La paradoja de los gemelos en Los textos de Einstein*
The twin paradox in the writings of Einstein
La paradoja de los gemelos en Los textos de Einstein*
Revista Colombiana de Filosofía de la Ciencia, vol. 19, núm. 39, pp. 11-41, 2019
Universidad El Bosque

Recepción: 16 Diciembre 2019
Aprobación: 12 Marzo 2020
Resumen: La solución clásica de la paradoja de los gemelos está basada en que hay una asimetría entre sistemas de referencia acelerados e inerciales. Esta solución tradicional señala que únicamente el gemelo en la nave experimenta los efectos relativistas y, por lo tanto, envejece durante su viaje espacial menos que su hermano en la Tierra. En este artículo se ofrece una exégesis de la solución del propio Einstein, la cual no solo es diferente, sino que además brinda motivos para preguntar si él realmente pensaba que el gemelo en la nave envejece más lentamente.
Palabras clave: paradoja, gemelos, relatividad, relojes, tiempo, Einstein.
Abstract: The classic solution of the twin paradox is based on the idea that there is an asymmetry between accelerated and inertial systems of reference. This traditional solution points out that only the twin on the spaceship experiences the relativistic effects and therefore ages less during his space trip than his brother on Earth. In this paper we offer an exegesis of Einstein’s own solution, which is not only different, but also provides reasons to ask whether he actually thought that the twin in the spaceship ages slower.
Keywords: paradox, twins, relativity, clocks, time, Einstein.
1. Introducción
Cabe aclarar ante todo que este trabajo no pretende demostrar que la paradoja de los gemelos plantea una objeción genuina contra la teoría de la relatividad. No se intenta poner de manifiesto que Einstein estaba equivocado y que los efectos relativistas son mera apariencia. Tales efectos han sido constatados mediante experimentos con el acelerador de partículas CERN, también en experimentos con partículas subatómicas (detección de muones) y con relojes atómicos colocados en aviones, e incluso la reciente detección de ondas gravitacionales corrobora las predicciones de la relatividad general.1
Este trabajo no presenta los resultados de una investigación cuantitativa. A diferencia de los artículos de física en los que se trata el tema, no se propone una versión alternativa de la paradoja a fin de realizar predicciones matemáticas sobre quién envejece en mayor medida. Tampoco se busca ofrecer una solución de la paradoja de los gemelos. El objetivo es, más bien, exponer y analizar objetivamente la solución que plantea Einstein en un texto poco citado en la bibliografía especializada. Se intenta, en primer lugar, dejar en claro que la solución que él propone no coincide con la solución tradicional de la paradoja que se halla en la mayoría de los textos de física. La lectura del texto de Einstein no deja lugar a dudas respecto a que dicha solución clásica no se le puede atribuir. En segundo lugar, se intenta poner de manifiesto, mediante un análisis riguroso del texto, que la respuesta del autor de la teoría de la relatividad acerca de cuál gemelo envejecería más lentamente (en realidad, él no hace esta pregunta específica) resulta, cuanto menos, ambigua.
El método empleado en esta investigación es exegético, es decir, se basa en una interpretación rigurosa de fuentes primarias: los escritos de Einstein en idioma original. Por lo que respecta a la estructura y el contenido del presente artículo, en primer lugar –y, sobre todo, con fines aclarativos–, se explicitan dos sentidos de la expresión “paradoja de los gemelos”. En segundo, se expone la solución tradicional de dicha paradoja, según la cual solo el gemelo en la nave acelera, padece los efectos relativistas y es quien al momento del reencuentro ha envejecido más lentamente. Acto seguido, se procede a la exégesis de pasajes de la obra de Einstein con el fin de poner de manifiesto que la solución tradicional no se puede atribuir al autor de la teoría de la relatividad. Finalmente se analiza la solución de la paradoja de los relojes gemelos tal como figura en “Diálogo sobre objeciones contra la teoría de la relatividad” (1918).
Cabe destacar, por último, que este escrito forma parte de una investigación más extensa que tiene por tema el problema del tiempo (la aporía temporal) en el marco de la historia del pensamiento occidental.
2. Los sentidos de la paradoja de los gemelos
La palabra paradoja, de origen griego, puede referir algo contrario al sentido común, o bien algo que sucede contra lo esperado y provoca asombro. La dilatación del tiempo, en cuanto fenómeno relativista, es paradójica para la comprensión vulgar del tiempo que coincide con la representación metafísica (newtoniana) del tiempo visto como algo absoluto. Max von Laue afirma:
De todas las consecuencias aparentemente paradójicas (paradox) que derivan de la transformación del tiempo en la teoría de la relatividad, probablemente no hay ninguna que el entendimiento común de cualquier persona aún no acostumbrada al asunto resista tanto como que el registro del tiempo en un reloj depende de su estado de movimiento (Bewegungszustand) (Laue 1912 118).
En su artículo de 1905, Einstein sostiene que si un reloj se mueve a lo largo de un trayecto A-B rectilíneo (o curvo), al llegar a destino ya no está sincronizado con el reloj que reposa en B (como antes de ser puesto en movimiento), sino que “lleva un retraso… con respecto al reloj que desde un principio se encontraba en B” (1905 904). Llama a este fenómeno una “consecuencia peculiar” (904), refiriéndose evidentemente al hecho de que relojes en movimiento se atrasan en una ratio definida. El primer sentido de la paradoja de los gemelos señala en dirección a esta consecuencia peculiar que se sigue de un experimento mental cuyos orígenes se remontan a reflexiones de Langevin. La paradoja de los gemelos plantea que, debido al efecto conocido como dilatación temporal, un astronauta regresaría de un viaje interestelar a velocidades próximas a la de la luz siendo considerablemente más joven que su hermano gemelo en la Tierra. Lo paradójico acá sería la idea de “gemelos de edades distintas”, y este es el primer sentido de la paradoja en cuestión.
La paradoja de los gemelos propiamente dicha no alude a esta consecuencia peculiar del movimiento de relojes explicitada por Einstein, sino a una supuesta contradicción lógica (segundo sentido de paradoja) en los fundamentos de la teoría de la relatividad; los críticos han intentado demostrar con ella, por reducción al absurdo, que la dilatación del tiempo no puede ser un fenómeno “real”, o sea que Einstein estaba equivocado y su teoría era errónea.
Aclaremos esto último. La paradoja de los gemelos propiamente dicha señala un error lógico que se deriva de la relatividad del movimiento en cuanto principio básico de la teoría. Es decir, que podría afirmarse con el mismo derecho tanto que la nave se mueve como que la nave está en reposo y la Tierra se está moviendo; en este último caso, quien sería más joven al momento del reencuentro sería el gemelo en la Tierra. Y así, como los sistemas de referencia de la nave y la Tierra están en pie de igualdad, la conclusión lógica pero absurda es que cada gemelo sería, relativamente, más joven y más viejo que el otro, al mismo tiempo. Al momento del reencuentro Pablo (nave) sería más joven que Pedro (Tierra) y, al mismo tiempo, Pedro más joven que Pablo. En otras palabras: Pablo sería más joven que sí mismo. Este absurdo lógico es lo que se conoce como paradoja de los gemelos y, como se ha señalado, los críticos han buscado desacreditar con ella la teoría de la relatividad.
La paradoja surge a partir de la opinión de que el movimiento es relativo y cualquiera de los dos gemelos puede considerar al otro como el viajero, en cuyo caso ambos gemelos concluyen que el otro debe ser más joven y entonces tenemos una contradicción lógica – una paradoja (Tippler & Llewellyn 2008 45).
3. La paradoja de los gemelos como pseudoproblema: el argumento del tIrón
La solución tradicional de la paradoja de los gemelos plantea que se trata de un pseudoproblema. Los sistemas de referencia del gemelo en la nave y del gemelo en la Tierra no están en pie de igualdad, por lo que las perspectivas no se pueden intercambiar. Se argumenta que no se puede considerar legítimamente que la nave está en reposo y que la Tierra acelera respecto a ella, ya que solo el gemelo en la nave percibe el tirón inercial cuando frena, da la vuelta y acelera nuevamente en dirección a la Tierra, mientras que el gemelo que se ha quedado en casa no lo siente. El tirón es una pauta absoluta e indubitable respecto a que únicamente la nave se está moviendo y entonces el gemelo que viaja es quien padece los efectos relativistas y al reencuentro es más joven. Feynman sintetiza magistralmente la solución tradicional:
A esto llama “paradoja” solamente aquella gente que cree que el principio de relatividad significa que todo movimiento es relativo; ellos dicen, … desde el punto de vista de Pablo, ¿no podríamos decir que es Pedro el que se está moviendo y, por lo tanto, no debería parecer que él envejece más lentamente? Por simetría, el único resultado posible es que tengan la misma edad cuando se encuentren. Pero para que se junten y puedan hacer la comparación, Pablo debe o detenerse al final del viaje y hacer una comparación de relojes, o más sencillo, volver y el que vuelve tiene que ser el hombre que se estaba moviendo, y esto él lo sabe, porque tuvo que cambiar el sentido de su movimiento. Cuando cambió el sentido, todo tipo de cosas poco comunes sucedieron en su nave espacial –los cohetes se apagaron, las cosas se apretaron contra una pared, etc.– mientras que Pedro no sintió nada. Por lo tanto, la manera de exponer la regla es decir que el hombre que sintió las aceleraciones, el que vio las cosas caer sobre las paredes, etc., es el que va a ser menor, esa es la diferencia entre ellos en un sentido “absoluto”, y es, ciertamente correcto (1998 16-4).2
Del argumento del tirón se sigue que los sistemas de la nave y de la Tierra no están en pie de igualdad, por lo que resulta ilegítimo invertir la perspectiva y plantear que la Tierra se mueve y la nave permanece en reposo. El reloj que acelera, el que va en la nave, es el que en realidad se está moviendo y el único que padece el efecto relativista de dilatación.
4. El argumento del tIrón como argumento dialéctico y el argumento del campo gravitatorio aparente
La solución tradicional de la paradoja de los gemelos, basada en el argumento del tirón, no es la solución que ha planteado Einstein en sus escritos. Conviene, ante todo, deconstruir la solución tradicional para luego considerar la propuesta por Einstein.
El núcleo conceptual de la solución tradicional apunta a la no equivalencia (asimetría) entre sistemas inerciales (sistemas de Galileo) y sistemas acelerados. Es decir que, en cuanto sistemas de referencia, la nave y la Tierra no pueden estar en pie de igualdad, porque la Tierra no acelera, sino que lo hace únicamente la nave; la prueba de eso es que solo el gemelo en la nave siente el tirón y ve cómo las cosas a su alrededor salen violentamente despedidas en la dirección del movimiento de la nave. De ese comportamiento de los cuerpos, el gemelo en la nave deduce el carácter absoluto del movimiento acelerado.
Lo primero que se puede decir contra el argumento de una asimetría entre sistemas inerciales y acelerados es que Einstein señala explícitamente en “Fundamentos de la teoría de la relatividad general” (1916) que un sistema de Galileo (inercial) y un sistema uniformemente acelerado están en pie de igualdad. En dicho texto, en efecto, figura un experimento mental que involucra un sistema de Galileo S y uno uniformemente acelerado S’, respecto al cual un cuerpo x se mueve con aceleración constante. Einstein pregunta si un observador en S’ (acelerado, como la nave en la paradoja de los gemelos) podría inferir, a partir del movimiento del cuerpo x, que él se encuentra “en un sistema de referencia ‘realmente’ acelerado” y responde que no podría, ya que el observador tendría derecho a interpretar que está en reposo y que el movimiento del cuerpo x se debe a la presencia cercana de una masa que genera un campo gravitatorio, el cual transmite aceleración uniforme al cuerpo x, a causa de lo cual este se mueve. Considérese la cita in extenso:
Sea S un sistema de referencia de Galileo, es decir, uno relativamente al cual ... una masa lo suficientemente alejada de otras masas se mueve en línea recta y con velocidad uniforme. Sea S’ un segundo sistema de coordenadas, el cual relativamente a S lleva a cabo un movimiento de traslación con aceleración uniforme. Por tanto, relativamente a S’, una masa lo suficientemente alejada de otras se movería con una aceleración tal que, tanto dicha aceleración como la dirección de la aceleración sería independiente de su constitución material y física. ¿Puede acaso un observador que se encuentre en reposo relativamente a S’ concluir a partir del comportamiento de esta masa que él se halla en un sistema de referencia “realmente” acelerado? La respuesta es negativa; porque el comportamiento referido de masas en movimiento libre se puede describir relativamente a S’ igualmente bien del siguiente modo: el sistema de referencia S’ no está acelerado; pero en la región del espacio-tiempo considerada domina un campo gravitatorio que provoca el movimiento acelerado del cuerpo con masa en relación a S’.El comportamiento mecánico de los cuerpos relativamente a S’ es el mismo que se ofrece en relación a sistemas que acostumbramos a ver como sistemas “en reposo” o “en pie de igualdad” (berechtigt). Por eso también cabe suponer que, desde el punto de vista físico, los sistemas S y S’ se pueden ver con el mismo derecho como “en reposo”, es decir que como sistemas de referencia para la descripción física de sucesos tienen el mismo derecho (gleichberechtigt) (Einstein 1916 773).
La analogía que se puede establecer a partir de esto con la paradoja de los gemelos sería del siguiente modo: el gemelo en la nave podría asumir legítimamente que la nave (sistema S’ en el párrafo citado) está en reposo y que un cuerpo masivo cercano genera un campo gravitatorio que provoca el tirón hacia delante y debido al cual los objetos alrededor salen despedidos en la dirección del movimiento que el observador dentro de la nave considera en reposo.
En Sobre la teoría de la relatividad especial y general (en adelante STR), figura otro pasaje que nos permite cuestionar las bases de la solución tradicional de la paradoja. Allí Einstein reitera la idea de que sistemas acelerados pueden interpretarse como si fueran sistemas inerciales y, por lo tanto, que pueden ser considerados como sistemas en reposo relativo. Esto significa que el movimiento acelerado no es absoluto.
Se parte de un sistema S1 cuyo espacio está físicamente vacío. Quiere decir esto que en la porción de espacio considerada no existe ni materia (en el sentido usual) ni un campo en el sentido de la teoría de la relatividad especial. Sea S2 un segundo sistema de referencia uniformemente acelerado respecto a S1. S2 no es, pues, un sistema inercial. Respecto a S2, cualquier masa de prueba se movería aceleradamente, y además independientemente de su constitución física y química. Respecto a S2, existe, por tanto, un estado que –al menos en primera aproximación– no cabe distinguir de un campo gravitacional. El estado de cosas que se percibe es por tanto compatible con la siguiente concepción: también S2 es equivalente a un “sistema inercial”, pero respecto a S2 existe un campo gravitacional (homogéneo) (Einstein 2004 103).
El argumento del tirón figura en el § 18 de str. Einstein formula un experimento mental en el cual un observador dentro de un vagón percibe el tirón, como si el tren frenara:
Si el movimiento del vagón se hace no uniforme porque el tren frena violentamente, pongamos por caso, el viajero experimentará un tirón igual de fuerte hacia adelante. El movimiento acelerado del vagón se manifiesta en el comportamiento mecánico de los cuerpos respecto a él; el comportamiento mecánico es distinto que en el caso antes considerado [movimiento rectilíneo uniforme (MRU)], y por eso parece estar excluido que con relación al vagón en movimiento no uniforme valgan las mismas leyes mecánicas que respecto al vagón en reposo o en movimiento uniforme. En cualquier caso, está claro que en relación al vagón que se mueve no uniformemente no vale el principio fundamental de Galileo. De ahí que en un primer momento nos sintamos impelidos a atribuir, en contra del principio de la relatividad general, una especie de realidad física absoluta al movimiento no uniforme ... Esta inferencia no es correcta (Einstein 2004 47).
Se observa aquí a todas luces que Einstein emplea el argumento de la solución tradicional de la paradoja únicamente como razonamiento dialéctico: la inferencia inmediata del carácter absoluto del movimiento no uniforme (acelerado) a partir del tirón no es una conclusión a la que forzosamente deba llegar el observador en el tren, conforme a lo que plantea la solución tradicional de la paradoja de los gemelos. La respuesta de Einstein a este argumento dialéctico del § 18 figura en el § 20 de str, y podría denominarse “argumento del campo gravitatorio aparente”, argumento clave en su solución de la paradoja de los relojes gemelos:
Ahora nos damos cuenta de por qué el argumento esgrimido al final del § 18 contra el principio de la relatividad general no es concluyente. Sin duda es cierto que el observador que se halla en el vagón siente un tirón hacia delante como consecuencia del frenazo, y es verdad que en eso nota la no uniformidad del movimiento. Pero nadie le obliga a atribuir el tirón a una aceleración “real” del vagón. Igual podría interpretar el episodio así: “mi cuerpo de referencia (el vagón) permanece constantemente en reposo. Sin embargo (durante el tiempo de frenada) existe respecto a él un campo gravitatorio temporalmente variable, dirigido hacia delante. Bajo la influencia de este último, el terraplén, junto con la Tierra, se mueve no uniformemente, de suerte que su velocidad inicial, dirigida hacia atrás, disminuye cada vez más. Este campo gravitatorio es también el que produce el tirón del observador” (Einstein 2004 51; énfasis fuera de texto).
El principio de relatividad general dice: “todos los cuerpos de referencia S, S’, etc., sea cual fuere su estado de movimiento, son equivalentes de cara a la descripción de la naturaleza (formulación de las leyes generales)” (Einstein 2004 46). Por otro lado, Einstein responde en “Diálogo sobre objeciones contra la teoría de la relatividad” a un argumento bastante sólido contra la posibilidad de relativizar el movimiento del tren a partir del momento en que comienza a frenar. Dicho argumento podría llamarse “de la torre de la iglesia”:
[E]l principio de relatividad general no puede responder de un modo satisfactorio para la sana razón a la pregunta obvia de por qué entonces la torre de la iglesia que está junto al tren no se ha caído cuando éste experimenta el tirón junto con todo lo demás fuera del tren (Einstein 1918 700).
La respuesta es básicamente que cuerpos en caída libre actúan como si estuvieran en reposo, o sea como sistemas inerciales:
La torre no se parte porque… está en caída libre dentro del campo gravitatorio junto con el suelo y toda la Tierra (en el momento en que se produce el tirón); en cambio una fuerza externa (el frenado) evita la caída libre del tren. Un cuerpo en caída libre se comporta, en relación a los procesos internos, como un cuerpo que flota libre de influencias externas (Einstein 1918 701).
Esta respuesta da cuenta de que el argumento del tirón no expresa la opinión de Einstein, e incluso que la inferencia del carácter absoluto (real) del movimiento acelerado en que se basa la solución tradicional de la aporía es incorrecta. ¿Qué otra cosa puede querer decir relatividad “general”, sino que tanto el movimiento rectilíneo uniforme como el movimiento acelerado son relativos y que la expresión “relatividad specialis” (o restringida a movimientos no acelerados) expresa el carácter parcial de la teoría formulada en 1905, complementada por la de 1915?
5. VarIantes de la paradoja de los gemelos en la literatura cIentífIca
Hay más de trescientos artículos sobre la paradoja de los gemelos.3 En este breve excursus consideraremos algunos de los más relevantes y en los que figuran alternativas diferentes a la solución tradicional, e incluso a la propuesta por Einstein.
Low, por ejemplo, plantea una versión en la cual “ninguno de los dos observadores es acelerado” (1990 25). En esta línea de argumentación, Maudlin señala, en parte con razón, que la solución estándar de la paradoja de los gemelos se basa en al menos tres confusiones muy extendidas. Este autor propone una solución libre de aceleración, basada exclusivamente en la geometría del espaciotiempo de Minkowski. Afirma no solo que “las aceleraciones no juegan ningún rol en la explicación del resultado final” (2014 330), sino también que “el fenómeno de los gemelos se explica sin necesidad de atribuirle a nadie ningún tipo de ‘movimiento’, ‘velocidad’ o ‘reposo’; es una simple cuestión de geometría del espacio-tiempo” (2014 332-333). Como se verá en la sección siguiente, la propuesta de Einstein y la solución que ofrece a la paradoja son muy diferentes de la solución puramente geométrica y libre de aceleración que sugiere Maudlin, dado que el experimento mental del autor de la teoría de la relatividad presenta dos relojes acelerados, uno de ellos por una fuerza que no se especifica y el otro por un campo gravitatorio aparente.4
En algunos artículos se discute críticamente la solución de Einstein en “Diálogo sobre objeciones contra la teoría de la relatividad”. Unnikrishnan, por ejemplo, señala que: “hay fallas lógicas y físicas en la utilización de la dilatación del tiempo gravitacional para resolver la paradoja de los gemelos”.
Todas las resoluciones estándar de la paradoja de los gemelos que invocan aceleración o un campo pseudo-gravitacional equivalente como efecto físico responsable de la dilatación asimétrica del tiempo son defectuosas y la resolución de Einstein no es una excepción … El fracaso de las visiones y resoluciones aceptadas puede rastrearse en el hecho de que el principio de relatividad formulado originalmente para una física de espacio vacío no es válido en un universo lleno de materia (Unnikrishnan 2014-2015.).5
Como alternativa, este autor propone algunas variantes del experimento mental en las que pone en juego intercambios de señales luminosas, indaga cuáles serían las consecuencias del efecto Doppler y propone usar la anisotropía del fondo cósmico de microondas como marco de referencia en la solución de la aporía. Grøn señala que:
Unnikrishnan critica a Einstein por haber usado la teoría de la relatividad general en su resolución de la paradoja de los gemelos, y por haber tomado en cuenta el período de aceleración del gemelo viajero cuando está por retornar junto a su hermano, dado que existen versiones de la paradoja con tres personas en movimiento inercial que han sido resueltas usando solamente la teoría de la relatividad especial (Grøn 2007 416).
Grøn también ha respondido a estas objeciones:
Unnikrishnan ha cometido algunos errores de cálculo al aplicar la teoría de la relatividad en diferentes versiones de la paradoja de los gemelos. Esto lo ha llevado a concluir que la mayoría de los análisis anteriores son insostenibles, aunque en verdad son correctos (Grøn 2007 418).
Chandru y Prabhu, por otra parte, analizan “la paradoja de los relojes en el caso en que el viaje de ida y vuelta cubren la misma distancia (según la observación del gemelo que viaja) pero a velocidades distintas… usando formulaciones de relatividad especial” (1). La conclusión a la que llegan estos autores es que “… cuando se encuentran por segunda vez, Stella [que viaja a una estrella cercana] observa que el reloj de Eartha [que permanece en la Tierra] corre más rápido” (Chandru & Prabhu 2007 7).
En un artículo escrito en coautoría, Grøn y Eriksen diseñan un experimento en el cual dos relojes realizan “movimientos hiperbólicos con velocidades y aceleraciones en direcciones opuestas relativamente a un marco de referencia inercial” (39), cuadro hipotético al que se agrega un “observador que sigue el reloj A [y] puede calcular el tiempo simultáneo del reloj B” (39). Estos investigadores concluyen su artículo del modo siguiente:
Concluimos que el reloj con mayor aceleración mostrará un tiempo propio de viaje menor entre dos eventos dados, o sea que si dos gemelos siguen los relojes, el que tenga más aceleración será más joven que su hermano cuando se encuentren nuevamente (44).
A esto agregan que “si los relojes tienen igual aceleración, como en la versión simétrica de la paradoja de los gemelos {Grøn 1988}, los relojes muestran tiempos de viaje iguales (equal travelling times)” (Grøn & Eriksen 1990 41).
En otro artículo relevante, Abramowicz y Bajtlik llegan a una conclusión similar a la de Chandru y Prabhu, es decir que dadas ciertas condiciones, el gemelo que acelera es quien envejece más:
Se afirma con frecuencia que la resolución de la clásica paradoja es que el gemelo que acelera es el más joven al momento de la reunión … Nosotros cuestionamos esta idea, empezando por describir una situación en la que, como en la versión clásica, uno de los gemelos acelera y el otro no lo hace. De manera muy distinta a como sucede en la versión clásica, el gemelo acelerado es más viejo al momento de reunión (2007 1).
Abramowicz y Bajtlik llegan a la conclusión de que “el gemelo que se mueve más rápido con respecto al estándar global es más joven al momento de reunión, independientemente de la aceleración de los gemelos” (2018 3). En alusión a este estudio, Zyga señala:
Abramowicz y Bajtlik muestran … que no es la aceleración lo que causa la diferencia de edad en la mayoría de los casos. Presentando un escenario en el que el gemelo acelerado es más viejo al momento de reunión, los científicos muestran que la diferencia final de tiempos entre los gemelos depende generalmente sólo de sus velocidades medidas con respecto a un estándar absoluto de reposo y no de la aceleración (2009 1).
Abramowicz y Bajtlik no son los únicos que afirman esto contra la interpretación clásica, también Shah sostiene en un texto reciente que si bien “las transformaciones de Lorentz no definen cuál gemelo será más joven (únicamente que no pueden tener la misma edad cuando al momento del regreso)…; el gemelo en la nave no puede regresar siendo el más joven” (2019 1).
El argumento principal contra el paradigma corrientemente aceptado [es que] si se asume que el gemelo que viaja será más joven, la velocidad de la luz aparente que mediría sería más veloz que el valor máximo permitido c, que es la velocidad de la luz a través del vacío en un sistema inercial. Esto pone de manifiesto una violación fundamental del límite universal aceptable para la velocidad de cualquier ente … [E]l gemelo que viaja en la nave, de hecho, será más viejo, en lugar de más joven, y se invierte la relación de envejecimiento que se acepta actualmente (Shah 2019 1).
En otro artículo interesante, Iorio reformula el experimento mental tradicional de los relojes, atribuyendo la aceleración del (reloj) gemelo en la nave a una fuerza finita:
El movimiento rectilíneo (en el espacio) de un reloj sobre el cual actúa continuamente una fuerza que, en cierto instante, se revierte desacelerando al reloj hasta que invierte su movimiento, luego lo acelera nuevamente, revierte una vez más su acción y desacelera nuevamente al reloj en movimiento hasta que éste se detiene y se reencuentra con el reloj en reposo (2005 17).
En concordancia con Abramowicz y Bajtlik respecto a que la velocidad es el factor decisivo (no la aceleración), el autor concluye que “el reloj en movimiento siempre queda retrasado en relación al reloj en reposo en una cantidad que depende solo de la velocidad que alcanza el reloj en movimiento cuando la fuerza invierte su acción” (Iorio 2005 18).
Grøn señala correctamente que “la paradoja de los gemelos surge de usar relatividad general en la formulación y solo relatividad especial para calcular el envejecimiento que cada gemelo predice para el otro” (2006 885), cuando en realidad, “en ambos cálculos hay que tomar en cuenta el efecto de la gravedad sobre el tiempo…, por lo que una resolución completa de la paradoja de los gemelos involucra la teoría de la relatividad general” (2006 885).6 Plantea que en el campo gravitacional que experimenta “la gemela en la nave” (2006 888) cuando frena para dar la vuelta y regresar, su hermana en la Tierra se encuentra “más arriba que ella en este campo, y envejece más rápido…, efecto [que] es mayor cuanto más fuerte es el campo gravitacional que ella experimenta” (2006 888).
En otro de sus artículos, Grøn (2013) presenta la paradoja de los gemelos en el marco de la relatividad general a partir de tres modelos de espaciotiempo: espacio vacío (libre de masa) de Minkowski, espacio de Schwarzschild y espacio de Kerr. En el espacio de Minkowski, el principio de relatividad general no es válido y por tanto el movimiento acelerado es absoluto. Grøn presta especial atención en su hipótesis a lo que denomina “efecto temporal cósmico” (cosmic time effect [2013 8]). “Hemos considerado la paradoja de los gemelos en un espaciotiempo plano y la conclusión parece ser que el gemelo que acelera cuando se encuentran lejos uno de otro es el más joven cuando se reúnen tras el viaje” (2013 5). La relatividad general plantea que para un reloj en movimiento a lo largo de una geodésica, el tiempo propio (proper time) es máximo, comparado con el registro del tiempo de ese reloj en cualquier otra trayectoria hipotética posible. En ese sentido, dice Grøn que “el gemelo que se mueve a lo largo de una curva geodésica entre dos eventos en el espaciotiempo envejece más rápido, es decir, que el gemelo en caída libre envejece más rápido” (2013 5). En un espaciotiempo de Schwarzschild, no obstante, el resultado sería diferente: “Abramowicz y Bajtlik han mostrado que la afirmación respecto a que el gemelo en caída libre envejece más rápido ... no tiene el carácter de verdad general en un espaciotiempo curvo” (2013 5 ss.). Como se verá en la sección siguiente, el experimento de Einstein se basa en dos relojes acelerados, con lo cual difícilmente se puede hablar en términos de “estándar absoluto de reposo” e incluso de un estándar en absoluto, por cuanto considera inclusive en ciertos textos que la velocidad de la luz varía localmente en tanto se curva en presencia de campos gravitatorios.7
Cabe mencionar, por último, el estudio de Minguzzi, quien provee una “fórmula simple que conecta la dilatación inercial del tiempo en el viaje de ida y vuelta con la aceleración medida por un observador no-inercial” (2004 1), con la cual el autor busca persuadir sobre la “realidad del efecto de envejecimiento diferencial” (2004 4).
Como se ha señalado, hay una cantidad ingente de trabajos sobre la paradoja de los gemelos. En vez de discutir con base en formulaciones alternativas, escenarios posibles del problema, interesa acá examinar la respuesta que el propio autor de la teoría de la relatividad ofrece en un texto de 1918 poco referido en la literatura secundaria: “Diálogo sobre objeciones contra la teoría de la relatividad”.
6. La paradoja de los relojes gemelos: la solucIón de eInstein
En el aludido “Diálogo sobre objeciones contra la teoría de la relatividad” (en adelante, “Diálogo”), Einstein presenta una versión del experimento de los gemelos y una respuesta a la objeción que acusa la existencia de una presunta paradoja en la teoría de la relatividad. Uno de los interlocutores ficticios del texto, llamado Relativista, formula un experimento mental en el marco de la relatividad general. En dicho experimento se observa lo siguiente:
Por un lado, un reloj r1 rígidamente ligado al sistema S y, por otro, un reloj r2 rígidamente ligado al sistema S’.
El sistema S y el reloj r1 son acelerados por un campo gravitatorio homogéneo en el sentido del eje negativo x, en un movimiento de ida y vuelta.
El sistema S’ y el reloj r2 son acelerados por una fuerza externa desconocida en el sentido del eje x positivo, realizando un movimiento de ida y vuelta.
El reloj que en cada caso se mueve (r1 desde la perspectiva de S’, r2 desde la perspectiva del sistema S) recorre un trayecto A-B.
Los gráficos que se muestran a continuación exponen más detalladamente este experimento con relojes hipotéticos de idéntica constitución (y que en ese sentido podrían ser considerados “relojes gemelos”). En el gráfico de la izquierda, se observa el movimiento del reloj R2 (u2 en el gráfico) desde el punto A (origen del sistema de referencia S [K en el gráfico]) hacia B y de regreso al punto A (“hin und her bewegt”), donde reposa (“ruhend”) el reloj r1 (u1). El gráfico de la derecha es una imagen de espejo del gráfico de la izquierda. En él se observa al reloj r2 (u2) en reposo en el origen del sistema de referencia S’ (K’). El reloj r1 (u1) se mueve a lo largo del eje x’ negativo (observar cómo cambia el sentido de las flechas en ambos gráficos) y regresa al origen del sistema de referencia, donde reposa r2.

El experimento mental de Einstein se despliega en cinco etapas, en cada una de las cuales se describe el movimiento de los relojes alternando el sistema de coordenadas (perspectiva). La fuerza externa y el campo gravitatorio son intermitentes, aparecen en las etapas 1 y 3, y desaparecen en las etapas 2 y 4 (mru), durante las cuales los relojes se mueven con velocidad constante. Lo fundamental para el análisis del experimento se resume en la siguiente tabla:
| Etapas | Perspectiva desde S (en “reposo”) | Perspectiva desde S’ (en “reposo”) |
| 1 | R2 acelerado por fuerza (eje x) R1 reposo | R1 acelerado por campo (eje -x) R2 en reposo |
| 2 | R2 velocidad constante R1 reposo | R1 velocidad constante R2 reposo |
| 3 | R2 acelerado (-x) R1 reposo | R1 acelerado (x) R2 reposo |
| 4 | R2 velocidad constante R1 reposo | R1 velocidad constante R2 reposo |
| 5 | R2 reposo R1 reposo | R1 reposo R2 reposo |
Los sistemas de referencia son como imágenes de espejo. Por eso, afirma el personaje Relativista:
[E]n las columnas de izquierda y derecha se describe exactamente el mismo proceso, sólo que la descripción de la izquierda se refiere al sistema S, mientras que la descripción de la derecha se refiere al sistema de coordenadas S’. Según ambas descripciones, al final del proceso considerado el reloj r2 se ha retrasado en relación al reloj r1 en una cantidad determinada. Desde la perspectiva del sistema de coordenadas S’ este comportamiento se explica del siguiente modo: Es cierto que durante las etapas 2 y 4 del proceso el reloj r1 se mueve con velocidad v y marcha más lento que el reloj r2, que está en reposo. Este retardo, no obstante, queda compensado sobremanera en la etapa 3 del proceso porque entonces el reloj r1 mantiene una marcha más veloz. Según la teoría de la relatividad general, un reloj marcha más rápido cuanto mayor es el potencial gravitacional en el lugar en que se encuentra y resulta que durante la etapa 3 del proceso r2 se encuentra, de hecho, en un lugar con mayor potencial gravitacional que r1. El cálculo da como resultado que la marcha del reloj r2 se acelera en una cantidad equivalente al doble en comparación con el retardo correspondiente a las etapas 2 y 4 del proceso. En consideración de esto, la paradoja [Paradoxon] que has alegado queda completamente esclarecida (Einstein 1918 698).
A continuación se analizan las tesis principales en esta respuesta a la paradoja.
7. Análisis exegético de la solución de einstein
7.1 Dilatación temporal por efecto del movimiento rectilíneo uniforme
“Es cierto que durante las etapas 2 y 4 del proceso el reloj r1 se mueve con velocidad v y marcha más lento que el reloj r2, que está en reposo”
Fuente: (Einstein 1918 698)
Solo se puede afirmar que el reloj r2 está en reposo y que r1 se mueve con velocidad v si se adopta el sistema S’ como marco de referencia. Si se toma S como sistema de referencia, es necesario afirmar que, durante las etapas 2 y 4, el reloj r2 se mueve con velocidad v y marcha más lento que el reloj r1, que está en reposo. En las etapas indicadas, la velocidad del movimiento relativo de los relojes alcanza uniformidad (tras la aceleración inicial de la etapa 1), de manera que la dilatación del pulso del tiempo correspondiente a dichas instancias se predice con la relatividad especial. No se equivoca Unnikrishnan cuando señala que:
Contrariamente a la mayoría de las versiones de la resolución presente en libros de texto, Einstein admitía que la dilatación temporal de la relatividad especial es simétrica para los gemelos, e invocaba, asimétricamente, la dilatación temporal de tipo gravitacional de la teoría de la relatividad general durante los breves períodos de aceleración para justificar el envejecimiento asimétrico (Unnikrishnan 2009).
7.2 El campo gravitatorio aparente
“En las columnas de izquierda y derecha se describe exactamente el mismo proceso, sólo que la descripción de la izquierda se refiere al sistema S, mientras que la descripción de la derecha se refiere al sistema de coordenadas S’ ”
Fuente: (Einstein 1918 698)
Se describe el mismo proceso porque, como se descubre a partir de la objeción final del otro personaje ficticio de “Diálogo” (llamado irónicamente Criticus), no hay realmente un campo gravitatorio actuando sobre los relojes, sino únicamente una fuerza que imprime aceleración al reloj r2. Sin embargo, dada la equivalencia entre aceleración y gravedad que postula la relatividad general, sucede que la situación del reloj r2 se interpreta desde el sistema S’ como si dicha fuerza actuara previniendo la caída libre de r2, en “reposo” en el origen del sistema, mientras que r1 cae por efecto del campo gravitatorio aparente:
Has resuelto la paradoja apelando a la influencia de un campo gravitatorio relativo a S’ que ejerce un dominio sobre los relojes. Pero ¿no es este campo gravitatorio algo meramente fingido (bloß Fingiertes)? La elección del sistema de coordenadas simula (vortäuschen) su existencia. Pero los campos gravitatorios reales son generados siempre por masas y no se los puede hacer desaparecer simplemente eligiendo un sistema de coordenadas adecuado. ¿Cómo alguien podría creer que un campo meramente ficticio puede tener alguna influencia sobre la marcha de relojes? (Einstein 1918 699).
Todo sucede como si un observador hipotético en reposo relativamente a r2 (por lo tanto también a S’) razonara, al sentir el tirón provocado por la aceleración, que la fuerza impide su caída libre en el campo gravitatorio, mientras que r1 cae libremente. Esta “ficción” es completamente análoga a la que presenta Einstein en el experimento del cajón acelerado (Einstein 2004 50) mediante el cual pone de manifiesto que, en circunstancias como las que describe el experimento mental de “Diálogo”, resulta imposible distinguir un campo gravitatorio real de uno meramente fingido, por ejemplo, por un observador que interpreta el tirón que la fuerza imprime al sistema como si esta previniera su caída libre en el campo gravitatorio. En el experimento aludido, un hombre está dentro de una especie de cajón (como un ascensor o habitación) y un ser –cuya existencia el hombre en el cajón ignora por completo– tira de una cuerda atada al techo del cajón, que entonces se mueve en el vacío con aceleración constante. El hombre siente el tirón que lo empuja en dirección al suelo, percibe su propio peso, hace experimentos con péndulos y llega a la conclusión de que se halla dentro de una habitación en reposo, quizás en un planeta (o que hay un cuerpo masivo en la cercanía), luego también infiere que la causa del comportamiento físico de los objetos que “caen” al suelo y también del tirón es la gravedad.
[E]l hombre [dentro del cajón] llegará a la conclusión de que se halla, junto con el cajón, en el seno de un campo gravitatorio bastante constante. Por un momento se sorprenderá, sin embargo, de que el cajón no caiga en este campo gravitatorio, mas luego descubre el gancho en el centro del techo y la cuerda tensa sujeta a él e infiere correctamente que el cajón cuelga en dicho campo. ¿Es lícito reírse del hombre y decir que su concepción es un error? Opino que, si queremos ser consecuentes, no podemos hacerlo, debiendo admitir por el contrario que su explicación no atenta contra la razón ni contra las leyes de la mecánica conocidas ... Para el hombre del cajón existe un campo gravitatorio, pese a no existir tal respecto al sistema de coordenadas inicialmente elegido. Diríase entonces que la existencia de un campo gravitatorio es siempre meramente aparente(Einstein 2004 50-51).
El paralelismo con el experimento de “Diálogo” se aprecia claramente en este párrafo. En un sistema de referencia la cuerda transmite aceleración al cajón (interpretación de un observador situado fuera del cajón), mientras que en el otro sistema la misma cuerda previene la caída del cajón en el campo gravitatorio, manteniéndolo en un reposo fingido. La situación del hombre dentro del cajón acelerado también es análoga a la del observador en el experimento mental del tren que frena anteriormente considerado (Einstein 2004) y, por extensión, a la situación del gemelo en la nave. El observador en cada uno de estos casos siente un tirón que atribuye a la influencia de un campo (fingido por la elección del sistema de coordenadas, como reprocha Criticus), así como que él es mantenido en reposo por una “fuerza externa” que evita su caída. La ficción –la cuerda previene la caída libre del cajón en el campo– resulta indistinguible de la situación real –un “genio maligno” tira de la cuerda del cajón que se mueve con aceleración constante en el espacio vacío. El principio de equivalencia entre aceleración y gravedad, a la base de la teoría de la relatividad general, lleva a Relativista a concluir que:
… la distinción real-irreal (real-nichtreal) no sirve de mucho en este caso. En relación a S’ “existe” un campo gravitatorio en el mismo sentido que cualquier otro objeto físico que pueda ser definido por referencia a un sistema de coordenadas y que, sin embargo, no está presente (vorhanden) en relación al sistema S … Dado el caso especial de que todas las masas tengan la misma dirección y velocidades iguales se puede anular la energía cinética total mediante la adecuada elección del sistema de coordenadas. Me parece que la analogía es total. En vez de distinguir entre “real” y “no-real” hay que distinguir más rigurosamente las magnitudes que corresponden al sistema físico como tal (independientemente de la elección del sistema de coordenadas) de las magnitudes que dependen del sistema de coordenadas (Einstein 1918 699).
Resulta notable la posición teórica que Einstein deja entrever en este párrafo respecto a la cuestión de la irrealidad o realidad (materialidad)8 del tiempo: la relatividad del tiempo simplemente no se puede plantear en términos de esa dicotomía. Cabe recordar que los críticos de la relatividad señalan, mediante la paradoja, que los efectos relativistas (el retraso de los relojes que afecta a todo proceso físico) no son “reales”, por lo que más allá de la discusión sobre qué reloj se retrasa más y cuánto, el argumento de base en “Diálogo” es de carácter ontológico-epistemológico, por cuanto se trata de redefinir lo “real” en concordancia con lo “relativo” y no ya como sinónimo de “absoluto”, o sea, independiente de los sistemas de coordenadas.9 Si bien acá no es el lugar apropiado para profundizar en esta cuestión, es oportuno señalar el vínculo entre esta problemática y el problema filosófico de la “aporía del tiempo” que comienza con la pregunta aristotélica por la relación entre tiempo y alma (Física Δ, 14) y con la constatación agustiniana del tiempo que el alma encuentra en sí misma y mide (Confesiones XI). Esta aporía ha mantenido en vilo el pensar de filósofos del siglo XX de la talla de Bergson, Ricoeur y Heidegger (entre muchos otros) y hoy persiste como una de las preguntas fundamentales del conocimiento humano.10
7.3 El potencial gravitatorio como causa de la asimetría
“Un reloj marcha más rápido cuanto mayor es el potencial gravitacional en el lugar en que se encuentra y resulta que durante la etapa 3 del proceso r2 se encuentra, de hecho, en un lugar con mayor potencial gravitacional que r1”
Fuente: (Einstein 1918 698)
El reloj r2 está en reposo en el sistema S’ y r1 en caída libre. El reloj r2 sería el que, trasladando el planteamiento a la paradoja de los gemelos, iría en la nave del observador que interpreta el tirón de la fuerza como efecto de la gravedad, así como que en realidad él está en reposo.
A esto agrega el personaje llamado Relativista que el “reloj r2 se acelera en una cantidad equivalente al doble en comparación con el retardo correspondiente a las etapas 2 y 4 del proceso”. Dado que claramente r2 viene a ser un análogo del gemelo en la nave, la conclusión a la que parece conducir la argumentación de Einstein es que al momento del reencuentro el gemelo en la nave habrá envejecido más que su hermano, contrariamente a lo que se plantea en la solución tradicional de la paradoja. Cabe recordar que algunas soluciones alternativas contemporáneas de la paradoja proponen la hipótesis de que el gemelo que viaja en la nave sería el más viejo al momento del reencuentro. Se ha aclarado en la introducción que en este escrito no se pretende determinar cuál de los gemelos envejece más. Solo señalaremos que un análisis completo del cuadro que se ofrece a partir del sistema de referencia S’ debería tener en cuenta, además de los efectos relativistas que padecen los relojes en virtud de las diferencias de potencial gravitatorio, el hecho de que r1 recorre un trayecto de ida y vuelta desde y hacia el origen de S’, recorriendo una geodésica (línea recta en un espaciotiempo curvo) que hace máximo su tiempo propio (proper time) de caída libre.
Por lo que respecta a la ratio de aceleración de r2, podemos rastrearla en un texto de 1907:
Si un reloj que da el tiempo local (Ortszeit) se encuentra en un punto P con potencial gravitacional Φ, resulta que … su registro es (1 + Φ/c2) mayor que el tiempo τ, es decir corre (1 + Φ/c2) más rápido que un reloj de idéntica constitución situado en el origen del sistema de coordenadas … [E]l reloj –y, en general, en todo proceso físico– marcha más velozmente cuanto mayor sea el potencial gravitacional del lugar en el cual tiene lugar (Einstein 1907 458).
En un texto de 1911, Einstein concluye tal como en “Diálogo”:
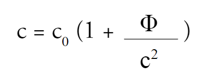
Para medir el tiempo en un lugar que tiene un potencial gravitacional Φ en relación al origen del sistema de coordenadas tendríamos que utilizar un reloj que –colocado en el origen del sistema de coordenadas– marche (1+Φ/c2) veces más lento que el reloj con el que se mide el tiempo en el origen del sistema de coordenadas. Si denominamos c0 a la velocidad de la luz en el origen del sistema de coordenadas, resulta de lo anterior que la velocidad de la luz c en un lugar con potencial gravitacional Φ viene dada por la ecuación:

Según esta teoría el principio de la constancia de la velocidad de la luz no vale en el mismo sentido que tiene en la concepción que se ha procurado situar a la base de la teoría de la relatividad habitual (Einstein 1911 906).
Conclusiones
Se ha puesto de manifiesto que la solución de Einstein, a diferencia de la solución tradicional de la paradoja, no se basa en el argumento del tirón, ni en la asimetría de sistemas inerciales y acelerados, o en el carácter absoluto del movimiento acelerado, sino en el argumento del campo gravitatorio aparente que acelera la marcha del reloj r2 (solución de Einstein), situado en un lugar con mayor potencial gravitacional. Podemos ahora resumir los puntos centrales de discusión en este trabajo:
Referencias
Abramowicz, Marek A. y Bajtlik, Stanislaw. “Adding to the Paradox: the Accelerated Twin is Older”. Physics - Classical Physics 19.10 (2018): 1-3. https://arxiv.org/abs/0905.2428
Bergson, Henri. Duración y simultaneidad (a propósito de la teoría de Einstein). Buenos Aires: Ediciones del Signo, 2005.
Canales, Jimena. The Physicist and the Philosopher. Einstein and Bergson and the Debate that Changed our Understanding of Time. New Jersey y Oxfordshire: Princeton University Press, 2015.
Cassirer, Ernst. Zur einsteinschen Relativitätstheorie. Hamburg: Felix Meiner Verlag, 2001.
Chandru, Iyer y Prabhu, Gurpur. “A Variation of the Clock Paradox and a Distinguishing Feature of an Inertial Frame”. Journal of Physics and Natural Sciences 1.1 (2007): 1-8. https://arxiv.org/ftp/arxiv/papers/0809/0809.4465.pdf.
Einstein, Albert. “Zur Elektrodynamik bewegter Körper”. Annalen der Physik 17 (1905): 891-921.
Einstein, Albert. “Über das Relativitätsprinzip und die aus demselben gezogenen Folgerungen”. Jahrbuch für Radiaktivität und Elektronik 4 (1907): 411-462.
Einstein, Albert. “Über den Einfluß der Schwerkraft auf die Ausbreitung des Lichtes”. Jahrbuch für Radioaktivität und Elektronik 4 (1911): 898-908.
Einstein, Albert. “Die Grundlage der allgemeinen Relativitätstheorie”. Annalen der Physik 49 (1916): 769-822.
Einstein, Albert. “Dialog über Einwände gegen die Relativitätstheorie”. Die Naturwissens- chaften 48 (1918): 697-702.
Einstein, Albert. Sobre la teoría de la relatividad especial y general. Madrid: Alianza, 2004.
Feynman, Richard. Física I. Volumen, radiación y calor. México D. F.: Addison Wesley & Longman Iberoamericana, 1998.
Grøn, Øyvind y Eriksen, Erik. “Relativistic Dynamics in Uniformly Accelerated Reference Frames with Application to the Clock Paradox”. European Journal of Physics 11.1 (1990): 39-44. http://iopscience.iop.org/article/10.1088/0143-0807/11/1/007.
Grøn, Øyvind. “The Twin Paradox in the Theory of Relativity”. European Journal of Physics 27.4 (2006): 885-889.
Grøn, Øyvind. “Relativistic Resolutions of the Twin Paradox”. Current Science 92.4 (2007): 416-418.
Grøn, Øyvind.“The Twin Paradox and the Principle of Relativity”. Physica Scripta 87.3 (2013): .
Hafele, Joseph C. y Richard E. Keating. “Around the World Atomic Clocks: Pre- dicted Relativistic Time Gains”. Science (New Series) 177.4044 (1972): 166- 168. https://doi.org/10.1126/science.177.4044.166.
Howard, Don. “Was Einstein Really a Realist?”. Perspectives on Science 1.1 (1974): 204-251.
Iorio, Lorenzo. “An Analytical Treatment of the Clock Paradox in the Framework of the Special and General Theories of Relativity”. Foundation of Physics Letters 18.1 (2005): 1-19. https://arxiv.org/pdf/physics/0405038.pdf.
Langevin, Paul. “L’evolution de l’espace et du temps”. Scientia 10.1 (1911): 31-54.
Laue, Max von. “Zwei Einwände gegen die Relativitätstheorie und ihre Widerlegung”. Physikalische Zeitschrift 13.1 (1912): 118-120.
Low, R. J. “An Acceleration-Free Version of the Clock Paradox”. European Journal of Physics 11.1 (1990): 25-27.
Maudlin, Tim. Filosofía de la física. I. El espacio y el tiempo. México: Fondo de Cultura Económica, 2014.
Max-Planck-Gesellschaft ©. Gravitational Waves Detected 100 years After Einstein’s Prediction, 2016. https://www.mpg.de/9953360/gravitational-wa-ves-detected.
Minguzzi, Ettore. “Differential Aging from Acceleration, an Explicit Formula”. American Journal of Physics 73.9 (2004): 1-5. https://arxiv.org/pdf/phy-sics/0411233.pdf.
Newton-Smith, William. The Structure of Time. London: Routledge & Kegan Paul, 1984.
Norton, John. “Spacetime, Tachyons, Twins and Clocks”. Einstein for Everyone, 2018. http://www.pitt.edu/~jdnorton/teaching/HPS_0410/chapters/space-time_tachyon/index.html.
Orozco, Edward. “Heidegger y Einstein: relación en torno al tiempo”. Revista Colombiana de Filosofía de la Ciencia 17.35 (2017): 65-89. https://doi.org/10.18270/rcfc.v17i35.2330.
Shah, Manhar L. “Special Relativity: Resolving the Twin Paradox While Proving the Traveling Twin Cannot Be Younger”. International Journal of Theoretical and Mathematical Physics 9.2 (2019): 55-61. https://doi.org/10.5923/j.ijtmp.20190902.06.
Shuler, Robert L. Jr. “The Twins Clock Paradox History and Perspectives”. Journal of Modern Physics 5.1 (2014): 1062-1078. http://www.scirp.org/journal/jmphttp://dx.doi.org/10.4236/jmp.2014.512108.
Tipler, Paul y Llewellyn, Ralph. Modern Physics. New York: W. H. Freeman and Company, 2008.
Unnikrishnan, C. S. “On Einstein’s Resolution of the Twin Clock Paradox”. Current Science 89.12 (2005): 2009-2015.
Zyga, Lisa. “In the Twin Paradox Twist, the Accelerated Twin is Older”. Physics. org (2009): 1-3. .
Notas
Enlace alternativo
https://revistas.unbosque.edu.co/index.php/rcfc/article/view/3025/2691 (pdf)