Artículos de investigación
Received: 28 August 2019
Accepted: 30 January 2020
DOI: https://doi.org/10.15446/rfmvz.v67n1.87689
ABSTRACT: Soil carbon sequestration refers to the process of transferring carbon dioxide (CO2) from the atmosphere into the soil. The objective of this research was to do a simulation of how soil management factors in pastures can contribute to mitigate climate change by reducing soil CO2-eq emissions due to increases of soil organic carbon.In livestock systems of Cumaral (Meta), Colombia, IPCC Tier 2 methodology was used to compare changes in soils C stocks under (a) two pasture types: Brachiaria decumbens grass pastures (B1) and Brachiaria decumbens grass pastures associated with Pueraria phaseloides legume (B2); (b) four increasing doses of CaCO?: 0, 1.1, 2.2, 3.3 tons ha-1; (c) three sources of N, P, K fertilizers: 100 kg ha-1 Urea, 200 kg ha-1 Triple Superphosphate and 100 kg ha-1 Potassium Chloride. The statistical design was a randomized complete block in factorial arrangement 2 x 4 x 3. Tukey test indicated that the inclusion of kudzú in B. decumbens pasture (B2), 2.2 and 3.3 tons CaCO3 ha-1 in both pastures, and the fertilization of B1 with Urea and B2 with Triple Superphosphate presented a greater benefit in soil C accumulation and CO2-eq emissions neutralization. Adittional cluster analysis showed that B2 liming with higher lime doses regardless of the type of fertilizer used presented major soil C stored grouped in Cluster 1. We concluded that these soil management factors should be feasible to implement in pastures, that can help offset the negative effects of global climate change on livestock systems at tropical zones.
Keywords: Carbon stocks, climate change, fertilizers, simulation.
RESUMEN: El secuestro de carbono en el suelo se refiere al proceso de transferencia de dióxido de carbono (CO2) de la atmósfera al suelo. El objetivo de esta investigación fue hacer una simulación de cómo los factores de manejo del suelo en pasturas, pueden contribuir a mitigar el cambio climático al reducir las emisiones de CO2-eq del suelo debido a los aumentos de acumulación de carbono orgánico en el suelo. En sistemas ganaderos de Cumaral (Meta), Colombia, se utilizó la metodología Tier 2 del Panel Intergubernamental sobre Cambio Climático (IPCC) para comparar los cambios en las existencias de C del suelo en (a) dos tipos de pasturas: pasturas de pasto Brachiaria decumbens (Bl) y pasturas del pasto Brachiaria decumbens asociadas con leguminosa de Pueraria phaseloi-des (B2); cuatro dosis crecientes de CaCO?: 0, l.l, 2.2, 3.3 tons ha1; y (c) tres fuentes de fertiliantes N, P, K: 100 kg ha-1 Urea, 200 kg ha-1 Superfosfato triple y 100 kg ha-1 Cloruro de potasio. El diseño estadístico fue un bloques completos al azar en arreglo factorial 2 x 4 x 3. El test de Tukey indicó que la inclusión de la leguminosa en la pastura (B2), la aplicación de 2.2 y 3.3 tons CaCO3 ha-1 en ambas pasturas y la fertilización de B1 con Urea y de B2 con Superfosfato triple presentaron un mayor beneficio en la acumulación de C del suelo y la neutralización de las emisiones de CO2-eq. El análisis de cluster adicional mostró que B2 encalada con más altas dosis de cal indistintamente del tipo de fertilizante usado presentaron mayor almacenamiento de C del suelo agrupados en el Cluster 1. Nosotros concluimos que estos factores de manejo de suelos deberían ser factibles de implementar en pasturas, lo que puede ayudar a compensar los efectos negativos del cambio climático global en los sistemas ganaderos de zonas tropicales.
Palabras clave: Stocks de C, cambio climático, fertilizantes, simulación.
INTRODUCTION
Carbon sequestration is represented by an increase in the stocks of carbon in any reservoir other than the atmosphere (IPCC 2006). Soil carbon sequestration is a process in which CO2 is removed from the atmosphere and stored in the soil carbon pool. The soil is considered the main temporary reservoir ecosystem of C (Lal 2014). Globally, soil systems contain up to three or more C than above-ground biomass (560 GT) (Alexander et al. 2015).
Technical potential for soil organic carbon (SOC) sequestration at global (Olsen 2013) and US (Swan et al. 2015; Sperow 2016) scales, generally support these earlier estimates of a significant soil C sink potential, on the order of hundreds of teragrams (1 Tg equals 1 million metric tonnes) per year in the United States and roughly an order of magnitude higher globally. However, there are very few re-ports of mitigation practices associated to absortion potential of soil CO2 emissions in pastures in Colombia (Naranjo et al. 2012; Parra and Mora-Delgado 2017; Parra et al. 2019), and specifically in the area of influence (Silva and Orozco 2018).
Soil management factors of land use FLU (extensive pasture), soil management factor FMG (degraded pasture) and input by crop residues FI (low level) were influential factors on losses of soil C rates associated with emissions of soil CO2-eq to the atmosphere in tropical zone of Ariari zone of Orinoquia, Colombia (Silva and Orozco 2018). This process is primarily mediated by plants through photosynthesis, with carbon stored in the form of soil organic matter (SOM) (IPCC 2014), accounting for about 75% of total soil C stored and plays a major role in determining atmospheric concentrations of CO2-eq and climate change (Chambers et al. 2016). Factor land use (FLU), currently accounting for about 25% ofglobal GHG emissions (IPCC 2006), must be part of an effective climate change mitigation strategy for agricultural systems of Meta state. In tropical zones, improved grazing management (appropriate pastures, use of lime and fertilizers) optimizes productivity, and offers GHG mitigation and adaptation benefits (Thornton and Herrero 2010). Brachiaria grasses are the most widely used forages for livestock in the tropics. Brachiaria pastures releases biological nitrification inhibitors (BNIs) from its roots, which reduce GHG emissions by inhibiting nitrification in the soil (Moreta et al. 2014). However, any change in pastures land use may significantly alter related source or sink characteristics for atmospheric soil CO2-eq and other GHGs (Naranjo et al. 2012), the incorporation of legumes in the pastures can increase the soil C reserves (Lal 2014; Guan et al. 2016). In general, increased soil C accumulation in pastures is associated with a land use factor (FLU), related the type of land use (i.e. extensive pastures, intensive pasture, silvopastoral systems), an input factor (FI) which is related to the input of C in soil for pasture residues, and a soil managent factor (FMG) related to the input applied (i.e. improved pasture, degraded pasture, no degraded pasture) (IPCC 2006). According to Mosquera et al. (2012) comparing soil C stocks at 1 m equivalent under B. decumbens and B. decumbens associated with legumes showed 114.2 and 121.6 tons C ha-1 in flat topography and 102.0 and 153.4 tons C ha-1 in the sloping areas respectively, these differences were obtained in (less than) 15 years, indicating the advantages of the legume in pasture. Also, positive effects on SOC by consortion of Crotalaria legume with corn crop was reported by Corrêa et al. (2014).
Hence, soil organic carbon (SOC) accumulation largely depends on type of legume cover on pasture, due to that grass and legume species differ in root depth and spatial distribution (Guan et al. 2016). The synthesis by Chambers et al. (2016) suggests that with proper management of grazing and pasture can actively sequester soil C for 20 years (lifetime approximate benefits range from 0.02 to 0.44 tons C ha-1 yr-1).
Since then, rates of SOC sequestration through adoption of best management practices have been assessed for diverse land uses and eco-regions, such as the inclusion of cover crops in pastures (Poeplau and Don 2013; Lal 2015), for conversion of extensive pasture for improved pasture (Naranjo et al. 2012; Parra et al. 2019). Accumulation of SOC in improved pastures also can occur following changes in soil management practices as lime and fertilizer aplication, that either increase the production of residue remaining on the field or decrease the losses of soil organic carbon in the form of carbon dioxide (Lal 2015). When low fertility soils pastures receive fertilizer and/or lime, forage productivity and SOC levels generally increase, which probably led to more roots, forage residues and animal feces to supply the particulate and total organic C fractions (Bennett et al. 2014; Paradelo et al. 2015). Consequently, according to Paradelo et al. (2015) reviewed the literature found that, on balance, liming increased soil C content mostly because it increased crop yields and therefore residue returns. Also, Poeplau and Don (2013) found that lime applied at 5 tons ha-1 was still improving aggregate stability, vegetation cover, total C and N and soil respiration 12 years after application. There is a need to understand the interactions between pasture type, liming and N, P, K fertilizers sources to achieve higher SOC and reduced soil CO2-eq emissions in productive tropical grasslands. These practices are suggested also to optimize the availability of good quality grass biomass in relation to animal requirements, leading to improved productivity (Parra and Mora-Delgado 2017).
Gibbons et al. (2014) looked at the trade-off between lime applications and greenhouse gas (GHG) emissions on livestock farms. Lime increases soil pH, improves pastures growth, and decreases extractable Al3+ possibly generating optimal soil conditions for a greater soil C accumulation (Goulding 2016). The objective of this research was evaluate the effect of two types of Brachiaria decumbens pasture, alone and in association with legume of kudzu P. phaseloides, four doses of lime and three fertilizer sources N, P, K in the simulations of soil C stocks over the next 20 years and CO2-eq emissions applying the IPCC Tier 2 methodology, in order to define soil practices management that contribute to a greater extent to mitigate soil CO2 emissions.
MATERIALS AND METHODS
Study site
The experiment was conducted in livestock zone of Cumaral, Meta state, located at 452 meters above sea level on the eastern Cordillera of Colombia (4°16'10''N, 73°29'11"W). Grasslands are the largest ecosystems in the world with an estimated area of 52.2 million km2, corresponding to around 40% of the total land in the world, while pasture areas in Colombia are estimated around 33.9% of the country total area with 28,245,262 animal heads. Meta contributes 7.38% of the country's bovine production and Cumaral with 58,453 animal heads at 2020 (ICA 2020). In the area predominates extensive pastures of dual-purpose livestock. In the area the main problem of livestock production is pasture degradation due to the reduced pasture and animal management. The clay soil is on alluvial terraces at the site was classified as Ultisol (Soil Survey Staff 2006). The mean annual temperature is 25.5°C, the annually average rainfall is 3856 mm, 70% of the precipitation occurs between April and June. Relative humidade between 75-90% depending of season types.
Statistical design
The statistical design of this study was a randomized complete block design in factorial arrangement 2 x 4 x 3, factor A refers to two pasture types already established previously where: B1 = Brachiaria decumbens grass of 10 years of established, B2 = Brachiaria decumbens grass associated with kudzu P. phaseloides legume of 5 years of established; factor B refers to different lime doses respect to the recommended lime dose according to soil analysis accounting by 3.3 tons CaCO3 ha-1 (Castro and Gómez 2010).

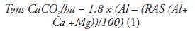
Where 1.8 is a constant, RAS it is the maximum percentage of aluminum that tolerates Brachiaria grasses 35%, Al is aluminum concentration (3.1 cmol kg-1), was determined by using potassium chloride 1 N extraction and quantification by volumetric colorimetric, Ca+Mg are soil bases ( 2.2 and 1.3 cmol kg-1), that were determined by ammonium acetate extraction 1 N (pH 7), following the standardized methods and procedures and recommended by the Instituto Geográfico Agustín Codazzi (2016). Description of soil properties in initial soil analysis showed extremely acid pH (4.5), measured with a potentiometer method, for which a water:soil solution (1:1) was prepared (IGAC 2016).
Lime doses (CaCO3) treatments were L0 = no lime, L1 = 1/3 of the recommended lime dose (1.1 tons ha-1), L2 = 2/3 of the recommended lime dose (2.2 tons ha-1), L3 = 3/3 of the recommended lime dose (3.3 tons ha-1); factor C refers to doses of N, P, K fertilizers sources, corresponding to F1 = 100 kg ha-1 Urea, F2 = 200 kg ha-1 triple superphosphate (TSP), F3 = 100 kg ha-1 potassium chloride (PCl). For a total of 24 experimental treatments and 3 replicates for a total of 72 experimental units.
Treatment management
The lime and fertilizer doses were applied to each experimental unit with an area of 4 x 5 m, 20 m2, the experiment was conducted from February 2017 to February 2018, the lime and fertilizer doses were applied after the first cut (the pasture is cut every three months and there are four cuts in an one year), and were not reapplied (a single application) during the experiment, the application of products was done randomly on each experimental unit in Abril during rainy season, first the lime was applied and then the fertilizers because the applied doses are recommended per year, the treatments were evaluated for one time at the end of the fourth cut. The renewal of the legume P. phaseloides in the pasture is made every two years.
Initial soil C stock determination
Three soil samples were taken in each experimental unit at a depth of 30 cm with a hole, and they were mixed to obtain a composite sample, for a total of 72 soil samples, the samples were taken at the end of the fourth cut in each experimental unit, 9 months after starting treatments, which were prepared in Analytical Soils Services Laboratory at Unillanos University, Villavicencio, Colombia.
Soil organic carbon (SOC) was determined by the Walkley-Black volumetric colorimetric, following the standardized methods and procedures recommended by the Instituto Geográfico Agustín Codazzi (2016). The samples for soil bulk density were dried at 100°C until obtaining a constant weight, for determination of their mass by the paraffin-shaped method. The initial soil C stocks of each experimental units were calculated using the following equation 2 (IPCC 2006). Quality control was assured by using duplicates. Reagent blank and several certified reference materials were used to check the accuracy and precision of the analytical data:

Where C is the amount of carbon in tons ha-1, bd is the bulk density in tons m3-1, and d is the sampling at 30 cm depth. Values of bulk density in the field was uniform and ranged of 1.2 to 1.24 tons m3-1 between the experimental units.
Predicting Soil Greenhouse Gas Emissions
Final soil C stocks over the next 20 years were determined (IPCC 2006), equation 3:

Where IPCC default were factors related to soil management practices: land use (FLU), tillage practices (FMG) and residue inputs (FI) for a time-period of 20 years (Table 1). Simulation of gains and/or losses ratio of soil C by soil management factors effects were estimated by using specific Tier 2 methodology proposed by IPCC (2006), equation 4:


Which T is time dependence on a projection of twenty years old for default values that represents soil C stocks changes by the influence of soil management factors in grasslands at 0.30 m depth (IPCC 2006). In addition to the intensity of management adopted (for instance, high, medium and low inputs) those factors take into account also climate and soil type in the specific region (tropical zone). The rates served to project soil CO2-eq emissions and/or sinks to the atmosphere. A conversion factor of C to CO2 of 3.67 was used (IPCC 2006).
Statistical analyses
The initial, and final soil C stocks, soil CO2-eq emissions data obtained at 0.30 m soil depth were analysed by ANOVA using a factorial design:

Where Yijk is the dependent variable, U is the variable mean, Bi is the pasture type (PT) effect i, Lj is the lime doses (LD) effect j, Fk is the N, P, K fertilizer sources (FS) effect k, Bl is the block l, BLij is the pasture type-lime doses interaction (PT x LD), BFik is the pasture type-N, P, K fertilizer souces interaction (PT x FS), LFik is the lime dose-N, P, K fertilizer sources interaction (LD x FS), BLFijk is the type pasture-N,P,K fertilizer source-lime doses-block interaction (PT x FS x LD), and sijk is the error. The Tukey test was used for subsequent comparisons (p < 0.05) if the ANOVA was significant at 95 and 99% probability. Then, for the triple effects a single variable (soil CO2-eq emissions) was included in the cluster model by multivariate analysis according to euclidean distances. All statistical analysis were conducted in Info Stat version 8.
RESULTS
Variance analysis
Table 2 shows that pasture type, lime doses, pasture*lime doses, pasture*fertilizers and triple interaction have significant impacts on the soil initial C stocks, soil final C stocks, and soil CO2-eq emissions, when the significant level is 0.05 (p < 0.05). While the interaction lime doses*fertilizer is not significant, when the significant level is 0.01 and 0.05. However, fertilizer is highly significant, when the significant level is 0.01 (p < 0.01).

Effect of pasture type on predicting soil CO2 emissions and sinks
Simulation of soil CO2 sinks was highly dependent on pasture type, the initial and final soil stocks C sinks simulation was increased with B2, where B1 allows to store less soil C that B2, ranged between 72-159 tons C ha-1 over the next 20 years (p < 0.05) (Table 3). Both pastures type were positively associated with soil CO2 emissions mitigation due that they act as soil C sinks (Table 3). B1 showed an increase of 2.05 times the content of initial soil C stock after 20 years, while in B2 the increase was 2.12 times, with difference between them (p < 0.05). The B1 and B2 pastures both predicts gains of soil C rates of 1.94 and 4.42 tons C ha-1 yr-1 respectively.

Effect of lime doses on predicting soil CO2 emissions and sinks
The higher soil C stocks contents, were detected in the higher lime doses treatments, compared to lower in the control (L0) and L1 (p < 0.05). Liming with 3.3 and 2.2 t CaCO3 ha-1 stored more C and acts as higher soil CO2 sinks accounting for -16 and -17 tons CO2-eq ha-1 yr-1 over the next 20 years respectively, with no difference between them (p > 0.05), since the simulation showed that soil CO2-eq is not absorbed with L0, due to that non losses and/or gains of soil C are generated because IPCC methodology report "Applies to improved grassland where no additional management inputs have been used", and therefore the default value is 1 (IPCC 2006). L1 generated soil C gains of 3.57 tons C ha"1yr"1 and neutralized soil CO2 emissions of -14 tons CO2-eq ha-1 yr-1, being equal to L0 (p > 0.05). For instance our calculation showed that the addition of highest lime doses resulted in a net annual soil C gains of 4.7 and 4.5 tons C ha-1 yr-1 for L2 and L3 respectively.
Effect of fertilizers sources on predicting soil CO2 emissions and sinks
The fertilization with Triple superphosphate (F2) increased soil C stocks by 70 t C ha-1 and with Urea (F1) by 42 t C ha-1 (p > 0.05), when compared to the fertilization with Potassium chloride (F3) in a projection over the next 20 years (p < 0.05) resulting both in significant higher soil CO2-eq neutralization of -15.21 and -11.75 tons CO2-eq ha-1 yr-1 respectively (Table 3)- Soil C02-eq sinks did not differ significantly between F1 and F2, accout-ing for gains of soil C rates of 3.21 and 4.15 tons C ha-1yr1 respectively. The fertilization with F3 resulted in lower soil C02-eq mitigation account with -7-7 tons C02-eq ha-1 yr-1 (Table 3)-
Effect of pasture type and lime doses and pasture type and fertilizers interaction on predicting soil CO2 emissions and sinks
Both soil liming with L2 and L3 increased soil C stocks in B1 and B2, no significant diference in soil C stocks among the two treatments was found (p > 0-05) (Table 4)- In the pastures B1 and B2, in the first 0-30 cm soil detph in the treatment control L0 had less initial C storage and was different of the others (p < 0-05) (Table 4)- The pasture B2 including liming practice of 2-2 and 3-3 tons CaC03 ha-1 account for neutralization of -25 and -22 tons C02-eq ha-1 yr-1 respectively- Which indicates that mitigation of soil C02-eq emission in B2 could be achieved by increasing lime doses application rate to a reasonable L2 level.

Effect of pasture type and fertilizers sources on predicting soil CO2 emissions and sinks
The fertilization with 200 kg ha-1 of Triple superphosphate (F2) in B2 increased final soil C stocks stored in a projection over the next 20 years by 75 and 128 tons C ha-1, when compared to the fertilizartion with 100 kg ha-1 of Urea and K, respectively, that were higher that in B1- F2 significantly increased soil C02-eq sinks by 2-0 and 2-4 times higher rates that F1 and F3 respectively, accounting for -24 tons C02-eq ha-1yr-1 (p < 0-05) (Table 4) - The fertilization with Urea in B1 increased final soil C stocks in a projection of 20 years, when compared to the fertilizarion with P and K fertilizer sources, showing diference with the other fertilizers sources used (p < 0-05)- In B1 and B2 the fertilization with K showed lower increases in neutralization of soil C02 emission.
Effect of pasture type, lime doses and fertilizers sources on predicting soil CO2 sinks
0ur results in dendogram of Figure 1- systemically illustrated the efect of pasture type, lime doses and N, P, K fertilizers sources on predicting soil C02-eq sinks-The cluster analysis showed that two large groups were formed- Cluster 1 form the major sinks of soil C02-eq- B2 and higher lime doses were distinctly separated from B1 and non-lime and medium lime doses that form cluster 2, in both the fertilization with F1, F2 and/or F3 did not show the obvious patterns under diferent lime doses levels possibly du to that lime treatments increased the utilization of the fertilizers on soil C02-eq sinks.

DISCUSSION
Because the advanced soil C02 emissions simulation depends on the factor evaluated, as initial soil C contents and soil bulk density, is a variable that did not vary, with ranges between 1.2 to 1.24 tons m3-1 for clay soils, which are considered not to be soil physical limiting (IGAC 2016), and they are not indicating any degree of soil compaction in the pastures evaluated. Naranjo et al. (2012) reported 1.06 tons CO2 eq ha-1 yr-1 in a degraded pasture with soil compaction and overgrazing, where these pastures are generally managed under extensive grazing systems, with variable animal per hectare (stocking rates 0.85 UGG=450 kg of weight) in relation to the availability of biomass 7.0 tons DM ha-1 year-1. Fisher et al. (2007), making an analysis in different types of pastures, reported that losses due to degradation and non management can represent 1.5 tons CO2-eq ha-1 year-1. Despite the huge potential for mitigation of the soil CO2-eq emissions, especially in B2, as confirmed also by Guan et al. (2016), the legumes in pastures can be beneficial effects for SOC sequestration. It is important to point that soil C accumulation could be lost rapidly depending of the soil management decision taken on those sites. The use of nitrogen-fixing legumes as cover pastures can incorporate more than 200 kg N ha-1 (Guan et al. 2016). In general, more productive grass varieties practices are known to increase C input to the soil and thus soil organic carbón SOC (Olsen 2013; Sperow 2016). A plausible adoption rate of 30% of improved deep-rooted legumes associated to Brachiaria pastures at Cerrados of Brazil represented a mitigation potential of soil emission of -29.8 tons CO2-eq yr-1 to the atmosphere (Thornton and Herrero 2010). Value than was higher that those simulated in this study account by -7 tons CO2-eq yr-1 in B1, and -16 tons CO2-eq yr-1 in B2. Agricultural systems combine legume forages with grasses, improving animal nutrition and generating cobeneits like improved soil fertility and increased soil and biomass C accumulation (Parra et al- 2019)- However, belowground C-inputs from exudation and root sloughing from C4 grasses are high in Brachiaria pastures, forming the base for soil organic matter-buildup in these systems (Anderson-Teixeira et al- 2016)- In other research, Raji and 0gunwole (2006) showed that B. decumbens sequestered about 20 tons C ha-1 in 35 years (1-8 tons C ha-1 yr-1) lower when compared to the simulations of this study accounting 1-94 and 4-42 tons C ha-1 yr-1 in B1 and B2, over the next 20 years- Pastures of Brachiaria brisantha, B. humidicola and Panicum maximum inject substantial amounts of C into the soil which compensate or frequently even over-compensate for initial S0M-losses caused by deforestation (Guan et al- 2016)- However, this holds true only for well-managed pastures, preferably also containing a legume component (Poeplau and Don 2013)- According to Chambers et al. (2016), over the lifetime of the cropland soil health conservation practices, it can be expected that NRCS conservation practices sequester approximately 0-07 to 0-96 tons C ha-1 y-1- It could be verified that the fertilization of pasture, calagem use (Paradelo et al- 2015), the use of productive species, conversion of permanent pasture for improved pasture (Parra et al. 2019), the presence of legumes in pasture, increases soil C accumulation (Guan et al- 2016) and decrease GHG emissions (Naranjo et al. 2012)- This study confirms that well-managed B2 on livestock system in the tropics can neutralizer soil C02 emissions and accumulate soil carbon-0ur results of greater effectiveness of the higher doses of limes on soil C02 emission simulation also coincided with Paradelo et al. (2015), that concluded that liming might be an effective mitigation strategy against climate change. Soil acidity at tropical zones is ameliorated by applying lime or other acid-neutralizing materials (Castro and Gómez 2010). 'Liming' also reduces N2O emissions, but this is more than offset by CO2 emissions from the lime as it neutralizes acidity (Goulding 2016). However, this has to be balanced against the emissions of soil CO2 when lime neutralizes acidity in soils, which must be reported in national greenhouse gas balance inventories (IPCC 2006), since in this study soil C sinks for lime are only considered regarding the gains of soil C. The greater effectiveness of lime is related to increases soil pH (Castro and Gómez 2010), improvement of the pH of the rhizosphere, higher microbial activity and generation of stable organic matter.
Our simulation showed that the fertilization with 200 kg ha-1 of Superphosphate triple (F2) generated 14.49 and 44.92% more soil C stored that with 100 kg ha-1 of Urea (F1) and Potassium chloride (F3). Possibly in acid soils such as those studied, Brachiaria decumbens pastures has a better ability to sequester soil C with the application of N and P fertilizers because soils tropical are soil NP deficient. On undegraded pastures (productive), the input of N is the essential element for the increased of pastures productivity (Silva et al. 2018), soil organic matter SOM by animal manure (Richardson et al. 2011). On other hand, adequate levels of soil P are important for root production in grass and clover pastures. Phosphorus applications favor legumes, therefore, they can be used to support legume growth in a grass/ legume pasture (Richardson etal. 2011). High soil carbon contributions have been reported from input from plant roots in grassland sites for fertilizer application (Tiemann et al. 2009), pasture growth and nutrient uptake result in some localized acidiication around plant roots through the exudation of acids from the roots-However, according to Goulding (2016), excluding the particular case of legumes, the contribution of this to soil acidiication is small <10% when compared with N and S fertilizer inputs, but it has an important influence on the bioavailability of plant nutrients in the rhizosphere, increasing pastures productivity and soil C stocks (Poeplau and Don 2013).
In double interaction, the implementation of kudzu on B. decumbens pasture (B2) including liming practice with the higher doses of lime application tend to store more soil C that in a alone B. decumbens pasture B1 - The literature is rich with examples where soil conservation practices can be used to mitigate GHG emissions and adapt to climate change (Gibbons et al- 2014; Lal 2014), the increase in soil C stocks is subject to greater amounts of crop and pasture residues returned to the soil including minimal soil disturbance (Raji and 0gunwole 2006), reasons that could support the behavior obtained-Legume of lower C/N ratio increases mineralization process, improving soil fertility and increasing pasture aerial and root biomass, with increases in soil organic matter, possibly due to that the greater biological activity in limed soils, despite increasing soil respiration rates (Poeplau and Don 2013), led to plant C inputs being processed and incorporated into resistant soil organic-mineral pools more effectively (Paradelo et al- 2015)-Greater biological activity in limed soils and legumes, despite increasing soil respiration rates, led to plant C inputs being processed and incorporated into resistant soil organic-mineral pools more effectively (Poeplau and Don 2013)- Liming in pastures and legume might be an effective mitigation strategy against climate change (Gibbons et al- 2014)- Fertilizers provided the essential elements of N, P, and K for pasture growth, which improved the shoot, root, and total biomass, a best response of B1 to the fertilization with Urea and B2 to the fertilization with Triple Superphosphate on soil C sinks, would be indicating that tropical pastures on nutrient-poor soils respond positively to the fertilization with N and P fertilizers, regardless of the type of pasture- For example, the fertilization with N and cover cropping can increase soil organic C and total N by increasing the amount of plant residues returned to the soil (Sainju et al. 2008)- This situation can also to corroborate the result indistinctly of the fertilization with N, P, K fertilizer sources on higher mitigation of soil C02-eq with B2 and the higher lime doses- 0ur study of both cluster analysis identified showed that soil C sinks are determined mainly by pasture type and lime doses that possibly influence fertilizers used- Plants contribute to the formation of stable aggregates (S0M) protected from degradation in soil through fine roots and mycorrhizal associations, root litter contributes about one third of total litter inputs in grassland soils and half in forest soils where rhizodeposition represents about 11% of the C assimilated by plants or 27% of that allocated to roots (Freschet et al. 2013)- 0n the other hand, the effect of liming and fertilization on soil C stock varies with the nature of the fertiliser, as well as with the climate and other site-speciic factors (Goulding 2016).
The presence of legumes in a pasture, reduces the amount of N fertilizer needed to support forage production. Pastures vary in their tolerance to acidity, mainly associated with legumes (Chambers et al. 2016); but also biological nitrification inhibition (BNI) in Brachiaria pastures is a novel strategy to improve eco-efficiency of crop-livestock systems and to mitigate climate change (Moreta et al. 2014). Lime can improve the efficiency of fertilizer use in nutrient-poor tropical soils according to edafic and climatic conditions (Castro and Gómez 2010). Positive response of lime was observed on soil C stocks (Paradelo et al. 2015). The fertilization with N and lime has been essential for the increase in SOC content, considered N as a limiting factor for the growth of pastures, reducing soil CO2 emissions (Lal 2014), however, they can increase N2O emissions (Naranjo et al. 2012). Unlike of Rigueiro-Rodríguez et al. (2011) in silvopastoral systems with Pinus radiata in which the combination of lime and high doses of sewage sludge (480 kg N total ha-1) reduced the SOM, could come from the increment of the SOM mineralization rate as a result of the inputs of Ca to the soil caused by both practices, which could therefore reduce the soil capacity to sequester carbon. We also verified in triple interaction of dendogram that both pastures showed little response to the fertilization with Potassium chloride (F3). Possibly, the effect of fertilizer with K is not as evident in improving microbial activity, as it is with N and P fertilizers. The grassland SOM mainly derived from roots, senescent leaves and stems of the vegetations, where soil microorganisms exert a dominant influence on the net soil C balance by controlling soil organic matter (SOM) decomposition and plant nutrient availability (Conant etal. 2001). However, in pastures of livestock systems of Cumaral optimizing the lime doses with the verifiquied in this study, the use of fertilizers is made more efficient, favoring possibly other physical-chemical and biological processes in the soils and pastures. Grassland management including fertilization was crucial to the grassland recovery from overgrazing due to higher C stored (Chen et al. 2011). Soil management strategies identified can be potentially useful for decrease soil CO2 emission, in order to guarantee soil CO2 fixation in livestock systems at tropical zones.
CONCLUSIONS
The implementation of soil management factors as to introduce kudzú on pasture of B. decumbens (B2), the fertilization of pastures with Urea and Triple superphosphate, and liming practice applying 2.2 and 3.3 tons CaCO3 ha-1, exhibited major effect on higher soil C stocks rates and soil CO2 mitigation. Both pasture types with higher lime doses responded better to increases in soil C and mitigation of CO2-eq emisión that with L0 and L1. The fertilization of B1 with Urea and of B2 with Triple superphosphate stored more soil C which minimize soil CO2 emissions to the atmosphere. According to cluster analysis, over all factors included in the current simulation the major influential factor on mitigation of soil CO2 emissions is B2 with higher lime doses, indistinctly of N, P, K fertilizer sources grouped in cluster 1.
Acknowledgements
The authors thank to Soil Laboratory of the Universidad de los Llanos for logistic support, to Group Research Sistemas Agroforestales Pecuarios of the Universidad del Tolima, Group Research Innovación en Sistemas Agrícolas y Forestales, and Group Research Territorio y Ambiente of the Universidad de los Llanos for their field work assistance.
REFERENCES
Anderson-Teixeira KJ, Wang MMH, McGarvey JC, LeBauer DS. 2016. Carbon dynamics of mature and regrowth tropical forests derived from a pantropical database (TropForC-db). Global Change Biol. 22(5): 1690-709. Doi: 10.1111/gcb.13226.
Alexander P, Paustian K, Smith P, Moran D. 2015. The economics of soil C sequestration and agricultural emissions abatement. Soil. 1: 331-339. Doi: https://doi.org/10.5194/soil-1-331-2015.
Bennett JMCL, Greene RSB, Murphy BW, Hocking P, Tongway D. 2014. Influence of lime and gypsum on long-term rehabilitation of a Red Sodosol, in a semi-arid environment of New South Wales. Soil Res. 52: 120-128. Doi: 10.1071/SR13118
Castro H, Gómez M. 2010. Fertilidad de suelos y Fertilizantes. En: Ciencia del suelo. Mojica y Burbano, editors. Principios Básicos. Bogotá (CO): Ed. Guadalupe S.A. Sociedad Colombiana de la Ciencia del Suelo.. p. 217-303.
Chambers A, Lal R, Paustian K. 2016. Soil carbon sequestration potential of US croplands and grasslands: Implementing the 4 per Thousand Initiative. J Soil Water Conserv. 71(3): 68A-74A. Doi: 10.2489/jswc.71.3.68A
Chen Q, Hooper DU, Lin S. 2011. Shifts in species composition constrain restoration of overgrazed grassland using nitrogen fertilization in Inner Mongolian steppe, China. PloS One 6: e16909.
Conant RT, Paustian K, Elliott ET. 2001. Grassland management and conversion into grassland: Effects on soil carbon. Ecol Appl. 11: 343-355.
Corrêa AL, Abboud ACS, Guerra JGM, Aguiar LA de, Ribeiro RLD. 2014. Green manuring with Crotalaaria consortium to babycorn predating the cabbage leaf under organic management. Rev Ceres. 61(6): 956-963. Doi: 10.1590/0034-737X201461060010
Fisher MJ, Braz SP, Dos Santos RSM, Urquiaga Alves BJR, Boddey RM. 2007. Another dimension to grazing systems: Soil Carbon. Trop. Grassl. 41: 65-83.
Freschet GT, Cornwell WK, Wardle DA, Elumeeva TG, Liu W, Jackson BG, Onipchenko VG, Soudzilovskaia NA, Tao JP, Cornelissen JHC. 2013. Linking litter decomposition of above and belowground organs to plant-soil feedbacks worldwide. J Ecol 101: 943-952. Doi: 10.1111/1365-2745.12092
Gibbons JM, Williamson JC, Williams AP, Withers PJA, Hockley N, Harris IM, Hughes JW, Taylor RL, Jones DL, Healey JR. 2014. Sustainable nutrient management at field, farm and regional level: soil testing, nutrient budgets and the tra-de-offbetween lime application and greenhouse gas emissions. Agr Ecosyst Enviro. 188: 48-56. Doi: 10.1016/j.agee.2014.02.016
Goulding KWT. 2016. Soil acidification and the importance of liming agricultural soils with particular reference to the United Kingdom. Soil Use Manage. 32(3): 390-399. Doi: 10.1111/sum.12270.
Guan XK, Turner NC, Song L, Gu YJ, Wang TC, Li FM. 2016. Soil carbon sequestration by three perennial legume pastures is greater in deeper soil layers than in the surface soil. Biogeosci. 13: 527-534. Doi: 10.5194/bg-13-527-2016.
[ICA] Instituto Colombiano Agropecuario. 2020. Censo pecuario año 2020 [Internet]. Bogotá (CO): ICA; [citado 2020 ene 10].Disponible en: Disponible en: https://www.ica.gov.co/areas/pecuaria/ser-vicios/epidemiologia-veterinaria/censos-2016/censo-2018
[IGAC] Instituto Geográfico Agustín Codazi. 2016. Métodos analíticos del laboratorio de suelos. sexta edición. Bogotá (CO): IGAC / Imprenta Nacional de Colombia. 648p.
[IPCC] Intergovernmental Panel on Climate Change. 2006. Guidelines for National Greenhouse Gas Inventories. In: Eggleston HS, Buendia HS, Miwa l, Ngara K, Tanabe K. (Ed.). Agriculture, Forestry and Other Land Use. Hayama: Nacional Greenhouse Gas Inventories Programme. The Intergovernmental Panel on Climate Change. Institute for Global Environmental Strategies (IGES) . 595p.
[IPCC] Intergovernmental Panel on Climate Change. 2014. Fifth Assessment Report: Synthesis Report. Cambridge, UK: Cambridge University Press.
Lal R. 2014. Societal value of soil carbon. J Soil Water Conserv. 69(6): 186A-192A.
Lal R. 2015. Cover cropping and the "4 per thousand proposal". J Soil Water Conserv. 70(6): 141A. Doi: 10.2489/jswc.70.6.141A.
Moreta DE, Arango J, Sotelo M, Vergara D, Rincón A, Ishitani M, et al. 2014. Biological nitrification inhibition (BNI) in Brachiaria pastures: A novel strategy to improve eco-efficiency of crop-livestock systems and to mitigate climate change. Trop Grassl. 2(1): 88-91. Doi: 10.17138/tgft(2)88-91.
Mosquera O, Buurman P, Ramírez B, Amezquita MC. 2012. Carbon stocks and dynamics under improved tropical pasture and silvopastoral systems in Colombian Amazonia. Geoderma. 189-190: 81-86. Doi: 10.1016/j.geoderma.2012.04.022
Naranjo JF, Cuartas CA, Murgueitio E, Chará J, Barahona R. 2012. Balance de gases de efecto invernadero en sistemas silvopastoriles intensivos con Leucaena leucocephala en Colombia. Livestock Res Rural Dev. 24(8). Available from: http://www.lrrd.org/lrrd24/8/nara24150.htm
Olsen KR. 2013. Soil organic carbon sequestration, storage, retention and loss in US Croplands: Issues paper for protocol development. Geoderma. 195/196: 201-206.
Paradelo R, Virto I, Chenu C. 2015. Net effect of liming on soil organic carbon stocks: a review. Agr Ecosyst Environ. 202: 98-107. Doi: 10.1016/j.agee.2015.01.005
Parra AS, Mora-Delgado J. 2017. Emission factors estimated from enteric methane of dairy cattle in Andean zone using the IPCC Tier-2 methodology. Agrof Systems. 1-9, 2017. Doi: 10.1007/s10457-017-0177-3
Parra AS, de Figueiredo EB, de Bordonal RO, et al. 2019. Greenhouse gas emissions in conversion from extensive pasture to other agricultural systems in the Andean region of Colombia. Environ Dev Sustain. 21: 249, 2019. Doi: 10.1007/s10668-017-0034-6
Poeplau C, Don A. 2013. Sensitivity of soil organic carbon stocks and fractions to different land-use changes across Europe. Geoderma. 192: 189-201. Doi: 10.1016/j.geoderma.2012.08.003
Raji BA, Ogunwole JO. 2006. Potential of soil carbon sequestration under various landuse in the sub-humid and semi-arid savanna of Nigeria: Lessons from long-term experiments, Int. J. Soil Sci. 1: 33-43. Doi: 10.3923/ijss.2006.33.43.
Richardson AE, Lynch JP, Ryan PR, Delhaize E, Smith FA, Smith SE, Harvey PR, Ryan MH. 2011. Plant and microbial strategies to improve the phosphorus efficiency of agricultura. Plant Soil. 349: 121-156. Doi: 10.1007/s11104-011-0950-4
Rigueiro-Rodríguez A, López-Díaz ML, Mosquera-Losada MR. 2011. Organic Matter and Chromium Evolution in Herbage and Soil in a Pinus radiata Silvopastoral System in Northwest Spain after Sewage Sludge and Lime. Application Commun Soil Sci Plant Anal. 42: 1551-1564.
Sainju UM, Senwo ZN, Nyakatawa EZ, Tazisong IA, Reddy KC. 2008. Soil carbon and nitrogen sequestration as affected by long-term tillage, cropping systems, and nitrogen fertilizer sources. Agr Ecosyst Environ. 127: 234-240.
Soil Survey Staff. 2006. Keys to soil taxonomy. 10th ed. Washington DC, USA: USDA National Soil Conservation Service. 331-332p.
Sperow M. 2016. Estimating carbon sequestration potential on US agricultural topsoils. Soil Till Res. 155: 390-400.
Silva A, Garay S, Gómez AS. 2018. Alnus acuminata Kunth impact on N2O fluxes and quality of Pennisetum clandestinum Hochst. ex Chiov. Grass. Colomb. For. 21(1): 47-57. Doi: 10.14483/2256201X.11629
Silva A, Orozco D. 2018. Evaluation of C losses and gains rates associated to CO2 emissions and absortions in Ariari productive systems. Bistua. 16(1): 124-128, 2018.
Swan A, Williams SA, Brown K, Chambers A, Creque J, Wick J, Paustian K. 2015. COMET-Planner. Carbon and greenhouse gas evaluation for NRCS conservation practice planning. A companion report to http://www.comet-planner.com. http://comet-planner.nrel.colostate.edu/COMET-Planner_Report_Final.pdf.
Thornton P, Herrero M. 2010. Potential for reduced methane and carbon dioxide emissions from livestock and pasture management in the tropics. Proceedings of the National Academy of Sciences of the United States of America. 107: 19667-19672. doi: 10.1073/pnas.0912890107
Tiemann TT, Franco LH, Peters M, Frossard E, Kreuzer M, Lascano CE, Hess HD. 2009. Effect of season, soil type and fertilizer on the biomass production and chemical composition of five tropical shrub legumes with forage potential. Grass Forage Sci. 64: 255-265.
Notes
Author notes
*Autor para correspondencia:jrmora@ut.edu.co
Conflict of interest declaration