Efecto del cloruro de cadmio durante el desarrollo larvario de la rana toro Lithobates catesbeianus (Shaw, 1802)
Effect of cadmium chloride during larval development of American bullfrog Lithobates catesbeianus (Shaw, 1802)
Efecto del cloruro de cadmio durante el desarrollo larvario de la rana toro Lithobates catesbeianus (Shaw, 1802)
Acta Universitaria, vol. 29, pp. 1-11, 2019
Universidad de Guanajuato
Recepción: 24 Abril 2017
Aprobación: 11 Enero 2019
Publicación: 03 Mayo 2019
Resumen: Renacuajos de rana toro Lithobates catesbeianus fueron expuestos bajo condiciones de laboratorio a cinco concentraciones de cloruro de cadmio (0.05 mg/L, 0.10 mg/L, 0.125 mg/L, 0.15 mg/L y 0.175 mg/L), para examinar los efectos en el tejido hepático y determinar la concentración letal media (CL50) durante el desarrollo larval. Se utilizaron 60 renacuajos por ensayo entre los estadios 21-25 de Gosner; se colocaron 10 individuos por recipiente en dos litros de agua a diferentes concentraciones del metal durante 96 horas. Una vez terminados los ensayos, se extrajeron los hígados de los organismos para realizar un análisis histológico convencional. La concentración correspondiente al 50% de mortalidad de las larvas obtenidas mediante el software EPA Probit fue de 0.115 mg/L. El análisis histológico mostró mayor deterioro en la estructura celular hepática a medida que fueron aumentando las concentraciones del metal. Por lo tanto, se determinó que estos organismos son sensibles a bajas concentraciones de cloruro de cadmio.
Palabras clave: Lithobates catesbeianus, renacuajos, concentración letal media, cloruro de cadmio.
Abstract: American bullfrog tadpoles were exposed to laboratory conditions at five concentrations (0.05 mg/L, 0.10 mg/L, 0.125 mg/L, 0.15 mg/L and 0.175 mg/L) of cadmium chloride, in order to determine the median lethal concentration (LC50) and the effects on the liver tissue during larval development. Sixty tadpoles in Gosner’s 21-25 stages were placed in two liters of water with different concentrations of metal for 96 hours, using 10 individuals per container with each metal concentration. Essays were repeated twice. Once tests were completed, the livers were extracted for conventional histology analysis. The concentration corresponding to 50% mortality of the larvae obtained by the EPA Probit software was 0115 mg/L. The histological analysis showed a greater cell damage as concentrations of metal were increasing. Therefore, it was determined that these organisms are sensitive to low concentrations of cadmium chloride.
Keywords: Lithobates catesbeianus, tadpoles, median lethal concentration, cadmium chloride.
INTRODUCCIÓN
Los anfibios son organismos que se caracterizan por mantener una gran dependencia del agua, un ciclo de vida complejo y por poseer una sensibilidad fisiológica ante las condiciones ambientales (Duellman & Trueb, 1994). Tienen un tegumento altamente permeable, cuya estructura además de protegerlo resulta fundamental para el intercambio gaseoso. El desarrollo embrionario es dependiente del agua, por lo que los estadios larvales y embrionarios están particularmente expuestos a contaminantes y juegan un papel significante en los programas de biomonitoreo (Gürkan, Çetin & Hayretdaĝ, 2014). Se considera que los anfibios son buenos bioindicadores de contaminación ambiental debido a su susceptibilidad a la contaminación ambiental durante sus ciclos de desarrollo en el agua. Por esta razón, son usados en estudios de toxicología acuática (Venturino et al., 2003). Lo anterior hace de especial interés su estudio en el marco de una investigación ecotoxicológica, ya que permite evaluar ambientes acuáticos que funcionan como cuerpos receptores de contaminación, siendo los anfibios uno de los grupos biológicos más afectados por las alteraciones de su entorno ecológico (Agostini, 2013; Sparling, Bishop & Linder, 2000; Wells, 2007).
Existe una creciente preocupación sobre la disminución mundial en las poblaciones de anfibios (Grillitsch & Chovanec, 1994; Rowe, Hopkins & Bridges, 2003). Dicha disminución es atribuida, entre otros factores, a la enorme cantidad de desechos producto de actividades antropogénicas, que son descargados en los cuerpos de agua. Un declive en las poblaciones de anfibios debido a la contaminación no solo conduce a una disminución en la biodiversidad, sino que puede llegar a tener impactos en la estructura trófica de algunos hábitats (Home & Dunson, 1994; Venturino et al., 2003).
Los estudios en donde los anfibios han sido utilizados como bioindicadores de contaminación en la etapa pre metamórfica, incluyen análisis del daño celular y tisular en diversos órganos (Seixas et al., 2017), retraso en el crecimiento, teratomas y regeneración de extremidades (Khangarot & Ray, 1987; Nebeker, Schuytem & Ott,1994), daño genético (Campana, Panzeri, Moreno & Dulout, 2003; Machado da Rocha et al., 2012), efecto en el desarrollo ocasionado por metales pesados (Khangarot & Ray, 1987; Rowe et al., 2003) entre otros, los que han servido para evaluar la presencia y los efectos de algunos compuestos considerados como agentes externos potencialmente contaminantes.
Los metales pesados son algunos de los principales contaminantes que reciben los depósitos naturales de agua en general, los cuales han demostrado ser peligrosos para los organismos acuáticos por su persistencia y toxicidad, ya que pueden incorporarse a la cadena alimenticia y ser bioconcentrados por los organismos (Burger & Nodgrass, 1998; Taiwo, Henry & Imbufe, 2014). Entre ellos, el cadmio (Cd) ha sido detectado en más de 1000 especies de flora y fauna, tanto acuática como terrestre (United States Environmental Protection Agengy Office of Water [USEPA], 2001; 1999). El cadmio está presente en la naturaleza en distintos tipos de rocas, sedimentos marinos y en el agua de mar, producto del aporte de fenómenos como las erupciones volcánicas y los incendios forestales (Group of Experts on the Scientific Aspects of Pollution [GESAMP], 1985). Considerado el más móvil de los contaminantes metálicos del ambiente acuático, es también bioacumulable y persistente, con tiempos de vida media estimados entre 10 y 30 años (Greenpeace, 2000).
Los anfibios presentan una gran variedad de respuestas subletales como cambios en crecimiento, rangos de desarrollo, pigmentación y deformidades morfológicas en un menor tiempo de exposición a contaminantes ambientales (Khangarot & Ray, 1987), siendo residentes de sistemas acuáticos y por poseer la característica ya mencionada de piel semipermeable, son particularmente susceptibles a la contaminación por metales pesados (Taiwo et al., 2014). Aun cuando se han realizado diversos estudios ambientales y ecotoxicológicos con la rana toro, existen pocos trabajos de exposición a metales en las primeras fases de su desarrollo embrionario y larvario. El presente trabajo consistió en exponer renacuajos de rana toro Lithobates catesbeianus (Shaw, 1802) en condiciones controladas a distintas concentraciones de CdCl2 para evaluar su efecto en función de la mortalidad y analizar el daño en el tejido hepático mediante técnica histológica convencional.
MATERIALES Y MÉTODOS
Organismos de estudio
Se utilizaron renacuajos de Lithobates catesbeianus de 3 cm a 5 cm de longitud que, de acuerdo a Gosner (1960), corresponden a los estadios 21 a 25, considerados como etapas en las cuales los principales órganos del metabolismo larval ya se encuentran desarrollados. Los renacuajos fueron adquiridos de la Unidad de Manejo de para la conservación de la vida Silvestre (UMA) Aquanimals, S.A. de C.V. (Secretaría de Medio Ambiente y Recursos Naturales [Semarnat]-UMA-IN-00037-QRO). Antes del experimento, los ejemplares se aclimataron durante una semana. Durante este periodo los organismos se mantuvieron en condiciones estándar de temperatura (25 °C a 28 ºC), fotoperiodo de 12 h luz y 12 h oscuridad, aireación constante, alimentación ad libitum una vez al día, pero en horarios variables con alimento balanceado comercial para peces como bagre y trucha.
Bioensayos preliminares
Para determinar las concentraciones a utilizar en la obtención de la CL50, se realizaron dos bioensayos preliminares, los que permitieron definir de una manera más precisa los rangos de concentración del Cloruro de Cadmio (CdCl2), expresado en mg/L. Se asignaron 4 renacuajos del mismo tamaño (3 cm a 5 cm) por pecera de manera aleatoria. Se colocaron las peceras de plástico con aireación independiente y se adicionó el CdCl2 (Merck) anhidro, a partir de una solución “stock” preparada con agua destilada. Las concentraciones probadas fueron para el primer bioensayo preliminar: 0.5 mg/L, 1.0 mg/L, 2.0 mg/L, 3.0 mg/L y 4.0 mg/L y 0.0125 mg/L, 0.025 mg/L, 0.05 mg/L, 0.10 mg/L y 0.20 mg/L para el segundo.
Obtención de la CL50
Para la obtención de la CL50 se realizaron dos bioensayos. Para el primer bioensayo se utilizaron las siguientes concentraciones de CdCl2: 0.10 mg/L, 0.15 mg/L, 0.175 mg/L, 0.20 mg/L y 0.25 mg/L, mientras que para el segundo bioensayo fueron: 0.05 mg/L, 0.10 mg/L, 0.125 mg/L, 0.15 mg/L y 0.175 mg/L. En ambos casos, se colocó un grupo sin tratamiento como control negativo. La longitud de los organismos fue de 3 cm a 5 cm (estadios 21 a 25 de Gosner, 1960). El sistema biológico consistente en recipientes de plástico (15 cm × 20 cm × 15 cm), conteniendo 2 L de agua purificada de laboratorio, suplementado con aireación constante, temperatura controlada (25 ºC a 26 ºC.) y alimentación “ad libitum”. Se utilizaron 120 ejemplares, a razón de 10 renacuajos por recipiente, distribuidos de la siguiente manera: un grupo control sin tratamiento y cinco contenedores con las siguientes concentraciones de CdCl2: 0.10 mg/L, 0.15 mg/L, 0.175 mg/L, 0.20 mg/L y 0.25 mg/L para el primer bioensayo y: 0.05 mg/L, 0.10 mg/L, 0.125 mg/L, 0.15 mg/L y 0.175 mg/L para el segundo. Para la preparación de las distintas concentraciones se partió de una solución stock de 1000 mg de CdCl2 /L en agua.
Una vez iniciado el experimento se hicieron observaciones durante 96 horas, con el fin de evaluar la mortalidad de los renacuajos y calcular la CL50. Durante el experimento se registró la hora de muerte de los organismos e información correspondiente a las concentraciones. Para evaluación de la mortalidad y el cálculo de la CL50, los renacuajos fueron monitoreados durante 96 horas, registrando la cantidad y la hora de muerte de los individuos e información correspondiente a las concentraciones. Se realizó la disección, obtención de tejido hepático y fijación en una solución de formol al 10% con buffer de fosfatos, para su posterior análisis mediante técnica histológica convencional.
Evaluación histológica
Al finalizar el tiempo de exposición, la obtención del hígado de los renacuajos se realizó con ayuda de un microscopio estereoscópico, navajas y pinzas de punta fina. Se obtuvieron muestras de tejido hepático de 5 mm de grosor, se deshidrataron en alcoholes graduales y se incluyeron en parafina utilizando un histoquinette Leica TP1020. Los cortes de 3 µm se realizaron con un micrótomo rotatorio Leica Modelo. Fueron teñidos con hematoxilina y eosina (HE) y se montaron con bálsamo de Canadá. Los cortes fueron observados en un microscopio invertido Nikon Eclipse Modelo TE 2000-U.
Análisis estadístico
Los resultados se obtuvieron con el promedio de los bioensayos efectuados por duplicado y la determinación de la CL50 se llevó a cabo utilizando el software Enviromental Protection Agency Probit (versión 1.5).
RESULTADOS
Bioensayos preliminares
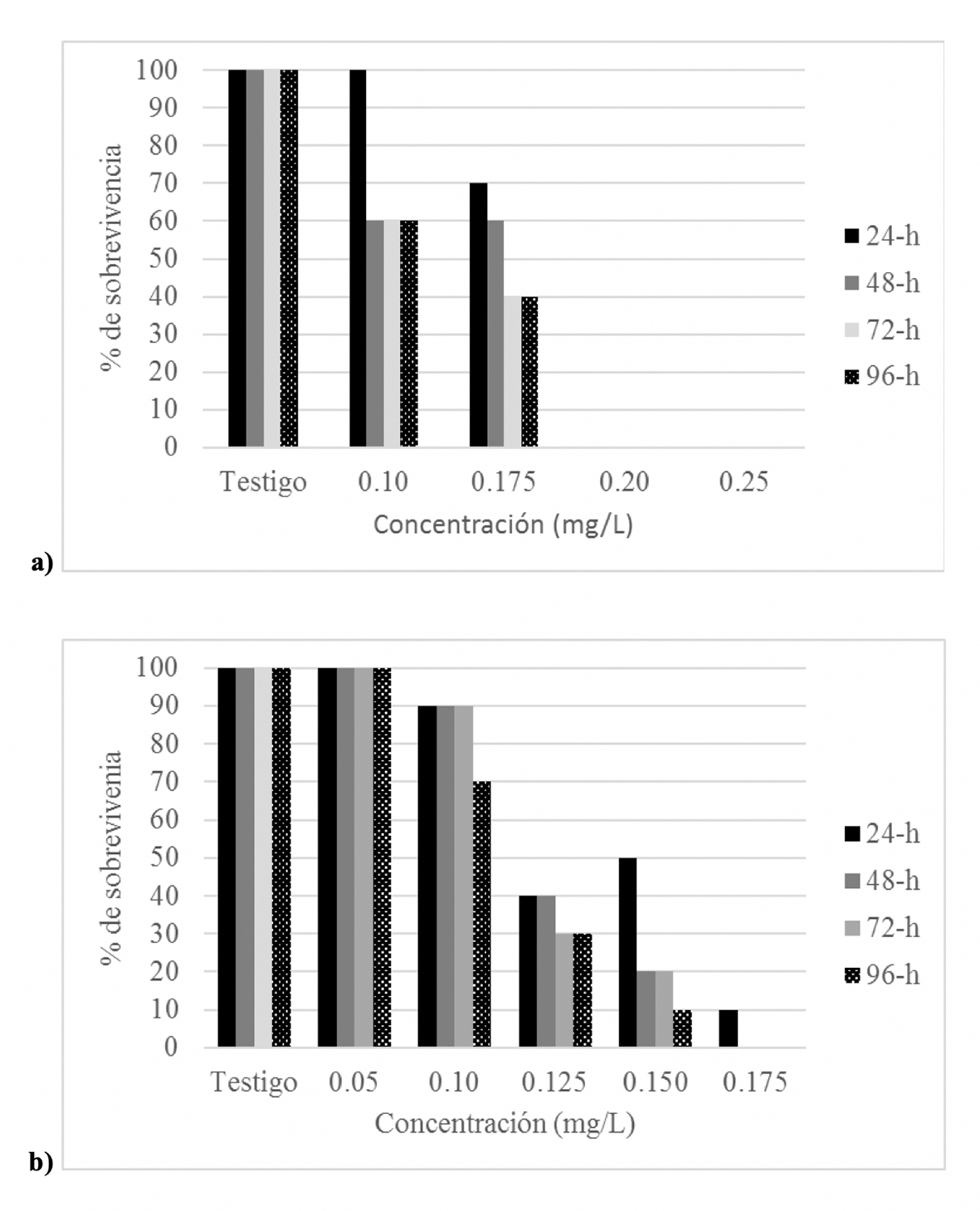
Los resultados obtenidos en el primer bioensayo (figura 1) evidenciaron que con 1.0 mg/L de CdCl2 a las 12 h de exposición, solamente sobrevivió el 50% de los renacuajos de L. catesbeianus, y con 2.0 mg/L del reactivo a las 15 h murió el 100% de organismos expuestos. Las concentraciones con sobrevivencia en tiempo menor a las 24 h no están descritas en el gráfico debido a que resultaron muy tóxicas para los organismos en estas condiciones. En el segundo bioensayo los renacuajos expuestos a concentraciones entre 0.0125 mg/L a 0.025 mg/L sobrevivieron más de 24 h, mientras que aquellos expuestos a 0.10 mg/L a 0.20 mg/L sobrevivieron más de 24 h solo el 50%. Las concentraciones donde se obtuvieron sobrevivencias del 50% durante 24 h las siguientes: 0.05 mg/L, 0.10 mg/L, y 0.20 mg/L. Por lo anterior se determinó usar un rango de concentraciones entre 0.05 mg/L a 0.25 mg/L de CdCl2 para el cálculo de la concentración letal media (CL50).

Porcentaje de sobrevivencia de renacuajos de Lithobates catesbeianus, expuestos a CdCl2; a) primer bioensayo; b) segundo bioensayo.
Fuente: Elaboración propia.Ensayo de CL50
En las concentraciones correspondientes a 0.20 mg/L y 0.25 mg/L se observaron dificultades de nado en algunas de las larvas a las ocho horas de exposición, mientras que en las concentraciones de 0.175 mg/L y 0.15 mg/L a las cinco horas de exposición todos los organismos se encontraban en un estado de reposo.
Al concluir los ensayos efectuados para obtener la CL50, solo sobrevivieron los organismos expuestos a concentraciones de 0.05 mg/L - 0.175 mg/L (figura 1) y posteriormente murieron las larvas sobrevivientes de las concentraciones de 0.10 mg/L a 0.175 mg/L en las 72 h siguientes. Los organismos expuestos a 0.05 mg/L sobrevivieron un mes más, estos organismos presentaron daños en la piel, como fueron manchas negras o desprendimiento de esta. Por otro lado, no se observó algún cambio en su movilidad o alimentación.
En la figura 2 se muestran los porcentajes de mortalidad obtenidos con las diferentes concentraciones de CdCl2 para el primer y segundo ensayos respectivamente y un tiempo de exposición de 96 h, así como la concentración letal obtenida en cada uno de ellos. La línea punteada muestra gráficamente la CL50 obtenida mediante el programa EPA Probit. Como cabría esperar, la relación dosis-respuesta se ajusta bien a una forma sigmoidea en todas las concentraciones estudiadas.

Curva de dosis-respuesta de la CL50 del primer ensayo. La línea punteada muestra la concentración correspondiente al 50% de la mortalidad de las larvas de Lithobates catesbeianus; a) Límite de confianza 95% (0.074-0.146); b) Límite de confianza 95% (0.093-0.124).
Fuente: Elaboración propia.Finalmente, los datos obtenidos de CL50 en ambos bioensayos se promediaron, obteniendo una CL50 para las larvas de Lithobates catesbeianus de 0.115 mg/L de CdCl2.
Análisis histológico
Al finalizar el tiempo de exposición, se analizaron tres muestras histológicas de tejido hepático por cada una de las concentraciones de CdCl2 probadas. Los cortes histológicos de hígado mostraron alteraciones morfológicas en los hepatocitos, modificando su tamaño y arreglo tisular, así como alteraciones en el núcleo celular, evidenciadas por la disminución de su forma y tamaño de manera considerable, estos cambios fueron directamente proporcionales del aumento de las concentraciones de CdCl2 (figura 3a-3f). Estos cambios se observaron en todas las muestras a partir de la concentración más baja (0.05 mg/L), tales como la contracción del núcleo celular y condensación de la cromatina, efecto conocido como picnosis nuclear, este efecto está relacionado con el proceso de muerte celular. Con la concentración de 0.10 mg/L se visualizaron células picnóticas cariorrexicas, en estas últimas se observa el núcleo fragmentado. Ya que después de pasar por la picnosis, el núcleo celular estalla y posteriormente se presenta la necrosis celular. En concentraciones de 0.125 mg/L se comenzó a observar la muerte del tejido caracterizada por cambios en la membrana celular, alteraciones morfológicas y picnosis y en concentraciones mayores a 0.15 mg/L, la necrosis celular estaba presente en la mayor parte del tejido hepático (figura 3e-3f).

Tejido hepático de Lithobates catesbeianus. a) Grupo testigo, núcleos redondeados bien definidos y membranas celulares de hepatocitos integras, parte superior arteria hepática con eritrocitos, b) 0.05 mg/L, se evidenciaron células con núcleos picnóticos (flecha), c) 0.10 mg/L, células con picnosis (flecha negra) y con cariorrexis (flecha blanca), d) 0.125 mg/L, necrosis celular con picnosis, e) 0.15 mg/L, necrosis (estrella), notándose picnosis en la otra parte del tejido, f) 0.175, se observa la perdida de la estructura del tejido y necrosis en la mayor parte del tejido hepático. Tinción Hematoxilina-Eosina, magnificación 40X.
Fuente: Elaboración propia.DISCUSIÓN
En ensayos de exposición aguda realizados por distintos investigadores, se ha demostrado el efecto de algunos metales pesados en larvas de anfibios, sin embargo, se han reportado resultados distintos en cuanto a la susceptibilidad de los organismos dependiendo de los tiempos y concentraciones de exposición. En un estudio similar Woodall, Maclean & Crossley (1988), reportaron un valor de CL50 en renacuajos de Xenopus laevis expuestos a CdCl2, durante 96 h de 79.90 mg/L mientras que Slooff & Baerselman (1980) reportaron una CL50 de 31.96 mg/L en la misma especie expuesta a Cd (NO3)2 durante 48 h. Mientras que Leuven, Den Hartog, Christiaans & Heijligers (1986) reportaron que hasta 0.004 mg/L de Cd no tienen efecto sobre los embriones de la especie Rana temporaria, pero la misma cantidad es tóxica para las larvas. Lo anterior se puede relacionar con la fuente de alimento de los embriones proveniente del saco vitelino, mientras que las larvas filtran y toman el alimento del entorno ambiental y pueden bioacumular los contaminantes y tener exposiciones sucesivas en un ambiente acuático. En un estudio conducido por Lefcort y su equipo en 1998, usando Rana luteiventris, se comprobaron efectos sobre la sobrevivencia, metamorfosis y comportamiento frente a predadores de metales pesados, entre ellos cadmio, aún a concentraciones bajas (Lefcort et al., 1998). En nuestro trabajo, el valor obtenido a 96 h de la CL50 de CdCl2 en renacuajos de Lithobates catesbeianus en las etapas 22 y 25 de Gosner fue de 0.115 mg/L, lo que demuestra que esta especie no es capaz de soportar altas concentraciones de cadmio durante largo tiempo, ya que se presentaron tasas de mortalidad elevadas y a tiempos menores se observaron cambios en la conducta (alimentación, inactividad) durante las primeras horas de exposición al metal. En especies acuáticas se han observado diferencias en cuanto a las respuestas biológicas a un mismo contaminante (Cerino, 1992), esto puede ser atribuible al metabolismo basal y fisiología de cada organismo, así como a la biodisponibilidad y variabilidad biológica interespecífica. Estudios con Euphlyctis hexadactylus de la India, sugieren que el cadmio puede tener efectos tóxicos sobre el sistema inmune de los anfibios Priyadarshani, Madhushani, Jayawardena, Wickramasinghe & Udagama (2015).
Los renacuajos de Lithobates catesbeianus fueron sensibles a las bajas concentraciones que se manejaron en nuestro ensayo, ya que si se compara con la resistencia que presentan organismos acuáticos pertenecientes a otros géneros hacia el cadmio; por ejemplo, estudios realizados con alevines del hibrido Cachamoto (Colossoma macropomum x Piaractus brachypomus) se obtuvo una CL50 de acetato de cadmio de 22.96 mg/L en 96 h de exposición (Vásquez, Bastardo & Mundarain, 2005).
Los daños observados a nivel hepático podrían relacionarse con la acumulación de cadmio en los hepatocitos, ya que de acuerdo a Legorburu, Canton, Millan, Casado & Álvarez, (1988), ante exposiciones agudas y crónicas, el hígado puede bioacumular Cadmio, Hierro y Cobre. Dichos procesos de bioacumulación de metales en los seres vivos son complejos y dependen de varios factores, uno de ellos está relacionado con la etapa del desarrollo embrionario o del ciclo de vida en la que se encuentren. Vogiatzis & Loumbourdi (1998), observaron un efecto acumulativo de este metal en hígado y riñón, con una correlación positiva, a mayores tiempos de exposición, probando distintas concentraciones de CdCl2 en larvas de la especie Ranaridibunda. Aunque es muy limitada la información sobre la toxicidad y efectos de metales pesados en el tejido de los anfibios, los resultados obtenidos hasta ahora sugieren que la rana toro Lithobates catesbeianus puede ser altamente susceptible a sustancias extrañas cuando están presentes en su ambiente (Sima-Álvarez, 2001), debido a que los renacuajos utilizan la piel como parte importante para su respiración (Duellman & Trueb, 1986; Meglitsch, 1967; Villee, 1992). Las determinaciones, realizadas sugieren que la necrosis en el hígado observada en las concentraciones más altas de CdCl2, corresponden a una relación concentración-efecto.
CONCLUSIONES
La concentración letal media (CL50) en larvas de Lithobates catesbeianus en ensayo de exposición aguda a CdCl2 durante 96 horas la cual fue de 0.115 mg/L.
Las concentraciones correspondientes a 0.20 mg/L y 0.25 mg/L a ocho horas de exposición y las de 0.175 mg/L y 0.15 mg/L a las cinco horas de exposición tuvieron efectos sobre el comportamiento de nado.
La concentración de 0.05 mg/L de CdCl2 provocó efectos adversos a nivel hepático en las larvas de Lithobates catesbeianus. En las condiciones del presente estudio, concentraciones muy bajas de CdCl2 provocan daños a nivel tisular en el hígado de los organismos expuestos al contaminante, dichos daños son dependientes de la concentración y el tiempo de exposición.
El presente estudio sugiere que las larvas de Lithobates catesbeianus son altamente sensibles ante exposiciones agudas de CdCl2, por lo que es factible y práctica su utilización como modelo en estudios ecotoxicológicos, tomando en cuenta que es una especie considerada invasiva y de relativa fácil adquisición; con esto se evitaría afectar a las especies de anfibios endémicas, que se encuentran amenazadas o en peligro de extinción.
Agradecimientos
A la bióloga María Elena Chávez del Laboratorio de Histología del Departamento de Ciencias Químico Biológicas y al Laboratorio de Fármaco-Fisiología y Genética Aplicada del Departamento de Ciencias de la Salud del Instituto de Ciencias Biomédicas de la Universidad Autónoma de Ciudad Juárez por el procesamiento de las muestras y el uso del Microscopio Invertido Marca Nikon Eclipse Modelo TE 2000-U.
REFERENCIAS
Agostini, M. (2013). Ecotoxicología de anfibios en agroecosistemas del noreste de la región pampeana. (Tesis de doctorado). Centro de Investigaciones del Medio Ambiente, Departamento de Química, Facultad de Ciencias Exactas,Universidad Nacional de La Plata, Buenos Aires, Argentina.
Burger, J., & Nodgrass, J. (1998). Heavy metals in bullfrog (rana catesbeiana)tadpoles: effects of depuration before analysis. Environmental Toxicology and Chemistry, 17(11), 2203–2209. doi: https://doi.org/10.1002/etc.5620171110
Campana, M. A., Panzeri A. M., Moreno,V. J., & Dulout, F. N. (2003). Micronuclei induction in Rana catesbeiana tadpoles by the pyrethroid insecticide lambda-cyhalothrin. Genetics and Molecular Biology, 26(1), 99-103. doi: http://dx.doi.org/10.1590/S1415-47572003000100016
Cerino, R. M. (1992). Dosis letal media (DL50) de formalina para el tratamiento de trichonidiasis en crías de Cichlasoma urophthalmus en condiciones de cultivo. Tesis de Licenciatura, Facultad de Química, Universidad Autónoma de Yucatán. 45 pp.
Duellman, W. E., & Trueb, L. (1994).Biology of amphibians. Baltimore, Mary land, United States of America: U. A.The Johns Hopkins University Press.
Gosner, K. L. (1960). A simplified table for staging anuran embryos and larvae with notes on identification. Herpetologica, 16(3), 183-190.
Greenpeace. (2000). Identificación de contaminantes orgánicos y metales pesados en muestras recolectadas en el incinerador de desechos peligrosos y hospitalarios Trieco, Provincia de Buenos Aires, Argentina 2000 (número 11). Recuperado el 27 de agosto de 2016 de https://www.greenpeace.org/archive-argentina/Global/argentina/report/2006/4/identificaci-n-de-contaminante.pdf
Grillitsch, B., & Chovanec, A. (1995). Heavy Metals and Pesticides in Anuran Spawn and Tadpoles, Water, and Sediment. Toxicological & Environmental Chemistry, 50(1-4), 131–155. doi: https://doi.org/10.1080/02772249509358210
Group of Experts on the Scientific Aspects of Pollution (GESAMP). (1985). Cadmium, lead and tin in the marine environment. United Nations and Environment Programme, Regional Seas. Reports and Studies 56. Recuperado el 27 de marzo de 2019 de http://www.ais.unwater.org/ais/aiscm/getprojectdoc.php?docid=4060
Gürkan, M., Çetin, A., & Hayretdaĝ, S. (2014). Acute Toxic Effects of Cadmium in Larvae of the Green Toad, Pseudepidalea Variabilis (Pallas, 1769) (Amphibia: Anura), Archives of Industrial Hygiene and Toxicology,65(3), 301-309. doi: https://doi.org/10.2478/10004-1254-65-2014-2522
Home, M., & Dunson, W. (1994). Exclusion of the Jefferson Salamander, Ambystoma jeffersonianum, from Some Potential Breeding Ponds in Pennsylvania : Effects of pH, Temperature, and Metals on Embryonic Development. Archives of Environmental Contamination & Toxicology, 27(3), 323–330. doi: https://doi.org/10.1007/BF00213167
Khangarot, B., & Ray, P. (1987). Sensitivity of Toad Tadpoles, Bufo melanostictus (Schneider), to Heavy Metals. Bulletin of Environmental Contamitationand Toxicology, 38(3), 523–527. doi: https://doi.org/10.1007/BF01606623
Lefcort, H., Meguire, R. A, Wilson, L. H., & Ettinger, W. F. (1998). Heavy Metals Alter the Survival, Growth, Metamorphosis, and Antipredatory Behavior of Columbia Spotted Frog (Rana luteiventris) Tadpoles. Archives of Environmental Contamination and Toxicology 35(3), 447-447. doi: https://doi.org/10.1007/s002449900401
Legorburu, I., Canton, L., Millan, E., Casado, A., & Álvarez, J. (1988). Metales pesados en Trucha Común (Salmo trutta fario). MUNIBE (Ciencias Naturales). San Sebastián,40, 29-33.
Leuven, R. S. E. W., Den Hartog, C., Christiaans, M. M. C., & Heijligers, W. H. C. (1986). Effects of water acidification on the distribution pattern and the reproductive success of amphibians. Experientia, 42(5), 495-503.
Machado da Rocha, C. A., da Consolação Almeida, V. H., Da Silva Costa, A., Corrêa Sagica-Júnior, J., Nascimento Monteiro, J. A., Rocha de Souza, Y. S., Araújo da Cunha, L., & Da Silva Pinheiro, R. H. (2012). Induction of Micronuclei and Other Nuclear Abnormalities in Bullfrog Tadpoles (Lithobates catesbeianus) Treated with Copper Sulphate. International Journal of Genetics 2(1), 6-11. doi: https://doi.org/10.5829/idosi.ijg.2012.2.1.61179
Meglistch, P. A., (1967). Invertebrate zoology. New York: Oxford University Press.
Nebeker, A., Schuytema, G., & Ott, S. (1994). Effects of cadmium on limb regeneration in the northwestern salamander Ambystoma gracile. Archives Environmental Contamination and Toxicology, 27(3), 318–322. doi: https://doi.org/10.1007/BF00213166
Priyadarshani, S., Madhushani, W. A. N., Jayawardena, U. A., Wickramasinghe, D. D., & Udagama, P. V. (2015). Heavy metal mediated immunomodulation of the Indian green frog, Euphlyctis hexadactylus (Anura: Ranidae) in urban wetlands. Ecotoxicology and Environmental Safety, 116, 40-49. doi: https://doi.org/10.1016/j.ecoenv.2015.02.037
Rowe, C. L., Hopkins, W. A., & Bridges, C. (2003). Physiological ecology of amphibians in relation to susceptibility to natural and anthropogenic factors. En G. L. Linder, S. K. Krest & D.W. Sparling (Eds.), Amphibians decline: An integrated Analysis of Multiple Stressor Effects (pp. 9-58). Racine, Wisconsin, United States of America: Society of Environmetal Toxicology and Chemistry Press.
Seixas Filho, J. T., Camargo Filho, C. B., Pereira, M. M., Rebelllo Pinto da Fonseca Martins, A. M. C., Ribeiro Filho, O. P., Pereira Mello, S. C. R., Lucena Cassiano, L., & Hipolito, M. (2017). Histopathogical aspectcs of the Liver of free-living and farmed bullfrogs (Lithobates Catesbeianus). Revista Brasileira de Zootecnia, 46(4), 275-279. doi: http://dx.doi.org/10.1590/s1806-92902017000400001
Sima-Álvarez, R. (2001). Determinación De La Concentración Letal Media (Cl50) Y Efecto Histopatológico Del Permanganato De Potasio en Renacuajos De Rana Toro Rana catesbeiana (Anura: Ranidae). Ecosistemas y Recursos Agropecuarios. doi: http://dx.doi.org/10.19136/era.a17n34.204
Slooff, W., & Baerselman, R. (1980). Comparison of the usefulness of the mexican axolotl (Ambystoma mexicanum) and the clawed toad (Xenopus laevis) in toxicological biossays. Bulletin of Environmental Contamination and Toxicology, 24(1), 439-443.
Sparling, D. W., Bishop, C. A., & Linder, G. (2000). The current status of amphibian and reptile ecotoxicological research. Pensacola, Florida, United States of America: Society of Environmetal Toxicology and Chemistry Press.
Taiwo, I. E., Henry, A. N., Imbufe, A. P., & Adetoro, O. O. (2014). Heavy metal bioaccumulation and biomarkers of oxidative stress in the wild African tiger frog, Hoplobatrachus occipitalis. African Journal of Environmental Science and Technology, 8(1), 6–15. doi: http://dx.doi.org/10.5897/AJEST2013.603
United States Environmental Protection Agengy Office of Water (USEPA). (1999). Integrated approach to assessing the bioavailability and toxicity of metals in surface water and sediments. Washington, D.C., United States of America: National Service Center for Enviromental Publications.
United States Environmental Protection Agengy Office of Water (USEPA). (2001). 2001 Update of ambient water quality criteria for cadmium. Washinton, D. C., United State of America: National Service Center for Enviromental Publications.
Vásquez, R., Bastardo, A., & Mundarain, I. K. (2005). Ensayo de toxicidad aguda CL50-96h con acetato de cadmio y parámetros hematológicos en el híbrido cultivado Colossoma macropomum x Piaractus brachypomus. Zootecnia Tropical, 23(3), 247-257.
Venturino, A., Rosenbaum, E., Caballero De Castro, A., Anguiano, O. L., Gauna, L., Fonovich de Schroeder, T., & Pechen de D’Angelo, A. M. (2003). Biomarkers of effect in toads and frogs.Biomarkers. 8(3-4), 167-186. doi: https://doi.org/10.1080/1354700031000120116
Villee, C. A., (1992). Biología. México: Interamericana Editorial.
Vogiatzis, A. K., & Loumbourdis, N. S. (1998). Cadmium accumulation in liver and kidneys and hepatic metallothionein and glutathione levels in Rana ridibunda, after exposure to CdCl 2. Archives of environmental contamination and toxicology, 34(1), 64-68.
Wells, K. (2007). The Ecology and Behaviour of Amphibians. Chicago, United States of America: Chicago University Press.
Woodall, C., Maclean, N., & Crossley, F. (1988). Responses of trout fry (Salmo gairdneri) and Xenopus laevis tadpoles to cadmium and zinc. Comparative biochemistry and physiology. C, Comparative pharmacology and toxicology, 89(1), 93-99. doi: https://doi.org/10.1016/0742-8413(88)90151-X
Notas de autor
jose.aldama@uacj.mx
Información adicional
Cómo citar: Gastelum, A., Aquino, A., & Aldama, L. (2019). Efecto del cloruro de cadmio durante el desarrollo larvario de la rana toro Lithobates catesbeianus (Shaw, 1802). Acta Universitaria, 29, e1902. doi: 10.15174/au.2019.1902