Artículos de investigación
Received: 01 January 2019
Accepted: 28 June 2019
DOI: https://doi.org/15446/rfmvz.v66n2.82429
ABSTRACT: A substantial proportion of beef production in Colombia originates in its extensive Eastern Plains. However, in this scenario and in a global context, demand for cattle production increasingly requests that it satisfies social and environmental expectations in addition to being economically efficient. A dataset containing five-year long records of cow-calf production systems collected at Carimagua Research Centre located in the Meta Department was retrospectively interrogated to understand the liveweight (LW)-derived flux matrix dynamics of methane (CH4) emissions. Estimated total CH4 (kg) emissions during the gestation period, were similar between conventional weaned (CW; 37.86 ± 0.506 kg) and early weaned (EW; 37.47 ± 0.476 kg) cows. However, averaged over two lactations, total CH4 emissions were larger (p < 0.0001) in CW cows (38.67 ± 0.456 kg) than in their EW (14.40 ± 0.435 kg) counterparts. Total gas emissions from birth to comparable commercial yearlings age were higher (p < 0.0001) for CW (43.11 ± 0.498 kg) calves than for EW (40.27 ± 0.472 kg) calves. It was concluded that mid and long-term pastoral datasets and new concerns are well suited to understand different contexts and adaptations to the contemporary weather conditions. Nevertheless, conventional farming systems will be less environmentally vulnerable if EW management practices involve the strategic and temporal use of improved pastures. The roles of veterinary medicine and animal sciences are briefly discussed in the context of unprecedented climate variability to provide a guide to the uncertain future.
Keywords: beef herds, carbon footprint, liveweight, methane emissions, weaning.
RESUMEN: Una proporción substancial de la producción de carne de res en Colombia se origina en sus Llanos Orientales. Sin embargo, allí, así como en un contexto global, dicha producción ganadera debe ser económicamente eficiente y satisfacer expectativas sociales y ambientales. Considerando algunos de esos intereses, se analizaron cinco años de eventos productivos y de manejo del destete implementados en el Centro de Investigaciones Carimagua, localizado en el departamento del Meta, para interpretar en vacas de carne y sus crías las dinámicas de peso vivo asociadas con emisiones derivadas de metano (CH4). Emisiones totales de CH4 (kg) durante la gestación fueron similares entre las vacas destetadas convencionalmente (CW; 37.86 ± 0.506 kg) y aquellas destetadas tempranamente (EW; 37.47 ± 0.476 kg). Sin embargo, el promedio de dos lactancias demostró mayores (p < 0.0001) emisiones en vacas CW (38.67 ± 0.456 kg) que en vacas EW (14.40 ± 0.435 kg). Emisiones acumuladas entre el nacimiento y el levante fueron mayores (p < 0.0001) en terneros CW (43.11 ± 0.498 kg) que en terneros EW (40.27 ± 0.472 kg). Se concluyó que nuevos cuestionamientos y datos de pastoreo de mediano y largo plazo son apropiados para entender contextos innovadores y adaptaciones a las condiciones climáticas actuales. Sin embargo, el manejo convencional en las fincas será menos vulnerable al medio ambiente si prácticas de destete temprano son introducidas considerando el uso estratégico y temporal de pastos mejorados. Los roles de la medicina veterinaria y las ciencias animales se discuten brevemente en el contexto de la variabilidad climática existente.
Palabras clave: destete, emisiones de metano, hatos de carne, huella de carbono, peso vivo.
INTRODUCTION
The Eastern Plains of Colombia include 17 million ha ofwell-drained neotropical savannas, 3.5 million of which have low slopes and can be cultivated, while 6.4 million are hilly, dissecting landscapes resting over soils of variable, but generally superficial soils, except in small valleys that are occasionally sown with introduced pastures (Sánchez and Cochrane 1985). Although imperfectly understood (Rippstein et al. 2001; Parr et al. 2014), these extensive rangeland savannas (i.e. Llanos) are a strong element in Colombian culture, historical and socio-economic discourse, whilst having a significant heritage, ecological and geological value for native, colonial, and other multiethnic inhabitants (Navas Ríos 1999; Pulido et al. 2007).
However, despite ongoing intensification of agriculture, cultural, fisheries, forestry, mining, recreational and ecotourism industries (Castiblanco et al. 2015), the beef industry on neotropical savannas and sown pastures have historically captured the main land use (Van Ausdal 2009; Rausch 2013; Huertas-Ramírez and Huertas-Herrera 2015). A similar picture, but at a broader scale is evident within the biophysical, socio-economic, human (indigenous and non-indigenous peoples) and cultural subsystems of the remote beef breeding systems on the fragile northern Australia rangelands [native grasslands, shrublands, woodlands and tropical woodlands savannas (Tothill and Gillies 1992; Marshall and Smajgl 2013; Marshall et al. 2014; Russell-Smith and Sangha 2018)].
In this context, and in order to meet farm and non-farm livelihoods' aspirations and maintain social and communal structures, it is desirable to preserve the identity of extensive breeding beef herds. This requires to deal not only with nutritional and reproductive efficiencies, but to adopt best practices regarding the growth and commercialization of weaners, stockers and yearlings (Kleinhesterkamp and Habich 1985), which in turn drives a wide year-to-year variation in performance and outputs of the pastoral system (Mejía et al. 2004).
In parallel, sustainable production and/or sustainable intensification of the sensitive-resource-dependent beef industry on savannas constitutes a major challenge, given inter-dependencies and inter-relationships amongst but not limited to (i) increasing land transformation (Smith et al. 2010; Australian Government 2015); (ii) vulnerability to climate uncertainty (Marshall et al. 2014; Ramos-Montaño and García-Conde 2016); social resilience and adaptative capacity of primary producers and rural communities to climate change (Marshall 2010; Marshall and Smajgl 2013); and the required implementation of an integrated extensive mitigation pastoral framework (Ramírez-Restrepo and Charmley 2015) to assist nutritional security and positive farm financial returns in the context of a growing global food-quality demand [(CONPES) 2014; Thompson and Martin 2014; Norton 2017].
In this scenario, the potential animal production of the well-drained savanna environment is well known to pastoralists in Colombia (Thomas et al. 1990; Lascano 1991), however, the environmental impacts of extensive beef system practices have been little studied (Tapasco et al. 2015). In this regard, it is important to note that attempts at quantifying these impacts still remains controversial because constructed lines of evidence have largely relied on surmised parameters from the international literature with limited applicability and/or inputs from local field research (Etter et al. 2011; Lerner et al. 2017).
As suggested above, reaching valuable global markets increasingly require quality products supported by documented, low carbon foot printing (McAulifee et al. 2018). This is consistent with Godde et al. (2019) and Tedeschi et al (2002, 2019), who argued that in the face of climate variability it is critical to use modelling approaches to capture short and long, simple and complex environmental livestock representations of earlier or current real-life farming systems in tropical Australian rangelands or elsewhere. Therefore, baseline data and scenarios for various environmental burdens from savanna-beef based production systems in Colombia are desirable to integrate local deep knowledge-sharing and data-driven modelling. Interestingly, more is known about some ecological impacts of sown pastures (Fisher et al. 1994; Ramírez-Restrepo and Vera 2019) in this extensive neotropical savanna environment, than from grazed native savannas per se (Ramírez-Restrepo et al. 2019).
The objective of this study was to quantify cow-calfbeefmethane (CH4) emissions and derived intensity and efficiency indices over two consecutive reproductive cycles (RCs) in relation to weaning and yearlings' age, using a mathematical flux matrix of individual live weight (LW) data from a five-year experiment at the Carimagua Research Centre (CRC) located in the Llanos of Colombia.
MATERIALS AND METHODS
Site conditions details
Carimagua Research Centre situated in the Meta Department is located on a well-drained sandy loam or clay loam Oxisols with overall bulk density, soil pH, available phosphorus, soil organic matter and aluminum saturation values of 1.4 g/ cm3, 4.74, 2.48 mg/kg, 3.07% and 80%, respectively (Rao 1998; Fisher et al. 1994; Rao et al. 2001). Mean rainfall precipitation and ambient temperature during the December to March period (27.4 oC and 169 mm/m2) and the wet season (26.2 oC and 2,790 mm/m2) over the 1984-1987 period studies were recorded at CRC meteorological site (4o36'44.6" N latitude, 74o08'42.2" West longitude; Vera and Ramírez-Restrepo 2017).
Studies used for modelling
Liveweight data comes from projects designed by R. R. Vera Infanzón and implemented by the two authors in the context of the International Center for Tropical Agriculture (CIAT)'s former Tropical Pastures Program, and financed by its core budget. It covers two full and consecutive RCs and replicated twice in consecutive years sourced from neotropical savanna grazing trials conducted ethically by Colombian registered Doctors ofVeterinary Medicine (Vera and Ramírez-Restrepo 2017). The experiments involved Brahman (Bos indicus) and crossbred Brahman x San Martinero (native; Bos taurus) cow-calf pairs subject to conventional weaning (CW; 304 ± 2.29 days) and early weaning (EW 114 ± 2.20 days) herd management practices.
The original research also served a practical purpose of identifying in EW herds, the feeding value of Andropogon gayanus pasture in association with forage legumes Pueraria phaseoloides and Centrosema acutifolium over 4.79 months (30 days) and 4.85 months until CW calves were weaned on savanna in 1984 (Replicate 1) and 1985 (Replicate 2), respectively. What was also of interest was to know the savanna impact on production when stockers (weaned calves; 10.1 ± 1.71 months) were monitored during additional 14.46 months to become yearlings (24.0 ± 0.05 months). This particular combination of pure and crossed bred cattle, forages, environmental and management conditions portrays current local extractive and extensive farming regimes more extensively reported elsewhere (Vera and Hoyos 2018).
Modelling approach
Reproductive, productive, LW fluctuations and SRs values were subject to a mental conceptualization and enclosed mathematical representation (Tedeschi 2019) of CH4 emissions and energy (MJ) gas losses computed on an Excel* spreadsheet mechanistic model as described in detail by Ramírez-Restrepo and Vera (2019). Briefly, relevant measures included LW-derived ad libitum (2.1% of total LW; Fisher et al. 1987) dry matter intake (DMI; Eq. 1) during conception, gestation, calving, weaning and first dry period. In parallel, the LW-derived CH4 emission system after 56 days of age (Huws et al. 2018) identified the allocation impact of daily (g) emissions (Eq. 2) associated with key environmental performance indicators in terms of reproductive parameters, and intensity and carbon dioxide (CO2) equivalents (CO2-eq) efficiency indices. Fecal CH4 and nitrous oxide (N2O) emissions from cattle dung and urine as well as CH4 and N2O from soil are outside of the present calculations (Ramírez-Restrepo et al. 2019).
These environmental estimates used the 100-year horizon global warming potential of 34 for CH4 (Mueller and Mueller 2017), while bulls' data is not included in the flux matrix.
Predictive regression equations:
Eq 1. Dry matter intake (Ramírez-Restrepo and Vera 2019).

Eq. 2. Methane g/d (Ramírez-Restrepo and Vera 2019).

In case of future needs, fuelled by extreme changes, sensitive parameters in the model can be modified to simulate herds on the basis of the new structure. Nevertheless, it is essential to ensure relevant input data from extensive tropical conditions to achieve reliable key environmental and productive performance herd indicators.
Statistical analysis
The variance associated with treatment means was analyzed in SAS (2016) using the GLIMMIX procedure for measurements of LW, DMI and all derived CH emissions. Independent effects of replicates (RPs, i.e. 1 and 2; beginning in years 1984 and 1985, respectively), weaning practice (i.e. CW and EW), RCs (i.e. 1 and 2), the interactions between weaning practice and RC; and between RP, weaning practice and RC were fitted in a linear model using the random effect of cow.
The analysis was complemented using the MIXED procedure to assess the linear fitted effects of RP, weaning practice and the RP by weaning practice interaction on the post-weaning conception (dry) periods. Results are presented as least squares means ± standard errors of the means (LSM ± SEM), unless otherwise noted. Significant differences were calculated at the 0.05 probability level and specific p-values are shown when available.
RESULTS
In cows, DMI (kg/animal/d) was affected by the interaction (p < 0.05) between RC and weaning practices (Table 1). However, the interaction among RC x weaning practice and RP was dominant (p < 0.001) at the first conception and over the dry empty period (Table 1). Overall, during the two RCs, DMI in the CW and EW treatments was similar during conception (6.89 ± 0.114 vs 6.90 ± 0.107), gestation (7.11 ± 0.081 vs 7.04 ± 0.077), calving (7.66 ± 0.066 vs 7.54 ± 0.063), lactation (7.08 ± 0.069 vs 7.03 ± 0.065) and weaning (6.49 ± 0.090 vs 6.52 ± 0.084). The common grazing on savannas led to variation in calves' DMI between RPs (p < 0.01) due to weaning treatments and across all interactions (p < 0.0001). Averaged, DMI was larger (p < 0.0001) in CW calves (4.37 ± 0.037) compared to the EW (3.38 ± 0.035) calves.

At conception, averaged differences of CH4 emissions between CW (123.05 ± 2.628 g/d) and EW (123.29 ± 2.462 g/d) cows were not significantly different, while overall emissions were lower (p < 0.05) in the first RC (121.38 ± 1.919 g/d) than in the second RC (124.97 ± 1.943 g/d). This resulted in a consistent (p < 0.001) RC x weaning practice x replicate interaction.
Table 2 shows CH4 emissions from cows in terms ofarea, day, animal units and indices of intensity and efficiency during gestations of two consecutive RCs. Differences in emissions between RPs and weaning routines were small, but the significative impact of the RC x weaning i nteraction on all parameters was of particular interest, and was particularly large in the case of the efficiency of emissions when the final LW (FLW) of the cows was considered. Estimates of total CH4. Emissions (kg) during the gestation period indicate that irrespective of the RC, CW and EW cows were equal emitters (37.86 ± 0.506 vs 37.47 ± 0.476), while values grouped in the first (37.38 ± 0.383) and second (37.94 ± 0.390) RCs were also similar.

Cow CH4 emission profiles over the two lactation periods are presented in Table 3. The results show the model forecasted consistent and significative effects of the interaction between RC and weaning practices in terms ofeither daily emissions (p < 0.01) or indices' expressions (p < 0.0001). However, predicted intensity and efficiency indices considering cows' FLW over the lactations were significantly (p < 0.0001) affected by all of the considered effects. Averaged over the lactations, there was a large and practically important difference (p < 0.0001) in total CH4 emissions between CW cows (38.67 ± 0.456 kg) and EW (14.40 ± 0.435 kg) cows, while values between the first (26.74 ± 0.412 kg) and second (26.33 ± 0.424 kg) lactation were similar.

Results from birth to yearling age indicate that all parameters of CH4 emissions were affected by the interaction of RC and weaning treatments, but again the inclusion of the RP effect in the interaction was dominant (p < 0.0001; Table 4). In parallel, the complete environmental impact was higher p < 0.001) in CW (43.11 ± 0.498 kg CH4) than in EW (40.27 ± 0.472 kg CH4) yearlings. Similarly, relative to the first RC (39.59 ± 0.402 kg), CH4 emissions were higher in the second RC (43.79 ± 0.410 kg).

DISCUSSION
The retrospective analysis of this LW-derived CH4 flux research was designed to determine the impact of extensive cow-calfherd performance on enteric CH4 emissions and potentially contribute to abatement opportunities by considering alternative herd farming practices. The most significant finding was the interaction between RCs and farming weaning management practices as a critical factor to dynamically associate extensive cow-calf beef production and environmental knowledge. This outcome is in line with Donoghue et al. (2016) that indicated that in beef cattle multiple CH4 emission measurements on each animal may be required in the mid to long-term to accurately record CH4 traits such as DMI, daily CH4 (g) and CH4 yield (g/kg DMI) emissions.
Confirming the CH4 emission findings of Ku-Vera et al. (2018) and reflecting on the scale of our virtual representation, our mathematical model offers reliable and detailed carbon footprints to promote the combination of tactical farming decisions. This suggests what management practices to pursue, what stock classes to maintain, when to wean, what to sell and when to sell in order to be more efficiently and sustainably productive. In this sense, as suggested by Tedeschi (2019), the integration of further mental conceptualizations, field research, and virtual domains using previously accumulated local bodies of data and scientific knowledge allows complementary lines of inquiries. Thus, the detailed local systemic knowledge of the extensive beef environmental impact should support a potential improvement in the accuracy of the Colombian greenhouse gases (GHG) inventory (IDEAM 2016) regarding the Colombian Llanos in relation to animals' dynamic physiological conditions. To the best knowledge of the authors, the Colombian GHG livestock inventory relies on a standard Intergovernmental Panel on Climate Change [IPCC (2006)] Tier 1 approach that does not consider CH4 emission factors measured from native or adapted cattle to the local low tropics, but are derived from international temperate scenarios (56 kg CH4/head per year).
Collectively, our observations are in agreement with the cluster and metaanalysis study of Cottle and Eckard (2018) which noted that for GHG inventory reporting, country-beef specific estimates of daily and yield CH4 emissions are required from data generated in each country rather than that derived from the standard IPCC GHG account method. As noted by Cottle and Eckard (2018) a number of reasons may contribute to discrepancies between world and local accounting approaches including, but not limited to, the physio-metabolic interactional framework adopted in this paper.
Those discrepancies plus significative differences between temperate and tropical diets in the metabolizable energy intake and digestible energy intake ratio throughout the year are probably indicative of more accurate CH4 measurements in our study, while supporting evidence of the fact is also represented by the dynamic LW change in dams and calves to derive precise DMI and enteric CH4 emissions. The main physiological driver of CH4 production is DMI (Jonker et al. 2018), but this effect appears to be masked if the digestive effects of plant secondary compounds are considered (Ramírez-Restrepo and Barry 2005; Durmic et al. 2017; Vandermeulen et al. 2018).
In the context of present-day international trends and the controversies surrounding the environmental impacts of beef production (Henderson et al. 2017), veterinary medicine and animal sciences have an eloquent case for a stronger, more relevant role in efficient production, financial return, sustainability, climate change global discussions and within GHG emission and mitigation research (Ramírez-Restrepo and Charmley 2015). In concert with the latter consideration, CH4 is found in sheep (Ramírez-Restrepo et al. 2010) and cattle (Ramírez-Restrepo et al. 2016b) Jugular blood, but its metabolic and physiological systemic impact is still unknow in ruminants (Tedeschi et al. 2014; Ramírez-Restrepo and Charmley 2015; Ramírez-Restrepo et al. 2016a).
Such discussion is extremely pertinent since after gut fermentation of dietary fiber, luminal intestinal methanogenic archaea flora in methanogenic humans converts hydrogen gas to CH4, it diffuses into systemic circulation and the gas is linked to high body mass index (i.e. obesity; Basseri et al. 2012). Other CH4 nested case-control data indicate that human CH4. is associated with the pathogenesis of organic and functional bowel diseases, including but not limited to diverticulosis, colon-rectal cancer, inflammatory bowel diseases and irritable bowel syndrome (Pimentel et al. 2006; Roccarina et al. 2010; Pimentel et al. 2012; Rezaie et al. 2017). It is therefore possible that intrinsic blood CH4 is required to maintain threshold levels and anti-inflammatory signals, as in the canine immune system (i.e. leukocyte) activation that may be modulated by 2.5% CH4 ventilation (Boros et al. 2012).
Collectively, these metabolic data question whether some of the plausible interventions for lowering beef CH4 emissions in tropical environments (Ramírez-Restrepo and Charmley 2015) compromiso or not animal welfare. Relative to a basal diet, Ramírez-Restrepo et al. (2016b) demonstrated the significative effects of tea (Camellia sinensis L.) seed saponin supplementation on blood serum biochemistry of Brahman steers. This argument is further supported by Ramírez-Restrepo et al. (2014) who found in Belmont Red Composite [Africander (African Sanga) x Brahman x Hereford-Shorthorn (3/4 B. Taurus)] steers therapeutical complications of the digestive, muscular and urinary systems when fermented-Monascus purpureus red rice powder containing a natural lovastatin (monacolin K) was supplemented as an anti-methanogenic compound.
Therefore, it is particularly evident and necessary to combine human and animal clinical experiences to elucidate relevant medical questioning regarding interpretations, similarities, synergisms, and divergences of CH4 metabolism and gaps in knowledge. This should allow funding opportunities, research, teaching, national and international engagement. If this premise is accepted, this connectivity would lead to redefining aspects of the veterinary and animal science professions of the future and their social and global health relevance in the growing field of climate change.
Cows' LWs cycled between low values at weaning and higher LWs at calving, but the cycle was stable and tended to go back to the initial conception LWs in the following RC. This is a repeatable phenomenon observed in extensive breeding herds in northern Australia (Fordyce et al. 2013; Fordyce et al. 2014), and together with current savanna knowledge suggests possible entry points if the intention is to raise production levels. Nevertheless, the significant differences between successive RCs reflect the extreme sensitivity of savanna-based herds to between-years variations in environmental conditions.
The observed LWs at reconception (Table 5) showed moderate variability, as estimated by the confidence limits, and did not differ between CW and EW treatments. These LWs are similar to those reported by Vera (1991; 282-300 kg) for the first conception of heifers grazing Brachiaria humidicola, and are slightly below the LWs at the second to fourth conception recorded by Vera et al. (1993; 325-340 kg) for cows grazing that same pasture. They therefore appear to be the lower limit for viable conceptions carried to term in cattle of the same phenotype as used here, and extrapolating from Vera et al. (1993) they are also dangerously close to the calculated asymptotic LW allowed for on low quality rangelands. These values can be compared with the mature body sizes of well-fed and highly fertile cows grazing well managed B. de-cumbens pastures, that ranged between 388 and 452 kg (Vera et al. 2002). The difference between the savanna-based cows presently reported, and those of the well-fed animals on B. decumbens, and other improved Brachiaria cultivars (Peters et al. 2013) therefore indicate the magnitude of the nutritional challenge faced by extensive breeding herds based exclusively on native savannas.


Notwithstanding mineral deficiencies (Lebdosoekojo et al. 1980; Depablos et al. 2009), low LWs and energy and protein deficit intakes (Ramírez-Restrepo and Barry 2005; Ramírez-Restrepo et al. 2005), and the effect of lactation and suckling constitute the major constraints to efficient reproductive performance (Osorio-Arce et al. 2002; Delgado et al. and Heamden 2017). These factors probably explain the long inter-calving periods reported in Table 5. The large difference in the length of that period between EW and CW treatments support the contention that under these circumstances, long suckling phases negatively affected the output of breeding herds.
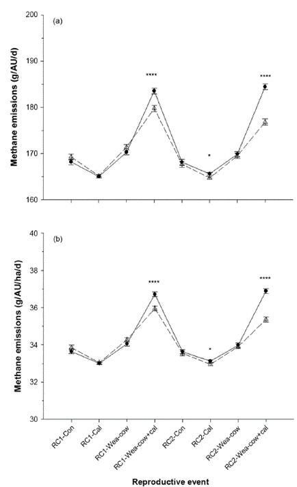
Not surprisingly, long inter-calving periods and variable LWs were associated with the total CH4 output of complete RCs, leading to low environmental efficiencies per ha and per calf born (Tables 2-4), values that are low per ha only because of the low SR supported by the savanna, but are high if a total system approach is pursued as demonstrated by graphical representation of reproductive events over time (Figures 1a and 1b). A potentially important contributor to the emission of GHG is the N outputs of grazing animals, given the large effect of N2O and other nitrogenous compounds (IPCC 2006), but given the low SRs used in the savannas, this effect was not accounted for in the present results.
CONCLUSIONS AND FUTURE DIRECTIONS
As technology, modelling and climate variability influence the way that people live, eat, learn and work, by their very nature, veterinary medicine and animal science fields must dynamically adapt to the challenging needs of livestock production and societal pressure. Thus, based on real-farm situations this paper differentiates annual CH4 estimates (kg/head) between RC1 and RC2 in terms of gestation plus lactation (i.e. breeding; 47.19 ± 0.380 vs 34.75 ± 0.386; p < 0.0001), commercial weaners (14.11 ± 0.163 vs 15.25 ± 0.167; p < 0.0001), stockers-yearlings (25.12 ± 0.233 vs 26.96 ± 0.237; p < 0.0001) and yearlings (20.65 ± 0.196 vs 21.86 ± 0.199;p < 0.0001). Such systems' values argue that our field research-based digital model has portraited the distance between reasonable CH4 emissions from extensive cow-calf extensive beef herds and the Latin American IPCC (2006) default CH4 emission factor. The noteworthy difference emphasizes the need to maintain or carefully move towards a more productive-driven system using our agriculture-animal science practice and ecosystem veterinarian focus. This implies a sound understanding of the ecology of reproductive performance and meat production at the interface of native-introduced pastures, data analytics and environmental farm management. The combined approach should help further address the carbon foot printing of beef herds on the Colombian Llanos and the growing social determinants of sustain-ability and health in the context of farming systems thinking.
Acknowledgments
Authors would like to thank the International Center for Tropical Agriculture (CIAT) and Carimagua Research Center for core funding and varied technical assistance during the original field research. Appreciation is also extended to the Commonwealth Scientific and Industrial Research Organization (CSIRO) for the time provided to the senior author to collate and analyze datasets, while working there. Conceptual, development and improvement forms for our mechanistic model; rigorous data analysis; and all other inputs to write the manuscript were funded by CR Eco-efficient Agriculture Consultancy (CREAC) and R. R. Vera Infanzón Private Consultant services.
REFERENCES
Australian Government. 2015. Our north, our future: White paper on developing Northern Australia [Internet]. Canberra: Commonwealth of Australia; [cited 2019 dec. 15]. 192 p. Available in: Available in: https://www.industry.gov.au/sites/g/files/net3906/f/June%202018/document/pdf/ nawp-fullreport.pdf.
Basseri RJ, Basseri B, Pimentel M, Chong K, Youdim A, Low K, Hwang L, Soffer E, Chang C, Mathur R. 2012. Intestinal methane production in obese individuals is associated with a higher body mass index. Gastroenterol Hepatol (NY). 8(1): 22-28.
Boros M, Ghyczy M, Érces D, Varga G, Tõkés T, Kupai K, Torday C, Kaszaki J. 2012. The anti-inflammatory effects of methane. Crit Care Med. 40(4): 1269-1278. Doi: 10.1097/CCM.0b013e31823dae05.
Castiblanco C, Etter A, Ramírez A. 2015. Impacts of oil palm expansion in Colombia: What do socioeconomic indicators show? Land Use Policy. 44: 31-43. Doi: 10.1016/j.landuse-pol.2014.10.007.
Cottle DJ, Eckard RJ. 2018. Global beef cattle methane emissions: yield prediction by cluster and meta-analyses. Anim Prod Sci. 58(12): 2167-2177. Doi: https://doi.org/10.1071/AN17832.
[CONPES] Consejo Nacional de Política Económica y Social. 2014. Políticas para el desarrollo integral de la Orinoquia: Altillanura - Fase 1. Bogotá: Departamento Nacional de Planeación, República de Colombia. 83 p.
Delgado R, Magaña JG, Galina C, Segura JC. 2004. Effect of body condition at calving and its changes during early lactation on postpartum reproductive performance of Zebu cows in a tropical environment. J Appl Anim Res. 26: 23-28. Doi: 10.1080/09712119.2004.9706499.
Donoghue KA, Bird-Gardiner T, Arthur PF, Herd RM, Hegarty RS. 2016. Repeatability ofmetha-ne emission measurements in Australia beef cattle. Anim Prod Sci. 56(3): 213-217.
Depablos L, Ordoñez J, Godoy S, Chicco CF. 2009. Suplementación mineral proteica de novillas a pastoreo en los Llanos Centrales de Venezuela. Zootec Trop (Venezuela). 27: 249-262. Doi: 10.1071/AN15573.
Durmic Z, Ramírez-Restrepo CA, Gardiner C, O'Neill CJ, Hussein E, Vercoe PE. 2017. Differences in the nutrient concentrations, in vitro methanogenic potential and other fermentative traits of tropical grasses and legumes for beef production systems in northern Australia. J Sci Food Agric. 97(12): 4075-4086. Doi: 10.1002/jsfa.8274.
Etter A, Sarmiento A, Romero MH. 2011. Land use changes (1970-2020) and carbon emissions in the Colombian Llanos. In: Hill MJ, Hanan NP, editors. Ecosystem function in savannas. Measurement and modeling at landscape to global scales. Boca Raton: CRC Press. P. 383-302.
Fisher D, Burns J, Pond K. 1987. Modeling ad libitum dry matter intake by ruminants as regulated by distension and chemostatic feedbacks. J Theor Biol. 126(4): 407-418. Doi: 10.1016/S0022-5193(87)80148-0.
Fisher MJ, Rao IM, Ayarza MA, Lascano CE, Sanz JI, Thomas RJ, Vera RR. 1994. Carbon storage by introduced deep-rooted grasses in the South American savannas. Nature. 371: 236-238. Doi: 10.1038/371236a0.
Fordyce G, McCosker KD, McGowan MR. 2013. Management of breeding cow herds in low-nutrition environments - North Australian experience. In: Canozzi ME, Bremm B, Costa Junior JBG, Barcellos JOJ, editors. Anais VIII Jornada NESPRO/I Simposio Internacional sobre Sistemas de Produção de Bovinos de Corte; Porto Alegre (BR): Universidade Federal do Rio Grande do Sul. P. 19-32.
Fordyce G, McGowan M, McCosker K, Smith D. 2014. Live weight production in extensively-managed beef breeding herds. In: Beggs DS, editor. Proceedings of the XXVIII Word Buia-trics Congress: Keynote lectures; Cairns (AU): Australian Veterinary Association. P. 87-93.
Godde C, Dizyee K, Ash A, Thornton P, Sloat L, Roura E, Henderson B, Herrero M. 2019. Climate change and variability impacts on grazing herds: Insights from a system dynamics approach for semi-arid Australian rangelands. Glob Chang Biol. 25(9): 3091-3109. Doi: 10.1111/gcb.14669.
Henderson B, Falcucci A, Mottet A, Early L, Werner B, Steinfeld H, Gerber P. 2017. Marginal costs of abating greenhouse gases in the global ruminant livestock sector. Mitig Adapt Strat Gl. 22(1): 199-224. Doi: 10.1007/s11027-015-9673-9.
Huertas-Ramírez H, Huertas-Herrera A. 2015. Historiografía de la ganadería en la Orinoquia. Actas Iberoamericanas de Conservación Animal AICA. 6: 300-307.
Huws SA, Creevey CJ, Oyama LB, Mizrahi I, Denman SE, Popova M, Muñoz-Tamayo R, Forano E, Waters SM, Hess M, et al. 2018. Addressing global ruminant agricultural challenges through understanding the rumen microbiome: Past, present, and future. Front Microbiol. 9: 2161. Doi: 10.3389/fmicb.2018.02161.
Jonker A, Green P, Waghorn G, van der Weerden T, Pacheco D, de Klein C. 2018. A meta-analysis comparing four measurements methods to determine the relationship between methane emissions and dry-matter intake in New Zealand dairy cattle. Anim Prod Sci. Doi: 10.1071/AN18573.
[IDEAM] Institute of Hydrology, Meteorology and Environmental Studies. 2016. Inventario nacional y departamental de gases efecto invernadero - Colombia. 3ra comunicación nacional de cambio climático. Bogotá (CO): IDEAM, PNUD, MADS, DNP, CANCILLERIA, FMAM. 139 p.
[IPCC] Intergovernmental Panel on Climate Change. 2006. 2006 IPCC Guidelines for National Greenhouse Gas Inventories - Prepared by the National Greenhouse Gas Inventories Programme. Hayama, Kanagawa (JP): Institute for Global Environmental Strategies (IGES) / Intergovernmental Panel on Climate Change (IPCC).
Kleinhesterkamp I, Habich G. 1985. Colombia 1, Estudio biológico y técnico. In: Vera RR, Seré C, editors. Sistemas de producción pecuaria extensiva. Brasil, Colombia, Venezuela Informe final Proyecto ETES (Estudio Tecnico y Economico de Sistemas de Produccion Pecuaria) 1978-1982. Cali (CO): Centro Internacional de Agricultura Tropical (CIAT). P. 213-278.
Ku-Vera JC, Valencia-Salazar SS, Piñeiro-Vázquez AT, Molina-Botero IC, Arroyave-Jaramillo J, Montoya-Flores MD, Lazos-Balbuena FJ, Canul-Solís JR, Arceo-Castillo JI, Ramírez-Cancino L, et al. 2018. Determination of methane yield in cattle fed tropical grasses as measured in open-circuit respiratory chambers. Agric and For Meteor. 258: 3-7. Doi: 10.1016/j.agrformet.2018.01.008.
Lascano CE. 1991. Managing the grazing resource for animal production in savannas of tropical America. Trop Grasslands. 25: 66-72.
Lebdosoekojo S, Ammerman CB, Raun NS, Gómez J, Littell RC. 1980. Mineral nutrition of beef cattle grazing native pastures on the Eastern Plains of Colombia. J Anim Sci. 51: 1249-1260. Doi: 10.2527/jas1981.5161249x.
Lerner AM, Zuluaga AF, Chará J, Etter A, Searchinger T. 2017. Sustainable cattle ranching in practice: Moving from theory to planning in Colombia's livestock sector. Environ Manage. 60(2): 176-184. Doi: 10.1007/s00267-017-0902-8.
Marshall NA. 2010. Understanding social resilience to climate variability in primary enterprises and industries. Glob Environ Chang. 20(1): 36-43. Doi: 10.1016/j.gloenvcha.2009.10.003.
Marshall NA, Smajgl A. 2013. Understanding variability in adaptative capacity of rangelands. Rangeland Ecol Manag. 66(1): 88-94. Doi: 10.2111/REM-D-11-00176.1.
Marshall NA, Stokes CJ, Webb NP, Marshall PA, Lankaster AJ. 2014. Social vulnerability to climate change in primary producers: A typology approach. Agric Ecosyst Environ. 186: 86-93. Doi: 10.1016/j.agee.2014.01.004.
McAulifee GA, Takahashi T, Lee MRF. 2018. Framework for life cycle assessment of livestock production systems to account for the nutritional quality of final products. Food Energy Secur. 7(3): e00143. Doi: https://doi.org/10.1002/ fes3.143.
Mejía CA, Henao G, Botero J, Acevedo LI, Giraldo AM, Trujillo LE. 2004. Variaciones en el peso y la condición corporal, postparto y su relación con algunos parámetros de eficiencia reproductiva en vacas Cebú. Rev. Fac. Nac. Agron. 57(2): 2435-2451.
Montiel F, Ahuja C. 2005. Body condition and suckling as factors influencing the duration of postpartum anestrus in cattle: a review. Anim Reprod Sci. 85(1-2): 1-26. Doi: 10.1016/j.anireprosci.2003.11.001.
Mueller RA, Mueller EA. 2017. Fugitive methane and the role of atmospheric half-life. Geo-infor Geostat: An Overview. 5(2): 1-7. Doi: 10.4172/2327-4581.1000162.
Navas Ríos CL. 1999. Caracterización socioeducativa, evaluativa y comparativa de cuatro comunidades en los Llanos Orientales de Colombia [Master Thesis]. [Medellín (CO)]: Universidad de Antioquia.
Norton RD. 2017. The competitiveness of tropical agriculture. A Guide to Competitive Potential with Case Studies. 1° ed. Cambridge (MA): Academic Press. P. 346.
Osorio-Arce M, Segura-Correa JC. 2002. Reproductive performance of dual-purpose cows in Yucatán, México. Livestock Res for Rural Dev [Internet]. [citado 2018 December 21]; 14(3). Available in: Available in: https://www.lrrd.cipav.org.co/ lrrd14/3/Osor143.htm
Parr CL, Lehmann CER, Bond WJ, Hoffmann WA, Andersen AN. 2014. Tropical grassy biomes: misunderstood, neglected, and under threat. Trends Ecol Evol. 29(4): 205-213. Doi: 10.1016/j.tree.2014.02.004.
Peters M, Rao I, Fisher M, Subbarao G, Martens S, Herrero M, van der Hoek R, Schultze-Kraft R, Miles J, Castro A, Graefe S, et al. 2013. Tropical forage-based systems o mitigate greenhouse gas emissions. In: Hershey CH, Neate P, editors. Eco-Efficiency: From Vision to Reality. Cali (CO): International Center for Tropical Agriculture (CIAT). P. 171-190.
Pimentel M, Lin HC, Enayati P, van den Burg B, Lee HR, Chen JH, Park S, Kong Y, Conklin J. 2006. Methane, a gas produced by enteric bacteria, slows intestinal transit and augments small intestinal contractile activity. Am J Physiol Gastrointest Liver Physiol. 290(6): G1089-1095. Doi: 10.1152/ajpgi.00574.2004.
Pimentel N, Gunsalus RP, Rao SSC, Zhang H. 2012. Methanogens in human health and disease. Am J Gastroenterol Suppl. 1: 28-33. Doi: 10.1038/ajgsup.2012.6.
Pulido SX, Salazar CAJ, Mora MC. 2007. Caracterización socioeconómica de las comunidades indígenas Wacoyo y Awaliba del municipio de Puerto Gaitán, Meta. Corpoica - Innovación & Cambio Tecnológico. 5(5): 74-91.
Rezaie A, Buresi M, Lembo A, Lin H, McCal-lum R, Rao S, Schmulson M, Valdovinos M, Zakko S, Pimentel M. 2017. Hydrogen and methane-based breath testing in Gastrointestinal disorders: The North American consensus. Am J Gastroenterol. 112(5): 775-784. Doi: 10.1038/ajg.2017.46.
Ramírez-Restrepo CA, Barry TN. 2005. Review: Alternative temperate forages containing sec ondary compounds for improving sustainable productivity in grazing ruminants. Anim Feed Sci and Tech. 120: 179-201. Doi: 10.1016/j.anifeedsci.2005.01.015.
Ramírez-Restrepo CA, Barry TN, López-Villalobos N, Kemp PD, Harvey TG. 2005. Use of Lotus corniculatus containing condensed tannins to increase reproductive efficiency in ewes under commercial dryland farming conditions. Anim Feed Sci and Techn. 121: 23-43. Doi: 10.1016/j.anifeedsci.2005.02.006.
Ramírez-Restrepo CA, Barry TN, Marriner A, McWilliam EL, López-Villalobos N, Lassey KR, Clark H. 2010. The effect of grazing willow fodder blocks upon methane production and blood composition in young sheep. Anim Feed Sci and Tech. 155(1): 33-43. Doi: 10.1016/j.anifeedsci.2009.10.003.
Ramírez-Restrepo CA, Charmley E. 2015. An integrated mitigation potential framework to assist sustainable extensive beef production in the tropics. In: Mahanta PK, Singh JB, Pathak PS, editors. Grasslands: A Global Research Perspective. Jhansi(India): Range Management Society of India. P. 417-436.
Ramírez-Restrepo CA, Clark H, Muetzel S. 2016a. Methane emissions from young and mature dairy cattle. Anim Prod Sci. 56(11): 1897-1905. Doi: 10.1071/AN15102.
Ramírez-Restrepo CA, O'Neill CJ, López-Villalobos N, Padmanabha J, McSweeney C. 2014. Tropical cattle methane emissions: the role of natural statins supplementation. Anim Prod Sci. 54: 1294-1299. Doi: 10.1071/AN14246.
Ramírez-Restrepo CA, O'Neill CJ, López-Villalobos N, Padmanabha J, Wang JK, McSweeney C. 2016b. Effects of tea seed saponin supplementation on physiological changes associated with blood methane concentration in tropical Brahman cattle. Anim Prod Sci. 56(3): 457-465. Doi: 10.1071/AN15582.
Ramírez-Restrepo CA, Vera RR. 2019. Body weight performance, estimated carcass traits and methane emissions of beef cattle categories grazing Andropogon gayanus, Melinis minutiflora and Stylosanthes apitate mixed swards and Brachiaria humidicola pasture. Anim Prod Sci. 59(4): 729-750. Doi: 10.1071/AN17624.
Ramírez-Restrepo CA, Vera RR, Rao IM. 2019. Dynamics of animal performance, and estimation of carbon footprint of two breeding herds grazing native neotropical savannas in eastern Colombia. Agric Ecosyst Environ. 281, 35-46. Doi: 10.1016/j.agee.2019.05.004.
Ramos-Montaño C, García-Conde MR. 2016. Ecosystem characteristics associated with livestock farming in the Arauca department (Colombia): challenges regarding climate change. Orinoquia. 20(1): 28-38.
Rao IM. 1998. Root distribution and production in native and introduced pastures in the south American savannas. In: Box JE Jr., editor. Root Demographics and Their Efficiencies in Sustainable Agriculture, Grasslands, and Forest Ecosystems. Developments in Plant and Soil Sciences, vol 82. Dordrecht: Springer. P. 19-41.
Rao IM, Rippstein G, Escobar G, Ricaurte J. 2001. Producción de biomasa vegetal epígea e hipógea en las sabanas natives. In: Rippstein G, Escobar G, Motta F, editors. Agroecología y biodiver-sidad de las sabanas en los llanos orientales de Colombia. Cali(CO): Centro Internacional de Agricultura Tropical (CIAT). P. 198-222.
Rausch JM. 2013. Territorial rule in Colombia and the transformation of the Llanos Orientales. Gainsville: University Press of Florida. 186 p.
Rippstein G, Escobar G, Motta F. 2001. Agro-ecología y biodiversidad de las sabanas en los Llanos Orientales de Colombia. Cali (CO): CIAT & CIRAD. 302 p.
Roccarina D, Lauritano EC, Gabrielli M, Franceschi F, Ojetti V, Gasbarrini A. 2010. The Role of Methane in Intestinal Diseases. Am J Gastroenterol. 105(6): 1250-1256. Doi: 10.1038/ajg.2009.744.
Russell-Smith J, Sangha KK. 2018. Emerging opportunities for developing a diversified land sector economy in Australia's northern savannas. Rangeland J. 40(4): 315-330. Doi: 10.1071/RJ18005.
Sánchez LF, Cochrane TT. 1985. Descripción general del ecosistema. Colombia 1. Estudio biológico y técnico. In: Vera RR, Seré C, editors. Sistemas de producción pecuaria extensiva. Brasil, Colombia y Venezuela. Cali (CO): Centro Internacional de Agricultura Tropical. P. 216-225.
[SAS] Statistical Analysis System. 2016. University Edition version 3.5. Cary, NC: SAS Institute. Available in: https://www.sas.com/en au/soft-ware/university-edition.html
Schatz TJ, Hearnden MN. 2017. The effect of weight and age on pregnancy rates in Brahman heifers in northern Australia. Anim Prod Sci. 57(10): 2091-2095. Doi: https://doi.org/10.1071/AN16212.
Smith P, Gregory PJ, van Vuuren D, Obersteiner M, Havlík P, Rounsevell M, Woods J, Stehfest E, Bellarby J. 2010. Competition for land. Philos Trans Royal Soc B. 365: 2941-2957. Doi: 10.1098/rstb.2010.0127.
Tapasco J, Martínez J, Calderón S, Romero G, Ordoñez DA, Alvarez A, Sánchez-Aragón Ludeña CE. 2015. Impactos económicos del cambio climático en Colombia: Sector ganadero. Washington DC: Banco Interamericano de Desarrollo / Departamento Nacional de Planeación. 50 p.
Tedeschi LO, Fox DG, Pell AN, Lanna DPD, Boin C. 2002. Development and evaluation ofa tropical feed library for the Cornell net carbohydrate and protein system model. Sci Agr. 59(1): 1-18. Doi: 10.1590/S0103-90162002000100001.
Tedeschi LO, Ramírez-Restrepo CA, Muir JP. 2014. Developing a conceptual model of possible benefits of condensed tannins for ruminant production. Animal. 8(7): 1095-1105. Doi: 10.1017/S1751731114000974.
Tedeschi LO. 2019. ASN-ASAS Symposium. Future of data analytics in nutrition: Mathematical modelling in ruminant nutrition: approaches and paradigms, extant models, and thoughts for upcoming predictive analytics. J. Anim. Sci. 97: 1921-1944. Doi: 10.1093/jas/skz092.
Thomas D, Vera RR, Lascano C, Fisher MJ. 1990. Use and improvement of pastures in neotropical savannas. In: Sarmiento G, editor. Las sabanas americanas: aspectos de su biogeografía, ecología y utilización. Caracas: Fondo Editorial Acta Científica Venezolana. P. 141-162.
Thompson T, Martin P. 2014. Australian beef: financial performance of beef cattle producing farms, 2011-12 to 2013-14. Canberra (AU): Australian Bureau of Agricultural and Resource Economics and Sciences (ABARES), Australian Government. 63 p.
Tothill JC, Gillies C. 1992. The pastures lands of northern Australia: their condition, productivity and sustainability. St Lucia (AU): Tropical Grassland Society of Australia / Meat Research Corporation.
Van Ausdal S. 2009. Pasture, profit, and power. An environmental history of cattle ranching in Colombia, 1850-1950. Geoforum. 40(5): 707-719. Doi: 10.1016/j.geoforum.2008.09.012.
Vandermeulen S, Singh S, Ramírez-Restrepo CA, Kinley RD, Gardiner CP, Holtum, JAM, Hannah I, Bindelle J. 2018. In vitro assessment of rumen fermentation, digestibility and methane production of three species of Desmanthus for application in northern Australian grazing systems. Crop Pasture Sci. 69(8): 797-807. Doi: 10.1071/CP17279.
Vera RR. 1991. Growth and conception in continuously underfed Brahman heifers. Anim Prod. 53(1): 45-50. Doi: 10.1017/S0003356100005961.
Vera RR, Hoyos F. 2018. Long-term beef production from pastures established with and without annual crops compared with native savanna in the high savannas of Eastern Colombia: a compilation and analysis of on-farm results 1979-2016. Trop Grassl-Forrajes Trop. 7(1): 1-13. Doi: 10.17138/tgft(7)1-13.
Vera RR, Ramírez-Restrepo CA. 2017. Complementary use of neotropical savanna and grass-legume pastures for early weaning of beef calves, and effects on growth, metabolic status and reproductive performance. Trop Grassl-Forrajes Trop. 5(2): 50-65. Doi: 10.17138/tgft(5)50-65.
Vera RR, Ramírez CA, Ayala H. 1993. Reproduction in continuously underfed Brahman cows. Anim Prod. 57(2): 193-198. Doi: 10.1017/S0003356100006796.
Vera RR, Ramírez CA, Velásquez N. 2002. Growth patterns and reproductive performance of grazing cows in a tropical environment. Arch Latinoam Prod Anim. 10: 14-19.
Notes
Author notes
* Corresponding author: c.ramirez@creac.com.au