Resumen: El documento tiene por objetivo abordar el estudio de la eficiencia del sector agropecuario mexicano en apec, considerando la presencia de bad outputs, durante el período 1980-2015. Lo anterior es importante debido a que el establecimiento de mecanismos que mejoren el uso eficiente de los recursos para generar un mayor valor agregado, y a la par reduzcan las emisiones de CO2eq en el sector es imprescindible para que el país aspire a mayores niveles de desarrollo. Para medir la eficiencia se hizo uso del Análisis de la Envolvente de Datos, y para conocer la evolución de la productividad se calculó el índice Malmquist-Luenberger. Los resultados muestran que a lo largo del período de estudio el sector agropecuario de México fue más eficiente que el de otros países del apec. Sin embargo, su productividad empeoró debido a la necesidad de mejoras tecnológicas que permitan un desplazamiento de la frontera de posibilidades de producción.
Palabras clave: Sector AgropecuarioSector Agropecuario,MéxicoMéxico,APECAPEC,Eficiencia y Bad OutputsEficiencia y Bad Outputs,C67C67,F14F14,O57O57,Q19Q19.
Abstract: This paper aims to study the efficiency of the Mexican agricultural sector in the context of apec, taking into account the "bad outouts" that occurred during the period 1980-2015. The establishment of mechanisms that improve the efficient use of resources to generate greater added value and at the same time reduce CO2eq emissions in the sector, are essential so that Mexico can aspire to higher levels of development. In order to measure efficiency, Data Envelopment Analysis, was used, and in order to assess the evolution of productivity the Malmquist-Luenberger index was calculated. The results show that during the entire length of the period studied the Mexican agricultural sector was more efficient than order APEC contries. However, its productivity worsened due to the need for technological improvements that allow a displacement of the production possibilities frontier.
Key words: Agricultural Sector, Mexico, APEC, Efficiency and Bad Outputs, C67, F14, O57, Q19.
Artículo original
El Sector Agropecuario Mexicano en APEC: Un análisis a través de la envolvente de datos con presencia de bad outputs
The Mexican Agricultural sector in the context of APEC: A Data Envelopment Analysis with presence of “bad outputs”
Recepción: 19 Septiembre 2017
Aprobación: 15 Enero 2018
El sector agropecuario de México se caracterizó, en el período 1980-2015, por ocupar los primeros lugares en la región de apec de generación de valor agregado, producción bruta, área destinada al sector, personal ocupado, remuneraciones, exportaciones e importaciones. Sin embargo, se localizó en las últimas posiciones de formación bruta de capital, y se ubicó como la sexta economía emisora de CO2eq (Banco Mundial, 2017; FAO, 2017a-g). Esta información estadística denota que el sector agropecuario mexicano es uno de los más activos, económicamente hablando, en la región de APEC. De igual manera, se ve claramente que la inversión es una de las áreas más desprotegidas del sector, y que a pesar de no ser el sector agropecuario que más contamina aún es necesario reducir las emisiones de CO2eq.
El artículo tiene como objetivo, abordar el estudio de la eficiencia del sector agropecuario mexicano en apec, considerando la presencia de bad outputs, durante el período 1980-2015. Para cumplir el objetivo se hizo uso del Análisis Envolvente de Datos (DEA) (Cooper, Seiford & Tone, 2007). Diseñando así un Modelo dea con orientación al output, estructurado con rendimientos variables a escala, y considerando la presencia de bad outputs. Estableciendo como output el valor agregado, como bad output las emisiones de CO2eq, y como inputs la formación bruta de capital y el personal ocupado. De igual manera, para determinar los cambios de la productividad en el tiempo, considerando la presencia de bad outputs en el proceso de producción, se calculó el índice Malmquist-Luenberger (Chung, Färe & Grosskof, 1997)
El estudio se encuentra estructurado en cuatro apartados, en el primero se efectúa el análisis de las características del sector agropecuario mexicano en APEC. Posteriormente se presentan los elementos teóricos del Análisis de la Envolvente de Datos. En el tercer apartado se esbozan los aspectos metodológicos del modelo dea con bad outputs. En el cuarto apartado se muestran los resultados del modelo de eficiencia. Por último, se establecen algunas consideraciones finales, donde se destacan los aspectos fundamentales de la investigación.
En este apartado se analizan las características generales de los sectores agropecuarios de México y de 18 economías de la región de APEC. De esta forma, se presentan en primera instancia los rasgos del sector agropecuario mexicano, y, posteriormente, el diagnóstico del desempeño del sector agropecuario de México en la región del apec, a partir, del estudio de los principales indicadores económicos.
La generación de Valor Agregado (VA) en el sector agropecuario mexicano, en el período 1980-2015, presentó un decremento del 17%. Específicamente, se observó que de 1980 a 1995 el VA generado por el sector tuvo un decremento del 51%, ostentando el nivel más bajo de valor agregado en 1995 con 22.4 mil millones de dólares. Asimismo, se apreció que de 1995 a 2015 el va se incrementó en un 69%, logrando en el 2015 una producción de valor agregado de 37.9 mil millones de dólares. La Formación Bruta de Capital (FBK) de 1980 a 2015 mostró un crecimiento del 17%; particularmente de 1980 a 1995 la fbk decreció en un 52%, mientras que de 1995 a 2015 creció 145%, siendo 2015 el año con mayor formación bruta de capital (1.5 mil millones de dólares) (Banco Mundial, 2017; FAO, 2017e).
En términos comerciales el sector agropecuario de México, durante el período 1980-2015, ostentó un crecimiento del 258% de sus Exportaciones (X); incremento que fue mayor de 1995 a 2015 (136%) que de 1980 a 1995 (52%). Por otro lado, las Importaciones (M) tuvieron un decrecimiento del 28% durante el período analizado. Sin embargo, al examinar más de cerca la información estadística se observó que de 1980 a 1995, las M disminuyeron en un 35%, mientras que de 1995 a 2015, crecieron en un 11%. De igual forma, al contrastar los flujos comerciales se pudo advertir que el sector agropecuario contó con una balanza comercial favorable, con excepción de 1980 a 1990 y de 2000 a 2005 (Banco Mundial, 2017; FAO, 2017g).
De 1980 a 2015 el Personal Ocupado (PO) en el sector agropecuario mexicano exhibió un decrecimiento del 23%, decremento que fue del 10% de 1980 a 1995, y del 15% de 1995 a 2015. Las Remuneraciones (REM) en el sector manifestaron una disminución del 54% durante el período de estudio; descenso que de 1980 a 1995 fue del 64%. Comportamiento completamente opuesto al ostentado de 1995 a 2015, ya que en este período las rem crecieron un 29%. Sin embargo, los mayores montos de remuneraciones se dieron en 1980 con 7.6 mil millones de dólares. Estos datos denotan que la apertura comercial del sector agropecuario de México fue acompañada con un incremento en el valor agregado y la formación bruta de capital, así como con reducciones en el personal ocupado y sus remuneraciones (Banco Mundial, 2017; FAO, 2017c).
El análisis del desempeño del sector agropecuario de México frente a sus similares de la región apec en el período 1980-2015 permitió apreciar los siguientes comportamientos (Banco Mundial, 2017; FAO, 2017a-g): el sector agropecuario mexicano se ubicó en el lugar número siete en términos de exportaciones, colocándose antes Estados Unidos, Canadá, Australia, China, Tailandia y Nueva Zelanda; ocupó la sexta posición de importaciones, ubicándose primero Estados Unidos, Japón, China, Canadá y Rusia; se localizó en el escaño seis de generación de valor agregado, estando China, Estados Unidos, Rusia, Japón e Indonesia localizados antes que él; se colocó en el sexto sitio de personal ocupado, posicionándose China, Indonesia, Vietnam, Filipinas y Tailandia en los primeros lugares; se situó en el cuarto lugar en remuneraciones del personal ocupado, solo detrás de China, Indonesia y Tailandia; fue la décimo tercera economía en materia de formación bruta de capital, ocupando los primeros lugares China, Estados Unidos, Australia, Indonesia, Japón, Rusia, Canadá, Malasia, Tailandia, Corea del Sur, Filipinas y Vietnam; se ubicó en la sexta posición de producción bruta, detrás de Brunei, Perú, Indonesia, Vietnam y Tailandia; fue la quinta economía en área destinada a la producción agropecuaria, después de China, Australia, Estados Unidos y Rusia; y, finalmente, se desempeñó luego de China, Estados Unidos, Indonesia, Australia y Rusia como el sector con altos niveles de emisión de CO2eq, información estadística que posiciona al sector agropecuario de México como uno de los más dinámicos en la región del APEC. Asimismo, los datos dejan ver claramente que es la inversión una de las áreas más desprotegidas del sector, y que a pesar de no ser el que más contamina en la región es necesario reducir aún más las emisiones de CO2eq.
Los datos presentados en la matriz de intercambio comercial del sector agropecuario mexicano con apec muestran que México exporta e importa principalmente de Estados Unidos. Dejando de lado a Estados Unidos, en términos de exportaciones destacan Japón, Canadá y China. Mientras que en importaciones resaltan Canadá, Chile, Nueva Zelanda y China. Datos que revelan el fuerte nexo comercial que tiene México con Estados Unidos, así como posibles mercados para los bienes del sector agropecuario nacional (wits, 2017a-b).
Dado lo descrito anteriormente es que la presente investigación se enfoca en analizar qué tan eficientemente se utilizaron los recursos en el sector agropecuario mexicano, en el marco de apec, para generar valor agregado y a la par reducir las emisiones de CO2eq. Ya que a partir del uso eficiente de los recursos el sector agropecuario de México podría tener una inserción mucho más competitiva en el comercio con apec y el mundo; sin perder de vista los otros factores determinantes de la misma (precios, coyunturas económicas, tipo de cambio y desarrollos tecnológicos) (Avendaño & Acosta, 2008; Málaga & Williams, 2010).
A continuación, se presentan los elementos teóricos del Análisis de la Envolvente de Datos (dea), el tratamiento de los bad outputs en los modelos dea, y el análisis dinámico de la eficiencia mediante el índice Malmquist-Luenberger.
La conceptualización de eficiencia de Farrell (1957) ha podido trasladarse a su aplicación empírica a través de dos metodologías: la estimación de fronteras estocásticas y las mediciones a través del Análisis de la Envolvente de Datos. La primera implica el uso de la econometría, y la segunda recurre a algoritmos de programación lineal y al benchmarking. La programación lineal es una técnica pionera en el análisis de las decisiones internas de una empresa sobre la asignación de recursos. En tanto que, el benchmarking se define como la medida de desempeño en comparación con las mejores compañías de su clase (Bemowski, 1991; Serra, 2004; Cooper et al., 2007; Navarro-Chávez, Ayvar-Campos & Giménez-García, 2016)
El dea es una técnica utilizada para la medición de la eficiencia comparativa de unidades homogéneas. Partiendo de los inputs y outputs este método proporciona un ordenamiento de los agentes o dmus (Unidades de Toma de Decisión), otorgándoles una puntuación de eficiencia relativa. Una dmu es eficiente, es decir, pertenece a la frontera de producción, cuando produce más de algún output sin generar menos del resto y sin consumir más inputs, o bien, cuando utilizando menos de algún input, y no más del resto, genera el mismo output. De igual forma, los modelos dea aprovechan el know-how de las dmus, y una vez determinado quien es eficiente y quien no, busca fijar objetivos de mejora para las segundas a partir de los logros de las primeras, es decir, realizan un benchmarking de las unidades evaluadas empleando la información disponible en las propias dmus (Navarro & Torres, 2003; Cooper et al., 2007; Navarro-Chávez et al., 2016).
Existen cuatro principales modelos dea: el de rendimientos constantes a escala, el de rendimientos variables a escala, el aditivo y el multiplicativo. Los modelos DEA pueden tener dos orientaciones, hacia la optimización en la combinación de inputs (modelo input-orientado), o hacia la optimización en la producción de outputs (modelo output-orientado) (Charnes, Cooper & Rohodes, 1978; Banker, Charnes & Cooper, 1984). Asimismo, el análisis slacks de las variables en los modelos dea, proporciona la dirección en la cual habrán de mejorarse los niveles de eficiencia de las dmus. Es así, que un valor output slack representa el nivel adicional de outputs necesarios para convertir una dmu ineficiente en una dmu eficiente. Un valor input slack representa las reducciones adicionales necesarias de los correspondientes inputs para convertir una dmu en eficiente (Coelli, Rahman & Thirtle, 2002; Cooper et al., 2007; Navarro-Chávez et al., 2016).
Pittman (1983) es considerado el pionero en el tratamiento de los bad outputs, ya que los introdujo en el cálculo de índices de productividad, adaptando la metodología de Caves, Christensen y Diewert (1982) , y ,determinando los precios sombra de estos outputs no deseados. Posteriormente, se presenta el trabajo de Färe et al. (1989) quienes adaptan el concepto de bad output a la eficiencia técnica de Farrell (1957), encontrando resultados muy similares a los de Pittman (1983) (Díaz, 2009; Hernández, Picazo & Reig, 2000; Sepúlveda, 2014). De esta forma, Hernández, Picazo & Reig (1997 y 1998) destacan que se han realizado dos tipos de aproximaciones para integrar los bad outputs en las mediciones de eficiencia y productividad, como son: el cálculo de índices de productividad, basados en la determinación de los precios sombra; y las medidas de eficiencia hiperbólica, sustentadas en el dea.
Dyckhoff y Allen (2001) establecen que en la literatura sobre dea se asume que los outputs son “buenos”, ya que las DMUs miden la eficiencia considerando exclusivamente los inputs y outputs que intervienen en el proceso de producción, maximizando los outputs para una cantidad dada de inputs o minimizando los inputs para una cantidad dada de output. Dadas algunas extensiones de los modelos clásicos de dea, se encuentran aplicaciones orientadas a maximizar el good output, manteniendo o minimizando el bad output (Cooper et al., 2007; Liu et al., 2010; Sepúlveda, 2014). Al respecto Hernández et al. (1997, 1998 y 2000) argumentan que la dificultad radica en incrementar los good outputs reduciendo simultáneamente los bad outputs, bajo las restricciones impuestas por el vector de inputs y la propia tecnología. De acuerdo con Cooper et al. (2007) y Liu et al. (2010) el tratamiento de los bad outputs con dea es viable con los modelos radiales (ccr y bcc); los modelos basados en slacks (sbm), los modelos Russell, y los modelos basados en funciones de distancia direccional (ddf).
El índice Malmquist (1953) mide los cambios de productividad a través de dos periodos, siendo Färe et al. (1989) quienes lo adaptaron a un contexto no paramétrico a través del dea. La aplicación del índice Malmquist requiere de un ajuste para determinar la producción de bienes no deseables. Esta sofisticación se logra a través de la combinación del índice de Malmquist orientado al output más una función de distancia direccional que da como resultado el denominado índice de productividad Malmquist-Luenberger (ML). La orientación al output permite medir las variaciones en la productividad de resultados deseables y no deseables. El índice ML indica mejoras de productividad si sus valores son mayores que uno, y una disminución de la productividad si los valores son inferiores a la unidad, así mismo, se puede descomponer en dos partes: cambio en la eficacia y el cambio de tecnología (Chung et al., 1997; Navarro-Chávez et al., 2016)
En este apartado se esbozan los aspectos metodológicos del modelo DEA con bad outputs que se desarrolló con la finalidad de determinar el uso eficiente de los recursos del sector agropecuario mexicano en apec, durante el período 1980-2015. De igual forma, se exponen los elementos metodológicos del cálculo del índice Malmquist-Luenberger, para caracterizar la evolución de la productividad en el período analizado.
El modelo DEA en el cual se sustentó la presente investigación, considerando la presencia de bad outputs, fue el de Rendimientos Variables a Escala (VRS), es decir, cada unidad analizada es comparada con aquéllas de su tamaño y no con todas las unidades presentes en el problema (Cooper et al., 2007). El estudio, además, se orientó al output debido a que la finalidad última es la maximización del good output y, a la par, la minimización del bad output (Liu et al., 2010). La expresión matemática del modelo fue la siguiente (Seiford & Zhu, 2002):
[1]donde se supone que j=(1…N) son las nDMUs, cada una de las cuales puede utilizar iinputs (i=1,... . I,) para producir d good outputs (d=1,... .,D) y z bad outputs (z). Asignándole al vector xij la cantidad de input i utilizado por la DMUj, al vector ydj el número de good output d producido por la DMUj, y al vector dzj el monto de bad output z producido por la DMU j. Siendo ε una constante no-arquimediana, s la slack de las variables, y λj el vector de intensidad. La restricción se incorpora para asumir que la tecnología exhibe VRS. El escalar ф representa el máximo incremento/decremento radial para el good y bad output producidos, respectivamente, por la unidad evaluada, variando su rango entre 0 y 1; de forma que tomará valor unitario cuando la DMU sea eficiente y valores menores a 1 cuando sea ineficiente (Sueyoshi & Goto, 2010; Wang, Yu & Zhang, 2013).
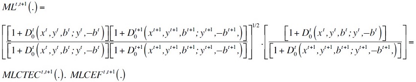
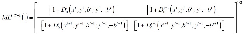
La investigación también buscó determinar la evolución de la productividad, de tal forma que se calculó el índice Malmquist-Luenberger, el cual tiene sus orígenes en el índice Malmquist. Los estudios de eficiencia dinámicos emplean a menudo el índice de Malmquist (Caves et al., 1982). Este índice permite explicar el cambio en la productividad total de los factores como producto del cambio en eficiencia o catching-up y del cambio tecnológico. Chung et al. (1997) modificaron el índice de Malmquist para aplicarlo al caso de funciones direccionales de distancia. Éstas funciones han sido ampliamente utilizadas en los estudios de medida de la eficiencia que incorporan el impacto ambiental de las unidades analizadas a partir de la consideración de los bad outputs del proceso productivo (Färe & Grosskopf, 2004; Sueyoshi & Goto, 2010; Watanabe & Tanaka, 2007). La expresión matemática del nuevo índice denominado Malmquist-Luenberger (ML) para los años t y t+1 es la siguiente (Chung et al., 1997):
[2]donde x son los inputs, y los outputs deseables, b los outputs no deseables,
=
es el vector de dirección, y D0t es la función de distancia direccional en el output en el momento t.
Tras algunas transformaciones la expresión anterior se puede reescribir de la siguiente manera:
[3]Como se puede observar la expresión descompone el cambio productivo ocurrido entre los períodos t y t+1 (MLt,t+1 ), en el resultado del desplazamiento de la frontera tecnológica o cambio técnico (mlctect,t+1 ) y el cambio en la eficiencia técnica (mlceft,t+1 ). El índice MLt,t+1 tomará un valor superior (inferior) a la unidad cuando se haya producido un incremento (reducción) de la productividad entre t y t+1. En el caso de que éste sea igual a la unidad debe interpretarse que no ha existido cambio en la productividad (Reig & Picazo 2003).
Las dmus del presente modelo dea fueron los sectores agropecuarios de 19 de las 21 economías del apec. Cabe señalar que en el estudio no se consideró el caso de Taiwán y Hong Kong, debido a la falta de información respecto de las variables a analizar. El output del modelo fue el valor agregado generado y el bad output las emisiones de CO2eq, la razón de haberlos retomados es por la representatividad teórica que tienen para explicar el desempeño del sector agropecuario. La selección de inputs se fundamentó en las bases teóricas que explican el comportamiento del sector (Becerril-Torres, Rodríguez & Ramírez, 2011; Celso & Cortés, 2010; Cruz & Polanco, 2014; da Silva, Silva & Gonçalves, 2011; Darku, Malla & Tran, 2013; Dios-Palomares et al., 2015; Escalante, Galindo & Catalán, 2005; Ludena, 2010; Pedraza, 2012; Pokrivčák, Záhorský & Svetlanská, 2015; Shuschny, 2007; Yeboah et al., 2011; Yu et al., 2011). Dada la disponibilidad de información estadística la cantidad de indicadores se redujo, y se determinó que los inputs del modelo serían la formación bruta de capital y el personal ocupado (Banco Mundial, 2017; FAO, 2017a, b, c, e).
El período de análisis de la presente investigación es de 1980 a 2015, ya que este período recoge los principales cambios económicos vividos en la región de APEC con la apertura económica y el abandono de los modelos nacionalista. Por otro lado, se decidió efectuar el estudio por quinquenios, debido a que el análisis con lapsos de tiempo amplios refleja de mejor forma la evolución de la productividad.
En el presente apartado se efectúa el análisis de los resultados de eficiencia del sector agropecuario mexicano en apec, durante el período 1980-2015. De igual manera, se presentan los resultados del Índice Malmquist-Luenberger.
Los sectores agropecuarios considerados eficientes, durante el período 1980-2015, en la utilización de sus recursos para generar valor agregado y a la par disminuir las emisiones de CO2eq, fueron México, Brunei, China, Estados Unidos, Indonesia, y Tailandia (ver Cuadro 1). Ello se debe a que durante el período de estudio los sectores agropecuarios de estos países tuvieron un crecimiento sostenido en sus inputs (formación bruta de capital y personal ocupado) que generó un desarrollo aún mayor, reflejado en su valor agregado. Incremento que permitió que en términos comparativos las emisiones de CO2eq fueran menores a las de otros sectores agropecuarios del apec.

En el Cuadro 1 se puede observar que Malasia, Singapur, Australia, Nueva Zelanda, y Vietnam son los países cuyos sectores agropecuarios fueron los más ineficientes, ello debido a los volúmenes de CO2eq que emiten y a la generación de valor agregado (Banco Mundial, 2017; FAO, 2017a, b, c, e). Estas economías consideradas como dinámicas en términos de su sector agropecuario en la región del apec deberán utilizar de mejor manera sus recursos (formación bruta de capital y personal ocupado) para acrecentar su generación de valor agregado y a la par reducir la emisión de CO2eq.
Los países cuyos sectores agropecuarios fueron los más eficientes en la generación de valor agregado, y a la par en la reducción de emisiones de CO2eq (México, Brunei, China, Estados Unidos, Indonesia, y Tailandia) presentaron, durante el período 1980-2015, comportamientos diferenciados en su productividad. El índice Malmquist-Luenberger del sector agropecuario mexicano empeoró, debido a que no se presentó un cambio tecnológico que provocara un desplazamiento de la Frontera de Posibilidades de Producción (fpp). A pesar de las mejoras continuas en la utilización eficiente de los recursos. Es decir, el sector agropecuario de México careció de inversiones productivas que permitieran un incremento significativo de su productividad en el período 1980-2015 (ver Cuadro 2).
Este comportamiento se replicó en el caso de los sectores agropecuarios de China, Indonesia y Tailandia. Dejando ver claramente lo intensivo que es en mano de obra el sector agropecuario de estos países, así como la carencia de inversiones que permitan la tecnificación de los mismos. Por otro lado, Brunei fue el único país cuyo sector, en el período de estudio, no presentó cambio alguno en su productividad. Finalmente, el sector agropecuario de Estados Unidos mostró mejoras en su productividad, debido tanto al uso eficiente de los recursos como al cambio tecnológico (ver Cuadro 2).

El sector agropecuario de México se caracterizó durante el período 1980-2015 por ser de los más dinámicos en términos de los principales indicadores económicos. Teniendo como principales socios comerciales Estados Unidos, Japón, Canadá y China. La información estadística analizada muestra también que el sector agropecuario nacional recibe poca inversión, emite contaminantes y posee una alta especialización comercial (Banco Mundial, 2017; fao, 2017a-g). Es dada la anterior descripción que la presente investigación buscó analizar qué tan eficientemente se utilizaron los recursos en el sector agropecuario mexicano, en el marco de apec, para generar valor agregado y a la par reducir las emisiones de CO2eq, durante el período 1980-2015. Ya que a partir del benchmarking se podrían identificar áreas de mejora que conlleven a un incremento sustancial del valor agregado, y a la reducción de contaminantes. Así como a una inserción mucho más competitiva en el apec y el mundo; sin perder de vista los otros factores que la determinan (Avendaño & Acosta, 2008; Málaga & Williams, 2010).
Para establecer los niveles de eficiencia del sector agropecuario mexicano en el APEC se hizo uso del Análisis Envolvente de Datos, y para conocer la evolución de la productividad en el período 1980-2015 se calculó el índice Malmquist-Luenberger (Cooper et al., 2007; Chung et al., 1997). Se elaboró así un modelo dea que, tomando como referencia a 19 países del apec, se orientó al output considerando la presencia de bad outputs, y se estructuró bajo vrs. Estableciendo como output el valor agregado, como bad output las emisiones de CO2eq, y como inputs la formación bruta de capital y el personal ocupado.
Los resultados del modelo de eficiencia muestran que México, Brunei, China, Estados Unidos, Indonesia, y Tailandia contaron con los sectores agropecuarios más eficientes. De igual manera, manifiestan que estos sectores ostentaron comportamientos muy diferenciados en términos de la evolución de su productividad. Específicamente, en el caso del sector agropecuario de México se pudo apreciar que durante todo el período de estudio, su productividad empeoró. La razón de este comportamiento fue que a pesar de que existió un desempeño positivo en materia del uso eficiente de los recursos, no existió un desplazamiento de su fpp, como sucedió en el caso de Estados Unidos.
Los resultados de eficiencia del sector agropecuario mexicano evidencian la necesidad de mejoras tecnológicas del sector (derivadas de mayores montos de inversión), que permitan la generación de una mayor producción con valor agregado y bajos volúmenes de emisión de contaminantes, y a su vez una inserción más competitiva en apec. Necesidad que implica, como lo muestran las investigaciones de Fritscher (2002) , Escalante et al. (2005), Málaga y Williams (2010) , Ayala et al. (2011), Becerril-Torres et al. (2011), Moreno, Aguilar y Luévano (2011), Pedraza (2012), Escalante Catalán y Basurto (2013), Steffen, (2013), y Cruz y Polanco (2014), la consolidación a nivel nacional de políticas que fomenten: los flujos de inversión (financiamiento), el desarrollo de la producción de los minifundios, la creación de cadenas productivas incluyentes, la consolidación de la soberanía alimentaria, el fortalecimiento del mercado interno, y la diversificación comercial.

