Artículos
Globalización y desigualdad: un enfoque multidimensional a través de redes neuronales artificiales
Globalization and inequality: A mltidimensional approach through artificial naural networks
Globalización y desigualdad: un enfoque multidimensional a través de redes neuronales artificiales
Análisis Económico, vol. XXXIII, núm. 82, pp. 31-58, 2018
UAM, Unidad Azcapotzalco, División de Ciencias Sociales y Humanidades
Recepción: 23 Mayo 2007
Aprobación: 31 Octubre 2007
Resumen: La globalización es un fenómeno multidimensional que incluye factores comerciales, financieros, tecnológicos y macroeconómicos, los cuales tienen distintos efectos sobre la desigualdad en el ingreso entre los hogares dentro un país. En este trabajo se aborda la interacción entre dichas variables para identificar los principales factores de cada dimen- sión y la dirección de su efecto a través del Análisis de Sensibilidad de Redes Neuronales Artificiales (RNA). Esta herramienta de minería de datos permite captar relaciones no lineales desde un enfoque no paramétrico. Entre los factores que destacan en la reducción de la desigualdad están el crédito y gasto en investigación y desarrollo, el control de la corrupción y el crecimiento demográfico, una posición acreedora en la cuenta financiera y la globalización comercial.
Palabras clave: Desigualdad, Gobalización, Redes Neuronales Artificiales, C45, D33, F01.
Abstract: Globalization is a multidimensional phenomenon that includes the commercial, financial, technological and macroeconomic factors, which have different effects on household income inequality within countries. This paper studies the interrelation between this variables to identify the main factors of each dimension and the direction of its effect through the Sen- sitivity Analysis of Artificial Neural Networks. This data mining tool finds out non-linear relationships with a non-parametric approach. The main factors that reduce inequality inclu- des credit and spending on research and development, control of corruption and population growth, a credible position in the financial account and trade globalization.
Keywords: Income inequality, Globalization, Artificial Neural Network, C45, D33, F01.
Introducción
En las últimas décadas la desigualdad en el ingreso ha aumentado en la mayoría de los países, como se menciona en varios trabajos: Cornia (2004), IMF (2007), Asteriou et. al (2014), entre otros. La estructura de los determinantes de la desigual- dad ha cambiado a través del tiempo debido a choques que impactan de manera importante la forma de vida de la población, como las revoluciones industriales, las guerras, el progreso tecnológico y la globalización. Cornia (2004) indica que dicha estructura sufrió un cambio entre los años ochenta y noventa del siglo XX debido a la globalización, entendida esta como libre circulación de capital, trabajo, tecnología y bienes entre los países (Milanovic, 2016). A partir de lo cual se genera un intenso debate y se desarrollan un gran número de trabajos enfocados en explicar la relación entre desigualdad y globalización (Nissanke & Thorbecke, 2006), sin embargo, no parece haber un consenso.
El ingreso depende en parte de las capacidades personales pero también depende de las oportunidades a las que cada persona puede acceder, ya sea, educa- ción, salud, empleo, entre otras (Sen, 1995). Es decir, depende de las características del país en el que vive, dichos aspectos son afectados a su vez por las decisiones de política económica: fiscal, monetaria y comercial.
Desde el enfoque clásico se utiliza la hipótesis de Kuznets, la cual indica que los incrementos de desigualdad son inherentes al progreso aunque está disminuye cuando los efectos del crecimiento se distribuyen (Kuznets, 1955) y la globali- zación suele relacionarse con el crecimiento económico, sin embargo, las políticas enfocadas en la globalización no siempre han tenido los resultados esperados en el crecimiento. (Deaton, 2013). Kaufmann, et al. (2009) por su parte indican que el efecto de la globalización sobre la desigualdad depende de la gobernanza de los países. Otro argumento de Jan Tinbergen (1975) es que la carrera entre la tecnología y la educación ha dejado rezagados a los trabajadores menos calificados.
Para abordar el tema desde una perspectiva empírica, Dreher & Gaston (2008) construyen un índice de globalización kof, con base en el cual Balan et al. (2015) analizan las relaciones de causalidad y encuentran una relación positiva para países como Canadá y Reino Unido pero negativa para Francia, lo anterior sugiere la descomposición de la globalización en factores más específicos.
La globalización es un fenómeno multidimensional y sus factores tienen diferentes efectos (incluso contrarios) en diferentes países dependiendo de las ca- racterísticas y circunstancias de cada uno. Por lo que, el primer paso para resolver este problema es identificar cuales factores en específico son importantes para la determinación de la desigualdad. De tal manera que sí la globalización tiene dis- tintos efectos sobre la desigualdad del ingreso y se identifica qué factores tienen un impacto significativo, se pueden hacer recomendaciones de política específicas para reducir la desigualdad.
Asteriou et al. (2014) consideran tres grupos de variables que representan la integración global: la apertura comercial, la globalización financiera y otros, tales como cambios tecnológicos, empleo, educación, etc. El Fondo Monetario Internacio- nal a su vez dedica un capitulo en su informe mundial “World Economic Outolook” a este tema. Ambos trabajos concluyen que la apertura comercial tiende a reducir la desigualdad y la globalización financiera aumenta la desigualdad (IMF, 2007). En el mismo estudio Asteriou et al. sólo analizan los países de la Unión Europea para lo cual genera subgrupos de países conforme a su ubicación geográfica y encuentran que los efectos cambian dependiendo del grupo.
En este sentido el objetivo de este trabajo es identificar los factores de la globalización que influyen en la desigualdad del ingreso, tomando en cuenta las tres dimensiones de la globalización: comercial, financiera y tecnológica, pero también factores macroeconómicos, incluyendo en la muestra la mayor cantidad posible de países de diferentes regiones del mundo en especial de América Latina.
Para tales efectos en este trabajo, se utiliza un enfoque de minería de datos, 1 en donde se consideran variables que bajo algún argumento teórico tienen relación con la globalización. Se analizan los datos con un modelo no paramétrico de redes neuronales artificiales (RNA) no lineal del cual se extrae información relevante sobre la magnitud y dirección del efecto que los factores más importantes de la globalización tienen sobre el coeficiente de Gini. De manera más específica, se estima un modelo perceptrón multicapa (MPM), el cual es capaz de estimar cualquier función no lineal con un nivel de ajuste alto sin presuponer que los datos tienen un comportamiento determinado (Haykin, 1994). Las redes neuronales artificiales (RNA) son modelos muy eficientes en la estimación y manejo del ruido blanco. Se han utilizado amplia- mente en problemas de predicción e identificación de patrones en una gran cantidad de campos, en economía se han aplicado en finanzas para la estimación de índices accionarios (Arango et al., 2013) o problemas de bancarrota y crédito (McNelis, 2005). Sin embargo, no es común utilizarlas para el análisis de relaciones debido a la difícil interpretación de la arquitectura y pesos del modelo. Antes de los años 90 las RNA eran consideradas como cajas negras (Haykin, 1994), hoy es posible identificar los factores de la globalización más importantes que influyen en la distribución del ingreso a través del análisis de sensibilidad de las redes, específicamente el método de perturbación para efectos individuales y el de importancia relativa de las variables de entrada sobre la variable de salida (Garson, 1991; Palmer et al. 2006; De Oña & Garrido, 2014). En este trabajo se busca combinar su capacidad de predicción con el análisis de sensibilidad para extraer información relevante.
Con base en el análisis de los resultados, se recomienda el fortalecimiento del sector industrial enfocado al comercio de mercancías finales, el impulso del progreso tecnológico a través del gasto en investigación y desarrollo así como créditos a las TICs; fomentar el empleo en el sector industrial y de servicios, sin dejar de lado las políticas de bienestar social y de control demográfico.
En la siguiente sección se describen las herramientas a utilizar, se desarrolla el funcionamiento del modelo perceptrón multicapa (MPM) y se describen brevemente las técnicas de análisis de sensibilidad: el método de perturbación y el de importancia Relativa. En la sección 2, se describen y justifican las variables que conforman el conjunto de datos de entrada (variables explicativas) que alimentan a la red neuronal, a través del análisis de las teorías que relacionan la globalización y sus dimensionescon la desigualdad. En la sección 3 se entrena y estima el modelo de redes neuronales, en la sección 4 se analiza el efecto de cada factor sobre la desigualdad y su contribución a través del análisis de sensibilidad; por último se exponen las conclusiones.
1.Redes Neuronales artificiales
Las redes neuronales artificiales (RNA) son consideradas como modelos no paramétricos adaptativos de minería de datos, que buscan generalizaciones lineales y no lineales a partir de un conjunto de datos de entrada. También se considera parte de la Inteligencia Artificial, puesto que se basa en el proceso neurológico del aprendizaje biológico.
1.1Perceptrón
La rna con la arquitectura más simple es un perceptrón el cual estima un valor de salida de la variable Y, con base en un conjunto de datos de entrada X = {x1, ..., xK }, donde K es el número de variables independientes más un sesgo representado por un parámetro.
[1]El modelo anterior es equivalente a una regresión de mínimos cuadrados ordinarios donde se estima el valor de Y, el sesgo b es la constante, los pesos wk los parámetros estimados y la función de activación f es de identidad.
El perceptrón representa una neurona en el proceso de aprendizaje bio- lógico del cerebro humano, su arquitectura se muestra en la figura 1, donde f es la función de activación que define el umbral que da energía a la neurona.
Los parámetros del modelo (pesos) se estiman a través del algoritmo Backpropagation (bp) el cual va ajustando los valores iterativamente hasta encontrar un mínimo en el error cuadrado (Chauvin & Rumelhart, 1995).
1.2Modelo perceptrón multicapa
La arquitectura de un modelo perceptrón multicapa (mpm) consiste en tres partes: la capa de entrada que tiene tantas neuronas como variables explicativas, las capas ocultas y la capa de salida que representa las variables dependientes. En la figura 2 se muestra una red con dos neuronas en una capa oculta y una sola variable de salida.

Un modelo perceptrón multicapa (mpm) se construye a partir de la interco- nexión de neuronas en diferentes capas, cada neurona funciona como un perceptrón donde el valor de salida en cada capa oculta es el valor de entrada de una las neuronas en la siguiente capa. La arquitectura general se representa con la siguiente ecuación donde H es el número de capas ocultas, N el número de neuronas por capa y K el número de variables en la capa de entrada.
[2]La estimación del modelo se realiza en dos etapas, la de funcionamiento para obtener la arquitectura de la red y la de aprendizaje en la cual se ajustan los pesos de acuerdo al algoritmo de aprendizaje BP, el cual es un método de entrenamiento supervisado.
Los valores del conjunto de datos de entrada en X son normalizados2 para facilitar la convergencia, cuando las variables tienen diferentes escalas, lo cual mejora el proceso de entrenamiento (Faraway, 2016)
1.3Análisis de sensibilidad
En la ecuación 2 se puede apreciar la dificultad de interpretar la estructura de una red; para extraer información del modelo se han desarrollado una serie de métodos que analizan la contribución de cada variable en los modelos mpm, entre los que destacan el método de perturbación y el de importancia relativa basado en efectos marginales.
Método de Perturbación
Para estimar la contribución de cada variable se utiliza el método de perturbación, que consiste en estimar el valor de salida, en este caso el Coeficiente de Gini, a través del modelo de redes neuronales mpm variando el valor de entrada solo de la variable en cuestión entre el rango posible de valores, entonces se grafica el efecto para visualizar la forma del efecto (pendientes); este método analiza el efecto en el Coeficiente de Gini ante cambios de una variable manteniendo las demás fijas.
Método de Importancia relativa
La metodología de importancia relativa de las variables se basa en la interacción entre los pesos sinápticos. La importancia relativa de la k-ésima variable (Qk ) se determina con base en la interacción entre los parámetros del modelo, pesos rela- cionados con la variable en las N neuronas y H capas ocultas, y el porcentaje de influencia de una variable k sobre la variable de salida.
[3]Donde Rnk es el valor de importancia relativa de la variable k, entre las neuronas j y n, con respecto al valor total de entrada para la neurona n (Garson, 1991)
[4]Los resultados del análisis de sensibilidad pueden ser inestables porque el algoritmo de aprendizaje bp es capaz de encontrar diferentes conjuntos de pesos (óptimos locales), es decir, diferentes redes y todas con un alto grado de ajuste, esto depende de los pesos iniciales, los cuales son aleatorios. Un método que reduce considerablemente este problema cosiste en entrenar la red con los mismos datos y la misma arquitectura, encontrar un conjunto de pesos óptimos, repetir este entrena- miento M veces con diferentes pesos iniciales y obtener las importancias relativas en cada iteración de tal manera que al final se tiene una matriz de orden MK (De Oña & Garrido, 2014). Las variables que tienen magnitud y dirección constante en la mayoría de los modelos, muestran resultados estables.
2.Variables de desigualdad y globalización
En esta sección se describen las variables utilizadas para estimar el modelo percep- trón multicapa (MPM), considerando como valor de salida el coeficiente de Gini que representa la desigualdad, como conjunto de datos de entrada se proponen una serie de variables componentes de la globalización.
Para medir la desigualdad en el ingreso3 de manera general y comparable entre países, utilizamos el coeficiente de Gini, específicamente el coeficiente sintético de la base de datos SWIID 5.0 por sus siglas en inglés “The Standardized World Income Inequality Database” propuesto por Frederick Solt (2016) que permite la comparación de los valores, considerando la incertidumbre con cien imputaciones, para lo cual se considera el valor promedio neto del coeficiente de Gini, esto es después de impuestos y transferencias.
La globalización es un fenómeno multidimensional, por lo que se analiza desde tres perspectivas: la globalización comercial, financiera y tecnológica; considerando que el efecto de la globalización depende las circunstancias y características de cada país, también se consideran factores macroeconómicos (ver cuadro 1). Para incorporar los factores de las diferentes dimensiones de la globalización se propone una lista de variables que con base en algún argumento se relaciona con nuestro fenómeno de estudio (ver cuadro 2).


Entre los factores macroeconómicos se considera el territorio del país, la parte que representa cada país con respecto a la superficie terrestre global. La esperanza de vida al nacer, en este caso se toma como un indicador de bienestar relacionado con la salud y la mortalidad de la población. El crecimiento económico que según la hipótesis de Kuznets está relacionado con cambios en la distribución del ingreso, el cual se mide con el cambio porcentual anual del producto interno bruto.
Considerando la relación que indica Kuznets entre desarrollo y desigual- dad, explicada por la existencia de al menos dos fuerzas que influyen en la distribución del ingreso: la concentración de ahorro de los más ricos por un lado, lo que permite recibir rendimientos y acumular capital para las generaciones siguientes y por otro lado la proporción de la población rural y urbana, donde la población rural obtiene menores ingresos que la población que vive en las ciudades debido al tipo de industria en la que trabajan (Kuznets, 1955). Para este caso se incluyen las variables poblacionales de crecimiento porcentual en zonas urbanas y rurales, así como de empleo en los tres sectores principales agrícola, industrial y de servicios. Con respecto a la concentración de ahorro se consideran las proporciones de inversión pública y privada, así como, el stock de capital que es donde deberían invertirse los capitales extranjeros (Azzimonti & Quadrini, 2014).
Los países con altos niveles de corrupción difícilmente pueden redistribuir los recursos, y las políticas muchas veces no funcionan o tienen efectos adversos debido a la ineficacia del Estado para implementarlas. Para tomar en cuenta el papel del gobierno, se incluyen los índices de gobernabilidad, en los cuales se capta la percepción de la ciudadanía con respecto a la eficiencia del gobierno, entre los que se encuentran seis índices de gobernanza; 1. La rendición de cuentas, 2. La estabilidad política y ausencia de violencia, 3. La efectividad gubernamental en cuanto a servicios públicos, 4. La calidad de las regulaciones, 5. El estado de derecho, confianza en el sistema judicial y 6. El control de la corrupción tanto en el sector público como privado e individual (Kaufmann et al., 2009).
También se considera el nivel de deuda pública, el cual puede tener diferentes efectos dependiendo de la finalidad del crédito, que podría ser gasto militar, de educación, de inversión en tecnologías o gasto corriente.
Para medir la apertura comercial se toma el volumen de bienes y servicios que se comercializan en los mercados internacionales, separado en exportaciones e importaciones. A través de la cuenta corriente de la balanza de pagos se toma el volumen de intercambio entre los residentes de los países. Otras medidas a considerar son el intercambio de mercancías y los términos de intercambio que analiza la evolución del poder de compra en términos de capacidad importadora.
Siguiendo el argumento de que el salario determina el ingreso de las personas, el cual está en función de la oferta y demanda de trabajo, y su impacto sobre la desigualdad proviene de la distinción entre la remuneración del trabajo calificado y no calificado (FitzGerald, 1996). Para abordar está diferenciación entre la deman- da de trabajo partimos del supuesto de que el sector servicios requiere de personal más calificado que el sector industrial, como una consecuencia del incremento de demanda de servicios financieros, de comunicaciones, de transporte, entre otros y por otro lado en el sector agrícola trabajan las personas con mano de obra menos calificada (Ángeles-Castro, 2007).
En lo que se refiriere a la globalización financiera, definida como “la interpenetración de los mercados monetarios y financieros y su integración con los mercados mundiales”, su efecto en la economía depende del grado de apertura financiera y la política monetaria que cada país aplica, para lo cual incluimos diferentes aspectos: el flujo de capitales medido por la inversión extranjera directa (IED), el tamaño y capitalización del mercado bursátil, el valor del mercado accionario, y el número de acciones nacionales con respecto al valor del mercado.
Adicionalmente se incluye información de la balanza pagos como la cuenta de capitales y financiera que reflejan el superávit o déficit, para la interrelación entre los residentes de los países, se considera la metodología BMD65 que mide los flujos financieros a través de las posiciones en las cuentas de inversiones internacionales (IIP), ya que indican la posición deudora o acreedora de la economía con base en el principio de activos y pasivos. La adquisición de activos/pasivos incluye la inversión directa y de portafolio, los derivados financieros, las reservas y otras inversiones. Las remesas representan un ingreso importante para países en desarrollo, aunque ayudan a reducir la desigualdad, también podrían afectar la oferta y demanda de trabajo.
En cuanto a la globalización tecnológica, las innovaciones generan nue- vas industrias y aumentan la productividad del capital ya existente, así mismo, su efecto se potencializa abriendo los mercados (Jaumotte & Papageorgiou, 2013). La globalización acelera la privatización, especialmente de las investigaciones que generan tecnología incrementando la desigualdad entre quien puede comprar o acceder a estos progresos y quien no, esto aplica tanto a nivel personal como entre industrias y países. Para medir el acceso a la información global se toma el número de usuarios de internet, lo cual reduce los problemas de asimetría de información. Por otro lado el auge de mercados tecnológicos afecta la demanda de trabajo, pues las empresas dedicadas a las innovaciones requieren empleados con un mayor grado de educación, e incluso ciertas habilidades específicas como la creatividad y la habilidad para solucionar problemas. La demanda de trabajo especializado aumenta los salarios de la fuerza laboral capacitada aumentando la brecha salarial.
Asteriou et al. (2014) indican que los países que exportan alta tecnología tienen menores niveles de desigualdad, para lo cual el gasto en investigación y desarrollo (I&D) y los créditos enfocados a tal rubro juegan un papel fundamental, ya que permiten exportar tecnología en lugar de importarla. De igual forma, se incluyen las exportaciones de alta tecnología del sector manufacturero debido a que la eficiencia de este tipo de industria a través de la automatización reduciría el nivel de empleo sobre todo del no calificado.
En total se consideran 10 factores financieros, 4 comerciales, 5 de la balanza de pagos, 5 tecnológicos, los 6 índices de gobernanza y 16 macroeconómicos de población, empleo, gasto e inversión, descritos en los cuadros 1 y 2. Y como variable dependiente se toma el coeficiente de Gini y como variables independien- tes se incluyen los 46 factores descritos anteriormente. Si bien las observaciones en la SWIID son más de tres mil datos, su intersección con las 46 variables y el coeficiente de Gini reduce la muestra, ya que, no todos los países tienen bases de datos estadísticas con todas las variables propuestas para todos los años. Por lo que se trabaja con 376 registros de 1996 al 2013 correspondientes a 42 países. En el cuadro 3 se muestra el porcentaje de países incluidos por región, donde se aprecia que la mayoría de los países con información suficiente son los europeos y norte americanos.

3.Estimación del modelo
Para entrenar el mpm se consideran K = 46 variables y P = 376 observaciones como datos de entrada denotadas por la matriz X y la variable GINI cómo el valor de salida. Una observación es una realización, es decir, un conjunto de 46 datos (uno por variable) para un país en un año determinado.

Se trabaja con 376 observaciones de las cuales se toma una muestra de entrenamiento6 del 75% de los datos normalizados, con la cual se estiman los pesos reduciendo el error cuadrado del modelo a través del algoritmo backpropagation. Los pesos se ajustan iterativamente w i+1 = w i −η ∂E ∂w i −λη w i hasta encontrar un minimo error Ε= ∑ 𝑝 𝐺 − 𝐺 2 para cada observacion p donde la tasa de aprendizaje es ƞ= 0.1 y el valor de decaimiento de los pesos es λ= 0.001, este parámetro penaliza la función permitiendo un ajuste más estable. El análisis se realiza con la librería “nnet” de R7 y se utiliza el algoritmo de Faraway para diferentes cantidades de neuronas H ϵ [2,7] en la capa oculta (Faraway, 2016, p. 302); con cada nodo extra la predicción aumenta, sin embargo después de la sexta neurona el R2 mejora muy poco. Por lo que, la mejor arquitectura estimada tiene tres capas, la capa de entrada, la capa oculta con N = 6 neuronas que utilizan una función de activación fn tipo logística y la capa de salida de solo una neurona con una función identidad f
(x) = x, en total la arquitectura del modelo tiene 289 parámetros incluyendo pesos w y sesgos b.
[5]La función de activación en la capa oculta es tipo logística:
[6]Como las redes neuronales artificiales no están basadas en supuestos estadísticos su evaluación consta de pruebas de ajuste. Se utiliza el método de cross-alidation para evitar el principal problema de este tipo de modelos “el sobreajuste”, es decir, que se tengan muy buenos resultados con las observaciones con las cuales fueron estimados los pesos pero que sean muy deficientes cuando se agregan datos desconocidos o fuera de la muestra.
En la tabla de la figura 3 se tienen los coeficientes de determinación de 𝑅 2 =1− Ε Σ 𝑝 𝐺− 𝐺 2 y los ajustados 𝑅 𝐴 2 =1− 1− 𝑅 2 𝑛−1 𝑛−𝑘−1 para los datos de entrenamiento, para el 25% de los datos de prueba que no se incluyeron en el aprendizaje y para los 376 datos totales. Donde se aprecia que el coeficiente de determinación más bajo es 0.89 que corresponde al calculado con datos fuera de la muestra de entrenamiento.

4.Análisis de sensibilidad
Para conocer el impacto y dirección del efecto que tiene cada factor sobre la desigualdad a partir de un modelo con relaciones no lineales y que parecen no tener sentido interpretable, se aplican el método de perturbación y análisis de importancia relativa.
4.1Método de perturbación
Se estima la desigualdad para los 376 datos manteniendo fijos los valores de todas las observaciones menos los de la variable j que se está analizando X '(xi , ... , xj , ... , xk ). Los valores xj de se estiman con base en el rango de los posibles valores que puede tomar el factor en cuestión, tomando como límites sus valores mínimo y máximo Gˆk = fM (xi ,..., x j ,...xk ). Para cada variable se estima y grafica su efecto con respecto al coeficiente de Gini, de tal manera que se grafican las estimaciones bajo diferentes condiciones; el eje vertical muestra la variación del coeficiente de Gini ante cambios en los valores de cada variable en el eje horizontal.
Como se muestra en la primera gráfica de la figura 4 el crecimiento económico (GDP_R) tiene efectos mixtos; la desigualdad aumenta con tasas mayores a 5% y disminuye cuando son menores, sin embargo la magnitud del cambio es muy pequeña (del 33.5 al 34.1) por lo que el efecto es casi nulo. El efecto es igualmente despreciable cuando los países abarcan menos del 2% del territorio mundial y aunque mientras más grande, la desigualdad disminuye, es importante considerar que pocos países son tan grandes, por lo que este no es un factor determinante.

La relación que muestra el modelo del coeficiente Gini con respecto al crecimiento de la población urbana es un tanto más compleja, con tasas entre 0% y 2% la desigualdad aumenta, pero si las tasas son negativas o muy altas (mayores al 2%) el efecto es contrario. El número de embarazos de adolescentes por cada 1000 (_TFERA) es según la red el factor determinante más importante, así mismo la gráfica de la esperanza de vida capta el problema de las poblaciones viejas pues indica un aumento de desigualdad a partir de 75 años.
El análisis del empleo (figura 5) indica una relación no lineal de EMP_N aunque la magnitud del efecto se contrarresta debido a la cantidad de empleados en los diferentes sectores. El aumento de la desigualdad se debe a una mayor pro- porción de empleo en el sector agrícola y la diminución corresponde a la del sector industrial y de servicios.

Lo anterior es consistente con el argumento de Kuznets referente al fe- nómeno de urbanización, así como el efecto “Skill Premium” si consideramos que el sector servicios demanda empleo altamente calificado.
Los índices de gobernanza corresponden a valores escalados a una desviación estándar y están aproximadamente entre -2.5 (débil) y 2.5 (fuerte), donde los valores más altos corresponden a mejores niveles de gobernanza (Kaufmann et al., 2010). Los tres primeros índices en la figura 6 específicamente: la calidad de sus regulaciones, el estado de derecho y el control de la corrupción indican que los países con mejores prácticas de gobernanza tienen a disminuir la desigualdad; la dirección del efecto es adversa o combinada para los tres índices restantes sin embargo, la magnitud del efecto es muy pequeña.

El papel del gobierno también se valora a través de sus decisiones políticas y financieras; entre más dinero se gasta en el sector militar mayor es la desigualdad (figura 7). El efecto de la deuda externa muestra que niveles menores al 50% del pib disminuye la desigualdad aunque aumenta con niveles mayores, y disminuye cuando la deuda sobrepasa el PIB, sin embargo el efecto es muy pequeño como se muestra en el eje vertical de la primera gráfica en la figura 7. En esta parte se incluye la cuenta “Errores y Omisiones” de la balanza de pagos, debido a que podría considerarse como evasión fiscal o falta de eficiencia del gobierno cuando las cantidad son considerables, el modelo capta una relación positiva entre más grande este rubro, mayor desigualdad.

Un mayor porcentaje del PIB en exportaciones aumenta la desigualdad, las importaciones por el contrario la disminuye, sin embargo, el efecto positivo gana por poco como se comprueba al ver el efecto del intercambio de mercancías (MT).

Conforme las exportaciones se vuelven más caras y las importaciones más baratas los términos de intercambio mejoran y la desigualdad disminuye, pero si el índice sobrepasa los 150 el efecto en la desigualdad es contrario.
En cuanto a la balanza de pagos, la cuenta corriente es consistente con el análisis de las exportaciones e importaciones, conforme las exportaciones van ganando terreno, como se muestra en la primera grafica de la figura 9, la desigualdad aumenta.

La cuenta de capitales positiva aumenta la desigualdad, lo que indica concentración de capital pero deficiente distribución del ingreso. Manteniendo un superávit en la cuenta financiera la desigualdad disminuye (ver figura 9).
Aunque el tamaño del mercado accionario no parece tener un efecto importante sobre el coeficiente Gini como se muestra en la primera gráfica de la figura 10, el volumen de acciones negociadas nacionales con respecto al valor del total de acciones SM_D sí tiene una importante participación, de tal forma que entre más bursátiles son las acciones domésticas mayor es el coeficiente de desigualdad.

En cuanto a la inversión, países con altos porcentajes de capital en el sector público o inversión en el sector privado tienen mayor nivel de desigualdad; la inversión en el sector público y el capital del sector privado tienen una relación compleja pero su efecto es pequeño.

También se analizan efectos de flujos financieros (figura 12), la desigualdad aumenta en países con flujos de inversión entrantes, pero disminuye si los flujos salen del país (FDI_IN/OUT). Estos resultados son consistentes, puesto que sucede lo mismo al analizar la posición deudora o acreedora del país a través de las cuentas IIP medidas por los activos y pasivos netos (AFAN, LIN).

Sin embargo el efecto de los activos y pasivos de inversión directa es completamente opuesto, por un lado estas variables no incluyen activos especulativos a diferencia de las cuentas netas, por otro lado inversión extranjera directa FDI no contempla el capital y préstamos que las filiales hacen a sus matrices, cantidades que si contemplan las posiciones ADI y LDI (OECD, 2014).
Exportar alta tecnología es una señal de desarrollo, sin embargo, las dos variables utilizadas para medir este aspecto (HTE_T, HTE_PM) muestran un efecto negativo sobre la desigualdad, consistente con el argumento de Jaumotte & Papageorgiou (2013). El crédito enfocado a tecnologías de información disminuye la desigualdad, pero si la cantidad en estos créditos es muy grande el efecto es contrario. Aunque el acceso a la información medida con el número de usuarios de internet efectivamente disminuye la desigualdad, su efecto es pequeño. Una de las variables que mayor efecto tienen es el porcentaje con respecto al PIB del gasto en Inversión y Desarrollo (RD_P) la cual reduce la desigualdad.

Lo anterior sugiere que el proceso de generar tecnología es mejor para la desigualdad que el proceso de producción y exportación, debido a que aumenta el salario y oferta de empleo calificado, a su vez empeora el salario y oferta del empleo no calificado el cual es sustituido en los procesos manufactureros.
4.2Método de importancia relativa
Para verificar la relación de los diferentes factores es necesario analizar los efectos en su conjunto, para lo cual se utiliza el método de importancia relativa que a su vez nos permitirá identificar las variables menos significativas según el modelo de redes neuronales.
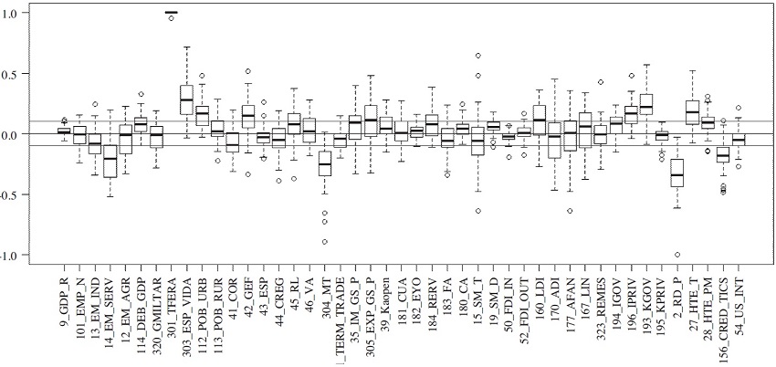
En la gráfica 1 se aprecia el nivel de importancia de cada variable en el simplex, es decir estandarizada en el intervalo [-1,1] y si su contribución es positiva o negativa con base en el modelo estimado. En la gráfica 2 se muestran los resultados del método De Oña con M=50 modelos para estabilizar y confirmar el análisis de la importancia relativa de los factores. Las dos gráficas coinciden en la mayoría de las variables macroeconómicas; entre las que reducen la desigualdad están el empleo en el sector industrial y de servicios, el control de la corrupción y la calidad de las regulaciones; en cambio, el presupuesto destinado al gasto militar, el crecimiento de la población en zonas urbanas, la esperanza de vida y principalmente la tasa de fertilidad en adolecentes aumentan la desigualdad.


En cuanto a los factores comerciales la importancia de algunas variables no es clara, pues el modelo estimado indica que el comercio de mercancías no es importante, en cambio los términos de intercambio si lo son. En el metodo De Oña es precisamente el intercambio de mercancias (MT) lo más importante para reducir la desigualdad, por el contrario tanto las exportaciones como importaciones tienen un efecto positivo, en ambos casos la dirección del efecto es consistente en todos los modelos. Con base en la definición de las variables, el intercambio de servicios y productos intermedios aumenta la desigualdad.
Con respecto a la globalizacion financiera, la posición deudora o acreedora es un factor determinante para la desigualdad, efecto que se contrarresta con una balanza de pagos equilibrada en la gráfica 1 . Sin embargo el metodo De Oña muestra una amplia variabilidad y efectos en ambas direcciones. El modelo de la grafica 1 sobre-estima la importancia de la inversión extranjera directa según el promedio de los modelos usados en el segundo método.
La inversión pública y en menor medida la privada tienen efectos negativos sobre la desigualdad en casi todos los modelos al igual que el capital en el sector público. En cuanto a la bolsa de valores, la importancia del mercado accionario es casi nulo y aunque el efecto de la bursatilidad de las acciones nacionales es pequeño siempre incrementan el coeficiente de Gini.
En cuanto a los factores tecnológicos, se identifica claramente al gasto en inversión en investigacion y desarrollo I&D como uno de los factores más impor- tantes para reducir la desigualdad, así como el crédito a las TICs aunque no en la misma magnitud. En cambio la exportación de altas tecnologías tiende a aumentar la desigualdad. A diferencia de los factores financieros los tecnológicos son estables y consistentes según el método De Oña.
Es importante considerar que la relación de la globalización con la desigualdad depende de diversos factores macroeconómicos en un 34%, de los índices de gobernanza en 12%, un 20% de la globalización financiera, un 17% de la apertura comercial y un 16% de la globalización tecnológica.

Conclusiones
Considerando la dirección, importancia y estabilidad del efecto de cada factor sobre la desigualdad se concluye que de las variables macroeconómicas más importanes para reducir la desigualdad son el empleo en el sector industrial y de servicios, el control de la corrupción y la calidad de las regulaciones. Por el contrario, el presupuesto destinado al gasto militar, el crecimiento de la población en zonas urbanas, la esperanza de vida y principalmente la tasa de fertilidad en adolescentes aumentan la desigualdad.
El intercambio de mercancías es el factor más estable de la globalización comercial e indica una relación negativa con el coeficiente de Gini, es decir, su incremento disminuye la desigualdad, al igual que los términos de intercambio aunque con menor magnitud. Son la exportación e importación de servicios y productos intermedios lo que aumenta la desigualdad.
La globalización financiera puede tener distintos efectos, dependiendo de la posición acreedora o deudora del país y del tamaño de su mercado accionario, aunque el método De Oña muestra una variabilidad tanto de magnitud como de dirección en el efecto, lo que significa que su efecto depende de los valores de otras variables. Si bien el efecto es pequeño la bursatilidad de las acciones nacionales simpre incrementa la desigualdad, pero el superavit en la cuanta financiera la reduce. Por otra parte, mayores niveles de capital público y privado así como la inversión privada aumentan la desigualdad
La globalización financiera tiene una dinámica bastante marcada sin embargo es la menos consistente, y en cambio la globalización tecnológica es más estable, como se aprecia con el método De Oña.
Con respecto a la globalización tecnológica no hay duda de que los créditos a las tecnologías de información y el gasto en investigación y desarrollo son importantes para reducir la desigualdad mientras que la exportación de alta tecnología la aumenta.
Por lo anterior, se recomienda el fortalecimiento del sector industrial enfocado al comercio de mercancías finales, el impulso del progreso tecnológico a través del gasto en investigación y desarrollo así como créditos a las TICs; fomentar el empleo en el sector industrial y de servicios, sin dejar de lado las políticas de bienestar social y de control demográfico.
La variabilidad de los resultados en el método De Oña sugiere que depen- diendo de las circunstancias de cada país será el efecto de la globalización sobre la desigualdad, siguiendo esta línea de investigaciones futuras enfocadas en la combinación de los factores, para encontrar generalizaciones más estables.
Referencias
Angeles-Castro, G. (2007). “Factors driving changes in income distribution in post- reform Mexico”, Department of Economics Discussion Paper, University of Kent.
Arango, F., Llanos, A., y López, F. (2013). “Pronóstico de los índices accionarios DAX y S&P 500 con redes neuronales diferenciales”, Contaduría y Administración, vol. 58 núm. 3, pp. 203-225.
Asteriou, D., Dimelis, S., & Moudatsou, A. (2014). “Globalization and income in- equality: A panel data econometric approach for the EU27 countries”, Economic Modelling, vol. 36 no.7, pp. 592-599.
Azzimonti, M., De Francisco, E., & Quadrini, V. (2014). “Financial globalization, inequality, and the rising public debt”, The American Economic Review, vol. 104, no. 8.
Balan, F., Torun, M., & Kilic, C. (2015). “Globalization and Income Inequality in G7: A Bootstrap Panel Granger Causality Analysis”, International Journal of Economics and Finance, vol. 7, no. 10, p. 192.
Cornia, A. G. (2004). Inequality, growth, and poverty in an era of liberalization and globalization. Oxford University Press for UNU-WIDE.
Chauvin, Y., & Rumelhart, D. E. (1995). Backpropagation: theory, architectures, and applications. Psychology Press, New Jersey.
Chinn, M. and H. Ito (2006), “What matters for financial development? Capital controls, institutions and interactions”, Journal of Development Economics, vol. 81, no. 1, pp. 163-192.
Deaton, A. (2013). The great escape: health, wealth, and the origins of inequality. Princeton University Press.
De Oña, J., & Garrido, C. (2014). “Extracting the contribution of independent variables in neural network models: a new approach to handle instability”, Neural Computing and Applications, vol. 25 no. 3, pp. 859-869.
Dreher, A., & Gaston, N. (2008). “Has globalization increased inequality?”, Review of International Economics, vol. 16, no. 3, pp. 516-536.
FitzGerald E. V. K. (1996) “The new trade regime, macroeconomic behavior and income distribution in Latin America”, in Bulmer-Thomas, Victor (ed.), The new economic model in Latin America and its impact on income distribution and poverty. Palgrave Macmillan, UK
Garson, G.D. (1991). “Interpreting neural network connection weights”, Artificial Intelligence Expert, vol. 6, no. 4, pp. 46-51.
Haykin, S. (1994). Neural Networks, A comprehensive foundation. Pearson Prentice Hall, Upper Saddle River, New Jersey.
International Monetary Fund (2007). “Chapter 4: Globalization and Inequality”, World Economic Outlook, Washington DC. 31-65.
Jaumotte, F., Lall, S., & Papageorgiou, C. (2013). “Rising income inequality: technology, or trade and financial globalization?” IMF Economic Review, vol. 61 no. 2, pp. 271-309.
Kaufmann, D., Kraay, A., & Mastruzzi, M. (2009). “Governance matters VIII: aggregate and individual governance indicators, 1996-2008”, Policy Research Working Paper 4978, The World Bank, Washington, D.C.
Kuznets, S. (1955). “Economic growth and income inequality”, The American Economic Review, vol. 45, no. 1, pp. 1-28.
McNelis, P. D. (2005). Neural networks in finance: gaining predictive edge in the market. Elsevier Academic Press, Burlington, MA.
Milanovic, B. (2016). Global inequality A New Approach for the Age of Globalization. Harvard University Press, Cambridge, MA.
Nissanke, M., & Thorbecke, E. (2006). “Channels and policy debate in the globalization-inequality-poverty nexus”, World development, vol. 34, no. 8, pp. 1338-1360.
Olson, D. L., & Delen, D. (2008). Advanced data mining techniques. Springer Science & Business Media, Berlin.
Palmer, A., Montaño, J. J., & Sesé, A. (2006). “Designing an artificial neural net- work for forecasting tourism time series”, Tourism Management, vol. 27, no. 5, pp. 781-790.
Sen, A. (1995). Inequality Reexamined. Harvard University Press, Cambridge, MA.
Solt, F. (2016). “The Standardized World Income Inequality Database”, Social Science Quarterly 97 (5), pp.1267-1281.
Tinbergen, J. (1975). Income Differences: Recent Research. North Holland Pub. Co., Amsterdam.
Notas