Recepción: 31 Enero 2016
Aprobación: 27 Junio 2016
Resumen: La comercialización internacional implica no solo la calidad de los productos a comercializar sino además la eficiencia con la que se emplean los distintos recursos empleados para poder llevar dicho producto hasta el consumidor, dentro de la serie de etapas por las que el producto pasa sin excepción es la aduana. La presente investigación tiene por objetivo determinar la competitividad de las aduanas de 18 países de la Región Asia Pacífico incluyendo las aduanas de México, así como identificar los clústeres que se forman acorde al grado de similitud de las aduanas respecto a las variables utilizadas para el año 2015, para lo cual se utiliza la metodología de Análisis Factorial de Correspondencias (AFC) mediante la técnica de Análisis de Componentes Principales (ACP) así como la herramienta de análisis de clústeres K-medias. Dentro de los principales resultados se observan 6 clústeres acorde con la similitud del comportamiento de las variables analizadas.
Palabras clave: Competitividad, aduanas, clústers, Análisis Factorial de Correspondencia.
1. Introducción
La comercialización internacional implica no solo la calidad de los productos a comercializar sino además la eficiencia con la que se emplean los distintos recursos empleados para poder llevar dicho producto hasta el consumidor, dentro de la serie de etapas por las que el producto pasa, una sin excepción es la aduana.
Se puede afirmar que la figura de la aduana nace con el comercio mismo, modificándose a través del tiempo ya que pasó de ser un simple punto de revisión a tener un papel recaudatorio y de orden fiscal, de forma tal que hoy en día las aduanas son oficinas públicas gubernamentales situadas en puntos estratégicos cuya función tiene dos objetivos primarios: a) resguardar la seguridad nacional a través de control y vigilancia de todas las mercancías que se pretende extraer o introducirse a territorio nacional y b) la facilitación del comercio exterior por medio de una serie de procedimientos estandarizados para una despacho aduanero más rápido.
Actualmente, las aduanas están confrontadas a un entorno en rápida mutación: evolución de los modos de producción y de consumo, intensificación de los intercambios comerciales internacionales, nuevas amenazas mundiales (delincuencia organizada, cambios climáticos, etc.). En este contexto, las aduanas desempeñan un papel esencial garantizando un equilibrio permanente entre la protección de la sociedad y la simplificación de los intercambios comerciales (Zamora y Navarro, 2015).
Partiendo de que una aduana eficiente representa menores costos y mayor competitividad para el sector privado, comprender la estructura del sistema aduanero así como realizar estudios que permitan mejorar la eficiencia operativa de las aduanas resulta prioritario.
En pro de la competitividad de los productos nacionales en los mercados internacionales las aduanas alrededor del mundo han sufrido diversos procesos de modernización y adaptación a las demandas de consumidores cada vez más exigentes, de ahí la importancia del rol de las aduanas en el comercio internacional. Dichos cambios han representado desde modificaciones a las legislaciones nacionales –como es el caso de la legislación aduanera mexicana cuya reforma entró en vigor a partir del 01 de enero de 2014– (Ley Aduanera, 2014) hasta la modernización del equipo e instalaciones de las aduanas así como la capacitación de sus recursos humanos todo esto buscando mejorar la competitividad de la administración aduanera y por ende en el comercio.
No obstante, cabe preguntarse si efectivamente, ¿Después de la implementación de todas estas medidas ya mencionadas las aduanas son competitivas? de ahí que la presente investigación tiene por objetivo determinar la competitividad de las aduanas de 18 países de la Región Asia Pacifico incluyendo las aduanas de México, así como determinar los clústeres que se forman acorde al grado de similitud de las aduanas respecto a las variables utilizadas para el año 2015.
El presente trabajo se divide en cuatro apartados, en el primero se hace una introducción al tema así como determinación del objetivo general de investigación, el segundo apartado describe la metodología a emplear para llevar a cabo el objetivo planteado, en el tercer apartado se presentan los resultados y finalmente en el cuarto se exponen las conclusiones derivadas del trabajo de investigación.
II. Antecedentes
Acompañado del descubrimiento de América por Cristóbal Colón el 12 de octubre de 1492 vino la formalización del comercio internacional a través de la expedición de las reales cedulas de 1509, 1514, 1531 y 1535, que legitimaban el monopolio mercantil de ésta con los territorios recientemente conquistados. Con la finalidad de controlar y fiscalizar el comercio y la navegación entre España y las Indias se instalaron desde 1503 en Nueva España las Casas de Contratación, y fue hasta 1551 cuando se inició la edificación de las primeras instalaciones portuarias en Veracruz.
El comercio con Oriente se inició en la segunda mitad del siglo xvi , cuando se instituyó la ruta mercantil entre Acapulco y Manila. Cabe recordar que, las islas Filipinas formaban parte también del Virreinato de la Nueva España. Dado que en el puerto de Manila no se efectuaba ningún control de los embarques, la revisión aduanal se realizaba en Acapulco.
El derecho de almojarifazgo (impuesto a la importación) se estableció justo en el Virreinato de la Nueva España dicho tributo fue tan relevante que la corona española dictó sobre la materia numerosas cédulas reales, decretos y ordenanzas, desde 1532 a 1817, mismas que regulaban la entrada y salida de mercancías; incluso ya se habla de franquicias diplomáticas por la introducción de mercancías.
El primer documento legal del México independiente fue el Arancel General Interno para los Gobiernos de las Aduanas Marítimas en el Comercio Libre del Imperio, publicado el 15 de diciembre de 1821. En este documento se designaron los puertos habilitados para el comercio, se especificó el trabajo que debían realizar los administradores de las aduanas, los resguardos y los vistas; además se plantearon las bases para la operación del arancel, estableciendo que los géneros, las mercancías de importación prohibida y las libres de gravamen quedaban a criterio de los administradores de las aduanas. La Sección de Aduanas se encontraba adscrita a la Secretaría de Estado y del Despacho de Hacienda.
Por disposición presidencial se creó la Aduana de México en 1884 y se instaló el 8 de mayo en el antiguo edificio de la Casa de Contratación y de la Real Aduana en la plaza de Santo Domingo. El 1 de marzo de 1887 se expidió una nueva Ordenanza General de Aduanas Marítimas y Fronterizas con dos anexos: en el primero apareció en forma separada la tarifa general; el segundo contenía la aplicación de la tarifa.
En los 80 del siglo xx el gobierno mexicano adoptó una política de apertura comercial donde una de las principales premisas fue la exportación de productos no petroleros como forma de atraer divisas al país, dicho proceso de apertura se realizó a través de cuatro instrumentos de política comercial: aranceles, permisos de importación, precios oficiales y firma de acuerdos y tratados. A partir de estos movimientos se crea en 1986 la Ley de Comercio Exterior y el Sistema Armonizado de designación y clasificación de mercancías De esta forma cambio la instrumentación a seguir para la Ley Aduanera simplificándose la estructura de los recursos administrativos, promoviéndose la industria maquiladora, y definiéndose los regímenes aduaneros.
Actualmente las aduanas alrededor del mundo han sufrido un proceso de modernización donde entre las principales modificaciones resaltan el manejo, almacenaje y custodia de mercancías de comercio exterior, el ingreso o extracción de mercancías por vía postal; el reconocimiento aduanero de mercancías; la valoración aduanera; la garantía de contribuciones para el régimen de tránsito de mercancías, los procedimientos administrativos y las infracciones aduaneras, la instalación de equipo de alta tecnología, los sistemas de control (videos, aforos y rayos X) etc., siendo quizá elcambio más importante la implementación de los Sistema automatizado aduanero integral, así como el sistema de selección automatizado en los reconocimientos usualmente conocido como semáforo fiscal. En el año 2013 el secretario general de la Organización Mundial de Aduanas ( oma ) seleccionó la innovación como el slogan para ese año “ Innovations for customs progress ”
III. Metodología
El análisis factorial de correspondencias, ideado por el estadístico francés Benzecri en 1973, fusiona el análisis de proximidades con el análisis de componentes principales logrando un análisis de similaridad (Callealta, 2005).
Esta metodología ha sido utilizada en publicaciones reconocidas como lo son el cálculo del índice de competitividad de The Global Competitiveness Report del Foro Económico Mundial ( The World Economic Forum ), el cálculo del índice de competitividad del IMD World Competitiveness Yearbook ( wcy ), publicaciones de la conapo y el cide , entre otros.
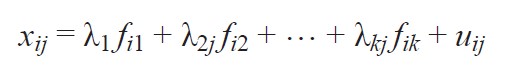
El análisis factorial ha cobrado importancia debido a diversas bondades como lo es la reducción de datos, puesto que permite explicar una estructura subyacente que no puede ser observada en primera instancia de un conjunto de variables observables al encontrar un número reducido de factores subyacentes comunes (K factores) que linealmente reconstruyen las p variables originales (Guillermo et al., 2010):
(1)Donde:
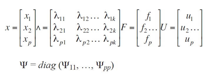
xij = Es el valor de la i-ésima observación de la j-ésima variable.
λkj = Es el conjunto de coeficientes lineales llamados cargas factoriales.
fik Es la i-ésima observación del k-ésimo factor común (variable latente) con media 0 y varianza 1.
uij = Es un término de error aleatorio conocido como el factor único o factor específico asociado a la j-ésima variable. Explica la variabilidad en xj (incluyendo la varianza ocasionada por errores asociados a la poca fiabilidad en la recolección de datos) que no es compartida con otras variables de la matriz de variables observadas.
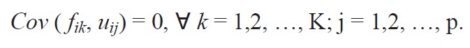
Adicionalmente los factores únicos o específicos tienen media cero y no
Adicionalmente los factores únicos o específicos tienen media cero y no están correlacionados:
; además, son los factores comunes y específicos independientes:
(2)Las variables observadas son únicamente las xj y todos los demás elementos del lado derecho de la ecuación (2) deberán ser estimados partiendo de la matriz de correlaciones entre las variables observadas (Guillermo et al., 2010).
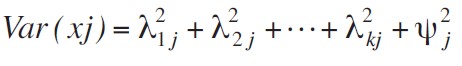
La varianza total de xj está dada entonces por:
(3)Donde:
Es conocida como la varianza común, es
decir, aquella que la variable xj comparte
con todas las otras variables en el análisis y ψ j2 es la varianza única o asociada solamente con
la variable xj . En notación matricial
se tiene:
(4)
(5)Donde:
(6)La ecuación (4) representa la llamada identidad fundamental del análisis factorial, donde Σ es la matriz varianza-covarianza teórica de las variables observadas, y Ψ representa la matriz de varianza de los factores únicos o específicos.
Dentro de la variedad de métodos de extracción de factores que existen destaca el de máxima verosimilitud, utilizado generalmente cuando los datos tienen el comportamiento de una distribución normal; otro método es el de factores principales, el cual es una modalidad del de factores de componentes principales; uno más es el de factores principales iterados. El método de factores principales asume que las varianzas comunes son iguales a uno y por tanto las varianzas únicas son cero; el de factores iterados comienza con un procedimiento similar al de factores principales y se repite hasta que todas las cargas factoriales convergen. No obstante las bondades de los diferentes métodos de extracción de factores o estimación de cargas factoriales, se ha seleccionado el de componentes principales, puesto que se busca explicar la varianza total y no solamente la varianza común de la matriz de las variables originales, ya que se consideran tanto la varianza total y se estima los factores que contienen proporciones bajas de la varianza única y, en algunos casos, la varianza del error.
Esta metodología estudia la dependencia entre las variables y la asociación entre atributos, logrando una revisión de la intensidad de las atracciones y repulsiones entre las modalidades que pueden presentar las características cualitativas, realizándose a partir del estudio de las frecuencias conjuntas observadas y recogidas (Miquel et al., 1997; Kim y Mueller, 1978).
El análisis de la asociación entre modalidades de los dos diferentes atributos será el resultado de conectar estos dos espacios y, en consecuencia, proyectarlos en un espacio común tridimensional donde la proximidad será interpretada como atracción y el alejamiento como repulsión, aplicando para esto el análisis de componentes principales (Kruskal y Wish, 1981; Cox, T. F. y M. A. Cox, 1994).
Con la finalidad de conocer el grado de competitividad de las aduanas de los diferentes países objeto de estudio como una parte sustancial de la logística del comercio exterior, se seleccionaron nueve indicadores para cada uno de los países que conforman el estudio, obtenidos del Banco Mundial (2013), Organización Mundial de Comercio (2013) y la Organización Mundial de Aduanas (2013); estos indicadores son los siguientes: personal en aduanas; uso de documentos físicos en importaciones; uso de documentos físicos en exportaciones; uso de documentos electrónicos en importaciones; uso de documentos electrónicos en importaciones; volumen de las exportaciones; volumen de las importaciones; valor de las importaciones; así como valor de exportaciones.
IV. Resultados
Una medida importante de confiabilidad es el grado de representación de los resultados en cada una de las dimensiones sujetas a ser consideradas; ya que cada dimensión va a representar las variables de análisis en mayor o menor medida, donde generalmente las primeras dimensiones representan una mayor proporción de la varianza, esto se expresa claramente en la gráfica de sedimentación (ver figura 1), ya que muestra la proporción de la varianza explicada por cada componente.
Como se observa en la figura 1, el primer componente representa 48.172% del total de la varianza, por su parte el segundo componente muestra un 23.406% de la varianza, mientras que el tercer componente representa un 17.03% de la varianza, por lo que en suma estos tres componentes representan un total de 88.608% de la varianza para el presente estudio.

Los primeros resultados del análisis efectuado se obtienen de la matriz de componentes rotados, dicha matriz permite ver en qué componente se realiza la mayor carga factorial de cada una de las variables analizadas a fin de comprender la relación entre los casos (en esta investigación las aduanas de los países) y las variables y a su vez la relación entre variables. Cabe señalar que el máximo valor alcanzable en la matriz de componentes rotados es 1 siendo el menor valor cero, para que un valor se considere como representado adecuadamente en un componente debe ser mayor a 0.500.
De tal forma que, como se puede observar en la tabla 1 que las variables que mejor se representan en la dimensión 1 son valor de exportaciones, valor de importaciones, volumen de importaciones y volumen de exportaciones. La dimensión 2 por su parte engloba a las variables de número de empleados, uso de documentos electrónicos para importaciones y uso de documentos electrónicos para exportaciones. Finalmente, la dimensión 3 representa las variables de uso de documentos físicos para importaciones y uso de documentos físicos para exportaciones (véase tabla 1).

Método de extracción: Análisis de componentes principales.
Método de rotación: Normalización Varimax con Kaiser.a
Fuente: Elaboración propia con base en los cálculos realizados a través del ACP.a. La rotación ha convergido en 5 iteraciones.Una vez realizados los cálculos de la cargas factoriales se procedió al cálculo de los centros de los conglomerados finales agrupando así a las aduanas de cada uno de los países acorde con su cercanía o lejanía respecto a los mejores valores en cada una de las variables consideradas, agrupándose respecto a dichos valores en 6 conglomerados o clústeres diferentes acorde con las cargas factoriales (tabla 2). Cabe señalar que cada uno de los grupos o conglomerados posee diferentes características acorde con las cargas factoriales que se representan en cada conglomerado lo que a su vez genera atracción o repulsión con cada una de las aduanas de los países parte del estudio.

Como se observa en la tabla 3 las aduanas de los países analizados se agrupan en 6 conglomerados diferentes. En el primer conglomerado se ubica únicamente un país siendo este China, la característica de este conglomerado es el más alto nivel de uso de documentos electrónicos para las exportaciones, el más alto nivel de exportaciones e importaciones tanto en volumen como el valor de las mismas. El hecho de que China sea el único país ubicado en este conglomerado sugiere la enorme distancia en términos de flujo de comercio respecto de los demás países aun cuando el año del estudio es 2015 es decir, justo cuando China vive un proceso de desaceleración comercial respecto del nivel de comercio de ese mismo país en años anteriores. Destaca también el hecho de que es el único conglomerado que no usa documentos físicos ni en exportaciones ni en importaciones para el proceso de despacho aduanero lo que sugiere que le dé una ventaja competitiva respecto de las otras aduanas en cuanto a la agilidad del proceso de despacho.
El segundo conglomerado es el más extenso del estudio con el mayor número de aduanas, puesto que se localizan en este conglomerado 11 países los cuales son: Australia, Brunei, Indonesia, Malasia, Nueva Zelanda, Filipinas, Singapur, Tailandia, Chile, Perú, y Rusia. El conglomerado dos podría considerarse como un grupo de aduanas con niveles muy buenos en casi todas las variables analizadas puesto que tiene el segundo mayor valor de importaciones y exportaciones así como volumen de importaciones empleados, dentro de los puntos débiles de las aduanas para estos países están el uso masivo de documentos en físico (no se ha migrado en su totalidad el uso de documentos electrónicos) y se tiene un alto número de empleados laborando en las aduanas.
En el tercer conglomerado se posiciona México únicamente, la característica de este clúster es el uso más grande de documentos físicos tanto de exportación como de importación para llevar a cabo el despacho de mercancías en las aduanas, lo que sugiere que a pesar de la migración al sistema electrónico del sistema aduanero a mediados del 2012 es aun deficiente el empleo de la ventanilla única por lo que se siguen utilizando documentos en físico lo que representaría una demora en los procedimientos administrativos aduaneros y por ende en el flujo y facilitación comercial disminuyendo la competitividad de nuestros procesos comerciales.
La aduana de Estados Unidos se localiza en el cuarto clúster donde resalta entre las características del conglomerado el más alto nivel de empleados contratados en las aduanas estadounidenses así como el mayor nivel de documentos electrónicos en las importaciones. Estos dos elementos característicos del clúster cuatro sugieren altos niveles de control y vigilancia particularmente a la entrada de productos foráneos a Estados Unidos dentro de la aduana ya que es en los documentos electrónicos de importación y no de exportación donde se tiene el valor más alto.

El quinto conglomerado lo componen las aduanas de Japón y Hong Kong, tiene como principal característica el más bajo número de empleados al servicio de la aduana también con un bajo nivel de documentos físicos empleados para el desaduanamiento y un nivel medio de importaciones y exportaciones tanto en volumen como en valor.
Corea del Sur y Canadá componen el último conglomerado, el clúster seis. Este último clúster muestra el nivel más bajo de volumen de importaciones aunque el segundo más alto nivel de volumen y valor de exportaciones. Lo que sugiere que las economías que conforman el clúster son economías con alto grado de autosuficiencia en el uso de sus recursos.
Conclusiones y discusión
Las aduanas sin lugar a dudas juegan un papel sumamente importante en el comercio exterior, por lo que su modernización implica un beneficio en el comercio exterior de los países que están implementando dichas mejoras. El paso por la aduana es una etapa fundamental en el comercio entre los países puesto que permite vigilar, controlar y proteger a las naciones de posibles afectaciones a través del comercio de mercancías de orden ilegal, que dañen la planta productiva doméstica, o hasta afectaciones a la salud de las personas así como la flora y fauna de los países. Sin embargo, también tiene la función de ser una entidad facilitadora en términos de comercio exterior. Hoy en día las aduanas buscan implementar un gran número de controles de una manera rápida y eficiente de ahí que una aduana con un rápido proceso de desaduanamiento permitirá un mayor flujo de mercancía tanto de importación como de exportación permitiendo a los productos que transitan a través de ella ser más competitivos internacionalmente. En ese sentido el presente estudio logra separar 18 aduanas suscritas a países que conforman la APEC, con la finalidad de agruparlos acorde a las características de sus aduanas.
Dentro del estudio destacan tres países con características muy particulares en sus sistemas aduaneros, siendo estos China, Estados Unidos y México. En el caso de China, destacan características como la de ser una aduana moderna con uso de exclusivo de documentación electrónica (al 100%) y un gran volumen de documentos de exportación así como la de mayor flujo comercial tanto en volumen como en valor, el hecho de que sea una aduana que pueda garantizar un despacho aduanero en un día de trabajo (8 horas) (Ministerio de Comercio de la República de China, 2015) pone de manifiesto que es la aduana China la más competitiva del estudio realizado.
En el caso de la aduana de Estados Unidos la característica principal sin lugar a dudas es el gran control y vigilancia que tiene esta aduana respecto de las operaciones del comercio internacional y particularmente de las importaciones. Estos cambios son especialmente notorios a partir del 11 de septiembre del 2001, puesto que a partir del ataque a las torres gemelas cambió el sistema regulatorio así como la legislación aduanera de Estados Unidos buscando promover un mayor número de medidas de control y vigilancia siendo que algunas se consideran violatorias de los derechos humanos actualmente y son sujetas a controversias.
El caso de la aduana de México es particular ya que a pesar de haberse realizado una reforma al comercio exterior y la implementación de medios electrónicos dentro del proyecto llamando PITA (Proyecto de Integración Tecnológica Aduanera) que tiene como finalidad automatizar, facilitar y agilizar los procesos de entrada y salida de mercancías en las aduanas del país, aún existen serias deficiencias en el sistema aduanero en gran medida por la mala implementación de los sistemas que generan problemas de último minuto (como la caída sistemática de los medios electrónicos de verificación), la falta de modernización de algunos puntos de revisión y la lentitud de algunas secretarías para efectivamente vincularse a través de medios electrónicos a efectos de cubrir con las regulaciones no arancelarias en el procesos de importación y exportación. Resulta evidente que los pasos para la mejora de la aduana mexicana son los adecuados en términos de modernización y agilización de procesos. No obstante, dichos pasos han sido lentos e ineficientes a la hora de la implementación real de los mismos.
La investigación realizada permitió conocer de manera más específica el sistema aduanero de los 18 países objeto de estudio que conforma la zona APEC así como la manera en que se agrupan acorde a las características dadas respecto a las variables analizadas. Esto permite ver de manera más clara para el caso de cada uno de los países y en particular para México qué medidas habrá de considerar si se busca la competitividad de nuestro mercado en términos internacionales.
Referencias
Banco Mundial (2007). Key Elements of an Export Competitiveness Strategy . Disponible en http://go.worldbank.org/NQ11VMHXG0 .
Banco Mundial (2011). The Logistic Performance Index and its Indicator: Connecting to Compete . Washington: Banco Mundial.
Banco Mundial (2012). The Logistic Performance Index and its Indicator: Connecting to Compete . Washington: Banco Mundial.
Banco Mundial (2013). Datos sobre las cuentas nacionales del Banco Mundial y archivos de datos sobre cuentas nacionales de la ocde . Washington: Banco Mundial.
Callealta, F. J. A. (2006). “A new measure of dissimilarity between distributions: Aplication to the analysys of income distributions convergence in the European Union”. En R. H. Pleguezuelo, J. Callejón y J. M. Herrerías (eds.). Distribution models theory . Singapore: World Scientific Publishing: 125-160.
Cox, T. F. y M. A. Cox (1994). Multidimensional Scaling . Londres: Chapman & Hall.
Foro Económico Mundial (2011). The Global Competitiveness Report 2011/2012 . Geneva: Foro Económico Mundial.
Guillermo, S. B. et al. (2010). Índice de competitividad para el municipio de Puebla . Puebla: Universidad Autónoma de Puebla.
IMD (2012).World Competitiveness Yearbook. Chile: IMD.
Kim, J. y C. Mueller (1978). An Introduction to Factor Analysis: What It is and How to Do It . Beverly Hills: Sage Publications.
Kruskal, J. y M. Wish (1981). Multidimensional Scaling . Beverly Hills: Sage Publications.
Ley Aduanera de México (2013). México: isef .
Miquel, S., E. Bigné, J.-P. Lévy, A. Cuenca y M. Miquel (1997). Investigación de Mercados . Madrid: McGraw Hill.
Ministerio de Comercio de la República de China, (2015). http://www.fmprc.gov.cn/esp/
OMA (2013). World Customs Organization, Annual Report 2011-2012 . Bruselas: World Customs Organization.
OMC (2013).Organización Mundial de Comercio. Disponible en http://www.wto.org/indexsp.htm
Zamora, A. y Navarro, L. (2015). Competitividad de la administración de las aduanas en el marco del comercio internacional . Contaduría y Administración 60 (1), enero-marzo 2015: 205-228.
Anexo
Pruebas de confiablidad y selección de variables


Método de extracción: Análisis de Componentes principales.

Método de extracción: Análisis de Componentes principales.
Información adicional
Clasificación JEL: F13, F01, H3.