Recreational Water Quality Index (RWQI) for Colina Lake in Chihuahua, Mexico
Índice de Calidad de Agua para Uso Recreativo (RWQI) para el Lago Colina en Chihuahua, México
Recreational Water Quality Index (RWQI) for Colina Lake in Chihuahua, Mexico
Acta Universitaria, vol. 26, no. 3, pp. 14-22, 2016
Universidad de Guanajuato

Received: 21 July 2015
Accepted: 19 April 2016
Abstract: Recreational water use provides important benefits for human health; nevertheless, there can be adverse effects if the water is polluted. Aim of this work was to develop a Recre- ational Water Quality Index (RWQI) for Colina Lake in Mexico. Water samples were collected from March 2011 to February 2012 at seven random locations and at three depths (0.30 m,1.0 m and 2.0 m). Parameters analyzed were pH, electrical conductivity (EC), total dissolved solids (TDS), dissolved oxygen (DO), temperature (T), turbidity, total hardness (TH) chlo- rides (Cl-) and total (TC) and fecal coliforms (FC). Statistical analyses were made consider- ing a 12 x 3 factorial arrangement design while the RWQI was calculated for the 0.30 m depth. In general, results for parameters did not differ according to sampling depth or the interaction, but there were statistical differences according to sampling month. The RWQI indicates that water quality is generally adequate for recreational purposes.
Keywords: Chihuahua, coliforms, Mexico, recreation areas, quality index.
Resumen: El uso recreativo del agua ofrece importantes beneficios para la salud humana; sin embar- go, al estar contaminada puede tener efectos adversos. El objetivo de este trabajo fue desa- rrollar un Índice de Calidad del Agua para Uso Recreativo (RWQI, por sus siglas en inglés) para el lago Colina en México. Las muestras de agua se colectaron de marzo 2011 a febrero 2012 en siete sitios al azar y a tres profundidades (0.30 m, 1.0 m y 2.0 m). Se analizaron pH, conductividad eléctrica (CE), sólidos totales disueltos (SDT), oxígeno disuelto (OD), tempe- ratura (T), turbidez, dureza total (DT), cloruros (Cl-) y coliformes totales (CT) y fecales (FC). Los análisis estadísticos se realizaron considerando un diseño de arreglo factorial 12 x 3. Los resultados presentaron diferencias estadísticas solo para los meses de muestreo, ya que no se presentó efecto de interacción. El RWQI se calculó para la profundidad de 0.30 m e indicó que la calidad del agua es adecuada para fines recreativos.
Palabras clave: Chihuahua, coliformes, México, áreas recreativas, índice de calidad.
INTRODUCTION
Surface water bodies are receptors of both natural substances and anthropogenic wastes that in turn can alter their ecological capacity. Recreation- al aquatic ecosystems play an important role because direct contact with polluted waters can affect human health (Almeida, González, Maella & González, 2012; Massoud, 2012; Soller et al., 2014). Consequently, it is recommendable to assess water quality in order to know the levels and variations of certain variables to apply proper management and conservation practices (Alobaidy, Abid & Maulood, 2010). The Water Quality Index (WQI) is a methodology to determine the quality of a given water body. Any WQI is a single numerical expression to describe the pollution level that is calculated according to different variables (Dos Santos-Simoes, Moreira, Bisinoti, Gimenez & Yabe, 2008; Samboni-Ruiz, Carbajal-Escobar & Escobar, 2007; Torres, Hernán-Cruz & Patiño, 2009). Steinhart, Schierow & Sonzogni (1982) implemented one of the first WQI’s in a study of the Great Lakes using nine variables. Other overseas aquatic ecosystems have been studied for their appropriateness for recreational purposes, such as Tota Lake in Colombia (Cañon & Valdés, 2011), Pushkar Lake in India (Sharma, Yadav, Saini & Sharma, 2011) and Ahor Lake in Ghana (Amfo-Out, Wiafe & Kocke, 2011). In Mexico, as well as overseas, WQI’s have been used to determine pollution levels in various aquatic ecosystems. De la Mora, Rubio-Arias & García-Velazco (2005) developed a WQI for Chapala Lake in Jalisco, Mexico, and concluded that the lake presented different levels of contamination. There had been several water quality studies of different ecosystems in northern Mexico. Rubio-Arias, Contreras-Caraveo, Quintana, Saucedo-Terán & Pinales-Munguia (2012) developed a WQI for the Luis L. Leon Dam and found a reduction of water quality during the rainy season. Gutiérrez & Borrego (1999), Holguín et al. (2006) and Rubio-Arias, Quintana, Jiménez-Castro, Quintana & Gutiérrez (2010) have studied the quality of water in the Conchos River, which is the most important river in Chihuahua State, Mexico, and have reported that the levels of some variables are higher than safe levels identified by Mexican and international safety standards. Colina Lake, located in the State of Chihuahua, Mexico, is fed by the Conchos River. It is by far the most important recreational ecosystem in the State. A study by Rubio-Arias, Rey, Quintana, Nevarez & Palacios (2011) of this recreational lake showed the presence of Escherichia coli, which increases following the Easter holiday. However, there is still a lack of information about the water quality of Colina Lake. Consequently, the main objective of this research was to develop a WQI for recreational purposes (RWQI) using physical, chemical and microbiological variables. A second objective was to characterize the performance of each variable over the period of one year. This study will identify both the presence and variability of different parameters. This knowledge will have practical applications to preserve and conserve water quality for the benefit of all visitors and local residents.
METHODS AND MATERIALS
Study conducted from 2011 to 2012 at the Colina Lake, Municipality of San Francisco de Conchos, Chihuahua, Mexico. This man - made lake is about 3 km wide, 8 km long and 25 m - 35 m deep. This ecosystem was constructed downstream from the La Boquilla Dam and is located between latitude 27° 34’ 38’’ N and longitude 105° 23’ 48’’ W with an altitude 1250 m is shown in figure 1. Maximum ambient temperature is 41.7 °C during the summer while the minimum is -14.1 °C during the winter. Average of precipitation is 363 mm, with rainfalls occurring mainly the summer (July to September).


Water sampling
Sampling locations were determined with satellite images. Firstly, the total lake area was divided into quadrants (1 km2) and seven sites were randomly selected are shown in figure 2. Water samples were obtained monthly from March 2011 to February 2012 at seven sites and three depths: 0.30 m, 1.0 m and 2.0 m. Therefore, at the end of the study a total of 252 water samples had been collected as a product of 12 sampling months, seven sites and three depths (12 x7 x3). All water samples were analyzed for physicochemical parameters while only 144 were analyzed for microbiological parameters Total (TC) and Fecal Coliforms (FC). All samples were collected according to legislated Mexican technical standards (NMX-AA-014-1980; NOM-014-SSA1-1993).
Physicochemical analysis
The following six variables were quantified in situ: potential hydrogen (pH), electrical conductivity (EC), temperature (T), dissolved oxygen (DO), total dissolved solids (TDS) and turbidity. EC, pH and T were determined using a Waterproof pH/EC/temperature meter model 2010 (Hanna Instruments™). Results are expressed in pH units for pH, EC in µS m–1 and T in centigrade degree (°C). DO was measured using a multi-parameter meter portable model HQ30d (Hach®) and the results are expressed in mg L–1. TDS was quantified with awaterproof test model WD-35604-20 (Oakton Instruments®) and results are expressed in mg L–1. Turbidity was determined with the nephelometric method using a turbidimeter model HI93703 (Hanna Instruments®) and results are expressed in nephelometric turbidity units (NTU). Water samples were collected in 1 l bottles and placed in cold storage (4 °C) for transport to the laboratory of the College of Animal Sciences and Ecology at the Autonomous University of Chihuahua, Mexico, where chlorides (Cl-) and total hardness (TH) were quantified. Mohr method was used to determine Cl- (NMX-AA-073-SCFI-2001) and titration method using ethylenedinitrilotetraacetic acid (EDTA) to evaluate TH (NMX-AA-072-SCFI-2001). For microbiological analysis, four out of seven sampling locations were randomly se- lected and water samples were collected in special containers and transported to the College of Chemical Sciences at the Autonomous University of Chihuahua to determine TC as well as FC with the membrane filtration method (McFeters, Kippin & LeChevallier, 1986).
Statistical analysis and WQI calculation
An analysis of variance (ANOVA) was performed for each parameter considering a 12 x 3 factorial arrangement in which factor A was the sampling time with 12 levels (months) and factor B was the sampling depth with three levels (0.30 m, 1.0 m and 2.0 m) using Minitab 16.1 software (Rubio-Arias & Jiménez, 2012). A completely randomized design was used and differences were noted at a 0.05 level of significance (
= 0.05). RWQI was calculated with the methodology proposed by Rubio-Arias et al., (2012) using data from a depth of 0.30 m. RWQI was calculated in three steps: first, a specific weight (Wi ) in a range of 1 to 4 was assigned to each variable according to its impact on water quality, with 4 representing the highest level of impact and 1 the lowest. In this particular study Wi values were assigned as follows: number 4 was given to TC, FC, pH and EC; number 3 to DO, TDS, turbidity and T; number 2 to Cl- and number 1 to TH. The second step was to allocate a level for each variable (Pi ) according to the previous analysis where the optimal range of each parameter was assigned the number 1 and outside ideal ranges were assigned the number 2. For instance, the optimal FC range is 0 - 2 CFU according to Mexican standard (NOM-127-SSA1-1994). Hence, any result outside this range was assigned a value of Pi= 2. Table 1 shows the ideal ranges and the specific literature review for each variable.

As a final point, a constant (K ) was used according to the level of pollution at the time the sample was obtained. The following values were used: number 1 was given to clear water without apparent contamination (March, April, May and June); 0.75 was assigned to slightly turbid water (July, August, September and October) and 0.50 to water with apparent contamination (November, December, January and February).Once the values were assigned for Wi, Piand K, the RWQI was calculated with the following equation (1) suggested by Rubio-Arias et al. (2012).
(1)Where:
RWQI: Recreational Water Quality Index.
Wi: Specific weight of each variable (1 - 4).
Pi: Optimal level of each variable (1 - 2).
K: Constant (1, 0.75, 0.50).
The calculated RWQI classified the quality of wáter according to the following ranges: ≤ 2.0 as poor or inadequate quality for the main purposes; from 2.0 to 2.8 as good or adequate quality for the main purposes; ≥ 2.8 as excellent quality.
RESULTS
Physicochemical and microbiological parameters
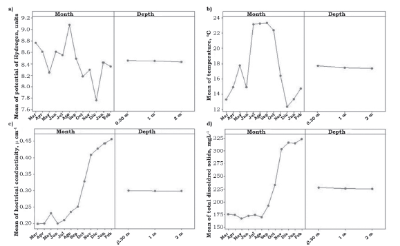
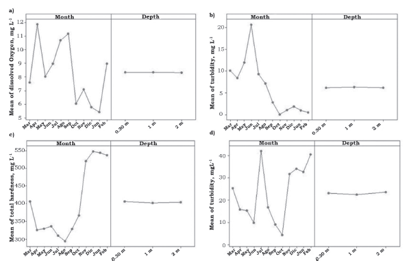
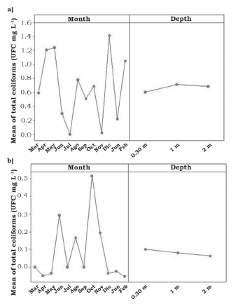
In general, the ANOVA did not identify statistical differences for the depth factor or for the month-depth interaction. However, there were statistically differences in all the tested variables for the sampling month. As well, in the cases of TC and FC, there were no differences for the sampling depth, but notable differences due to the sampling month. Table 2 shows the descriptive statistics of all variables. There was no variation in pH related to depth (P > 0.05) or the interaction (P > 0.05), but it did vary according to sampling month (P > 0.05). Figure 3a shows that pH levels ranged from 7.76 to 9.08. The T parameter varied only by month (P > 0.05) with no differences noted for depth (P < 0.05) or the interaction (P > 0.05). Figure 3b shows the distribution of this variable, with the highest temperature of 23.3 °C in August and the lowest of 12.3 °C in December. The variable EC only varied according to the sampling month (P > 0.05). Figure 3c shows an evident increase in a range from 190 μS cm–1 to 450 μS cm–1 from the beginning to the end of the year, which is possibly related to rainfall events. The variable TDS also only varied according to the sampling month (P > 0.05). Figure 3d shows this effect throughout the year, with the minimum concentration of 167 mg L–1 in may and the maximum of 323.81 mg L–1 in February. The DO varied only according to the sampling month (P > 0.05), with the maximum concentration of 11.86 mg L–1 in may and the minimum of 5.44 mg L–1 in January. Figure 4a shows that concentrations began to decrease in autumn to winter, although the concentration throughout the year remained at an acceptable level. Turbidity concentration varied only for sampling month (P > 0.05). Figure 4b shows the performance of this variable, where it can be noted that the concentration started to decrease in September. TH varied only for the sampling month (P > 0.05). Figure 4c shows the concentration of this variable throughout the year. It can be noted that the minimum level was 294.28 mg L–1 in August and the maximum was 537 mg L–1 in February. The variable Cl- only varied for the sampling mont (P > 0.05). Figure 4d shows that the highest level was in July with 42.15 mg L–1 and lowest level was in October with 4.38 mg L-1. With respect to the TC variable, the maximum concentration was in December, with 1.4 CFU 100 mg L–1, while the minimum concentration was in November with 0.02 CFU 100 mg L–1. It was noted that TC had a diverse distribution during the year is presented in figure 5a.




Recreation water quality index
Figure 6a shows the RWQI calculated for each month under study. In general, the water was classified as having good quality in most sampling months. Figure 6b shows the RWQI classifications according to seasons, from which it is clear that water quality is highest (classified as excellent) in spring (< 3.0). Figure 6b also shows that the water could be classified as good quality in summer and winter (< 2.0) but low in autumn (> 2.0).
DISCUSSION
Physicochemical and microbiological parameters
Notably pH concentrations in March and August exceeded safe use standards for recreational water (Health Canada, 2012). This could be due the Easter holiday in March when visitors to the lake may contribute to water contamination (Rubio-Arias et al., 2011) and/or due to the increased runoff of both anthropogenic and natural substances during the rainy season (Kumar, Tripathi & Garg, 2012; Massoud, 2012). In another study the prominent pH level was Importar imagen explained by CO2 emissions and precipitation of calcium carbonate (Horvatincic´, Briansó, Obelic´, Barešic´ & Bronic´, 2006), while researchers in Bangladesh explained the range in pH levels from 7.98 to 8.12 as due to the presence of CO2 (Rahman et al., 2011). It is clear that this variation in the water is due to changes in the weather in the region. It should be noted that Colina Lake is located in a zone where there are high temperatures (> 38 °C) in summer and below zero temperatures (-5 °C) in winter. Temperatures at Colina Lake contrast with those in other regions of Mexico. For instance, a study to calculate WQI at Chapala Lake in Jalisco, Mexico, found an average tempera- ture of 21 °C without significant changes (Castelán, Mora-Zúñiga, Molina-Astudillo & García-Rodríguez, 2004). TDS levels were within tolerable levels for recreational purposes, although there was an evident rise from September to February (ANZECC & ARMCANZ, 2000). Values ranged from 0.11 to 20.68 NTU, which were acceptable for recreational activities (Health Canada, 2012). Whereas that, all Cl- concentrations remained within the established limits for safety. High concentration in July could be due to runoff associated with domestic water use and fertilizers (Rahman et al., 2011). TC levels increased in April and May, which is the beginning of the tourist season. Our results agree with other studies carried out at Colina Lake in 2011 that showed that TC increased after the Easter holiday (Rubio-Arias et al., 2011). In December, these microorganisms found an appropriate environment for their development. It should be noted that such bacteria can spend long periods in cold water when they have adapted to low temperatures (ANZECC & ARMCANZ, 2000). For example, the researchers Ksoll, Ishii, Sadowsky & Hicks (2007) found that coliforms persisted in Superior Lake even when the lake freezes over. It should be noted that Colina Lake is located close to areas with agricultural production. As well, there is housing around. Consequently, there are an increasingly large number of microorganisms in run- off and wastewater discharges (Sampson, Swiatnicki, McDermott & Kleinheinz, 2006). Maximum concentration of FC microorganisms was found in October, with 0.51 CFU 100 mg L–1, while lowest concentrations of 0.05 CFU 100 mg L–1 were found in April and December are shown in figure 5b. It is important to note that throughout the study this variable remained below the maximum limits established for recreational water (SEDUE, 1989; U.S.EPA, 2012). This type of bacteria survives for only short periods of time in water. Consequently, their presence is evidence of recent fecal contamination (Hazen & Toranzos, 1990).

Recreation Water Quality Index
The RWQI demonstrated that the water quality was evidently low from July to October, which constitutes the rainy season and the peak period for tourism. The original hypothesis was that water would be low during the Easter holiday, but during this year in particular the number of visitors was lower than in other years. Meteorological, hydrological, geomorphologic and topographic factors, as well as physicochemical processes contribute contaminating substances that alter the ecological equilibrium of aquatic ecosystems (Tebbutt, 1998). For instance, rainfall events produce runoff containing contaminants from agricultural areas, cattle production systems, micro industries, and urban zones (Hou et al., 2016; Rubio-Arias et al., 2011; Rubio-Arias et al., 2013). Hou et al. (2016) mentioned that agricultural and domestic activities are the main cause of variation of quality in aquatic ecosystems. Rubio-Arias et al. (2013) developed a WQI for manmade dam in Mexico, detecting the worst quality of water from July to September (rainy season). It is important to take into account variables with high specific weight, such as TC, FC, pH and EC, in calculating the RWQI. Results revealed that the annual averages for these indicators were generally in the acceptable level for recreational purposes. It is also important to point out that different studies overseas have shown water quality indexes such as an Iraq (Alobaidy et al., 2010) and Nigeria (Yisa & Jimoth, 2010) lake environments, and other aquatic ecosystems (Lobato et al., 2015; Rabee, Abdul-Kareem & Al-Dhamin, 2011; Rejith, Jeeva, Vijith, Sowmya & Hatha, 2009). Moreover, in Mexico there has been some research concerning water quality indexes in the States of Chihuahua (Rubio et al., 2013) and Jalisco (De la Mora et al., 2005); nevertheless, the results presented here were the first calculation of a recreational index.
CONCLUSIONS
It was possible to develop a RWQI using physical, chemical and microbiological variables for Colina Lake, suggesting that the water can be considered acceptable for recreational purposes. The eight analyzed parameters presented temporal and spatial variations in water properties. Is important to point out that the quality is low in autumn so people should be alerted to potential health problems. Is recommended to keep monitoring the water of this ecosystem to help the authorities at all levels to manage and protect the natural resources of the region.
REFERENCES
Almeida, C., González, S. O., Mallea, M., & González, P. (2012). A Recreational Water Quality Index using chemical, physical and microbiological parameters. Environmental Science and Pollution Research, 19(8), 3400-3411.
Alobaidy, A. H., Abid, M. J., & Maulood, B. K. (2010). Application of Water Quality Index for assessment of Dokan Lake Ecosystem, Kurdistan Region, Iraq. Journal of Water Resource and Protection, 2(9), 792-798.
Amfo-Otu, R., Wiafe, E. D., & Kocke B. B. (2011). Assessment of water quality in Ahor Lake, Ghana. African Journal of Environmental Science and Technology, 5(12), 1093-1099.
Australian and New Zealand Environment and Conservation Council & Agriculture and Resource Management Council of Australia and New Zealand, Canberra, Australia. ANZECC and ARMCANZ. Australian and New Zealand guide- lines for fresh and marine water quality. (2000). Retrieved May 17, 2015, from http://www.environment.gov.au/system/files/resources/53cda9ea-7ec2-49d4af29d1dde09e96ef/files/nwqms-guidelines-4-vol1.pdf
Basu, P. K., Avaria, M., Cutz, A., & Chipman, M. (1984). Ocular effects of water from acidic lakes: an experimental study. Canadian Journal of Ophthalmology, 19(3), 134-141.
Cañón, J., & Valdés, J. (2011). Assessing the influence of global climate and anthropogenic activities on the water balance of an Andean Lake. Journal of Water Resource and Protection, 3(12), 883-891.
Castelán, Q. H., Mora-Zúñiga, L. M., Molina-Astudillo, I., & García-Rodríguez, J. (2004). Variación de los organismos fitoplanctónicos y la calidad del agua en el Lago de Chapala, Jalisco, México. Acta Universitaria, 14(1), 47-58.
De la Mora, O. C., Rubio-Arias, H. O., & García-Velasco, H. (2005). Índice de Cali- dad de Agua en el Lago Chapala, Jalisco, México. Contribución al estudio de servicios ambientales, Jalisco, México. Libro Técnico No. 1. Jalisco, México: INIFAP-SAGARPA. (pp. 33-54).
Dos Santos-Simoes, F., Moreira, A. B., Bisinoti, M. C., Gimenez, S. M. N., & Yabe,M. J. S. (2008). Water quality index as a simple indicator of aquaculture effectson aquatic bodies. Ecological indicators, 8(5), 476-484.
Fuentes, F., & Massol-Deyá, A. (2002). Manual de ecología microbiana. Departamento de Biología. Universidad de Puerto Rico. Retrieved March 18, 2015, from http://ocw.um.es/ciencias/ecologia/lectura-obligatoria-1/p1-intro.pdf
Gutiérrez, M., & Borrego, P. (1999). Water quality assessment of the Rio Conchos, Chihuahua, Mexico. Environment International, 25(5), 573-583.
Hazen, T. C., & Toranzos, G. A. (1990). Tropical source water. In: McFeters GA. (Ed.), Drinking water microbiology. (pp. 33-53). New York: Springer-Verlag.
Health Canada. (2012). Guidelines for Canadian Recreational Water Quality. 3th Edition, Water, Air and Climate Change Bureau, Healthy Environments and Consumer Safety Branch, Health Canada, Ottawa, Ontario.
Holguín, C., Rubio, H., Olave, M. E., Saucedo, R. A., Gutiérrez, M., & Bautista, R. G. (2006). Calidad del agua de Río Conchos en la Región de Ojinaga, Chihuahua: Parámetros fisicoquímicos, metales y metaloides. Universidad y Ciencia, 22(1), 51-63.
Horvatincić, N., Briansó, J. L., Obelić, B., Barešić, J., & Bronić, I. K. (2006). Studyof pollution of the Plitvice Lakes by water and sediment analyses. Water, Air& Soil Pollution, 6(5), 475-485.
Hou, W., Sun, S., Wang, M., Li, X., Zhang, N., Xin, X., Sun, L., Li, W., & Jia, R. (2016). Assenssing water quality of five typical reservoirs in lower reaches of Yellow River, China: Using a water quality index method. Ecological Indica- tors, 61, 309-316.
Ksoll, W. B., Ishii, S., Sadowsky, M. J., & Hicks, R. E. (2007). Presence and sources of fecal coliform bacteria in epilithic peripyhton communities of Lake Superior. Applied and Environmental Microbiology, 73(12), 3771-3778.
Kumar, S., Tripathi, V. R., & Garg, S. K. (2012). Physicochemical and microbiological assessment of recreational and drinking waters. Environmental monitoring and assessment, 184(5), 2691-2698.
LENNTECH. (2015). Water treatment solutions. Retrieved Januaary 10, 2015, from http://www.lenntech.es/por-que-es-importante-el-oxigeno-disuelto-en-el-agua
Lobato, T. C., Hauser-Davis, R. A., Oliveira, T. F., Silveira, A. M., Silva, H. A. N., Tavares, M. R. M., & Saraiva, A. C. F. (2015). Construction of a novel water quality index and quality indicator for reservoir water quality evaluation: A case study in the Amazon region. Journal of Hydrology, 522,-674-683.
Massoud, M. A. (2012). Assessment of water quality along a recreational section of the Damour River in Lebanon using the Water Quality Index. Environmental Monitoring and Assessment, 184(7), 4151-4160.
McFeters, G. A., Kippin, J. S., & LeChevallier, M. W. (1986). Injured coliforms in drinking water. Applied and Environmental Microbiology, 51(1), 1-5.
Norma Oficial Mexicana. (1980). NMX-AA-014-1980 Receiver bodies. Sampling. Retrieved January 20, 2012 from http://www.conagua.gob.mx/CONAGUA07/Noticias/NMX-AA-014-1980.pdf
Norma Oficial Mexicana. (1993). NOM-014-SSA1-1993. Procedimientos sanitarios para el muestreo de agua para uso y consumo humano en sistemas de abastecimiento de agua públicos y privados. Retrieved january 15, 2012, from http://www.imta.gob.mx/cotennser/images/docs/NOM/NOM-014-SSA1-1993.pdf
Norma Oficial Mexicana. (1994). NOM-127-SSA1-1994. Salud ambiental, agua para uso y consumo humano-límites permisibles de calidad y tratamientos a que debe someterse el agua para su potabilización. Retrieved march 2, 2015, from http://www.imta.gob.mx/cotennser/images/docs/NOM/NOM-127-SSA1-1994.pdf
Norma Oficial Mexicana. (2001). NMX-AA-072_SCFI-2001. Water analysis - de- termination of total hardness in natural, wastewaters and wastewaters treat- ed - test method. Retrieved February 18, 2012, from http://www.imta.gob.mx/cotennser/images/docs/NOM/NMX-AA-072-SCFI-2001.pdf
Norma Oficial Mexicana. (2001). NMX-AA-073-SCFI-2001. Water analysis-determi- nation of total chlorine in natural water, wastewaters and wastewaters treat- ed-test method. Retrieved February 23, 2012, from http://www.imta.gob.mx/cotennser/images/docs/NOM/NMX-AA-073-SCFI-2001.pdf
Rabee, A. M., Abdul-Kareem, B. M., & Al-Dhamin, A. S. (2011). Seasonal variations of some ecological parameters in Tigris River water at Baghdad Region Iraq. Journal of Water Resource and Protection, 3(4), 262-267.
Rahman, I. M. M., Islam, M. M., Hossain, M. M., Hossain, M. S., Begum, Z. A., Chowdhury, D. A., Chakraborty, M. K., Raham, M. A., Nazimuddin, M., & Hasegawa, H. (2011). Stagnant Surface Water Bodies (SSWBs) as an alternative water resource for the Chittagong metropolitan area of Bangladesh: physicochemical characterization in terms of water quality indices. Environmental monitoring and assessment, 173(1-4), 669-684.
Rejith, P. G., Jeeva, S. P., Vijith, H., Sowmya, M., & Hatha, A. M. (2009). Determination of groundwater quality index of a highland village of Kerala (India) using geographical information system. Journal of Environmental Health, 71, 51-58.
Rubio-Arias, H., Contreras-Caraveo, M., Quintana, R. M., Saucedo-Terán, R. A., & Pinales-Munguia, A. (2012). An overall Water Quality Index (WQI) for a man-made aquatic reservoir in Mexico. International Journal of Environmental Research and Public Health, 9(5), 1687-1698.
Rubio-Arias, H., & Jiménez, J. A. (2012). Estadística Aplicada y Análisis con Minitab. 1st ed. Chihuahua: Universidad Autónoma de Chihuahua.
Rubio-Arias, H., Ochoa-Rivero, J. M., Quintana, R. M., Saucedo-Teran, R., Ortiz- Delgado, R. C., Rey-Burciaga, N. I., & Espinoza-Prieto, J. R. (2013). Development of a water quality index (WQI) of an artificial aquatic ecosystem in Mexico. Journal of Environmental Protection, 4(11), 1296-1306.
Rubio-Arias, H., Quintana, C., Jiménez-Castro, J., Quintana, R., & Gutiérrez, M. (2010). Contamination of the Conchos River in Mexico; Does It pose a health risk to local residents? International Journal of Environmental Research and Public Health, 7(5), 2071-2084.
Rubio-Arias, H., Rey, N. I., Quintana, R. M., Nevarez G. V., & Palacios, O. (2011). Coliform and metal contamination in Lago de Colina, a recreational water body in Chihuahua State, Mexico. International Journal of Environmental Research and Public Health, 8(6), 2386-2400.
Samboni-Ruiz, N. E., Carbajal-Escobar, Y., & Escobar, J. C. (2007). Revisión de parámetros fisicoquímicos como indicadores de calidad y contaminación del agua. Ingeniería Investigación, 27(3), 172-181.
Sampson, R. W., Swiatnicki, S. A., McDermott, C. M., & Kleinheinz, G. T. (2006). The effects of rainfall on Escherichia coli and total coliform levels at 15 Lake Superior recreational beaches. Water Resources Management, 20(1), 151-159.
Sawyer, C. N., McCarty, P. L., & Parkin, G. F. (2001). Química para ingeniería ambiental. Bogotá: McGraw-Hill.
Secretaría de Desarrollo Urbano y Ecología. (1989). SEDUE. Criterios Ecológicos de Calidad del Agua - CE-CCA-001/89. Diario Oficial de la Federación, 13 de diciembre de 1989. Retrieved March 3, 2015, from http://www.dof.gob.mx/nota_detalle.php?codigo=4837548&fecha=13/12/1989
Sharma, S., Yadav, R. K., Saini, Y., & Sharma, S. (2011). Water quality status of Pushkar Lake as primary data for sustainable development. South Asian Journal of Tourism and Heritage, 4(2), 184-192.
Soller, A. J, Schoen, M. E., Varghese, A., Ichida, A. M., Boehm, A. B., Eftim, S., Ashbolt, N. J., & Ravenscroft, J. E. (2014). Human health risk implications of multiple sources of faecal indicator bacteria in a recreational waterbody. Water Research, 66, 254-264.
Sorensen, D. L., McCarthy, M. M., Middlebrooks, E. J., & Porcella. D. B. (1977). Suspended and dissolved solids effects on freshwater biota: a review. US Environmental Protection Agency, EPA-600/3-77-042. Retrieved May 2, 2015. from http://books.google.com.mx/books?hl=es&lr=&id=DO6n7e_36JMC&oi=fnd&pg=PA1&dq=Suspended+and+Dissolved+Solids+Effects+on+Freshwater+Biota:+a+Review&ots=5xcyq0q7TI&sig=HFPPLMblYxZLr4mH3plUvQe6o#v=onepage&q=Suspended%20and%20Dissolved%20Solids%20Ef-fects%20on%20Freshwater%20Biota%3A%20a%20Review&f=false
Steinhart, C. E., Schierow, L. J., & Sonzogni, W. C. (1982). An Environmental Quality Index for the Great Lakes. Journal of the American Water Resources Association, 18(6), 1025-1031.
Tebbutt, T. H. Y. (1998). Principles of water quality control. 5th ed. Oxford: Butter- worth-Heinemann.
Torres, P., Hernán-Cruz, C., & Patiño, P. J. (2009). Índices de Calidad de Agua en fuentes utilizadas en la producción de agua para consumo humano, una revisión crítica. Revista Ingenierías Universidad de Medellín, 8(15), 79-94.
United States Environmental Protection Agency. U.S. EPA. (1986). Quality criteria for water. EPA 440/5-86-001. Office of Water, Washington, DC. Retrieved May 7, 2015, from http://water.epa.gov/scitech/swguidance/standards/crite-ria/aqlife/upload/2009_01_13_criteria_goldbook.pdf
United States Environmental Protection Agency. U. S. EPA. (2012). Recreational water quality criteria. Retrieved March 13, 2015, from http://www.water.epa.gov/scitech/swguidance/standards/criteria/health/recreation/
Wheaton, F. W. (1982). Acuacultura. Diseño y Construcción de Sistemas. México, D.F.: AGT-México.
Yisa, J., & Jimoh, T. (2010). Analytical studies on water quality index of River Landzu. American Journal of Applied Sciences, 7(4), 453-458.
Author notes