isolation, and Death. An Analysis of the Effects of Bolsonarism in the COVID-19 Pandemic. SSRN. 2020 [accessed in 2023 Sep 18]; Pre-print. Available at: https://ssrn.com/abstract=3654538.
Figueira G, Moreno-Louzada L. Messias’ Influence? Intra-Municipal Relationship between Political Preferences and Deaths in a Pandemic. 2021 [accessed in 2023 Sep 18]; Pre-print. Available at: https://papers.ssrn.com/sol3/papers.cfm?abstract_id=3849383.
Xavier DR, Silva EL, Lara FA, et al. Involvement of political and socio-economic factors in the spatial and temporal dynamics of COVID-19 outcomes in Brazil: A population-based study. Lancet Reg Saúde Am. 2022; (10):100221.
Ajzenman N, Cavalcanti T, Da Mata D. More than words: Leaders’ speech and risky behavior during a pandemic. SSRN. 2020 [accessed in 2023 Sep 18]; Pre-print. Available at: https://dx.doi.org/10.2139/ssrn.3582908.
Calvo E, Ventura T. Will I get COVID-19? Partisanship, social media frames, and perceptions of health risk in Brazil. Latin ameri. politics and soci. 2021; 63(1):1-26.
Gollwitzer A, Martel C, Brady WJ, et al. Partisan differences in physical distancing are linked to health outcomes during the COVID-19 pandemic. Nat. hum. behav. 2020; 4(11):1186-97.
Mariani LA, Gagete-Miranda J, Rettl P. Words can hurt: How political communication can change the pace of an epidemic. CEPR PRESS. 2020; 1(12):104-37.
Pereira C, Medeiros A, Bertholini F. O medo da morte flexibiliza perdas e aproxima polos: consequências políticas da pandemia da COVID-19 no Brasil. Rev. adm. pública. 2020; (54):952-68.
Pereira FB, Nunes F. Media choice and the polarization of public opinion about Covid-19 in Brazil. Rev. Latin. de OPi pública. 2021; 10(2):39-57.
Robert HA, Clark DA, Kalina C, et al. To vax or not to vax: Predictors of anti-vax attitudes and COVID-19 vaccine hesitancy prior to widespread vaccine availability. PLos ONE. 2022; 17(2): e0264019.
Bolsen T, Palm R. “Politicization and COVID-19 vaccine resistance in the US”. Prog Mol Biol Transl Sci. 2022; 188(1): 81-100.
Albrecht D. Vaccination, politics and COVID-19 impacts. BMC public health (Online). 2022; 22(1):1-12.
Wollebæk D, Fladmoe A, Steen-Johnsen K, et al. Right-wing ideological constraint and vaccine refusal: The case of the COVID-19 vaccine in Norway. Scand. pol. studies. 2022; 2(8):r4547.
Xavier DR, Morais I, Magalhães M, et al. Deslocamento da população em busca da vacina. Rio de janeiro: Instituto de Comunicação e Informação Científica e Tecnológica em Saúde. Monitora Covid-19. 2021 [accessed in 2022 Jan 12]; (19):1-16. Available at: https://www.arca.fiocruz.br/handle/icict/51246.
Xavier DR, Morais I, Magalhães M, et al. Deslocamento da população em busca da vacina - 2. Rio de janeiro: Instituto de Comunicação e Informação Científica e Tecnológica em Saúde. Monitora Covid-19. 2021 [accessed in 2022 Jan 12]; (21):1-16. Available at: https://bigdata-covid19a.icict.fiocruz.br/nota_tecnica_21.pdf.
Xavier DR, Morais I, Magalhães M, et al. Desigualdades na vacinação contra Covid-19. Rio de Janeiro: Instituto de Comunicação e Informação Científica e Tecnológica em Saúde. 2021 [accessed in 2022 Jan 12]; (23):1-14. Available at: https://www.arca.fiocruz.br/handle/icict/51249.
Xavier DR, Morais I, Magalhães M, et al. O avanço da variante Ômicron, a resposta das vacinas e o risco de desassistência. Rio de Janeiro: Instituto de Comunicação e Informação Científica e Tecnológica em Saúde. 2022 [accessed in 2022 Jan 12]; (24):1-13. Available at: https://www.arca.fiocruz.br/handle/icict/51252.
Xavier DR, Morais I, Magalhães M, et al. O avanço da variante Ômicron, a resposta das vacinas e o risco de desassistência. Rio de Janeiro: Instituto de Comunicação e Informação Científica e Tecnológica em Saúde. 2022 [accessed in 2022 Jan 12]; (25):1-17. Available at: https://bigdata-covid19.icict.fiocruz.br/nota_tecnica_25.pdf.
Fávero LP, Belfiore P. Manual de análise de dados: estatística e modelagem multivariada com Excel, SPSS e Stata. São Paulo: Elsevier; 2017.
Cadastro Nacional de Estabelecimentos de Saúde. Brasília, DF: DATASUS. [2000]. [accessed in 2023 Jan 12]. Available at: https://datasus.saude.gov.br/cnes-recursos-fisicos/.
Tribunal Superior Eleitoral. Brasília, DF: Repositório TSE. [2000]. [accessed in 2022 Jan 12]. Available at: https://dadosabertos.tse.jus.br/dataset/.
Gramacho WG, Turgeon M. When politics collides with public health: COVID-19 vaccine country of origin and vaccination acceptance in Brazil. PubMed. 2021; 39(19):2608-12.
Notes
Conflict of interest declaration