Resumen:
Tradicionalmente, la empresa se ha enfocado en desarrollar estrategias para la creación de valor, mientras que los mecanismos de captura de valor (mejor conocidos como esquemas de fijación de precios) han estado un tanto rezagados con respecto a las primeras. En este trabajo, insistimos que las estrategias “inteligentes” de fijación de precios no son precisamente un juego de suma cero. De hecho, existen muchos ejemplos que muestran que es posible formular políticas de precios que benefician tanto a proveedores como consumidores. Como se sabe, la política de discriminación de precios tiene el propósito de servir a varios segmentos de consumidores, entregando el “mismo” bien a diferentes precios dependiendo del tipo de comprador. En el presente trabajo, revisamos una de las variantes de la discriminación de precios, denominada discriminación de Segundo Grado. En particular, nos enfocamos en el estudio de algoritmos simples que permiten entender y diseñar mecanismos óptimos. Los supuestos bajo los que se construyen los algoritmos mencionados son estrictos; sin embargo, creemos que es una buena aproximación para entender la naturaleza y conducta, tanto del oferente como del demandante.
Clasificación: JEL, D01, D11, L11
Palabras clave: Discriminación de preciosDiscriminación de precios,excedente del consumidorexcedente del consumidor,precio de reservaprecio de reserva,Tarifa dobleTarifa doble,Precios en bloquePrecios en bloque,estrategia de fijación de preciosestrategia de fijación de precios.
Abstract.:
Traditionally, the companies have focused on the strategy development for the creation of value; while the value capture mechanisms, better known as pricing schemes, have been lagging behind these. In this paper, we insist that “smart” pricing strategies are not exactly a zero-sum game. Plenty of examples show that it is possible to formulate price policies, which benefit suppliers as much as consumers. As it is known, the policy of price discrimination has the purpose of serving several segments of consumers, delivering the same or almost the same good but at a different price, depending on the type of consumer or segment addressed. In this paper, we review one of the price discrimination variations, called second-degree discrimination. In particular, we focus on the study of simple algorithms, but the ones which allow understand and design optimal mechanisms to set prices, which benefit the two market agents. The assumptions under which algorithms mentioned are built are strict, but we believe that it is an excellent approximation to understand the behavior and nature of both the bidder and the claimant before and during economic transactions.
JEL Classification:DOI, DII, EI3, LII
Key words: Pricing, price discrimination, consumer surplus, reservation price, block pricing, two part tariff, pricing strategy.
Artículos
Algoritmos básicos de la dicriminación de precios de segundo grado
Basic algorithms for second-degree pricing discrimination
Recepción: 30 Abril 2018
Aprobación: 01 Agosto 2018
Como se sabe, los consumidores tienen diferente disposición a pagar. De manera que la empresa tiene múltiples formas de extraer valor a los compradores que están dispuestos a pagar precios más altos. El costo para la empresa es la caída en la demanda de aquéllos que no están dispuestos a realizar este pago. En consecuencia, siempre que haya ofertas que no encuentran sus respectivas demandas, las transacciones siempre producirán pérdidas de peso muerto.
La definición ortodoxa del concepto “discriminación de precios” (DP) se refiere a una estrategia de captura de valor diferenciada que consiste en aplicar precios diferentes de un “mismo” bien a consumidores diferentes. Dicha estrategia requiere las dos siguientes condiciones generales:
En este trabajo se refuerza el argumento de que la discriminación de precios, como los algoritmos que se revisan aquí, son mecanismos eficientes de captura de valor. Es importante recalcar que estos esquemas se pueden implementar en cualquiera de los ambientes competitivos y no sólo en las estructuras donde las empresas tienen un claro poder de mercado (Hayes, 1987).
La práctica de la “discriminación de precios” (DP) es muy amplia y tiene muchos matices. Por ejemplo, la empresa Monsanto vende las semillas mejoradas a diferentes precios según la región. Otro caso, la educación universitaria ofrece diferentes tipos de becas de acuerdo a las condiciones económicas de los estudiantes.
En este artículo se estudian algunas variantes de la llamada “discriminación de precios de segundo grado” (DP2) que en su versión más elemental se refiere a la reducción del precio en función del volumen solicitado. A medida que el consumidor adquiere mayor volumen puede pagar menores precios promedio. Además, se prueba que la DP que segmenta el mercado mediante la tarifa doble y la de los precios en bloque benefician a todas las partes (Ikeda and Toshimitsu, 2010).
La DP2 es útil en aquellas situaciones donde la firma no posee información anticipada acerca de las preferencias del consumidor tanto individual como de grupo. Lo cual, sí sucede cuando se implementa una estrategia de segmentación, también llamada “discriminación de tercer grado.
La firma que aplica DP2 sabe que las personas valoran de forma muy diferente los bienes. Por este motivo, algunas son menos sensibles al precio. De manera que tiene sentido cargar precios más altos a los que asignan una alta valoración del bien a diferencia a los que establecen un menor valor.
Como la firma no puede determinar a priori quién es quién, la empresa ofrece el mismo menú de esquemas de precios a todos sus potenciales compradores. Por medio del proceso “self-select”, los consumidores escogen el plan que más les convenga. Por lo tanto, los que compran poco, pagarán un precio promedio más alto a diferencia de los que compran una cantidad mayor.
En la presente investigación se establece la hipótesis de que es posible construir algoritmos eficientes, tanto para determinar los precios óptimos de los bloques, como establecer los dos componentes que conforman la tarifa doble (Armstrong and Vickers, 2010).
Este modelo se refiere a la estrategia de fijar precios en función del tamaño del bloque. Éste puede estar definido como la agregación en alguna unidad de medida, por ejemplo: consumo de energía en Kilowatts, asistencia a un club en días a la semana, número de licencias de un software etc.
Existe una gran variedad de productos (ropa, alimentos, artículos para el aseo etc.), donde las personas pueden comprar muchas unidades de un mismo producto y que además son susceptibles de acumularse. Esta posibilidad se aprecia en los clubes de precios como la empresa “Costco”.
Hay muchos ejemplos: en el caso de la ropa, la gente valora mucho un primer traje que necesita para trabajar. Evidentemente las siguientes piezas ya no serán tan valoradas como la primera, de esta manera estarán menos dispuestos a pagar lo mismo por las siguientes piezas. Lo que sí está claro es que la empresa no necesariamente maximiza beneficios si pone un sólo precio para todas las unidades.
Un hecho fundamental: la firma no puede capturar todo el valor potencial si no establece una estrategia de precios más sofisticada, por ejemplo, de acuerdo a la valoración marginal de los consumidores. Si la demanda tiene pendiente negativa implicará que su valoración marginal también decrece conforme aumenta la cantidad demandada. Por lo tanto, la firma debe cargar precios de acuerdo al comportamiento de dicha valoración. Claro, si su propósito es capturar parte o todo el “excedente del consumidor”.
En la vida real se observa de forma frecuente el llamado “precio por bloques” desde los pequeños negocios, hasta grandes empresas. Es común observar lo siguiente: un precio por las primeras cinco unidades, un precio menor por las siguientes 10 unidades, etc. Esta estrategia se observa generalmente más en casos donde las demandas son homogéneas y menos en casos donde son heterogéneas.
Esta estrategia de precios se puede ver estimulada si los costos marginales son decrecientes, como sucede cuando hay economías de escala u otro tipo de economías, como las de aprendizaje. Sin embargo, en el presente análisis y por comodidad analítica se suponen “costos marginales constantes”.
Los especialistas enuncian los siguientes supuestos generales de este esquema de fijación de precios:
Este esquema ha recibido un impulso importante con el desarrollo de las tecnologías de la información. Se ha mejorado la captura y la explotación de las bases de datos que permiten diseñar perfiles de los consumidores actuales y potenciales. La personalización es ahora posible en una variedad de transacciones: las empresas con mayor desarrollo en internet fijan precios en función del historial de compra de sus clientes, de los datos demográficos, del lugar de residencia, de su nivel de ingresos etc.
Como se mencionó, muchos consumidores compran más de un bien por unidad de tiempo. Por ejemplo: viajeros que vuelan frecuentemente en una misma línea aérea, una persona que aborda el metro varias veces en el día, las personas que asisten al cine dos veces por semana etc. A todos ellos le convendrá un programa de viajeros frecuentes, un pase anual, un esquema de pagos por mes, etc. En muchos casos, y pensando en la función de la utilidad marginal, se sabe que la disposición a pagar se reduce en función del número de unidades compradas.1 Así, la firma puede ocupar esta información para determinar su política de precios.
Además del comportamiento caprichoso del consumidor, La DP2 tiene una justificación económica adicional, como son las economías de escala. Es decir, si una empresa coloca una rebaja en el precio de un bien puede deberse a que es más rentable hacerlo. Por ejemplo, una pizza familiar es mejor que dos medianas.
En este apartado, se procede de lo simple a lo general. Los supuestos de costos constantes y demanda lineal se mantendrán en el resto del presente trabajo. Estos supuestos son fuertes, sin embargo, desde el punto de vista metodológico facilitan el desarrollo algebraico de las propuestas y permiten capturar de mejor manera la naturaleza de las soluciones. Es importante mencionar que el enfoque que aquí usamos es el de satisfacer la demanda residual que necesariamente condiciona precios en bloque declinante (Houston, 1982).
Si se fija el primer bloque con un punto arbitrario de la función de demanda: (p1, q1) que define el primer bloque. De forma que se tiene un excedente del productor de:
A partir de este primer bloque, proveniente de un proceso de optimización o no, se diseña un nuevo bloque bajando (optimizando) el precio en una determinada proporción para capturar la demanda residual que no es atendida en el primer bloque.
La demanda residual tiene ahora un precio de reserva “P1” por lo tanto la demanda restante es:
Los ingresos de este segundo bloque son:
Debido a que el ingreso marginal viene dado por: Img=p_1-2q al aplicar la receta ortodoxa ingreso marginal = costo marginal =c , se obtiene el nivel de equilibrio para el nuevo bloque:
Después de fijar el segundo bloque con p2 y q2, se calcula la siguiente demanda residual2 y se procede de la misma manera hasta agotar el inventario. Es un caso típico de “discriminación de segundo y tercer grado” que se observa en los mercados donde hay descuentos por volumen y también se puede segmentar.
Ahora se determinan en forma simultánea y óptima los valores: p1, q1, p2, q2. Los supuestos generales siguen siendo los mismos: una función de demanda lineal y estructura de costos constantes. Se procederá en tres pasos.
Supuestos:
a) Demanda lineal: P=a-bq, donde “a” es el precio de reserva.
b) Valor generado = k=a-c que es la diferencia entre el precio de reserva y el costo.
Paso 1: Condicionar la oferta del segundo bloque a la del primero, lo cual es lógico que suceda. Por lo tanto, q_2=f(q_1) y por la regla del punto medio se tiene:
Como se observa, aquí todavía no se fija un bloque, de forma que (p1, q1) y (p2, q2) son dos puntos de la misma función por determinar.
Paso 2: Expresar el excedente del productor (EP) en función de q1, es decir; EP= f (q1)
Sustituyendo las funciones de demanda:
Entonces:
(6)Ahora sustituyendo en esta última ecuación el resultado del paso 1
Paso 3: Ahora bien, tomando las condiciones de primer orden, se tiene entonces:
Por lo tanto, se tiene lo siguiente:
De esta manera:
, si sustituimos este valor en la ecuación del paso 1:
Se tiene:
Ahora encontrando los precios respectivos:
Así, los beneficios netos son:
Con este modelo se atiende a 2 mercados distintos.
Es una solución más cercana de la discriminación de tercer grado porque se establece una segmentación a priori. Algunos especialistas también le llaman solución de demanda residual.
Este modelo se aplica en aquellos mercados donde se atiende a múltiples segmentos a la vez. Por ejemplo, los planes tarifarios de telefonía celular.
¿Cómo se puede fijar el precio de un segundo, de un tercer bloque, o de n bloques, partiendo de la solución óptima del primer bloque? ¿Cómo saber si las utilidades aumentarán o disminuirán?
La respuesta es como sigue: se fija de manera óptima el precio y la cantidad del primer bloque. En función de lo anterior, se debe encontrar el precio y la cantidad del “n-ésimo” bloque que maximizan las utilidades. Bajo los supuestos considerados en las secciones anteriores sobre la demanda y los costos, el equilibrio viene dado por:
Después de la solución para el primer bloque, la demanda restante se define:
p2=p1- bq,donde p1 es como antes, el nuevo precio de reserva. Por lo tanto, la solución óptima para el segundo bloque se deduce de:
Ingreso total:
Ingreso Marginal:
Condición de equilibrio:
que implica que: , que define
De este modo se tiene:
los cuales, coinciden con la regla del punto medio. En seguida, se replica el procedimiento para el tercer bloque. De tal manera que: y ahora p2 es el nuevo precio de reserva.
Ingreso total:
Ingreso marginal:
Por la condición de equilibrio: y
la solución de equilibrio para un tercer bloque es:
En un examen más cuidadoso, se puede deducir que una forma alternativa de definir los equilibrios de los bloques es:
Primer bloque:
Segundo bloque:
Tercer bloque:
Una vez identificado el proceso y usando algunas propiedades de las series numéricas se define el siguiente enunciado3:
Si la demanda es: ,donde qn-1 , es derivada del proceso de maximización del siguiente.
Cuya solución general es:
Una de las futuras aplicaciones de este modesto resultado es el diseño del llamado “versioning”, que establece un bloque por cada versión. Una condición importante es que los costos no se alteren significativamente.4
Como se comentó en la introducción, la tarifa doble se refiere al modelo de fijación de precios que cosiste en cobrar una tarifa para adquirir el “derecho” a usar y un cargo adicional por la cantidad a consumir. Esta estrategia se aplica frecuentemente en las empresas con formato de “club”, tales como los clubes de precios, los centros deportivos, las escuelas etc.5
Aquí simulamos el caso de un club deportivo que inicialmente tiene una demanda homogénea (como la que aparece en la gráfica 1.a). Se asume que el costo marginal de una clase de tenis es de $ f y que coincide con lo que la empresa cobra por clase. Imagine que bajo estas condiciones la cantidad demandada sea “q1”. En este caso, el consumidor se apropiará de todo el excedente “A*”. En este caso, surge la oportunidad para dicha estrategia, ya que la compañía puede capturar este excedente cobrándolo como membresía anual.

Si la empresa cobra un cargo de suscripción de A*, el consumidor estará indiferente entre consumir o no q1. Desde un punto de vista teórico, la empresa puede asegurar la entrada de los consumidores si ésta cobra un precio de acceso menor a A* (además del pago por cada clase).
En el mundo real se complica la implementación de este esquema en la fijación del precio, la heterogeneidad en la demanda dificulta su puesta en operación. Si se establece un alto “pago de entrada”, con el propósito de capturar parte o todo el excedente del consumidor con fuerte poder adquisitivo, limitará la entrada de los consumidores que consideran muy costosa la membresía. Entonces, es crítico para la firma conocer la conducta de los dos segmentos. La empresa debe tener conocimiento total o al menos parcial de esta demanda diferenciada.6
Una posible solución consiste en que la empresa ofrezca un menú de opciones y permita que cada consumidor haga su propia elección; la cual, dependerá de las combinaciones entre los dos pagos.
En el caso del club deportivo, las personas que usan constantemente las instalaciones pueden hacer un pago de entrada “alto” y un pago de uso “bajo” ya que su condición de “retirado” les permite asistir a muchas clases. Lo contario sucederá para las personas que lo usan ocasionalmente.
Como se ha visto en este modelo de precios7, se genera un plan donde el precio promedio declina con la cantidad adquirida debido a la naturaleza de la tarifa.
La tarifa doble produce un costo, “GT” para el consumidor de: GT=A+fq.
Donde el precio promedio que deberá cubrir será
Este promedio disminuye conforme se compra más unidades del bien, ya que la parte fija se divide entre una cantidad mayor. La firma establece “A” y “f” (como se describió en la gráfica 1.a.) y el consumidor mediante el proceso de auto-selección, asume el promedio que quiere pagar escogiendo la cantidad deseada.
Es el mismo menú para todos los consumidores: Aquéllos que elijan grandes montos pagarán menos en promedio a diferencia de los que compran bajas cantidades. Encontrar A y f es un problema complejo. Sin embargo, aquí se explora más adelante un modelo que tiene el propósito de diseñar un plan de tarifa doble de manera eficiente.
Veamos antes unos resultados más simples:
Primero; el caso más sencillo, es cuando hay una demanda homogénea y la empresa conoce la función de demanda. En este caso, la firma captura todo el excedente del consumidor (EC). Como ejemplo, se puede citar el caso de los gimnasios en las zonas de clase media en la ciudad de México, donde la demanda es homogénea.
Segundo: Es evidente que el análisis se complica cuando hay más de dos grupos y se deben aplicar múltiples esquemas de tarifa doble, en lugar de un simple plan para todos los consumidores. Sin embargo, suponga que hay dos grupos de consumidores y la firma conoce las dos funciones de demanda. En este caso, si se aplica un sólo plan de tarifa doble (para ambos grupos), la empresa quizás no será capaz de capturar los dos excedentes.
Esta situación puede observarse en el mercado de telefonía celular, donde se proponen múltiples planes de “tarifa doble” y se deja que el consumidor se suscriba al plan de su preferencia. La firma obtiene ventajas ya que los menos sensibles a los precios escogerán un plan con un precio de entrada más alto y los más sensibles pagarán precios de entrada más bajos. Dichas ventajas para la empresa dependerán de los costos de gestión de ofrecer múltiples planes8.
La menor regulación en las telecomunicaciones asociado con un incremento en la competencia, no ha impedido realizar discriminación de precios mediante el mecanismo de la tarifa doble. Ésta funciona adecuadamente porque se apoya en una de las características fundamentales de esta industria: Los efectos de la economía de red (Blonski, 2002).
Supongamos que se tiene un club deportivo que ofrece clases de tenis, donde asiste un grupo compacto de “M” consumidores con la misma función de demanda lineal: P= a-bq. En este ejemplo, es normal que los costos fijos (Cf) sean mucho más grandes que los costos variables. Por otro lado, los costos variables por cada “sesión de clase” son de $ C (constantes), de tal manera que el costo marginal coincide con el costo variable unitario. Con el propósito de diferenciar estos tres modelos, en seguida se enlistan los tres resultados posibles de tres estrategias diferentes.
Precio uniforme:
Es probable que por el monto de los “Cf “las utilidades pueden ser negativas con la estrategia de precio uniforme. Entonces, ¿cómo se pueden recuperar utilidades?; supóngase que no hay forma de estimular la demanda, que ya no se puede incrementar el número de participantes más allá de “M” y que se han agotado todos los esfuerzos de mercadeo que permitan incrementar el precio de reserva.
Si “el club” quiere beneficios positivos, se debe definir otro modelo de captura de valor. Si se observa bien, la función beneficios es resultado de una optimización adecuada, pero la empresa pierde.
Cuando se conoce la curva de demanda, se puede aplicar la discriminación perfecta. Esta estrategia presupone que se puede negociar con cada participante para obtener el máximo precio que ellos están dispuestos a pagar por clase. En este caso, la función de demanda coincidirá con el ingreso marginal. Por lo tanto:
P=a-bq=Ingreso mg. Y con la condición de primer orden: Img=Cmg=C .
Entonces la “q” de equilibrio:
Con “M” consumidores idénticos, se obtienen un excedente anual de:
Donde se puede apreciar que éste es mayor que el obtenido con precio uniforme:
Sin embargo, como es casi imposible negociar un programa de clases de manera individual, se debe pensar mejor en otra estrategia que se aproxime al DP1. En este caso, con un plan de tarifa doble se puede obtener “casi” el mismo excedente sin tener que negociar con cada individuo.
Se tienen “M” consumidores idénticos,9 éstos pueden asistir a las clases que gusten con el pago de una cuota “$ f” por clase. Adicionalmente, deben cubrir una membresía anual “$A” (A es el triángulo sombreado de la gráfica 1.a.). A pesar de que este plan no luzca razonable, la siguiente sección analizará la conveniencia de éste. Bajo este mecanismo la función beneficios es:
Donde el consumidor paga un precio , eligiendo la cantidad de clases que le sea más provechoso. Se puede comparar este resultado con el que se obtuvo con la DP1. Sin embargo, la conveniencia o no de esta estrategia dependerá de la adecuada selección de “f” y de “A”; que es precisamente el objetivo de la siguiente sección.
Ahora, supóngase que asisten al “club” dos tipos de consumidores: un grupo lo componen personas que están en el retiro y que tienen la capacidad de asistir al deportivo todos los días de la semana. Mientras que el otro grupo, son personas activas laboralmente y sólo pueden asistir los fines de semana.
El supuesto importante aquí es que la firma conoce la demanda de cada grupo, condición necesaria para desarrollar un modelo “óptimo” de tarifa doble. En la sección anterior, se exploró una primera aproximación. El grupo de fin de semana había sido ignorado ya que se suponía que todos los consumidores eran idénticos.
Se define al grupo de demanda “débil” a los que sólo pueden asistir pocos días de la semana que perciben muy alto el precio de la membresía. Por otro lado, hay un grupo de demanda fuerte compuesto por aquellos que tienen tiempo de sobra y pueden asistir con mayor frecuencia al club. A estos últimos les conviene un pago de acceso alto y un pago de uso bajo.
Supuestos:
Hay dos grupos, uno con demanda “fuerte” (1. Jubilados) y el otro con demanda “débil” (2. Activos). La firma quiere establecer un plan de tarifa doble: A + f (q) donde es claro que el gasto para el consumidor depende de “q”.
Se tienen las siguientes funciones lineales para cada grupo:
Existen N1 y N2 grupos idénticos de consumidores. N= N1+N2
N1 representa a los consumidores retirados, mientras N2 son los consumidores llamados activos. N1 y N2 tienen demanda idéntica, su comportamiento es representado por las siguientes funciones de demanda inversa:
Donde: es el precio de reserva del consumidor fuerte (Pr1 de la gráfica 1.b) y es el precio de reserva del consumidor débil (Pr2 de la gráfica 1.b). También suponemos que: , los precios de reserva coinciden en los dos mercados, pero las pendientes son:

En general, no son necesarias estas restricciones. Aquí se establecen con el propósito de simular que uno de los excedentes sea más grande (como se muestra en la gráfica 1.b.). A un precio de $C, el grupo “débil” demandará clases por año. Este grupo estaría dispuesto a pagar una membresía anual del tamaño del triángulo D*, mismos que no se inscribirían si el costo fuese mayor a D* (incluso, menos si la anualidad fuese de $F*).
Con los supuestos de demanda lineal y costo marginal constante se derivan los puntos en el eje “q” que resultan de hacer coincidir las demandas inversas con el costo marginal.
Sí (f=c=p1=p2), entonces se tiene lo siguiente:
Evidentemente, para capturar a ambos tipos de consumidores (jubilados y activos) éstos deben pagar diferente monto por la membresía. Esto tiene implicaciones de logística, ya que si hay comunicación entre ellos, los jubilados tienen incentivos para confundirse con los de fin de semana y pagar menos. Por esta razón, se recomienda cobrar una sola membresía para ambos grupos. Sin embargo, para incluir a todos se debe cobrar la de menor monto. Este mecanismo garantizará la captura de todo el excedente de los clientes activos y una porción del excedente del grupo 1. Habría que asegurar que el excedente del grupo “2” sea mayor que la parte del excedente del “1” que se pierde.
1)Suponga que al inicio la parte variable “f” coincide con el costo marginal constante igual a “C”.
Por lo tanto, los excedentes del consumidor débil (2) y del fuerte (1) son:
Y sus respectivas derivadas:
(22)El excedente 1 (del consumidor fuerte) es más grande que el excedente 2 (del consumidor débil). Para el cliente activo, dadas “f”, “q2” la D* resultante es el costo de la membresía para estos consumidores. Para calcular el óptimo de “f” es necesario conocer el costo marginal y el ingreso marginal cuando cambia “f”.
El modelo: Se tienen las siguientes condiciones para ambos grupos:
a)El excedente 1 es más grande que el excedente 2.
b)El costo marginal = C (es una constante). El costo de entrada D es común para todos los demandantes y debe ser el excedente del consumidor débil.
c)Todos los consumidores pagan el mismo precio por usar: P1 = P2 = f.
El inciso “c” implica que las utilidades están en función de “f”.
Para los dos grupos de consumidores el ingreso es:
Los costos totales son:
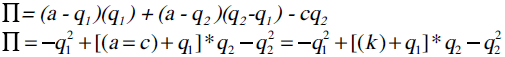
Entonces, se tiene la siguiente función de beneficios:
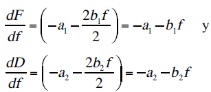
Al aumento en el ingreso atribuible al incremento en “f” le podemos llamar “ingreso marginal de “f” (IMg f), que a su vez es igual a la suma de dos efectos: El efecto que tiene f en la membresía y el efecto que tiene f en el costo por clase. Se puede demostrar que el ingreso marginal debido a f (Imgf) es una función lineal de “f”, es decir el Imgf=g(f)10. Recuerde también que D, q1 y q2, son función de “f”.
Por lo tanto, el ingreso marginal se puede expresar como:11
Para tener una expresión conveniente, recuerde y tome en cuenta los siguientes resultados:
Ahora, retomando la expresión del ingreso marginal y sustituyendo estos resultados se tiene:
Realizando algunas operaciones algebraicas se deduce lo siguiente:
Agrupando y simplificando términos se tiene:
Es el ingreso marginal debido a “f”. Es una forma lineal del tipo:
Por su parte, los costos variables totales (Cvt) son:
Demanda total es: N1 q1 + N2 q2, por lo tanto:
Que es una función líneal de la forma: CVT=t+vf
Ahora tomando la derivada de CVT con respecto de f para obtener el costo marginal.
; Que es una constante negativa.
Si “f” se reduce en $ 1.0 y como hay una relación inversa entre el costo marginal y “f”, entonces debe implicar que aumente q y por lo tanto el Cvt.
Es necesario aclarar más a fondo el resultado anterior. No debe confundirse el costo marginal en general (Cmg) y el costo marginal debido a cambio en f (cmgf). El primero se refiere al incremento en el costo total por ofrecer una clase más, que es precisamente $c=$f, pero el segundo se refiere al cambio en el costo total atribuible al cambio en “f” en un $1.0.
Cuando el costo marginal y el costo variable son constantes, el “f” que resulta de un proceso de optimización siempre será mayor que el costo marginal (total). Esto sucede cuando hay dos o más grupos de idénticos consumidores. Para demostrar lo anterior, iniciemos con la forma más simple. Sea “f” = c, y usemos la fórmula (10) para el cálculo de Ingreso marginal.
Lo que quiere decir es que el incremento en el ingreso y la reducción en costos por aumentar en un $1 “f”, provocará un aumento en las utilidades. De esta manera, la firma seguirá aumentando el “f” hasta el punto en donde el Imgf=Cmgf.
Igualando Costo marginal con el ingreso marginal para despejar la “f” óptima:
se tiene
Resolviendo para f:
Entonces
Que es la expresión básica de la “f” óptima
Para encontrar A* o en este caso D* solo se sustituye f* en la ecuación que define el costo de la membresía.
Finalmente, se calcula de manera óptima la tarifa doble: A+fq, que en este caso es D+fq.
Bajo este nuevo plan, el “club” tiene un mayor beneficio que cuando tenía una membresía muy alta y un “f” bajo que dejaba afuera a los participantes de fin de semana. Entonces, bajo estas circunstancias, se recomienda servir a los dos segmentos. En este ejemplo previo el modelo es adecuado. Sin embargo, puede haber casos donde integrar a consumidores con un pequeño excedente del consumidor puede no ser más rentable. No siempre reducir el precio de acceso garantiza mayor utilidad. Así debe suceder en aquellas situaciones donde la membresía es usualmente alta, como sucede en los clubes de Golf.
Es necesario puntualizar que este modelo funciona adecuadamente ya que se apoya en la heterogeneidad de la demanda. Este procedimiento puede aplicarse en general en sectores afines, como es el caso de la industria del entretenimiento. Como sucede en los conciertos, hay una gran diferencia en los ingresos cuando los asientos se segmentan en más categorías que cuando se hacen en menos (Courty and Pagliero, 2012). Por lo tanto, se demuestra que la segmentación del mercado es una fuente significativa para la obtención de beneficios extraordinarios.
Los algoritmos revisados en este trabajo aún en su forma más simple, revelan la complejidad y al mismo tiempo la utilidad de la discriminación de precios de segundo grado. Las empresas grandes lo pueden resolver con sistemas de información y programas computacionales robustos. Sin embargo, consideramos que usando los conceptos elementales de la teoría microeconómica, cualquier empresa puede estudiar la conducta de los agentes y así, desarrollar propuestas más eficientes para el diseño y operación de la fijación de precios.
La realidad muestra que tanto firmas como especialistas en negocios no se conforman con el “principio” de que los precios son un fenómeno endógeno, resultantes de la igualdad entre la oferta y la demanda. Para los profesionistas esta intersección es un dato importante pero no determinante para todos los casos.
Los precios dependen de tres naturalezas: la del consumidor, la del bien y la del mercado. El algoritmo definido como “Precio en bloque” es un modelo frecuentemente usado en aquellos negocios donde se venden bienes susceptibles de acumular y cuya utilidad para el comprador se distribuye en el tiempo. Por su parte, el algoritmo usado para la “tarifa doble” es bastante útil en los servicios y donde se mezclan diferentes segmentos de consumidores. En algunos casos, es implementado en aquellas empresas que realizan ventas atadas.
Las diferentes estrategias de precios, cuyo primer objetivo es maximizar ganancias, pueden ser aún más eficientes si al mismo tiempo se procura una mayor cantidad del bien a precios diferenciados. En función de las diversas percepciones de valor de los compradores.
En la economía real, y a pesar de la importancia del precio en la formación de beneficios, muchas empresas (inclusive negocios grandes y prestigiosos) resuelven el problema de manera empírica. Seguramente, tiene que ver que esas empresas no se han acercado a examinar con detenimiento los principios fundamentales de la economía. El objetivo último de este trabajo es llamar la atención de los profesionales de empresa acerca de la importancia de aplicar los conceptos elementales de la ciencia económica para la creación y captura de valor.

