Artículos
Diferencias por género en el acceso a la educación superior en Colombia (2001-2019)
Gender Differences in Access to Higher Education in Colombia (2001-2019)
Diferenças de gênero no acesso ao ensino superior na Colômbia (2001-2019)
Diferencias por género en el acceso a la educación superior en Colombia (2001-2019)
Revista Colombiana de Educación, núm. 88, pp. 185-210, 2023
Universidad Pedagógica Nacional de Colombia
Recepción: 13 Marzo 2021
Aprobación: 12 Octubre 2021
Resumen: El acceso a la educación superior para mujeres y hombres es uno de los factores relacionados con la movilidad social, la equidad y la mejora de las oportunidades en todo el mundo que contribuye a lograr la igualdad de género. Este artículo de investigación tiene como objetivo estimar las diferencias por género en la probabilidad de acceso a la educación superior en Colombia en el periodo comprendido entre el 2001 y el 2019. El análisis se realiza con la estimación de modelos probit multinomiales con corrección del sesgo de selección muestral sobre datos de la Gran Encuesta Integrada de Hogares, del Departamento Administrativo Nacional de Estadística (DANE). Los resultados muestran que la elección de acceder a la educación superior para todos los individuos no es aleatoria o igual por factores relacionados con las características personales, familiares, económicas y sociales de cada uno. Esto condiciona las oportunidades de acceso y perjudica algunos grupos sociales, en especial, aquellos que en una primera etapa no pueden obtener un título de bachiller. Adicionalmente, la probabilidad de acceso a la educación superior para todos los jóvenes sigue siendo baja, en promedio 50 %, cifra acorde con la tasa de cobertura bruta de la educación superior (52 %) durante el 2018. Por otra parte, ser mujer aumenta la probabilidad de acceso entre 1 y 2,19 puntos porcentuales en los primeros cuatro años de educación superior. Estos resultados contribuyen al análisis para mejorar las oportunidades educativas en un país con altos niveles de desigualdad social y a la discusión sobre la política de educación superior
Palabras clave: Acceso a la educación, educación superior, política educativa, demanda de educación, género.
Abstract: Access to higher education for women and men is one of the factors related to social mobility, equity and improved opportunities around the world which contributes to achieving gender equality. This research paper aims to estimate the differences by gender in the probability of access to higher education in Colombia, in the period from 2001 to 2019. The analysis is conducted with the estimation of multinomial probit models of discrete choice with correction for selection bias sample, using data from the Gran Encuesta Integrada de Hogares conducted by the Departamento Administrativo Nacional de Estadística (DANE). The results show that the choice to access higher education for all individuals is not random or equal, due to factors related to the personal, family, economic and social characteristics of each individual. This conditions access opportunities and harms some social groups, especially those who cannot obtain a high school degree in the first stage. n addition, the probability of access to higher education for all young people remains low, on average 50 %, in line with a gross coverage rate of higher education of 52 % during 2018. On the other hand, for the first year, be Women increase the probability of access by I percentage point, for the second year 1,67 percentage points, for the third year 1,39 and for the fourth year 2,19 percentage points. These results to the analysis to improve educational opportunities in a country with high levels of social inequality and a discussion on higher education policy.
Keywords: Access to education, higher education, educational policy, demand for education, gender.
Resumo: O acesso ao ensino superior para mulheres e homens é um dos fatores relacionados à mobilidade social, equidade e melhores oportunidades em todo o mundo, o que contribui para o alcance da igualdade de gênero. Este trabalho de pesquisa tem como objetivo estimar as diferenças por gênero na probabilidade de acesso ao ensino superior na Colômbia, no período de 2001 a 2019. A análise é realizada com a estimação de modelos probit multinomiais de escolha discreta com correção para viés de seleção da amostra, usando dados do Gran Encuesta Integrada de Hogares realizado pelo Departamento Administrativo Nacional de Estadística, DANE. Os resultados mostram que a escolha do acesso ao ensino superior para todos os indivíduos não é aleatória ou igual, devido a fatores relacionados às características pessoais, familiares, econômicas e sociais de cada indivíduo. Isso condiciona oportunidades de acesso e prejudica alguns grupos sociais, principalmente aqueles que não conseguem o bacharelado no primeiro estágio. Além disso, a probabilidade de acesso ao ensino superior para todos os jovens continua baixa, em média 50 %, em linha com uma taxa bruta de cobertura do ensino superior de 52 %, 2018. Por outro lado, para o primeiro ano, ser Mulheres aumentar a probabilidade de acesso em 1 ponto percentual, pelo segundo ano 1,67 pontos percentuais, pelo terceiro ano 1,39 e pelo quarto ano 2,19 pontos percentuais. Esses resultados permitem uma análise para melhorar as oportunidades educacionais em um país com altos níveis de desigualdade social e uma discussão sobre a política de educação superior.
Palavras-chave: Acesso à educação, ensino superior, política educacional, demanda por educação, gênero sexual.
Introducción
Los objetivos de desarrollo sostenible (ODS) fueron sancionados en el 2015 por la Asamblea General de las Naciones Unidas con la Resolución 70/1 de las Naciones Unidas (ONU), con el propósito de lograr un futuro mejor y más sostenible para todos en el año 2030. En ese momento se establecieron diecisiete objetivos, entre los cuales el quinto es la igualdad de género, que propende por empoderar a todas las mujeres y niñas. Tras seguir la promesa de no dejar a nadie atrás, los países se han comprometido con acelerar el progreso para aquellos más atrasados. Históricamente, las inversiones en capital humano han sido el factor que ha permitido lograr la igualdad de oportunidades para cerrar la brecha que existe entre los diferentes grupos sociales (Becker, 1962).
Según Subrahmanian (2005), el consenso internacional sobre las prioridades educativas otorga un lugar importante a este objetivo por medio del avance en la paridad y la igualdad de género. Alcanzar la paridad en la educación es solo un paso hacia la igualdad de género porque debe entenderse como un derecho. Por su parte, el crecimiento económico (Hanushek y Woessmann, 2012, 2011), el desarrollo de los países (Psacharopoulos y Woodhall, 1993), el mercado laboral (Hanushek et al., 2017), la salud (Eide y Showalter, 2011), el crimen, la inseguridad (Bell et al., 2016), la pobreza (Krueger y Malečková, 2009) y los ingresos (Acemoglu y Pischke, 2001) son factores correlacionados con el acceso a la educación.
Ahora bien, la educación superior es el nivel educativo más alto en el que un individuo o el Estado pueden invertir y su tasa de retorno es alta, ya que otorga una prima salarial en países en vía de desarrollo que se convierte en factor determinante para el bienestar de la población (Goldin y Katz, 2008; Londoño et al., 2020). Sin embargo, es necesario tener en cuenta que el acceso a la educación para las mujeres que pertenecen a países en desarrollo es un objetivo deseable. Igualmente, uno de los objetivos de los ODS es cerrar la brecha en el acceso a la educación primaria de las mujeres, debido a que dos tercios de los países en vía de desarrollo han logrado la paridad de género en la educación primaria. Sin embargo, no se ha logrado cerrar tal diferencia para los niveles avanzados de educación formal.
Entre los elementos que condicionan la probabilidad de acceso a la educación superior tanto en países desarrollados como en vías de desarrollo se encuentran las características del individuo: género, edad, raza, capacidad, entre otras (Bailey y Dynarski, 2011). De esta forma, el género es uno de los factores más discutidos en la literatura sobre discriminación y de ahí la importancia del análisis de este rasgo esencial en el estudio del acceso a la educación superior en los países en desarrollo, donde las oportunidades educativas no son las mismas para todos los grupos sociales. En este contexto, las explicaciones de la desigualdad de género en la educación superior deberían distinguir entre estos diferentes aspectos y explicar aquellos contextos en los que las mujeres han alcanzado la paridad (Hill y King, 1995; Jacobs 1996; Jacob y Labov, 2002; Bertrand et al., 2005; DiPrete y Buchmann, 2006; Eger et al., 2018; Kim, 2021).
El objetivo de este artículo es estimar las diferencias por género en el acceso a la educación superior en Colombia, un país con grandes desigualdades sociales y económicas. La estimación se realiza con un modelo probit multinomial que considera la corrección del sesgo de selección de muestra para datos de corte transversal en términos similares a los encontrados en Heckman (1979), Ven y Praag (1981), Miranda y Rabe-Hesketh (2006), y Bourguignon et al. (2007). Para obtener los resultados se seleccionó una muestra de jóvenes entre los 15 y 30 años de la Gran Encuesta Integrada de Hogares.
Este artículo aporta tres contribuciones. Primero, la estimación de la probabilidad de acceso a la educación superior de los jóvenes colombianos con un modelo probit multinomial que corrige el sesgo de selección de la muestra. Según Heckman (1979), el sesgo de selección de la muestra existe cuando el proceso de autoselección afecta a los individuos de una población. Así, la corrección es necesaria porque los jóvenes que pueden optar por ir a la universidad son solo aquellos que han terminado el nivel de educación secundaria o han obtenido un título de bachiller. Y, dado que Colombia es un país con altas desigualdades económicas, no todos los jóvenes superan la educación secundaria, por lo que su elección está condicionada y la muestra no se puede observar al azar. Segundo, la estimación de las diferencias de género en el acceso a la educación superior en un país con altos niveles de desigualdad. Y, tercero, la estimación de las interacciones de la variable género (mujer = 1) con otras características del individuo, la familia, el hogar y el contexto, para analizar si el efecto del género se transmite a través de otras variables relacionadas con la educación de los padres, su condición en el mercado laboral, los ingresos, entre otras.
Este documento está estructurado de la siguiente manera: después de la introducción, la sección dos presenta el contexto colombiano para actualizar a los lectores que no están familiarizados con el país; la sección tres describe los datos, las variables y presenta la estrategia empírica; en la sección cuatro se discuten los principales resultados del artículo, y las conclusiones se presentan en la quinta sección. El documento termina con una sección de referencias.
El contexto colombiano
Colombia es un país en desarrollo ubicado en América del Sur con una población aproximada de cincuenta millones de habitantes y una densidad poblacional de 43,43 habitantes/km2. Con un nivel de ingreso medio, según datos del Banco Mundial (2019), ocupa el puesto 31 a nivel mundial por valor de su PIB PPA (US $ 784 747 millones), lo que permite obtener un PIB per cápita de 17 406 dólares. Sin embargo, presenta altos niveles de desigualdad de ingresos, según el índice Gini (0,508), se ubica en el puesto 147/159 en el ranking de países a nivel mundial, y en América Latina es el tercero con mayor desigualdad de ingresos. Colombia se encuentra actualmente en desarrollo y presenta avances en términos sociales y económicos a pesar de tener una de las mayores desigualdades sociales y económicas del mundo.
En materia de educación, el país ha logrado grandes avances en este siglo, como es el caso de la tasa de cobertura bruta de la educación básica y secundaria, que aumentó del 60 % a más del 100 %. Por su parte, la tasa de analfabetismo (> 15 años de edad) se redujo del 25 % a menos del 5 % y el promedio de años de educación (> 15 años de edad) aumentó de 6 a 10 años entre 1980 y 2015. Estos avances no solo se dieron en la educación básica y secundaria, sino también en la educación superior.
La figura 1 muestra la evolución del número de matriculados en educación superior en Colombia durante el periodo 1980-2018. Durante este lapso se pueden mencionar tres grandes cambios institucionales: la sanción de la Constitución Política de 1991 y posteriormente la de las dos leyes de educación (Ley de Educación, 1994 y Ley de Educación Superior, 1992). Estas reformas, junto con la inversión en cobertura realizada en los niveles básico y medio, permitieron un aumento significativo en el acceso de los jóvenes a la educación superior (técnica, tecnológica y universitaria).

La evolución del número de estudiantes matriculados aumentó de 271 680 en el año 1980 a más de un millón en el 2002, y llegó a dos millones en el 2015. Por tanto, en este siglo la matrícula aumentó en un millón de jóvenes. Esto muestra que el acceso a la educación superior en Colombia tuvo en los primeros años del siglo una tendencia creciente. Según Page y Scott-Clayton (2016), los países desarrollados tienen una demanda constante y en algunos casos decreciente de estudios superiores, por lo que los problemas de acceso ahora se ven con una mirada más detallada y completa.
Este cambio en el acceso a la educación superior es importante en una población como la colombiana, que cuenta con aproximadamente cincuenta millones de habitantes y una pirámide poblacional relativamente joven. Según la Encuesta Nacional de Demografía y Salud (ENDS, 2018), los menores de 15 años representan alrededor del 30 % de la población colombiana, el 36,4 % de los hogares tienen jefatura femenina, el número de hijos por mujer es 1,8 y el tamaño medio de los hogares es de 3,5 individuos. Ahora bien, la pirámide poblacional está cambiando: Colombia tiene una gran proporción de jóvenes en comparación con el nivel mundial. Todos estos avances en factores sociales, económicos y educativos que se han logrado en el país son importantes y han permitido logros como el acceso a la Organización para la Cooperación y el Desarrollo Económico (OCDE) en 2018, un club de países con buenas prácticas. De esta forma, el país se acerca al cumplimiento de los ODS, entre ellos, la mejora de las oportunidades educativas por género.
No obstante, es interesante notar que este incremento en el acceso a la educación ha traído consigo ciertas desigualdades que han caracterizado la evolución de la demanda de educación superior en Colombia en los últimos años. Estas desigualdades son preocupantes porque se evidencia en una tasa de cobertura bruta en la educación superior que ha rondado el 50 % durante los últimos años, lo que significa que deja por fuera del sistema de educación superior a más de la mitad de los jóvenes que tienen la edad para cursar este nivel educativo.
El número de estudiantes matriculados en la educación universitaria ha ido disminuyendo con respecto a la educación técnica y tecnológica. El porcentaje de estudiantes en la educación pública es menor y, además, la matrícula es mayoritariamente privada, por lo que los jóvenes o sus familias deben asumir un costo mayor. A lo anterior hay que sumar que aproximadamente la mitad de los jóvenes no terminan debido a las elevadas tasas de deserción -para el 2016 fue del 48,80 % (SPADIES, 2016)-.
La tabla 1 muestra algunas características generales de la educación superior en Colombia. Comienza por la tasa de cobertura bruta que, como ya se mencionó, es muy baja con relación a otros países. Esto significa que menos de la mitad de los jóvenes que se gradúan de la escuela secundaria y que están en edad de asistir a la educación superior lo hacen. La segunda columna muestra el porcentaje de matrículas en educación universitaria sobre el total de educación superior. En Colombia, la educación superior se divide en tres niveles: técnico, tecnológico y universitario. Otro dato importante se muestra en la tercera columna, en la que se observa que el porcentaje de educación pública ofrecida directamente por el sector oficial es cercano al cincuenta por ciento. Finalmente, la última columna de esta tabla muestra la tasa de deserción estudiantil de la educación superior. Con estos datos se puede afirmar que, a pesar de la expansión del sistema de educación superior, la equidad e igualdad de oportunidades educativas no se ha generalizado para todos los grupos sociales.

Estos datos sobre el sistema de educación superior en Colombia se pueden contextualizar con una breve comparación internacional. La figura 2 muestra una comparación internacional de la tasa de cobertura bruta de la educación superior con el PIB per cápita de varios países durante el año 2012 -en el que Colombia alcanzó dos millones de matriculados en la educación superior-. Colombia se caracteriza por tener una tasa de cobertura bruta y un PIB per cápita bajos. Hay un segundo grupo de países, liderados por Argentina, Uruguay y Chile, además de un tercer grupo de países más avanzados con altas tasas de cobertura y de PIB per cápita.

En suma, Colombia es un país que está lejos de lograr la igualdad de oportunidades educativas entre diferentes grupos sociales. Sin embargo, la pregunta de análisis es: ¿estas diferencias afectan por igual a hombres y mujeres o existen algunas diferencias entre estos dos grupos a la hora de acceder a la educación superior?
Datos, variables y estrategia empírica
Datos
Se utilizan los datos de la Encuesta de Hogares de Colombia del 2001 al 2019. La encuesta de hogares en este periodo se denominó, en primera instancia, Encuesta Continua de Hogares y, posteriormente, Gran Encuesta Integrada de Hogares, realizada por el Departamento Administrativo Nacional de Estadística (DANE, 2018). En este lapso las variables seleccionadas y los datos se describen para jóvenes que están en edad de cursar la educación superior (15 a 30 años). La encuesta es de datos transversales y propicia para este estudio porque tiene las variables educativas para toda la muestra. Cabe indicar que adicionalmente se construyeron las variables del individuo como edad, género y parentesco familiar. De igual manera, se obtuvieron características familiares como el número de hermanos, rasgos del mercado laboral de los padres, miembros del hogar e ingresos familiares. Otro grupo de variables son las relacionadas con el origen social como la región donde reside el individuo y los años de la encuesta. Estos últimos se utilizan como efectos fijos de región y efectos fijos en el tiempo para una sección de datos cruzados en corte transversal de cada año de la encuesta.
Sin embargo, los datos presentan un potencial problema de sesgo en la selección de la muestra. El concepto de sesgo de selección fue popularizado por el economista James Heckman en un artículo publicado en Econometrica en 1979. Este sesgo de selección debe tenerse en cuenta al intentar estimar una ecuación de comportamiento para evitar estimadores sesgados e inconsistentes. Por esta razón, en este artículo se realiza el análisis teniendo en cuenta este factor, debido a que el acceso a la educación superior en Colombia presenta teóricamente y empíricamente el problema. Así, para calcular la probabilidad de asistir a la educación superior, solo han de contemplarse aquellos individuos que se graduaron de la escuela secundaria o que tienen un título de bachiller. Por su parte, aquellos jóvenes que no completaron este nivel de educación no se pueden incluir en la muestra.
En la figura 3 se muestran las distintas opciones de educación posobligatoria que pueden tomar los jóvenes colombianos, divididas en dos etapas. La primera etapa (en el lado izquierdo) consiste en la obtención de un título de bachiller, lo que implica al menos once años de educación formal -incluidos seis años de educación secundaria-. El lado derecho muestra la elección de la educación superior. Para tomar la decisión de acceder a la educación superior es necesario haber alcanzado la primera etapa de la educación posobligatoria y obtenido previamente un título de bachiller.

Dado que no es aleatorio que un joven obtenga un título de educación secundaria (bachiller) y que exista un truncamiento incidental en la muestra, el sesgo de selección muestral se evidencia teóricamente al no observar al azar a todos los jóvenes al momento de tomar la decisión de acceder a la educación superior. La figura 4 muestra la distribución de la proporción de la muestra que excede la regla de truncamiento incidental, que, en este caso, implica obtener un título de bachillerato o completar once años de escolaridad. La distribución de la muestra para hombres y mujeres evidencia un potencial sesgo de selección muestral sin distinción alguna. Así, el sesgo de selección se manifiesta por la incapacidad de observar las características de los jóvenes que no cumplieron con la regla de selección por razones no aleatorias.

Ahora bien, independientemente de que el acceso a la educación superior esté condicionado por múltiples factores, es evidente el crecimiento de su demanda en Colombia y que no ha sido ajeno a la incorporación de la mujer en los niveles más altos de educación. Pero esto históricamente no ha sido así para el promedio de las mujeres, es un hecho que viene ocurriendo desde finales del siglo pasado y los primeros años del siglo XXI.
La demanda de educación puede ser estudiada desde dos perspectivas teóricas. Manski y Wise (1983), para el caso de los Estados Unidos, propusieron las siguientes definiciones de demanda de educación:
» Demanda por años de educación (años): es el nivel de estudios en curso o finalizados por los individuos.
» Demanda de titulaciones educativas (títulos): es el nivel más alto de estudios realizados por los individuos.
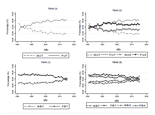
La figura 5 muestra la evolución del porcentaje de hombres y mujeres en la demanda de años y títulos. La figura tiene cuatro paneles que se describen a continuación. El panel (a) presenta la evolución de los hombres con títulos de educación universitaria (MUT) y la evolución de las mujeres con títulos de educación universitaria (FUT). Este panel muestra cómo en 1980 aproximadamente el 50 % de hombres y mujeres obtuvieron títulos universitarios. También permite apreciar cómo el porcentaje de hombres con títulos universitarios ha caído drásticamente, llegando al 45 %. Por su lado, el porcentaje de mujeres con títulos universitarios ha ido creciendo hasta alcanzar el 60 %.

El panel (b) compara MUT y FUT con MUA y FUA, que tiene en cuenta la diferencia entre la demanda de títulos y años de educación superior. La figura muestra que hay diferencias menores entre la demanda de años que de títulos, porque la demanda de años de educación superior para hombres (MUA) y la demanda de años de educación superior para mujeres (FUA) es muy similar y ronda el 50 %. Así, la serie de demanda de títulos presenta una diferencia mayor entre hombres y mujeres que la serie de demanda de años de educación. Por su lado, el panel (c) muestra la evolución por género de la demanda de títulos de bachillerato para hombres (MBT) y mujeres (FBT). En este nivel educativo, la brecha entre hombres y mujeres se ha ido cerrando con el paso del tiempo. A principios de los ochenta había una relación de 60 a 40, pero actualmente tienen un peso relativo similar del 50 %. Finalmente, el panel (d) presenta la evolución de la demanda de años y títulos a nivel de bachillerato. Cabe señalar que este es el nivel que da acceso a la educación superior, ya que para ingresar a una carrera profesional en Colombia es necesario obtener antes un título de bachiller.
Las mujeres han ido incrementando su nivel educativo a lo largo del periodo estudiado, tanto para años como títulos de educación superior. Esto evidencia el avance en la mejora de las oportunidades educativas.
Variables
En este artículo se tienen en cuenta variables que caracterizan al individuo; variables de la familia, características de los padres; variables del hogar, características del entorno más cercano, y adicionalmente se tienen en cuenta la región y el año de la encuesta. La definición de las variables utilizadas para describir las diferencias por género son las que se presentan en la tabla 2.

En la tabla 3 se presentan las estadísticas de la distribución por género en diferentes niveles de educación. Primero, se presenta la distribución entre los niveles de educación y luego la distribución por género en el interior de cada nivel de educación. Esta información es de vital importancia porque a partir de ella se construye la variable dependiente en los modelos de elección discreta que finalmente se estiman en este documento.

Estrategia empírica
La estimación del modelo probit multinomial con corrección del sesgo de selección muestral se realiza de la siguiente manera. En la primera etapa, la probabilidad de tener un título de bachillerato se calcula mediante la siguiente ecuación de selección:

Donde Y*1i es una variable aleatoria no observable que representa la utilidad de invertir en educación, específicamente de obtener un título de bachiller (condición necesaria para acceder a la educación superior). La variable Y1i refleja la siguiente decisión:

Además, W1i es un vector de características del individuo, β’1 es un vector de coeficientes relacionados al modelo, y ε1i es el término de error aleatorio convencional, distribuido [0,σ12]. En la segunda etapa, se estima la probabilidad de acceso a la educación superior con la siguiente ecuación de interés.

En donde, Y*2i es una variable aleatoria no observable que representa la utilidad de invertir en educación superior. Es una variable multinomial Y2i que puede ser definida para reflejar la decisión de acceso a la educación superior.

De modo similar, W2i es el vector de variables no estocásticas, β-2 es el vector de coeficientes relacionados, y ε2i es el término de error aleatorio asociado a esta ecuación, que se distribuye [0,σ12]. Para analizar las correlaciones entre las variables explicativas que se incluyen en el modelo y las que se excluyen, el valor esperado condicional de la fórmula (2) se representa con la siguiente formula:

Asumiendo que ε1i y ε2i siguen una distribución normal bivariada [0,0,1,1,p], representado a p como el coeficiente de correlación entre los términos de error de la ecuación de interés y de la ecuación de selección, se sabe que:

Si se realiza la normalización σ2 = 1el resultado es:

Por lo tanto, el parámetro λ1 se interpreta como el término de corrección del sesgo de selección de la muestra y se puede expresar de la siguiente manera:

En donde Φ representa la función de distribución. Así, dado
, el modelo a estimar sigue la formulación de un modelo de tipo Heckman.

El término de corrección para el sesgo de selección de la muestra λ1 aparece en la fórmula de interés. Por tanto, la fórmula de ecuación de selección está definida por:

Además, se deben cumplir los siguientes supuestos sobre el comportamiento del término de error aleatorio asociado a la ecuación de interés (3), así como los de la ecuación de selección (4).

Finalmente, cuando existe correlación p # 0, los estimadores de los modelos univariados están sesgados y son inconsistentes, mientras que el cálculo del modelo multinomial proporciona estimadores consistentes y asintomáticamente eficientes para la ecuación de interés.
Principales resultados
En la tabla 4 se presentan los resultados de la estimación de los efectos marginales en promedio, más las interacciones con la variable género (mujer igual a 1) de las variables independientes. Todos los efectos marginales fueron estimados de forma robusta al corregir la matriz de varianzas y covarianzas de los coeficientes de la regresión. El principal resultado es la existencia de diferencias significativas entre hombres y mujeres en el acceso a la educación superior en Colombia. Esto se evidencia en que los efectos marginales estimados resultan estadísticamente significativos.
Los resultados muestran que en particular el efecto marginal correspondiente a la variable género [es decir, mujer=1] es estadísticamente significativo para todos los niveles, con lo cual se puede afirmar que existen diferencias estadísticamente significativas con respecto a los hombres. Así, en promedio, ser mujer reduce en 6,2 puntos porcentuales la probabilidad de obtener un título de bachiller; pero, por otra parte, ser mujer aumenta en promedio la probabilidad de acceder a la educación superior en Colombia en cualquiera de los años de acceso y este efecto es creciente. De acuerdo con los resultados, ser mujer aumenta la probabilidad de acceso en 1 punto porcentual para el primer año; para el segundo año en 1,67 puntos porcentuales; para el tercer año en 1,39 y para el cuarto año en 2,19 puntos porcentuales.
Con respecto al número de hermanos menores de 16 años (Nher<16), que es una variable proxy sobre la restricción presupuestaria a la que se enfrenta el hogar a la hora de invertir en la educación de los hijos, se encontró que el número de hermanos reduce la probabilidad de acceder a cualquier año de educación superior. El efecto marginal es positivo y, a medida que el número de hermanos aumenta, la probabilidad de acceso a la educación superior disminuye. Por una parte, para alcanzar un título en el nivel previo (educación bachiller) la probabilidad aumenta posiblemente por el incremento en la cobertura y la gratuidad en la educación media que ha alcanzado el país en los primeros años del siglo XXI (González et al., 2014).
El tamaño de la familia (Tfamilia), medido por el número de personas en el hogar, es una variable proxy sobre la capacidad de generar ingresos en la familia. En este caso, el tamaño de la familia afecta positivamente el acceso a la educación superior. Por otra parte, la actividad laboral de la madre (Amadre) se realiza con respecto a estar empleada vs. estar desempleada o inactiva. Si la madre esté desempleada o inactiva, se reduce la probabilidad de acceder a la educación superior. Con respecto a la actividad laboral del padre (Apadre), la categoría base es estar empleado con respecto a desempleado e inactivo. Tener un padre desempleado reduce la probabilidad de acceder a la educación superior. En el caso de un padre inactivo, el efecto es positivo. Este último efecto puede estar explicado por el alto nivel de informalidad laboral que se presenta en el país. La tasa de informalidad laboral en el país ha fluctuado alrededor del 50 % durante el periodo de análisis (DANE, 2019).
La educación del padre (Educpadre) y de la madre (Educmadre) son variables que influyen en la probabilidad de acceder a la educación superior y una variable proxy de la habilidad de los hijos. Todos los niveles de la educación de la madre con respecto a la base madre sin estudios afectan positivamente la probabilidad de acceso. Mientras que en la educación del padre solo la educación superior con respecto a padre sin estudio tiene un efecto positivo sobre el acceso a la educación superior.
De acuerdo con las interacciones de las variables con la variable género, se puede observar que el número de hermanos menores de 16 años reduce la probabilidad de las mujeres de acceder a la educación superior. El tamaño de la familia tiene un efecto positivo. Con respecto a la actividad laboral de los padres, solo la característica de que la madre esté inactiva aumenta la probabilidad. Con respecto a la educación de los padres, esta afecta positivamente.
Los resultados anteriores muestran que en Colombia todavía falta una consecución de políticas para lograr la igualdad de oportunidades educativas entre diferentes grupos sociales. Es deseable que el acceso a la educación superior sea independiente de las características del individuo, de su familia o de su entorno más cercano (Albert et al., 2016).

En la figura 6 se observa un mayor efecto de la educación de los padres en la obtención del título de bachiller. Para la educación universitaria de los jóvenes, el nivel educativo de la madre afecta con mayor incertidumbre que la del padre; es mayor el efecto para quienes alcanzan cuatro o más años de educación. Igual efecto tiene tanto la educación universitaria del padre como de la madre.

En la figura 7 se observa que el efecto para la obtención del título bachiller es contrario al de la educación universitaria. Probablemente, porque la educación bachiller o secundaria se convirtió en este siglo en obligatoria y de carácter gratuito en todo el territorio nacional.

Los efectos son diferentes para los jóvenes dependiendo de si es el padre o la madre quien posee un título universitario. Asimismo, se puede observar que el efecto marginal de la interacción va creciendo a medida que la demanda de años de educación superior va aumentando. El mayor efecto se encuentra para la elección de cuatro años o más de educación superior. La educación de los padres muestra cierta movilidad social debido a que un padre o una madre con educación universitaria afecta positivamente la probabilidad de aumentar la educación superior de las hijas mujeres.
Conclusiones
A pesar de los avances logrados para cerrar las brechas de género que existen en el sistema de educación en general, aún se presentan diferencias en la probabilidad de acceso a la educación superior por género. De acuerdo con el índice global de brecha de género, Colombia, en el año 2020, ocupó el puesto 22 entre 149 países, con un índice de 0,7290, y se ubicó entre los países con mayor brecha de género en el mundo. Estos resultados y el contexto del país son relevantes para el avance de otros estudios que consoliden la comprensión de este tipo de fenómenos que involucran la educación desde todas las perspectivas.
Los resultados encontrados en este artículo muestran que la probabilidad de acceso a la educación superior no es igual para hombres y mujeres. Con relación al efecto marginal en la media, ser mujer aumenta la probabilidad de demandar años de educación universitaria entre 1 y 2 puntos porcentuales y, a medida que aumentan los años de educación, la correlación es más fuerte. Además, existen factores relacionados con los padres, la familia y el entorno más próximo del individuo que condicionan el acceso a la educación superior.
Por su parte, la educación de los padres continúa siendo un factor decisivo para que los jóvenes colombianos tomen la decisión de acceder a la educación superior. Así, ser mujer con madre universitaria aumenta el efecto marginal promedio de demandar educación universitaria y reduce la probabilidad de quedarse solo con un título de bachiller. Además, una madre con estudios universitarios aumenta la probabilidad de demandar educación universitaria de las mujeres en aproximadamente un 30 %.
Lo anterior sugiere la necesidad de trabajar por la mejora de las oportunidades educativas. Los resultados se ajustan al sistema educativo de un país en desarrollo, como es el caso de Colombia, donde existen factores asociados a características personales, contexto familiar y entorno en el que vive el individuo que impactan las decisiones educativas de las personas y, por tanto, generan un alto grado de desigualdad en las oportunidades educativas que son posobligatorias.
Continuar trabajando por eliminar estas brechas traerá beneficios en el crecimiento y el desarrollo económico, la calidad de vida, el bienestar económico y social del país. Este trabajo tiene una limitación al no poder desagregar el nivel de educación superior (técnica, tecnológica o universitaria) que eligen los jóvenes ni determinar la elección de las diferentes carreras. Por ello, una línea de investigación futura es profundizar en este tipo de estudios por niveles de educación superior y por tipo de carrera en la línea de los trabajos sobre brechas en educación en ciencia, tecnología, ingeniería y matemáticas, en la dirección de Gómez et al. (2020). Otra línea de investigación futura puede estar relacionada con la estimación de efectos causales que tengan en cuenta todos los potenciales problemas de endogeneidad.
Finalmente, es innegable la necesidad de mejorar las políticas educativas en términos de cobertura, calidad, eficiencia y equidad para la educación superior, así como otorgar una función más activa y proactiva al sector privado. Es fundamental implementar más iniciativas público-privadas que permitan incrementar la demanda de educación superior. Igualmente, se necesita una política de financiamiento estatal de la demanda para fortalecer las instituciones de educación superior públicas y privadas que garanticen la mejora de las oportunidades educativas para todos los jóvenes colombianos.
Referencias
Acemoglu, D. y Pischke, J. (2001). Changes in the Wage Structure, Family Income, and Children's Education. European Economic Review, 45(4-6), 890-904. https://doi.org/10.1016/S0014-2921(01)00115-5
Albert, C., González, C. y Mora, J. (2016). La demanda de educación superior: breve revisión de la literatura. Revista Ensayos de Economía, 26(48), 209-228. https://revistas.unal.edu.co/index.php/ede/article/view/60020
Bailey, M. y Dynarski, S. (2011). Gains and Gaps: Changing Inequality in US College Entry and Completion (n.° w17633). National Bureau of Economic Research.
Banco Mundial (2019). Informe anual 2019. Estadísticas de Colombia. Washington. https://datos.bancomundial.org/
Banco Mundial. (2012). Estadísticas por países. Washington. https://datos.bancomundial.org/
Becker, G. (1962). Investment in Human Capital: A Theoretical Analysis. Journal of Political Economy, 70(5), 9-49. doi: 10.1086/258724
Bell, B., Costa, R. y Machin, S. (2016). Crime, Compulsory Schooling Laws and Education. Economics of Education Review, (54), 214-226. https://doi.org/110.1016/j.econedurev.2015.09.007
Bertrand, M., Chugh, D. y Mullainathan, S. (2005). Implicit Discrimination. American Economic Review, 95(2), 94-98. https://doi.org/10.1257/000282805774670365
Bourguignon, F., Fournier, M. y Gurgand, M. (2007). Selection Bias Corrections Based on the Multinomial Logit Model: Monte Carlo Comparisons. Journal of Economic Surveys, 21 (1), 174-205. https://doi.org/10.2139/ssrn.555744
Congreso de la República de Colombia. (28 de diciembre de 1992). Ley 30 de 1992: Por la cual se organiza el servicio público de la Educación Superior. DO: 40 700. http://www.secretariasenado.gov.co/sena-do/basedoc/ley_0030_1992.html#:~:text=ART%C3%8DCULO%2030.,acuerdo%20con%20la%20presente%20Ley.
Congreso de la República de Colombia. (8 de febrero de 1994). Ley 115 de 1994: Por la cual se expide la ley general de educación. DO: 44 214. https://www.redjurista.com/Documents/ley_115_de_1994_congreso_de_la_republica.aspx#/
DANE. (2019). Informe de empleo informal y seguridad social. Boletín técnico, históricos. https://www.dane.gov.co/index.php/estadisti-cas-por-tema/salud/informalidad-y-seguridad-social/empleo-infor-mal-y-seguridad-social-historicos.
DANE. (2018). Gran Encuesta Integrada de Hogares. Datos. https://www.dane.gov.co/index.php/estadisticas-por-tema/mercado-laboral
DiPrete, T. y Buchmann, C. (2006). Gender-specific Trends in the Value of Education and the Emerging Gender Gap in College Completion. Demography, 43(1), 1-24. https://doi.org/10.1353/dem.2006.0003
Eger, C., Miller, G. y Scarles, C. (2018). Gender and Capacity Building: A Multi-layered Study of Empowerment. World Development, (106), 207-219. https://doi.org/10.1016/j.worlddev.2018.01.024
Eide, E. y Showalter, M. (2011). Estimating the Relation between Health and Education: What Do We Know and What Do We Need to Know? Economics of Education Review, 30(5), 778-791. https://doi.org/10.1016/j.econedurev.2011.03.009
ENDS. (2018). Encuesta nacional de demografía y salud, Ministerio de salud, Bogotá. https://profamilia.org.co/investigaciones/ends/
Goldin, C. y Katz, L. (2008). Transitions: Career and Family Life Cycles of the Educational Elite. American Economic Review, 98(2), 363-69. https://doi.org/10.1257/aer.98.2.363
Gómez, S., Abadía, L. y Bernal, G. (2020). Women in STEM: Does College Boost their Performance? Higher Education, (79), 849-866.
González, C., Mora, J. y Cuadros, A. (2014). Oportunidades educativas y características familiares en Colombia: un análisis por cohortes. Revista de Economía del Rosario, 17(1), 157-187. https://repository.urosario.edu.co/handle/10336/15543
Hanushek, E. y Woessmann, L. (2012). Schooling, Educational Achievement, and the Latin American Growth Puzzle. Journal of Development Economics, 99(2), 497-512. https://doi.org/10.1016/j.jdeve-co.2012.06.004
Hanushek, E., Schwerdt, G., Woessmann, L. y Zhang, L. (2017). General Education, Vocational Education, and Labor-Market Outcomes over the Lifecycle. Journal of Human Resources, 52(1), 48-87. https://doi.org/10.3368/jhr.52.1.0415-7074R
Hanushek, E. y Woessmann, L. (2011). The Economics of International Differences in Educational Achievement. Handbook of the Economics of Education, (3), 89-200. https://doi.org/10.1016/B978-0-444-53429-3.00002-8
Heckman, J. (1979). Sample Selection Bias as a Specification Error. Econometrica: Journal of the Econometric Society, 47(1), 153-161. https://doi.org/10.2307/1912352
Hill, M. y King, E. (1995). Women's Education and Economic Well-being. Feminist Economics, 1 (2), 21-46. https://doi.org/10.1080/714042230
Jacobs, J. y Labov, T. (2002). Gender Differentials in Intermarriage among Sixteen Race and Ethnic Groups. Sociological Forum, 17(4), 621-646. https://doi.org/10.1023/A:1021029507937
Jacobs, J. (1996). Gender Inequality and Higher Education. Annual Review of Sociology, 22(1), 153-185. https://www.annualreviews.org/doi/abs/10.1146/annurev.soc.22.1.153
Kim, S. (2021). Determining Critical Factors of Gender Inequality: Evidence from 34 OECD and non-OECD Countries. World Development Perspectives, (21), 100284. https://doi.org/10.1016/j.wdp.2020.100284
Krueger, A. y Malečková, J. (2009). Attitudes and Action: Public Opinion and the Occurrence of International Terrorism. Science, 325(5947), 1534-1536. https://doi.org/10.1126/science.1170867
Londoño-Vélez, J., Rodríguez, C. y Sánchez, F. (2020). Upstream and Downstream Impacts of College Merit-based Financial Aid for Low-income Students: Ser Pilo Paga in Colombia. American Economic Journal: Economic Policy, 12(2), 193-227. https://doi.org/10.1257/pol.20180131
Manski, C. y Wise, D. (1983). College Choice in America. Harvard University Press. https://doi.org/10.4159/harvard.9780674422285
Miranda, A. y Rabe-Hesketh, S. (2006). Maximum likelihood estimation of Endogenous Switching and Sample Selection Models for Binary, Ordinal, and Count Variables. The Stata Journal, 6(3), 285-308. https://doi.org/10.1177/1536867X0600600301
ONU. (2015). Transformar nuestro mundo: la Agenda 2030 para el desarrollo sostenible. La Asamblea General. Resolución 70/1 . https://unctad.org/system/files/official-document/ares70d1_es.pdf
Page, L. y Scott-Clayton, J. (2016). Improving College Access in the United States: Barriers and Policy Responses. Economics of Education Review, (51), 4-22. https://doi.org/10.1016/j.econedurev.2016.02.009
Psacharopoulos, G. y Woodhall, M. (1993). Education for Development. Oxford University Press.
SNIES. (2019). Sistema nacional de información de la educación superior. Ministerio de Educación de Colombia. https://snies.mineducacion.gov.co/
SPADIES. (2016). Deserción estudiantil. http://spadies.mineducacion.gov.co/spadies/JSON.html
Subrahmanian, R. (2005). Gender Equality in Education: Definitions and Measurements. International Journal of Educational Development, 25(4), 395-407. https://doi.org/10.1016/j.ijedudev.2005.04.003
Ven, W. van de. y Praag, B. van. (1981). The Demand for Deductibles in Private Health Insurance: A Probit Model with Sample Selection. Journal of Econometrics, 17(2), 229-252. https://doi.org/10.1016/0304-4076(81)90028-2
Notas