Artículo
Categorización de las variables inherentes a la responsabilidad social empresarial sobre los residuos sólidos urbanos de PET generados por las empresas refresqueras en México empleando el índice de severidad de Mendenhall
Categorización de las variables inherentes a la responsabilidad social empresarial sobre los residuos sólidos urbanos de PET generados por las empresas refresqueras en México empleando el índice de severidad de Mendenhall
Análisis Económico, vol. 31, núm. 76, pp. 123-139, 2016
Universidad Autónoma Metropolitana, Unidad Azcapotzalco, División de Ciencias Sociales y Humanidades
Recepción: 06 Noviembre 2015
Aprobación: 02 Diciembre 2015
Resumen: La Responsabilidad Social Empresarial ha sido relativamente poco investigada, a pesar del problema de contaminación ambiental de los residuos sólidos urbanos de PET a nivel mundial. En México, no existe regulación para que las empresas refresqueras se responsabilicen de estos residuos. El objetivo de esta investigación fue categorizar las variables inherentes a la Responsabilidad Social Empresarial en el contexto mexicano. Para lograrlo se explica el procedimiento de extracción de variables mediante el Índice de Severidad de Mendenhall. Los resultados son las variables de la Responsabilidad Social Empresarial que inciden en el problema, categorizadas
Palabras Clave: responsabilidad social empresarial, índice de severidad de Mendenhall, empresas refresqueras, residuos sólidos urbanos de PET.
Introducción
Es trascendental enfatizar el concepto de Responsabilidad Social Empresarial, RSE, que es una forma de hacer negocios en la que la empresa gestiona sus operaciones de forma sustentable en lo económico, lo social y lo ambiental, reconociendo los intereses de los distintos públicos con los que se relaciona, buscando la preservación del medio ambiente y la sustentabilidad de las generaciones futuras (Cajiga, 2010).
De la misma forma, la Comisión Europea definió la RSE como la integración voluntaria de las empresas por las preocupaciones sociales y medioambientales en sus operaciones comerciales y sus relaciones son sus interlocutores. La RSE se refiere a las acciones de las empresas que van más allá de sus obligaciones jurídicas hacia la sociedad y el medio ambiente. Algunas medidas reguladoras crean un entorno más propicio para que las empresas asuman voluntariamente su responsabilidad social (Comisión Europea, 2011). Alea apunta con respecto a la RSE en México, que aunque el tema se conoce y se practica desde hace años, las investigaciones empíricas son muy recientes y escasas, pues a menudo se confunde el concepto con filantropía (2010).
En este sentido del consumo de bebidas refrescantes, en México se han provocado problemas ambientales apremiantes. En primera instancia, se señala en Wordpress (2011) que el destino final de las botellas para bebidas refrescantes hechas de PET, sigue siendo un problema a escala mundial, ya que según Fernández (2010) este tipo de plástico desprende determinadas sustancias, como el antimonio o el bisfenol A, perjudiciales para la salud, además si las botellas son incineradas aumentan los riesgos de emisiones tóxicas, ya que pueden generar subproductos nocivos como el gas clorado o ceniza similar a los metales pesados.
Además, este país es el principal consumidor de bebidas embotelladas a nivel mundial, se estima que se consumen alrededor de 800 mil toneladas de PET al año, con un crecimiento anual de 13%, donde el principal uso de los envases de PET es de botellas de refresco con 58.2%, seguido de agua embotellada con 17% (Tamborrel, 2012).
Aunado a lo anterior en el año 2000 una unión de 75 refresqueros, embotelladores y envasadores mexicanos creó ECOCE la cual se comprometió a reciclar un 36.5% de las botellas de PET, sin embargo el reciclaje se calcula en 50 mil toneladas por año. Además, en México, del total de residuos que se reciclan el plástico representa tan sólo el 0.5% considerando que cada segundo se tiran a la basura 1,500 botellas de PET (Tamborrel, 2012). Sumado al cúmulo de problemas anteriores, en el Distrito Federal el 50% de los encharcamientos en esta urbe se deben a los tapones que obstruyen la red, los cuales se forman con la acumulación de residuos en la vía pública y son arrastrados al drenaje por la lluvia, donde el material más recurrente son las botellas de PET (Ramírez, 2012).
La problemática ambiental que se enfrenta en la ciudad de México, particularmente en materia de residuos sólidos, es un reflejo de los retos globales de sustentabilidad y desarrollo, con el objetivo de erradicar los tiraderos clandestinos, los residuos sólidos de PET acopiados en las islas de reciclaje es de 0.62 toneladas por día, esto para reforzar el concepto de responsabilidad compartida a través de la sensibilización y concientización de los distintos actores (SEDEMA, 2015).
Complementado lo anterior, la Dirección General de Servicios Urbanos del Gobierno del Distrito Federal, reporta que de las 55,800 toneladas anuales de PET, consumidas en el Distrito Federal, se recuperan alrededor de 20,500 toneladas por año, lo que representa una tasa de recuperación del 36.7%, por lo que aproximadamente un 54% del PET se encuentra dispuesto inadecuadamente en cauces, calles o tiraderos clandestinos. Al considerar estos datos, la contaminación ambiental está llegando a niveles insospechados sobre todo en botellas PET, que se convierten en un foco de contaminación ya que la degradación de este material genera desechos tóxicos (Galindo, 2011).
En México la fabricación del polímero PET y su reciclaje está controlada por la Ley general del equilibrio ecológico y por el Reglamento de registro de emisiones y transferencia de contaminantes, pero no existe una norma para su manejo (Galindo, 2011).
Por lo que es importante este enfoque sobre Responsabilidad Social Empresarial que considere el problema ambiental del PET y genere oportunidades de crecimiento, donde las empresas puedan lograr una confianza duradera del medio ambiente, que sirva de base para un modelo empresarial sostenible (Comisión Europea, 2011). Si bien existen programas para la disposición de residuos sólidos urbanos, las refresqueras multinacionales no tienen una estrategia integral de RSE, para el manejo de los residuos sólidos urbanos generados por la industria refresquera mexicana (Gómez, 2010).
Con base en lo anterior en este artículo se explica el procedimiento de extracción de variables mediante el Índice de Severidad de Mendenhall para obtener la categorización de las variables de la Responsabilidad Social Empresarial que inciden en el problema.
Descripción de la metodología
La investigación fue de tipo exploratorio, descriptivo y correlacional ya que fue menester considerar al fenómeno en estudio y sus componentes, definir conceptos así como medir variables. Una vez que se midieron las variables inherentes a la RSE que inciden en la problemática de los Residuos Sólidos Urbanos (RSU) de PET se conoció el grado de asociación existente entre estas, a través del cálculo de los coeficientes de correlación con base en los niveles de respuesta obtenidos. El método empleado fue el método hipotético-deductivo que consistió en dar respuesta al problema que se planteó anteriormente a través de la postulación del supuesto de trabajo "si se identifican y categorizan las variables de RSE relacionadas con la generación de residuos sólidos urbanos de PET, se podrán estructurar planes de acción que fomenten la Responsabilidad Social de las empresas Refresqueras en México". En atención a lo anterior las fases de la propuesta del proceso metodológico desarrolladas en esta investigación fueron las siguientes:
1. Describir la situación actual de la Responsabilidad Social Empresarial y los residuos sólidos urbanos de PET.
2. Estructurar los instrumentos para la realización del cuestionario sobre la Responsabilidad Social de las empresas refresqueras en relación a la generación de RSU de PET, considerando las variables que se muestran en la Tabla 1.

3. Determinar el tamaño y selección de la muestra, proponiendo a priori una muestra no probabilística de criterio de 50 personas, donde el criterio de inclusión es que sean mayores de 18 años, que sean consumidores de refrescos, estudiantes de posgrado, con conocimientos referentes a la RSE y que vivan en el Distrito Federal. La muestra no probabilística de 50 personas, es sustentada en los principios expuestos por la Universidad de León, España, a través del artículo "Población y muestra" de Jiménez (1983). En este artículo se da cuenta que cuando se realizan investigaciones descriptivas, transversales y no experimentales, se aconseja una muestra de censo cuyo tamaño es de 50 elementos, tipo de muestra que es utilizada en ciencias como la sociología y la antropología, las cuales consideran que una muestra de censo es ideal cuando los fines son de desarrollar análisis empíricos.
4. Desarrollar la prueba piloto con una muestra de 10 personas (20% del tamaño de la muestra de trabajo), determinando el Índice de Confiabilidad.
5. Analizar la información obtenida mediante pruebas estadísticas descriptivas, así como la aplicación del Índice de Severidad de Mendenhall para jerarquizar las variables más importantes que inciden en la situación problemática.
Análisis de resultados
A partir de la tabulación con los niveles de respuesta de los ítems del instrumento se elaboró la Matriz de Correlaciones, donde el promedio de los coeficientes de correlación por ítem se observa en la Tabla 2.

Con base en los promedios de los coeficientes de correlación se obtuvo el Promedio del Coeficiente de Correlación (PCorr).
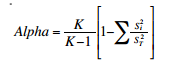
Para evaluar la confiabilidad se utilizó el alfa de Cronbach, matemáticamente definida como (Sekaran & Bougie, 2010):

Donde:
N = número de ítems.
PCorr = promedio de las correlaciones interítems.
Siendo la escala de evaluación del alpha de Cronbach como sigue:
Alpha< 0.6 Confiabilidad baja
0.6 <Alpha< 0.75 Confiabilidad regular
0.75 <Alpha< 0.85 Confiabilidad buena
0.85 >Alpha> 1 Confiabilidad excelente
Consecuentemente, se calculó la confiabilidad para el cuestionario aplicado, elaborado para los propósitos de esta investigación obteniendo los siguientes valores y calificaciones:
PCorr = 0.4687
N = 49
Alpha =0.9557 Confiabilidad excelente
También se calculó el alpha de Cronbach, con base en la tabulación de datos crudos, matemáticamente definida como (González & Pazmiño, 2015):

Donde:
PCor = Promedio general del nivel de respuesta.
S = suma total de los niveles de respuesta.
N = número de encuestados.
Considerando las ecuaciones anteriores, los resultados de los cálculos fueron los siguientes:
S = 5755
N = 50
PCor = 115.1
Alpha = 0.9802 Confiabilidad excelente
Además se obtuvo el alpha de Cronbach, mediante varianzas, matemáticamente definida a continuación (González & Pazmiño, 2015):

Donde: K = número de ítems.
Si^2 =sumatoria de varianzas de los ítems.
ST^2 = varianza de la suma de los ítems.
Al realizar los cálculos del alpha de Cronbach mediante varianzas, con base en la función de Excel VARP, se obtuvieron los siguientes valores:
K = 49
Si^2 = 46.5212
ST^2 = 46.5212
Alpha = 0.9439 Confiabilidad excelente
Posteriormente con base en los resultados obtenidos, la caracterización de la muestra fue que de la muestra de 50 personas encuestadas, la información con respecto a la distribución por género, el género femenino representó un porcentaje de 52%, y el género masculino fue de 48%. Adicionalmente el nivel de estudios de los encuestados es predominantemente el nivel posgrado, el cual expone un porcentaje de 84%, en contraposición el nivel licenciatura sólo indica un valor porcentual de 16%. Aunado a lo anterior la estructura de la muestra fue la siguiente: 7 personas de Ciencias de la Salud (14%); 8 personas de Desarrollo Social (16%); 10 personas de Protección Ambiental (20%); 7 personas de Protección Civil (14%); 12 personas de las Fuerzas Armadas (24%); 2 personas que trabajan por su cuenta (4%); y 4 personas que son estudiantes (8%). Con el propósito de facilitar la aplicación de los cuestionarios así como su tabulación y análisis, se desarrolló su versión electrónica en Microsoft Excel.
En atención a que el cálculo de la confiabilidad se fundamentó en los valores interítem del coeficiente de correlación de Pearson (r), se aprovechó esta condición para calcular los valores de los coeficientes de determinación (R2 ) con la intención de establecer el porcentaje de variación de una variable "Xa" generado por una variable "Xb"; debe tenerse en cuenta que el coeficiente de correlación es una herramienta estadística elemental e importante para el estudio de relaciones lineales bivariadas que involucran el uso de datos de corte transversal.
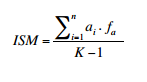
Considerando que el cuestionario se estructuró con base en una escala de Likert de 5 niveles: Mucho (5), Bastante (4), Regular (3), Poco (2) y Nada (1), se procedió a identificar las variables que inciden mediante el Índice de Severidad de Mendenhall, donde la fórmula para el cálculo del índice es la siguiente (Mendenhall, Beaver & Beaver, 2013):

Donde:
ai= valor de cada nivel de respuesta de acuerdo a la escala (a = 1,2,3,4,5).
fa = frecuencia relativa de cada nivel de respuesta en el ítem.
A continuación para identificar los ítems más importantes se procedió a realizar el procedimiento de extracción de variables, mediante la aplicación del Índice de Severidad de Mendenhall (ISM) utilizando las frecuencias absolutas en lugar de frecuencias relativas, con el propósito de acumular las puntuaciones de los ítems relacionados de manera que los ítems con mayor puntuación son los más trascendentes, como se puede observar en la Tabla 3.

Discusión de resultados
En atención al análisis de resultados de los ítems del instrumento, se logró extraer y agrupar las variables que están relacionadas a la Responsabilidad Social Empresarial en concordancia a los residuos sólidos urbanos de PET de las empresas refresqueras, las cuales con base en los resultados presentados anteriormente, se exponen a continuación:
1.0 Ética y valores
1.1 Relaciones con la competencia
1.2 Diálogo con las partes involucradas (Stakeholders)
1.3 Compromisos éticos
1.4 Balance social
1.5 Arraigo en la cultura organizativa
2.0 Protección del medioambiente
2.1 Prevención y control de la contaminación
2.2 Administración del impacto en el medio ambiente
2.3 Educación y conciencia ambiental
2.4 Compromiso con la mejoría de la calidad ambiental
3.0 Relaciones con el consumidor
3.1 Promociones y publicidad
A la postre se exponen los argumentos sobre la incidencia de las variables, desde la perspectiva de los consumidores de refresco y agua embotellada. Primeramente con respecto a la Responsabilidad Social Empresarial, se manifestó que preponderantemente es inherente a la protección del medio ambiente (82%). Dado que las empresas refresqueras al ser socialmente responsables estimularán el crecimiento, garantizando la protección del medio ambiente, ya que como lo reitera Carrillo (2010), al ser respetuosos en el manejo de los recursos paulatinamente se minimizarán la generación de residuos.
Sin embargo los encuestados exteriorizaron que el marco legal del país es desfavorable para el avance de la RSE de las empresas refresqueras (82%), ante este hecho es menester considerar las iniciativas de responsabilidad social empresarial que han surgido en el mundo de los negocios, considerando que los países desarrollados están más involucrados en la difusión y práctica de acciones socialmente responsables. A pesar de lo anterior, los consumidores comprarían refresco o agua embotellada con prácticas de responsabilidad social empresarial (80%), aunque tuviera un precio mayor, en atención a que los ingresos que reciban las empresas refresqueras dependerán de la satisfacción y posterior fidelidad de los consumidores y, si éstos aceptan adquirir sus productos de acuerdo a las percepciones de sus consumidores, entonces conocer estas percepciones es obligatorio para las empresas refresqueras. Esto en relación a que los consumidores son más analíticos y conscientes cuando deciden comprar productos.
Empero los consumidores creen que las empresas refresqueras no proporcionan productos que responden a criterios de responsabilidad social empresarial (96%), por lo que la buena percepción de la RSE que tengan los consumidores es determinante al efectuar la compra o rechazo de productos y su preferencia será la única garantía de la rentabilidad empresarial y subsistencia en el mercado, así a largo plazo, pueden las empresas refresqueras garantizar su crecimiento y sostenibilidad en el mercado, como lo menciona León (2014). Lo anterior con la práctica del comportamiento ético, pues la ética de la Responsabilidad Social es una ética de la acción como atinadamente señala Vallaeys (2010), por las consecuencias inmediatas y a futuro. En este contexto ético y de valores una de sus características primordiales es la promoción de valores y estándares de consumo de la sociedad sin embargo las empresas refresqueras promueven muy poco los valores y estándares de consumo y comportamiento en la sociedad para contribuir al desarrollo sostenible. Pues se afirma que una buena actitud ética es una buena actitud profesional frente a la sociedad.
Asimismo los encuestados revelaron que las empresas refresqueras cuentan con poca reputación social positiva (86%). Por lo tanto el actuar éticamente no se convierte en una opción sino en una necesidad, en este orden de ideas para mantener una reputación social positiva ante los grupos de interés se debe ser responsable de sus acciones frente a la sociedad, manteniendo así la credibilidad y la legitimidad necesarias para actuar.
De la misma forma, los consumidores de refresco y agua embotellada, expresaron que los responsables de cuidar el medio ambiente son las personas en general (92%), las empresas refresqueras (84%) y el Estado (76%), en este orden, cuyos resultados son apoyados por la Comisión Europea (2014), que reconoce que es crucial el apoyo de la industria para la protección del medioambiente y el Estado coadyuvará a la industria otorgando incentivos a las empresas refresqueras que mejoren su rendimiento ecológico. Estos hallazgos reafirman que el tratamiento de la temática del cuidado del medio ambiente involucra a las partes interesadas ya que derivado de los altos niveles de consumo de refresco y agua embotellada, se tienen también grandes cantidades de residuos. Sin embargo, se señaló que los consumidores de refrescos no llevan sus envases de PET a lugares de reciclaje (68%), y es esencial que las empresas refresqueras promuevan la participación en esta etapa de pre-acopio con la instalación de contenedores y campañas de sensibilización ciudadana. Sumado a lo anterior, los consumidores de refrescos de la muestra en estudio apuntaron que conocen la forma en que las botellas de PET de los refrescos y agua embotellada contaminan el medioambiente (70%). Por lo que es preciso mencionar que el depósito de los plásticos en los vertederos, además de deteriorar el paisaje, su descomposición origina una fuerte producción de metano, más nociva que el dióxido de carbono, también este tipo de plástico con el paso del tiempo desprende determinadas sustancias, como el antimonio o el bisfenol A, que son perjudiciales para la salud.
Sumado a lo anterior se manifestó que las empresas refresqueras desarrollan muy poco prácticas e iniciativas para el manejo de los impactos ambientales, provocados por sus operaciones y las empresas refresqueras tienen la obligación de estudiar el impacto ambiental para prever las consecuencias ecológicas de sus acciones y adoptar medidas para evitar o atenuar los daños (94%). Asimismo es la aplicación de tecnologías para reducir el impacto en el medioambiente por sus operaciones y productos (96%). En este tenor se muestra que las empresas refresqueras impactan al medio ambiente en el cual operan. Por esta razón, su desempeño no sólo debe estar inmerso en lo económico, sino también en lo ambiental, con la finalidad de mejorar el ambiente, con la conciencia de optimizar las actividades productivas, buscando alternativas tecnológicas donde el impacto ambiental sea reducido.
De igual forma los consumidores mencionaron que las empresas refresqueras realizan insuficientemente las operaciones para el tratamiento de residuos por botellas de PET para prevenir la contaminación ambiental (88%). Por lo que las empresas refresqueras no deben conformarse con cumplir el marco legal vigente, el reducir la generación de residuos e incentivar su reciclado representa una economía que contribuye a mejorar la competitividad y a promover una imagen verde de la organización, mientras que tratarlos o disponerlos será cada vez más costoso y complejo.
Por lo tanto para llevar a cabo la prevención de la contaminación se requiere identificar el origen de los residuos, los problemas operativos asociados a los sistemas de producción y las áreas donde pueden introducirse mejoras para minimizar y aprovechar el volumen y tipo de residuos generados. En atención a los resultados se considera que las empresas refresqueras desarrollan muy poco propuestas para la prevención y control de la contaminación por botellas de PET (94%).
Para lograr que las empresas refresqueras sean ambientalmente exitosas, se requiere que conozcan los impactos ambientales que causan, que definan y establezcan una base para mejorar continuamente su desempeño de modo de satisfacer a las partes ambientales interesadas al nivel más económico. Igualmente se considera que las empresas refresqueras actúan muy poco en acuerdo a la evaluación de los resultados en materia ambiental, por lo que puede esperarse que la relación entre la protección ambiental y los resultados ambientales positivos sean mayores en las empresas refresqueras que están más orientadas al consumidor, puesto que su reputación ambiental es más probable que afecte sus ventas (92%).
Con respecto a la medición de contaminantes físicos arrojados al medioambiente se afirmó que las empresas refresqueras miden muy poco la cantidad de contaminantes físicos que son arrojados al medioambiente debido a sus operaciones y la comercialización de sus productos (94%), aunado a lo anterior se señaló, que se conoce muy poco la cantidad de residuos generados y eliminados por las empresas refresqueras debido a sus operaciones y comercialización de sus productos, es por ello que se tiene que enfatizar la necesidad de cuantificación de las consecuencias negativas que las operaciones de las empresas refresqueras con la finalidad de llevar a cabo acciones de Responsabilidad Social Empresarial.
En contraparte, los consumidores expresaron que las empresas refresqueras tienen conocimiento sobre los riesgos asociados al medioambiente debido a sus operaciones y comercialización de sus productos (70%), ya que las empresas en los países en vías de desarrollo tienen una baja priorización del medio ambiente, a pesar de que los problemas ecológicos son importantes, otorgándole un segundo plano respecto a los problemas de desarrollo, como atinadamente lo manifiesta Prando (2013).
Por lo que las empresas refresqueras deben estar convencidas de que el éxito económico no depende únicamente de una estrategia de aumento de los beneficios, sino de la protección del ambiente adoptando prácticas de la responsabilidad social empresarial. Aunque las empresas refresqueras tienen conocimiento sobre los riesgos asociados al medioambiente debido a sus operaciones y comercialización de sus productos se obtuvo como resultado que las empresas refresqueras no comunican a los grupos de interés sobre el nivel de riesgo ambiental asociado al desarrollo de sus operaciones y comercialización de sus productos (96%). Por lo que las empresas refresqueras tienen una gran responsabilidad como generadoras de cultura a través de sus mensajes y principalmente de sus acciones.
Del mismo modo, los consumidores mencionaron que las empresas refresqueras participan y apoyan muy poco a campañas de prevención, conservación y regeneración del medioambiente (94%), también expresaron que destinan en pocas ocasiones una partida del presupuesto anual a programas de protección ambiental para la minimización de los residuos sólidos urbanos por botellas de PET (96%). Asimismo los consumidores afirmaron que los sistemas de depósito, devolución, evaluación de estado y retorno de envases para reciclar proporcionados por las empresas refresqueras son insuficientes (92%), en tanto que el porcentaje de recuperación del plástico utilizado en los sectores industriales es muy bajo según Arandés (2013), además de la cantidad de residuos de PET que se incrementa por la cultura de consumismo a la que se enfrenta la sociedad.
Igualmente se afirmó que las empresas refresqueras establecen insuficientemente compromisos explícitos con el medioambiente en relación a estándares y principios para el cuidado del medioambiente (98%), y uno de los compromisos frente al medio ambiente es adoptar mecanismos empresariales para el Desarrollo Humano Sostenible, lo que es inherente con la Responsabilidad Social Empresarial que tendrían que asumir las empresas refresqueras ya que como indica Peter Drucker la empresa será guardián de la conciencia de la sociedad además de factor esencial de solución de sus problemas.
A pesar que las empresas refresqueras tendrían que informar a sus consumidores sobre los daños ambientales como el resultado del uso y destino final de sus productos, la percepción de los consumidores de refrescos y agua embotellada es contraria, pues aseveraron que esto se lleva a cabo de manera insuficiente (96%). Sumado a lo anterior se obtuvo como resultado que es escaso el conocimiento sobre las formas en que las empresas refresqueras apoyan y participan en proyectos educacionales en asociación con organizaciones no gubernamentales y ambientalistas, ejerciendo liderazgo social en favor de esa causa (94%).
Además, se expresó que se tiene muy poco conocimiento sobre las formas en que las empresas refresqueras desarrollan campañas de educación con base en las 3Rs: reducir, reutilizar y reciclar (98%). A manera de reflexión los consumidores juegan un papel clave en la creación de incentivos para una producción y una conducta empresarial responsables, y, en general, son un agente clave para conseguir el objetivo último de la sostenibilidad, ya que como apunta Carrero (2014), la falta de información es el obstáculo más importante para el desarrollo del consumo responsable, dado que el consumidor, por sí mismo, no puede evaluar los atributos éticos del producto, por lo tanto es fundamental que las empresas refresqueras o una tercera parte envíen esta información al mercado.
Conclusiones
El abordar la Responsabilidad Social Empresarial permitió generar un espacio científico de análisis sobre la trascendencia del impacto ambiental generado por los residuos sólidos urbanos de PET de las empresas refresqueras. Aunado a lo anterior es menester la aplicación de prácticas socialmente responsables para que con el paso del tiempo se logren reducir o bien eliminar los residuos sólidos urbanos de PET, en colaboración de los consumidores de refresco y agua embotellada y las empresas refresqueras.
Ante este hecho la responsabilidad social empresarial exhorta a las empresas refresqueras a desempeñar un rol de líderes en la solución del problema ambiental de los residuos sólidos urbanos de PET, no sólo porque sus operaciones tienen impactos negativos en el medio ambiente y la sociedad, sino porque la responsabilidad social empresarial les proporciona una plataforma sólida para su desarrollo sostenible.
Finalmente se detectó que la actitud es desfavorable, hacia la contaminación por residuos sólidos urbanos de PET de las empresas refresqueras, por este grupo de consumidores y a pesar de que no se están tomando las acciones conducentes para evitar esta contaminación, es un indicador de que se pueden adoptar medidas progresivamente.
Bibliografía
Alea, A. (2010). "Responsabilidad social empresarial. Su contribución al desarrollo sostenible", Revista latinoamericana y caribeña de desarrollo sustentable, núm. 17, vol. 5. Recuperado de: <http://www.revistafuturos.info/futuros17/resp_soc_emp.htm/>.
Arandés, J. (2013). "Reciclado de residuos plásticos", Revista Iberoamericana de Polímeros, vol. 5.
Cajiga, J. (2010). El concepto de Responsabilidad Social Empresarial. Centro Mexicano para la Filantropía en México (Cemefi). Empresa Socialmente Responsable en México (ESR), pp. 1-35.
Carrillo, G. & S. Pomar (2010). Desarrollo de ventajas competitivas desde la responsabilidad social. Un estudio de caso, Ide@as CONCYTEG año 3, núm. 41, pp. 1229-1245.
Carrero, I. (2014). La relación del consumidor con las etiquetas sociales y medioambientales. Estudio diagnóstico para orientar la definición de políticas públicas y la acción empresarial. Universidad Pontifica Comillas ICADE. Madrid. Recuperado de <http://www.compromisoRSE.com/upload/estudios/000/89/EstudioEtiquetado/>.
Comisión Europea. (2011). Estrategia renovada de la UE para 2011-2014 sobre la responsabilidad social de las empresas. Comunicación de la Comisión al Parlamento Europeo, al Consejo, al Comité Económico y Social Europeo y al Comité de las Regiones. Bruselas, 25.10. COM, 681. Páginas 1-18.
Comisión Europea. (2014). Por un futuro más verde. La Unión Europea y el medioambiente. Dirección General de Prensa y Comunicación. Serie Europa en Movimiento. Recuperado de <http://europa.eu.int/>.
Fernández, A. (2010). Impacto ambiental del agua embotellada. El agua envasada provoca toneladas de residuos y un gasto innecesario de recursos. Recuperado de <http://www.consumer.es/web/es/medio_ambiente/urbano/2007/05/13/162594.php/>.
Galindo, J. (2011). La invasión plástica. Consecuencias plásticas no retornables. Página 8. Recuperado de <http://gaceta.udg.mx/Hemeroteca/380-1.pdf/>.
Gómez, V. (2010). Mercadeo con causa social: ¿Responsabilidad social o estrategia comercial? Econ. Gest. Desarro. Cali Colombia, núm. 2, pp. 123-147.
González J.A. & Pazmiño M. (2015). Cálculo e interpretación del Alfa de Cronbach para el caso de validación de la consistencia interna de un cuestionario, con dos posibles escalas tipo Likert. Revista Publicando. 2(1). 2015, 62-77. 1390-9304. Recuperado de <http://es.slideshare.net/maestriacvhuacho/validacion-instrumentos-alfadecrombach>.
Jiménez, C. (1983). Población y muestra. El muestreo. En Jiménez Fernández, C., López-Barajas Zayas, E. y Pérez Juste, R. Pedagogía Experimental II. Tomo I. UNED. Madrid, pp. 229-258.
León, F. (2014). La percepción de la responsabilidad social empresarial por parte del consumidor. Visión Gerencial. Recuperado de <http://www.saber.ula.ve/bitstream/123456789/25179/2/articulo6/>.
Mendenhall, W., Beaver, R. J. & Beaver, B. M. (2013). Introduction to probability and statistics. Boston, USA: Brooks/Cole. Cengage Learning.
Prando, R. (2013). Manual Gestión de la calidad ambiental. Guatemala. Recuperado de <http://libnet.unse.edu.ar/1bi/ba/cefaya/cdig/000004>.
Ramírez, B. (2012). Lodo y basura, tapones del drenaje. El Universal. El gran diario de México. Recuperado de <http://www.serviciosurbanosdf.com/sintesis/?tag=basura/>.
SEDEMA. (2015). Inventario de Residuos Sólidos de la Ciudad de México 2013. Secretaria del Medio Ambiente del Distrito Federal. Impreso en México. Recuperado de <http://www.SEDEMA.df.gob.mx/SEDEMA/index.php/temas-ambientales/programas-generales/residuos-solidos>.
Sekaran, U. & Bougie, R. (2010). Research Methods for Business. A Skill Building Approach. Tilburg University. The Netherlands: Wiley & Sons. Southern Illinois Univiversity.
Tamborrel, G. (2012). El ecologista. México: Medio Ambiente. Recuperado de <www.elecologista.com.mx/index.php?option=com_content&view=article&id=108&Itemid=65/>.
Vallaeys, F. (2010). La Responsabilidad Social de las organizaciones. Una nueva concepción de la organización en la era de la globalización, pp. 1-15. Recuperado de <http://www.pucp.edu.pe/>.
Wordpress. (2011). Envases plásticos un daño duradero para el medioambiente. Recuperado de <http://wordpress.com/2011/09/26/envases-plasticos-un-danoduradero-para-el-medioambiente/>.