Artículos
La función Cobb-Douglas de la producción semintensiva de leche en el sur del Estado de México
The Cobb-Douglas function of semi-intensive milk production in the south of the state of Mexico
La función Cobb-Douglas de la producción semintensiva de leche en el sur del Estado de México
Análisis Económico, vol. XXXIII, núm. 82, pp. 125-141, 2018
UAM, Unidad Azcapotzalco, División de Ciencias Sociales y Humanidades
Recepción: 28 Agosto 2017
Aprobación: 29 Noviembre 2017
Resumen: Se estimó una función de producción tipo Cobb-Douglas bivariada seudocuadrática para determinar el nivel óptimo técnico en la oferta semintensiva de leche, mediante dos procedimientos matemáticos y probar si conducen a la misma solución. La información provino de diez vacas (PV 628 ± 72 kg) con diferentes números de partos y periodos de lactancia, de un rancho lechero en el sur del Estado de México durante agosto-septiembre de 2013. Las cantidades óptimas de los insumos variables fueron 9.00 kg de alimento concentrado y 12.60 kg de forraje por periodo, para un nivel óptimo técnico de 353.80 L de leche. La función de producción Cobb-Douglas representa una excelente opción para optimizar el uso de recursos y la oferta en sistemas de producción bovinos leche.
Palabras clave: Cobb-Douglas, leche, óptimo técnico, C32, C51, D24.
Abstract: It was estimated a production function type Cobb-Douglas bivariate-pseudocuadratic, to determine the optimal technical level in milk production semi-intensive, using two mathematical procedures and test if they lead to the same solution. The information came from 10 cows (PV 628 ± 72 kg) with different number of childbirth and breast-feeding, a ranch dairy farming in the South of the Estado de Mexico, during August-September 2013. The optimal amounts of variable inputs were 9.00 kg of concentrate feed and 12.60 kg of forage by period, for an optimum level technician of 353.80 L of milk. The Cobb-Douglas production function represents an excellent option to optimize the use of resources and production in cattle production systems milk.
Keywords: Cobb-Douglas, milk, technical optimum, C32, C51, D24.
1.Introducción
La leche provee compuestos importantes (proteína, grasa, etc.) que permiten balan- cear requerimientos nutricionales de las personas en todas las edades (Fadul et al., 2013; Rebollar et al., 2016; Salas et al., 2015). Sin embargo, es en la producción donde intervienen una serie de factores como la cantidad y calidad de insumos, tipo de materia prima, sistema de producción, combinación de factores de producción, comercialización, distribución, cercanía a grandes mercados consumidores, apoyos gubernamentales a este sector, etc. (Rebollar et al., 2016, que influyen en forma conjunta en el resultado, que puede ser un producto de calidad y de un costo mínimo. En México, la producción nacional de leche ha sido creciente; por ejemplo, durante 1990-2000, la tasa de crecimiento media anual (tcma) alcanzó 4.31%, al pasar de 6.10 a 9.30 mil millones de litros; para 2001-2012 fue de 1.30% (de 9.50 a 10.90 mil millones de litros); con una ligera disminución en 2013 (10.83 mil mi- llones de litros) y en 2014 la cantidad producida alcanzó 11 130 millones de litros. Se observó que, aunque la TCMA fue menor en el último periodo con relación al de 1990-2000, no fue así con la cantidad absoluta obtenida. En sí, de 1990 a 2012, la producción nacional mantuvo un crecimiento relativo cercano a 2.67% (SIAP, 2014).
En 2014, la producción nacional se incrementó en 300 millones de litros (2.7%), con relación a 2013. Por entidad, destacaron Guanajuato (8.30%), Chihuahua (2.70%), Coahuila (2.60%), Durango (1.90%) y Jalisco (0.4%). Por el contrario, las entidades que disminuyeron su producción fueron: Veracruz (1.80%), México (1.70%) e Hidalgo (3.40%). En 2014, el Estado de México ocupó la posición siete, solo después de Veracruz (siap, 2015).
México posee el primer lugar mundial en compra de leche en polvo, con 8.60% de las importaciones globales, 94.60% de estas provienen de Estados Unidos. En 2014 las importaciones se ubicaron en 207 111 toneladas de leche en polvo, principalmente en los meses de agosto y octubre (SIAP, 2015).
En esta actividad están presentes distintas modalidades de producción según su sistema tecnológico. Así, se tiene al sistema especializado, semiespecializado, doble propósito y el familiar o de traspatio (Yamamoto et al., 2006; Posadas et al., 2013). Al primero corresponde 50.60% de la producción total de leche, proveniente de las razas Holstein, Pardo-suizo y Jersey, en un sistema completamente estabulado y con alimentación basada en dietas de forraje de corte y alimento concentrado; la leche se destina a plantas industrializadoras.
El segundo contribuye con 21.30%, predomina el ganado Holstein y Pardo-suizo en condiciones de semiestabulación, pequeñas extensiones de terreno, nivel medio de tecnología, ordeña mecánica o manual y se dispone, en ocasiones, de sistema de enfriamiento; los niveles de producción son menores al sistema tecnificado.
El tercer sistema participa con 18.30% y se caracteriza por la predominancia de razas cebuinas y sus cruzas, en este sistema el ganado sirve tanto para la producción de carne como de leche (Albarrán et al., 2015). El manejo del hato se da en forma extensiva, confinándose en corrales solo durante la noche, su alimentación se basa en el pastoreo y con un mínimo de complementos en alimentos balanceados y la ordeña es manual.
Finalmente, el de traspatio o familiar participa con 9.80% y se limita a pequeñas extensiones de terreno, cuando se ubica cerca de la vivienda se denomina de traspatio. Las razas varían desde Holstein hasta Suizo-americano y sus cruzas; la alimentación se basa en el pastoreo o suministro de forrajes y esquilmos provenien- tes de los que se producen en la misma granja. Independientemente del sistema de producción del cual provenga la leche, la actividad requerirá siempre de insumos fijos y variables en diferentes grados de uso, según el tipo de sistema de producción de que se trate (Rebollar et al., 2016).
Las diferentes combinaciones en que se utilicen insumos conllevarán a la eficiencia técnica y eficiencia económica; la primera se refiere a un proceso de producción que no utilice más insumos de los necesarios para obtener un nivel dado de producción, en base a la tecnología existente; la segunda cuando una empresa (agropecuaria) emplea recursos en una proporción tal que el costo por unidad de producción es el mínimo posible (Leroy y Meiners, 1990), donde el productor podría elegir entre obtener la máxima producción, la máxima ganancia en dinero o continuar de forma tradicional.
Por lo anterior, el objetivo de este trabajo es determinar el nivel óptimo técnico (not) de una función de producción tipo Cobb-Douglas bivariada seudocuadrática, mediante el uso de dos métodos matemáticos alternativos que maximizan la ganancia en dinero. En las condiciones planteadas, la hipótesis principal supone que la máxima producción de leche se logra con el valor estimado de los dos insumos variables, y que la estimación del modelo con los dos métodos conduce al mismo valor de los insumos.
2.Materiales y métodos
Para este trabajo, los datos de campo se obtuvieron de agosto a septiembre de 2015, proveniente de diez vacas de la raza Pardo-suizo, propiedad de un rancho lechero que se ubica en la comunidad de Telpintla, perteneciente al municipio de Temascaltepec, ubicado en el sur del Estado de México. La altitud promedio es de 1 740 msnm, clima templado subhúmedo, temperatura media anual entre 18 y 22 °C y precipitación de 800 a 1 600 mm (Borboa, 1999). Las vacas estaban en producción, diferentes número de partos, tiempos de lactancia y un peso vivo (PV) de≤ 628 ± 72 kg.
Al momento de la toma de datos, las instalaciones eran del tipo semitec- nificado, con corral de alojamiento y pavimento, bebederos de pileta, comederos de canoa, sala de ordeña para seis vacas y ordeñadora portátil capaz de ordeñar dos vacas en forma simultánea. La ordeña diaria se realizó de forma mecánica, colocándose en cubetas de plástico y pesándose en una báscula de reloj. El precio de venta que se consideró fue 5.00 pesos por litro ($/L).
La dieta de las vacas se basó en asignaciones diarias de concentrado y forraje, durante cinco periodos de 15 días (quincenas). El forraje se ofreció por las mañanas, con asignaciones de 3.90 kg/vaca de maíz (planta completa y 90% de materia seca) y 4.20 kg/vaca de heno de alfalfa. Por la tarde, se asignó 4.00 kg/ vaca de materia seca (MS) de Rye grass verde. Diariamente se registró el volumen producido de leche y las cantidades de forraje y concentrado; al final de cada periodo se contabilizaron los acumulados. A partir del segundo periodo y hasta el quinto, se sustituyó un kilogramo de heno de alfalfa por un kilogramo de concentrado (Cuadro 1). Es importante mencionar que los datos obtenidos en campo no provinieron de un diseño o trabajo experimental, sólo fue información que se generó con base en la alimentación que el mismo productor de leche proporcionó a sus animales.

La información del Cuadro 1 permite apreciar que, de acuerdo a la teoría y bajo el sistema de producción que se menciona, se mantiene, en promedio, una relación 60/40% de forraje-concentrado (Shimada, 2003: 341) en la asignación diaria de alimento.
Al momento de la investigación, el precio de adquisición del concentrado y forraje fue de 4.12 y 3.00 $/kg, respectivamente. La composición del concentrado y su aporte estimado se aprecian en el Cuadro 2.

Los datos de volumen producido de leche y las cantidades de forraje y concentrado utilizadas (Cuadro 1) se modelaron a través de una función de produc- ción tipo Cobb-Douglas bivariada (Felipe y Adams, 2005) de respuesta cuadrática o seudocuadrática por ser un ecuación de regresión no lineal (Castellanos et al., 2006; Cobb y Douglas, 1928: 151; Douglas, 1976; Bellado, 2011). El modelo matemático propuesto fue:

Donde Y representa el volumen de leche registrado en campo; β0, β1 y β2 los coefi- cientes puntuales de los parámetros del modelo; β0 es la tecnología, X1 la cantidad de concentrado consumida por periodo y X2 la cantidad de forraje consumido por periodo. Además, β1 y β2 representan las elasticidades económicas de la función (Nicholson, 2007).
3.Modelo estadístico
Con los datos obtenidos por vaca, referentes a consumo de concentrado, consumo de forraje y volumen de leche durante el periodo de análisis para obtener el mejor ajuste de la función de producción tipo Cobb-Douglas bivariada (Bellado, 2011), se utilizó un modelo de regresión no lineal con error multiplicativo (Castellanos et al., 2006), que describe la relación funcional de (variable dependiente) respecto a (variable independiente) (Gujarati y Porter, 2009: 526; Wooldridge, 2010). El segundo modelo que se utilizó para ajustar los datos fue del tipo Cobb-Douglas estocástico:

Donde Y representa el volumen de leche, β0 la ordenada al origen (tecnología), β1 el coeficiente de regresión del insumo alimento concentrado, β2 el coeficiente de regresión del insumo forraje, X1 la cantidad de alimento concentrado consumido por periodo, X2 la cantidad de forraje consumido por periodo y ui el error aleatorio. Los errores (ui ) se suponen no correlacionados, con media cero y varianza desconocida (Gujarati y Porter, 2009; Wooldridge, 2010).
Para transformar el modelo estadístico Cobb-Douglas (Cobb y Douglas, 1928; Douglas, 1976) a un modelo econométrico, bivariado y seudocuadrático (Gujarati y Porter, 2009: 526) y obtener los coeficientes de regresión, se linealizó el modelo, tomando el logaritmo en ambos lados de la ecuación, quedando como sigue:

Este modelo es lineal en los parámetros, por lo que el modelo de regresión lineal múltiple fue el siguiente:

Lo que supone errores multiplicativos al ser el anterior un modelo econométrico. β0 se obtuvo como el antilogaritmo de β0 o 10β0 (Castellanos et al., 2006).
Con base en Henderson y Quandt (1995) y Frank (2009), se propusieron dos métodos de solución al modelo, que permitieron llegar a los mismos resultados, con el fin de ampliar el conocimiento sobre ello. El primero es el método del mul- tiplicador de Lagrange (Frank, 2009), pues una vez que se ha estimado el modelo Cobb-Douglas, se construye una función matemática restringida, en términos de maximización de esa función, esto es:

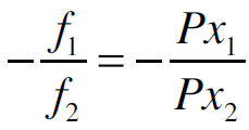
Donde f (X,Y) es la función Cobb-Douglas (Bellado, 2011), esto es, αX β1αX β2; es el multiplicador de Lagrange (L) (Henderson y Quandt, 1995); los precios de los insumos variables y M el precio del producto (precio por litro de leche). El proceso algebraico consistió en derivar parcialmente a L con relación a x1,x2 y γ; después, se consideró la regla de maximización de la función al igualar el cociente de las derivadas parciales al de los precios (Henderson y Quandt, 1995; Frank, 2009), esto significa que las pendientes de volumen obtenido y precio deberán ser iguales.

Donde f1, es la derivada de la función respecto a x1 y f2 la derivada de la función respecto a x2. Posteriormente, se despeja y se obtienen los valores de las x1 y se sustituyen en la función Cobb-Douglas para conocer el valor de Y (volumen obte- nido de leche).
Al segundo procedimiento se le dio el nombre de método simplificado y es más sencillo o menos amplio que el primero (Frank, 2009) y consiste en maximizar a Y = αx1
β1 x2 β2, sujeta a la restricción M = Px1 + Px2. Posteriormente, se utilizó el punto óptimo, conocido como equilibrio del productor (Nicholson, 2007; Frank, 2010), en el que se igualó la tasa marginal de sustitución técnica (TMgST) con la relación de precios de los insumos:

Sujeta a:

Esto es

Pero

Donde PMg1 es el producto marginal del primer insumo y PMg2 el producto marginal del segundo insumo. El sistema se soluciona en términos del valor calculado de las X (insumos variables). Los insumos x1 (alimento concentrado) y x2 (forraje) caracterizan a una isocuanta (Nicholson, 2007; Rebollar et al., 2016).
Los resultados del modelo se obtuvieron mediante el método de mínimos cuadrados a través del procedimiento glm (General Linear Model) utilizando el programa estadístico SAS® 9.2. Las pruebas estadísticas para la validación del modelo fueron el coeficiente de determinación o bondad de ajuste (R2) ajustado, el valor p < 0.05, y la F de Fisher como significancia estadística del modelo estimado, pues la Fc es una prueba conjunta.
4.Resultados y discusión
Los resultados del modelo lineal estimado muestran que existe una relación positiva entre el volumen obtenido de leche y el insumo variable asociado al alimento concentrado; así mismo, una relación negativa con respecto al insumo forraje. Al considerar como criterio de ajuste del modelo R2 ajustado, los insumos alimento concentrado y forraje explicaron 82.4% del volumen de leche que se obtuvo; así mismo, de los dos coeficientes de regresión respecto del promedio del volumen obtenido de leche, sólo el coeficiente asociado al insumo alimento concentrado fue, estadísticamente, significativos (p < 0.05), el del forraje, no (p > 0.27); La F-calculada fue 29.15 (p < 0.001) (El modelo lineal estimado fue el siguiente:

Al aplicar el antilogaritmo a los coeficientes de la función anterior se obtuvo la función no lineal Cobb-Douglas

Dado que β1 + β2 es menor a 1, la función presenta rendimientos decrecientes a escala. El valor 407.30, significa la tecnología dada en el periodo de tiempo considerado en el análisis, asociado al comportamiento productivo de los insumos variables y su efecto en la función de la respuesta productiva, que es el rendimiento en leche.
5.Método de Lagrange
La optimización de la función Cobb-Douglas comenzó con el proceso algebraico, de restar a la función objetivo la restricción, denominada Multiplicador de Lagrange (Henderson y Quandt, 1995; Frank, 2009: 90). Esta función también se le llama función de producción tipo Cobb-Douglas seudocuadrática no lineal:

Sujeta a

La función larngraneana:

La derivada parcial de L (condición de primer orden) respecto a x1, se le llama producto marginal restringido:

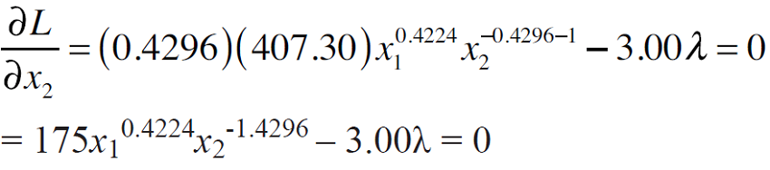
La derivada parcial de L (condición de primer orden) respecto a x2 (f2), también se le llama producto marginal restringido:

Por lo que:


De aquí:

La condición de maximización (Nicholson, 2007; Frank, 2009: 93) consiste en igualar la relación de las primeras derivadas o productos marginales restringidos a la relación de precios de los insumos:

Sustituyendo (3) y (4):

Al sustituir (8) en (7):

Al despejar x1 se obtiene la cantidad óptima

Al sustituir x1, en (8):
x2 = 1.40(0.60) = 0.84
Al sustituir los valores de y en la función Cobb-Douglas se obtiene la cantidad de leche óptima producida (y = 353.80 L), o bien la combinación de los insumos que maximizan la isocuanta.
El Gráfico 1 es la forma clásica de representar a una isocuanta con dos insumos variables, que cumple con características según la teoría de la producción (Henderson y Quandt, 1995; Nicholson, 2007); tiene pendiente negativa, todos los puntos a lo largo de la misma son distintas combinaciones de los dos insumos que dan el mismo nivel de producto, la pendiente de la curva es la tasa marginal de sustitución técnica (TMgST), el punto óptimo se encuentra en donde se cruza con la línea de isocosto (equilibrio del productor).

6.Método simplificado
El segundo procedimiento, método simplificado, consiste en obtener la TMgST (Nicholson, 2007), que bajo la teoría de la producción (Henderson y Quandt, 1995), en especial la que tiene que ver con isocuantas (relación técnica insumo-insumo), se expresa como:

La derivada parcial de Y (condición de primer orden) respecto a x1 (Pmg1) es:

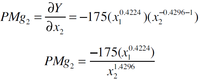
La derivada parcial de (condición de primer orden) respecto a x2 (PMg2) es:

Por tanto:

7.Método de optimización restringida
El objetivo consiste en maximizar Y = f(x1, x2), cuya función objetivo es:

Sujeta a la restricción:

Donde Px1 es el precio del insumo x1 referido al concentrado, Px2 el precio del insumo x2 referido al forraje y M el ingreso disponible, en este caso, el precio por litro de leche (precio del producto). Así mismo, en la isocuanta, representa la tasa marginal de sustitución técnica: TMgST.
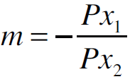
La pendiente de la restricción presupuestaria, en la teoría del consumidor, es línea de presupuesto, en la teoría de la producción, se conoce como línea de isocosto. La pendiente de la restricción, dada por:

Al igualar la pendiente de la isocuanta con la pendiente de la restricción, se genera un punto de equilibrio, llamado equilibrio del productor.
Así, al reemplazar el valor de la TMgST, bajo equilibrio:

Al despejar se obtiene la cantidad óptima del insumo concentrado


Al sustituir (2) en (1):

Al despejar x2 de la expresión de M:

Al sustituir (11) en (10)

Para obtener el valor de la función de producción tipo Cobb-Douglas, se utilizó 4.12 $/kg de concentrado (Px1), 3.00 $/kg de forraje (Px2) y 5.00 $/L de leche (M). Con esos datos, las cantidades óptimas de los insumos fueron:

Al sustituir los valores que se obtuvieron de los insumos variables x1 = 0.60 kg y el de x2 = 0.84 kg en la función de producción tipo Cobb-Douglas seudocuadrática (Castellanos et al., 2006: 18; Frank, 2009: 90):

Finalmente,
Y = 353.80
Este valor (y=353.80) representa la cantidad óptima de leche, dadas las cantidades óptimas de insumos, que proviene de la función de producción tipo Cobb-Douglas bivariada seudocuadrática. Es seudocuadrática porque es no lineal (Castellanos et al., 2006).
Análisis económico al NOT
El nivel óptimo técnico (NOT) es la magnitud más alta que obtiene la variable de respuesta generada por el valor numérico de los dos insumos variables; es decir, donde el producto marginal (PMg), vale cero (Castellanos et al., 2006; Rebollar et al., 2016). Con la información de precios de los insumos y del producto, el costo total (CT), el ingreso total (IT) y la ganancia (G), se puede comprobar que la máxi- ma ganancia se obtuvo con la combinación óptima (37-63 %) encontrada en ambos procedimientos (Castellanos et al., 2005; Rebollar et al., 2016).
Significa que con un volumen de 353.8 litros de leche, precio del alimento concentrado 4.12 $/kg y precio del forraje 3.00 $/kg, la ganancia óptima será de 1,210.38 pesos por vaca (Cuadro 3). Esta combinación también permite observar que el productor estaría perdiendo o estaría dejando de ganar dinero en todas las combinaciones utilizadas en este escenario, la peor combinación será la uno y la mejor la cuatro; esto representa el costo de oportunidad.

Conclusiones
La utilización de la función de producción tipo Cobb-Douglas continúa siendo útil en el análisis de la producción para medir el uso de los factores productivos, desde el punto de vista de las relaciones de la eficiencia técnica y económica. Los dos procedimientos algebraicos, simplemente corroboraron el mismo resultado óptimo para los insumos variables y el rendimiento que se analizaron en la solución del modelo.
Referencias bibliográficas
Albarrán, P. B. , S. Rebollar R. , A. García M., R. Rojo R., F. Avilés N. y C. M. Arriaga J. (2015). “Socioeconomic and productive characterization of dual-purpose farms oriented to milk production in a subtropical region of Mexico”, Tropical Animal Health and Production. 47, pp. 519-523.
Bellado, R. J. F. (2011). “La función de producción Cobb-Douglas y la economía española”, Revista de Economía Crítica. 12, pp. 9-38.
Borboa, R. A. (1999). Monografía de Temascaltepec. Gobierno del Estado de México. 239 p.
Castellanos, P. M., A. Martínez G., C. Beatriz C., M. A. Martínez D. y G. Rendón S. (2006). “Región confidencial para el óptimo económico de una función de producción Cobb-Douglas”. Agrociencia. 40, pp. 117-124.
Cobb, C. W. y P. H. Douglas. (1928). “A Theory of Production”, American Economic Review. 18, pp. 139-165.
Douglas, P. H. (1976). “The Cobb-Douglas production function once again: its history, its testing, and some empirical values”, Journal of Political Economy, 84 (5): 903-916.
Fadul, P. L., Wattiaux, M. A., Espinoza, O. A., Sánchez, V. E., Arriaga, J. C. M. (2013). “Evaluation of Sustainability of Smallholder Dairy Production Systems in the Highlands of Mexico During the Rainy Season”, Agroecology and Sustai- nable Food Systems, 37 (8): 882-901.
Felipe, J. y Adams, F. G. (2005). “The estimation of the Cobb-Douglas Function: a retrospective view”, Eastern Economic Journal, 31 (3): 427-445.
Frank, H. R. (2009). Microeconomía intermedia. Análisis y comportamiento económico. 7.a ed. McGraw-Hill, México.
Gujarati, D. N. y Porter. D. C. (2009). Econometría. 5ta ed. McGraw-Hill, México.
Henderson, J. M. y Quandt, R. E. (1995). Teoría microeconómica. Una aproximación matemática. 11.a ed. Ariel, Barcelona.
Leroy, M. R. y Meiners, R. E. (1990). Microeconomía. 3ra ed. McGraw-Hill, México.
Nicholson, W. (2007). Teoría microeconómica. Principios básicos y ampliaciones. 9.a ed. Cengage Learning, México.
Posadas, D. R. R., Arriaga, J. C. M. y Martínez, CFE (2013). “Contribution of family labour to the profitability and competitiveness of small-scale dairy production systems in central Mexico”. Tropical Animal Health and Production, 46 (1): 235-240.
Rebollar, R. S., N. Callejas J., J. Hernández M., G. Gómez T. y E. Guzmán S. (2016). “isocuanta en producción de leche semiintensiva en una región del Estado de México”. Ciencia Ergo Sum. 23 (2), pp. 171-177.
Salas, R. R. I., A. García M., C. M. Arriaga J., M. Jordán C., S. Rebollar R. y B. Albarrán P. (2015). “Assessment of the sustainability of dual-purpose farms by idea method in the subtropical area of central Mexico”, Tropical Animal Health and Production, 47 (6): 1187-1194.
SAS Institute Inc. (2009). SAS/STAT 9.2 User’s Guide, 2.a ed. Cary, NC: SAS Institute Inc. EUA.
Shimada, M. A. (2003). Nutrición animal. Trillas, México.
SIAP (Servicio de Información Agroalimentaria y Pesquera). (2015). Panorama de la lechería en México. Enero. México.
Wooldridge, J. M. (2010). Introducción a la econometría. Un enfoque moderno. 4.a ed. Cengage Learning, México.
Yamamoto, W., Ap Dewi, I., Ibrahim, M. (2006). “Effects of silvopastoral areas on milk production at dual-porpuse farms at the semi.humid old agricultural frontier in central Nicaragua”, Agricultural Systems, 94: 368-367.