Artículos
Tercera Misión en las Universidades Públicas Estatales en México: Una aproximación a través de la metodología ACP-DEA
Third Mission in the Public State Universities in Mexico: An approach through the PCA-DEA methodology
Tercera Misión en las Universidades Públicas Estatales en México: Una aproximación a través de la metodología ACP-DEA
Acta universitaria, vol. 31, e2992, 2021
Universidad de Guanajuato, Dirección de Investigación y Posgrado
Recepción: 01 Septiembre 2020
Aprobación: 22 Febrero 2021
Publicación: 21 Abril 2021
Resumen: La presente investigación tiene como objetivo medir la eficiencia técnica de las Universidades Públicas Estatales (UPES) en México respecto a su Tercera Misión. Para esto, se emplea la metodología de análisis de componentes principales y el análisis envolvente de datos (ACP-DEA), donde el ACP sirve para reducir el número de variables improductivas y el DEA sirve para medir la eficiencia. Los resultados muestran que cuando se emplea el total de outputs al mismo tiempo, 13 UPES son eficientes; mientras que cuando se mide por dimensión, innovación es la que aparece con un número mayor de UPES eficientes, caso contrario para las dimensiones emprendimiento y compromiso social.
Palabras clave: Emprendimiento, innovación, compromiso social, eficiencia, universidades.
Abstract: This research aims to measure the technical efficiency of the Public State Universities in Mexico in relation to their Third Mission. To this end, the principal component analysis and data envelopment analysis (PCA-DEA) methodology was used. The PCA serves to reduce the number of unproductive variables, and the DEA serves to measure efficiency. The results show that when the total outputs are used at the same time, 13 SPU are efficient; on the other hand, when they are measured by dimension, innovation appears with the highest number of efficient SPU.
Keywords: Entrepreneurship, innovation, social commitment, efficiency, universities.
Introducción
De acuerdo con Galindo et al. (2011), la Tercera Misión de las Instituciones de Educación Superior (IES) incluye una serie de actividades relacionadas con la generación, aplicación, uso y explotación de la tecnología y el conocimiento de la universidad fuera de ella, basada en su responsabilidad social.
Esta misión ayuda a las IES a motivar la investigación y el desarrollo de la innovación tecnológica y social que permitan generar proyectos de colaboración científica, tecnológica y social con otras organizaciones y, al mismo tiempo, la formación de capital humano que incremente metodologías multidisciplinarias que faciliten la resolución de problemas reales de la sociedad (Burton, 1998).
Para un mejor desempeño de esta misión, Bueno & Casani (2007) clasifican las actividades en tres dimensiones. La primera está fundamentada en el emprendimiento como creador de valor, riqueza y empleo; la segunda en la innovación basada en la transferencia del conocimiento; y la tercera en el compromiso social como la extensión de sus actividades hacia el desarrollo económico y social de su comunidad.
Al mismo tiempo, estos autores exhiben que es necesario medir y cuantificar este tipo de actividades para conocer los avances y direccionar estas tareas hacia el logro de su misión. Por su parte, De la Torre (2016) menciona que contar con un sistema de indicadores que ayude a describir, estudiar y evaluar las tareas de la Tercera Misión en las IES coadyuva a redefinir la organización de colaboradores y objetivos; a la vez, permite conocer sus capacidades, rendimientos, compromiso con la región y probabilidad de transferir conocimiento.
En este tenor, las IES latinoamericanas enfrentan un reto a nivel mundial, el cual deben incorporar a su quehacer cotidiano para no separarse del presente y del futuro de la educación superior (Sánchez & Pérez, 2018). A partir del Programa Sectorial de Educación 2007-2012, en México se sugiere a las IES el impulso de la investigación científica y tecnológica, así como preparar a los estudiantes en temas relativos a la responsabilidad social, lo que originó que algunas universidades incorporaran a sus programas educativos asignaturas relativas a la responsabilidad social e incrementaran los programas de posgrado con énfasis en la investigación, para dar respuesta a lo solicitado por la Secretaría de Educación Pública (SEP, 2007).
Mientras tanto, en el Programa Sectorial de Educación 2013-2018 continúa la estrategia de incrementar y promover el mejoramiento de la calidad en la educación. En específico, para la educación superior se instaurarán fondos extraordinarios para apoyar la formación y mejoramiento del profesorado, se refuerza el trabajo académico y se aumenta la matrícula en programas educativos (especiales) que coadyuven al desarrollo económico del país. De igual forma, en dicho programa se menciona el impulso de la creatividad y la producción de soluciones al contexto en que se encuentran las IES para mejorar el nivel en la calidad de vida del país. A diferencia de la política sobre la calidad de la educación, falta mencionar los fondos extraordinarios que estimulen el cumplimiento de dicho objetivo (SEP, 2013).
Por lo anterior, las IES mexicanas deben incorporar a su quehacer cotidiano actividades relacionadas a la Tercera Misión, las cuales permitan ayudar a resolver diferentes problemas de la sociedad y, a su vez, que las universidades participen en el desarrollo económico y social de nuestro país por medio de actividades de emprendimiento, innovación y compromiso social.
Señalado lo anterior, es posible indicar la importancia de identificar el progreso que ha tenido el desarrollo de la Tercera Misión en las Universidades Públicas Estatales (UPES) en México, con la finalidad de promover acciones que de manera gradual ayuden al fortalecimiento de dicha misión.
Para llevar a cabo esta medición, esta investigación presenta un análisis de la eficiencia técnica, por medio de la metodología del análisis de componentes principales y el análisis envolvente de datos (ACP-DEA), donde el ACP ayuda a reducir las variables improductivas y el DEA se encarga de medir la eficiencia técnica de las UPES.
Universidades Públicas Estatales (UPES) como unidades de análisis
Las unidades de análisis seleccionadas para esta investigación son las UPES porque pertenecen al segundo grupo de importancia de las IES en nuestro país, pero a la vez, dichas universidades están fomentando actividades relacionadas a la Tercera Misión, debido a que dentro de su Plan de Desarrollo Institucional, misiones y visiones están incorporando acciones enfocadas al cumplimiento de esta misión, originando que sean reconocidas a nivel nacional e internacional por el resultado de sus misiones.
Cabe mencionar que en este grupo las universidades se clasifican por el número de alumnos en mega, grandes y pequeñas (Galaz, 1998). Para evitar las diferencias entre estas instituciones, se calcula la frecuencia de las actividades de la Tercera Misión que realizan durante el año 2017, con la finalidad de estudiar solo aquellas UPES que desarrollen el mismo número de tareas, sin importar el tamaño. Una vez calculada la frecuencia de actividades, solo se toman en cuenta 23 UPES de las 34 que conforman dicho grupo. Las universidades estudiadas son las siguientes: Universidad de Guadalajara, Universidad de Guanajuato, Universidad de Sonora, Universidad Veracruzana, Benemérita Universidad Autónoma de Puebla, Universidad Autónoma de Baja California, Universidad Autónoma de Nuevo León, Universidad Autónoma de Sinaloa, Universidad Autónoma de Chihuahua, Universidad Autónoma de Tamaulipas, Universidad Autónoma de Querétaro, Universidad Autónoma de Chiapas, Universidad Autónoma de San Luis Potosí, Universidad Autónoma de Zacatecas, Universidad Autónoma de Aguascalientes, Universidad Autónoma de Baja California Sur, Universidad Autónoma de Campeche, Universidad Autónoma de Yucatán, Universidad Autónoma de Ciudad Juárez, Universidad Autónoma del Estado de Hidalgo, Universidad Autónoma del Estado de Morelos, Universidad Juárez Autónoma de Tabasco y el Instituto de Sonora.
Sistema de Indicadores para medir la Tercera Misión
Como ya se había mencionado antes, contar con un sistema de indicadores para medir el impacto de la Tercera Misión en las IES ayuda a conocer la situación que guardan dichas universidades, lo cual contribuye a rediseñar la estructura y reorientar los objetivos planteados.
En este tenor, en la Tabla 1 se exhiben los tres principales sistemas de indicadores que buscan medir el avance del desarrollo de la Tercera Misión en las IES.

Este trabajo de investigación se basa en el sistema Science and Technology Policy Research at the University (SPRU) propuesto por Molas-Gallart et al. (2002), pero se ha adaptado al contexto de este país. Además, para la dimensión de compromiso social se toma en cuenta la política institucional focalizada en la atención de las necesidades y expectativas sociales de la Asociación Nacional de Universidades e Instituciones de Educación Superior (ANUIES, 2016), con la intención de integrar más actividades relacionadas a dicha dimensión.
Objetivo General
La presente investigación tiene como objetivo principal determinar la eficiencia técnica de las Universidades Públicas Estatales en México, en términos de emprendimiento, innovación y compromiso social, para coadyuvar al desarrollo de su Tercera Misión.
Materiales y métodos
Tradicionalmente, la evaluación de la eficiencia en la educación superior se lleva a cabo por medio del cálculo de indicadores de calidad, tales como matrícula, egreso, deserción escolar, entre otros. Sin embargo, la necesidad de cuantificar el avance de las tres misiones en las IES ha generado que se estime por medio de una función de producción, con la finalidad de contar con resultados confiables y cuantificables que sirvan para la toma de decisiones.
Análisis de Componentes Principales (ACP)
Faura et al. (2012) sostienen que el DEA, al calificar muchas unidades de decisión (DMU, por sus siglas en inglés) como eficientes y en menor cantidad las ineficientes, origina que sea complicado establecer un ranking completo y válido entre las unidades de análisis. Por lo tanto, es necesario apoyarse en otras técnicas para reforzar los resultados obtenidos. Una de estas técnicas es el ACP.
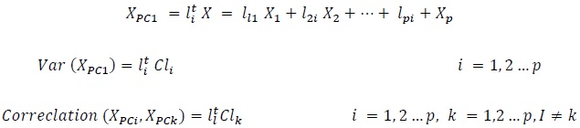
La finalidad del ACP es modificar un conjunto de variables (originales) en un nuevo conjunto de variables denominadas componentes principales, las cuales se caracterizan por estar correlacionadas entre sí y pueden ordenarse de acuerdo con la información que llevan incorporada (De la Fuente, 2011).
De acuerdo con Faura et al. (2012), el ACP se utiliza como un paso previo, o bien, en unión con el DEA. Sin embargo, autores como Adler & Golany (2001) y Premachandra (2001) enlazan el ACP y DEA con el objetivo de obtener una ordenación de las unidades de análisis. Otros estudios como el de Mancebon & Molinero (2000) y Bradley et al. (2001) utilizan de manera secuencial ambos métodos. En el caso de esta investigación se emplea el ACP de manera secuencial, para lo cual es necesario identificar los indicadores compuestos en cada una de las dimensiones que comprenden la Tercera Misión.
Indicador Compuesto
De la Torre (2016) menciona que “el uso del indicador compuesto para el caso del análisis DEA se puede utilizar en dos vertientes: 1) como una herramienta para examinar más a fondo los resultados de un análisis previo del DEA o comparar las clasificaciones de las DMU eficientes obtenidas por ambas metodologías y 2) para reducir el número de proxys incluidas en el análisis DEA”.
Adler & Golany (2001) señalan que “el ACP describe la estructura de varianza de una matriz de datos por medio de combinaciones lineales de variables”. Como consecuencia, se pueden reducir los datos a unos pocos componentes principales que generalmente explican del 80% al 90% de la varianza en los datos. Por este motivo, se elige el primer componente, ya que es el de mayor varianza. De acuerdo con Rivas & Martínez (1991), “el ACP pretende explicar la mayor varianza posible de las variables originales (indicadores) con el menor número de componentes”.
El ACP se calcula por medio de las combinaciones lineales no correlacionadas de los datos originales y se clasifican por sus variaciones en orden descendente XPC1, XPC2,… XPCX .
Es importante destacar que el ACP utiliza la correlación en lugar de la covarianza, debido a que las variables empleadas en DEA regularmente se miden en diferentes unidades de medida (Adler & Golany, 2001).
Para obtener los modelos ACP-DEA que se emplean en esta investigación, primero se determina cuáles son los indicadores por dimensión. Una vez que se establezcan dichos indicadores, se procede a calcular el DEA para conocer el comportamiento de las UPES con respecto a su Tercera Misión.
Análisis Envolvente de Datos (DEA)
El DEA es una herramienta metodológica que se emplea para el cálculo de la eficiencia técnica de las DMU y fue creada por Charnes et al. (1978), quienes la definen como una técnica analítica que determina actuaciones eficientes e ineficientes, sobre todo cuando existen múltiples medidas de rendimiento y variables discretas y exógenas.
De acuerdo con Vázquez (2011), “el criterio que emplea esta técnica para identificar la frontera de producción consiste en obtener una envolvente que considere todas aquellas unidades eficientes y el conjunto de unidades hipotéticas construidas a partir de estas, aplicando el supuesto de convexidad”. Por lo tanto, la frontera resultante se considera factible y eficiente, quedando el resto de las unidades (ineficientes) por debajo de la misma. Asimismo, la autora agrega que la medida de eficiencia obtenida por esta técnica es relativa, ya que a cada unidad se le confronta con aquellas que operan con un valor similar de inputs y outputs, con el objetivo de diagnosticar su situación en la envolvente (eficientes) o distinguir sus unidades de referencias, con la finalidad de cambiar las ineficiencias por eficiencias.
El DEA ha sido ampliamente utilizado para analizar la eficiencia en el sector educativo, en especial en la educación superior. Una de las ventajas de utilizar dicha técnica en este tipo de estudios es que se pueden emplear varios inputs y outputs al mismo tiempo; además, la carencia de precios del mercado del sector no influye en el cálculo de la eficiencia.
Bajo este escenario, la aplicación del DEA en esta investigación ayuda a establecer una medida de eficiencia relativa en las UPES, formando su grado de eficiencia con base en el proceso de transformación de inputs en outputs. Además, al analizar un grupo homogéneo de instituciones se puede comparar entre ellas, debido a que producen los mismos outputs apoyados en similares inputs, y lo más importante, comparten los mismos objetivos. El modelo básico que se emplea es el modelo de rendimiento a escala (BCC, por sus siglas en inglés) creado por Banker et al. (1984). De acuerdo con Fuentes-Pascual (2011), este modelo considera la posibilidad de existencia de ineficiencias derivadas de las diferencias entre las escalas operativas de cada DMU. Por otra parte, debido al mínimo grado de control que tienen las UPES con relación a sus inputs, es conveniente tratar de maximizar los outputs sin disminuir los inputs con que cuenta cada UPE. Como consecuencia, para este trabajo se estima la orientación al output como una forma de evaluar la eficiencia en dichas instituciones.
Selección de inputs y outputs
Para esta investigación, como inputs se considera a los recursos que tienen las IES para llevar a cabo sus actividades, estos estarán basados en las acciones de la primera y segunda misión, y como outputs se considera a las tareas relacionadas a la Tercera Misión, debido a que estas son el resultado de las dos primeras. En la Tabla 2 se visualizan los inputs con sus definiciones.

En cuanto a los outputs, son los productos que las DMU obtienen por la transformación de sus inputs (Rodríguez, 2009). En las siguientes tablas se muestran los outputs empleados por dimensión. En la Tabla 3 se muestran los outputs para la dimensión emprendimiento, en la Tabla 4 se muestran los outputs que se consideran para la dimensión innovación y en la Tabla 5 se muestran los outputs para el compromiso social.



Metodología
Una vez que fueron seleccionados los inputs y outputs que se emplean en esta investigación, se procede a determinar los indicadores compuestos que ayudan a medir el avance de las actividades de la Tercera Misión en las UPES en México.
Indicador compuesto para la dimensión de emprendimiento
Para determinar los indicadores compuestos en esta dimensión, se consideran ocho variables, las cuales son: patentes solicitadas (PATSOL); patentes concedidas (PATCONC); licencias concedidas (MDAMU); empresas incubadas (EMPEINCU); empleados actuales en las empresas incubadas (EMPEINC); fondo para la creación de empresa incubadas (FONEINC); usuarios que hicieron uso de las instalaciones (NUSINST); y eventos artísticos y culturales (ASEAC). Los datos se procesan a través de Real Statistic de Excel 2016.
En la Tabla 6 se muestran los porcentajes de varianza, los cuales indican la cantidad de información que abastecen los ocho outputs. Adler & Golany (2001) señalan que se recomienda trabajar con los cinco primeros factores, que son los que albergan el mayor número de indicadores (hasta 100%); en este caso de estudio, los cinco primeros tienen un porcentaje acumulado de varianza de 94.22%.

Por otra parte, en la Tabla 7 se muestran los valores propios que explican la matriz del fenómeno que se está estudiando como resultado de las ecuaciones que se resuelven para obtener los principales componentes.

De acuerdo con De la Torre (2016), el indicador compuesto es el primer componente del análisis ACP, porque tiene una significativa representación y resume el 30.82% de información sobre el emprendimiento de la Tercera Misión de las UPES en México. Para conocer cuáles son los indicadores que lo integran, se seleccionan las cantidades absolutas que superen el 0.50 de la tabla de pesos de los indicadores. En esta dimensión, su indicador compuesto está integrado por patentes solicitadas (0.934582555), patentes concedidas (0.92734784) y número total de eventos artísticos y culturales (0.849408719).
Indicador compuesto para la dimensión de innovación
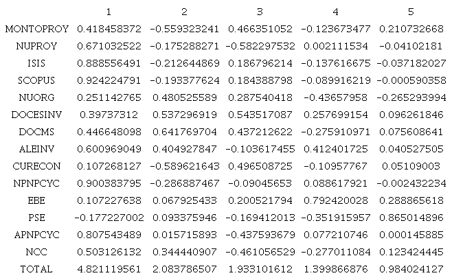
En esta dimensión se utilizan 14 outputs que sirven de base para el cálculo del indicador compuesto. Las variables empleadas son: monto de proyectos financiados (MONTOPROY); proyectos financiados por CONACYT (NUPROY); publicaciones en revistas arbitradas e indizadas (ISI y SCOPUS); organizaciones que participan en proyectos de investigación (NUORGP); docentes que participan en estancias de investigación (DOCESINV); docentes en movilidad saliente (DOCMS); alumnos en estancia de investigación (ALEINV); curso de educación continua (CURECON); posgrados pertenecientes al PNPC (NPNPCYC); egresados en búsqueda de empleo (EBE); satisfacción de los egresados (PSE); alumnos que cursan un posgrados del PNPC (APNPCYC); y convenios de colaboración (NCC). En la Tabla 8 se proporciona la puntuación de la varianza, la cual indica la cantidad de información proporcionada por las 23 DMU y que explica cada uno de los componentes de innovación.

A continuación, se exponen los valores propios por medio de una matriz con los cinco factores que contienen la mayor cantidad de información de los indicadores (Tabla 9).

En el caso de la dimensión de innovación, su indicador compuesto está formado por los siguientes indicadores: número de proyectos (0.503126132); artículos ISI (0.888556491); artículos SCOPUS (0.92424791); alumnos en estancias de investigación (0.600969049); número de programas de posgrado que pertenecen al Padrón Nacional de Programas de Calidad (0.900383795); y número de alumnos que se encuentran inscritos en un programa perteneciente al PNPC (0.807543489).
Indicador compuesto para la dimensión de compromiso social
Los indicadores que se emplean para esta dimensión son las siguientes: conferencias otorgadas (NUCONF); programas de radio o tv que realizan las UPES (NPRTV); notas periodísticas (NNP); actividades relacionadas con el medio ambiente (ARMA); personal académico inducido a la responsabilidad social (PRS); proyectos sociales que atienden a la comunidad vulnerable (NPCV); personas beneficiadas por servicios a la comunidad local (NPBSC); y servicios para la comunidad local (NSCL). Para el cálculo de los indicadores compuestos se emplea Real Statistic de Excel (2016). En la Tabla 10 se visualiza la cantidad de información proporcionada por las DMU que son objeto de estudio para describir cada uno de los componentes de compromiso social.

Por medio de una matriz de cinco factores, se muestra en la Tabla 11 los valores propios que contienen la mayor cantidad de información de los indicadores.

Los indicadores compuestos para esta dimensión están conformados por: número de personal académico que ha sido preparado a la responsabilidad social (cursos, diplomados, etc.) (0.949693966), número de personas beneficiadas por servicios a la comunidad (0.985473738) y número de servicios para la comunidad local (0.98586854).
Resultados
A partir de los indicadores compuestos de cada dimensión que conforman la Tercera Misión, se aplica el DEA en sentido de rendimientos variables a escala, orientado a los outputs, por medio del software DEAP 2.1 de Coelli (1996), con la finalidad de cuantificar la eficiencia técnica de las UPES en México.
Integración de indicadores compuestos
El primer escenario incluye todos los outputs que fueron seleccionados por medio del ACP, con la finalidad de conocer las universidades que se localizan dentro de la frontera de producción (eficientes), así como las que están por debajo de dicha frontera (ineficientes).
En la Tabla 12 se observa que 13 instituciones obtienen la máxima puntuación de eficiencia técnica, por lo que el 43.48% de dichas universidades consiguen un valor menor a 1.000.
Sin embargo, para aquellas UPES que no se localizaron dentro de la frontera de producción, es necesario determinar el tipo de ineficiencia de las DMU que obtuvieron, ya que puede estar bajo rendimientos decrecientes de escala (DRS, por sus siglas en inglés), que es cuando la cantidad utilizada de inputs se modifica y, como consecuencia, la cantidad de outputs disminuye; o bien, pueden estar por rendimientos crecientes de escala (IRS, por sus siglas en inglés), donde al incrementar los inputs, los outputs aumentarán en mayor proporción que los insumos empleados.
En la Tabla 13 se observa a las UPES que presentan ineficiencia DRS, lo que significa que, al aumentar sus inputs, sus outputs no se amplían en la misma escala.

Para el caso de las universidades que se localizan en el segmento de IRS, se encuentran la Universidad Veracruzana (0.638) y la Benemérita Universidad Autónoma de Puebla (0.826); como consecuencia, al incrementar sus inputs, el aumento de sus outputs será mayor que la proporción adicional.
En este primer escenario, se pueden visualizar a las UPES que se consideran eficientes respecto a su Tercera Misión. No obstante, para cumplir con el objetivo de esta investigación, se emplea nuevamente el DEA por dimensión, con la finalidad de confirmar su eficiencia e igualmente reconocer la dimensión que necesita trabajar más en ella para impulsar el desarrollo de dicha misión.
Dimensión de emprendimiento
Derivado de la obtención de los resultados sobre la eficiencia técnica de cada UPE, en la dimensión de emprendimiento se observa que las universidades de Aguascalientes y de Guanajuato son las únicas que se encuentran dentro de la frontera de producción, debido a que alcanzan el 1.00 de eficiencia de escala, lo que significa que el 91.30% de dichas instituciones presentan ineficiencia. En la Tabla 14 se exhiben los resultados obtenidos por medio del DEA.

En cuanto a las UPES que se encuentran por debajo de la frontera producción con DRS, son tres las instituciones que al aumentar sus inputs su producción no crece en la misma relación. Estas instituciones son la Universidad Autónoma de Nuevo León (0.871), la Universidad Veracruzana (0.877) y la Benemérita Universidad Autónoma de Puebla (0.853). Las UPES que presentan ineficiencia con IRS son las universidades restantes, las cuales al ampliar sus inputs su producción crece en mayor proporción (Tabla 15).
Dimensión de innovación
La cuantificación de la eficiencia técnica para la dimensión de innovación muestra que siete UPES logran situarse dentro de la frontera de producción y que el 69.57% de estas no presentan una eficiencia óptima (Tabla 16).

Las UPES que son ineficientes bajo rendimientos decrecientes a escala son cinco instituciones, las cuales representan un 21.74% del total de las universidades. En la Tabla 17 se muestran dichas IES. Por otro lado, el 47.83% de las UPES muestra ineficiencia bajo rendimientos crecientes a escala, las cuales podrán obtener un mayor número de outputs cuando refuercen sus inputs (Tabla 18).


Dimensión de compromiso social
Dentro de la dimensión de compromiso social, los resultados del DEA muestran que la Universidad de Nuevo León y la Universidad de Campeche se localizan dentro de la frontera producción, esto quiere decir que el 91.30% de las UPES no alcanzan la máxima puntuación para situarse dentro de la frontera de producción (Tabla 19).

Es importante mencionar que las 21 UPES que no lograron situarse dentro de la frontera de producción se encuentran bajo rendimientos crecientes a escala, lo que significa que, al intensificar sus inputs, podrán acrecentar su producción en mayor proporción que el incremento hecho a sus entradas.
Discusión
La técnica no paramétrica del DEA permite conocer la situación que guardan las UPES con relación a su Tercera Misión. Bajo este escenario, se determina que el promedio de la eficiencia técnica con rendimientos creciente es del 0.928 cuando se consideran todos los outputs de manera simultánea, de tal forma que nueve universidades deben aumentar su producción en un 39.13%.
Sin embargo, cuando se analizan por separado las dimensiones que integran dicha misión, se observa que la dimensión que presenta un mayor promedio de eficiencia técnica es innovación (0.850), mientras que en emprendimiento es del 0.615 y en compromiso social del 0.221. Con respecto al número de universidades eficientes, la dimensión de innovación es la que tiene mayor número de instituciones (siete) y las otras dos dimensiones tienen dos cada una.
Es importante observar que ninguna UPE se mantuvo dentro de la frontera de producción en cada una de las dimensiones. Solamente la Universidad Autónoma de Aguascalientes se ubicó en tres ocasiones en dicha frontera.
Con relación a las UPES que se localizan en el segmento DRS, la dimensión de compromiso social no cuenta con ninguna universidad bajo este escenario, mientras que en el escenario donde se utilizan todos los outputs hay ocho DMU, siendo este modelo el que tiene mayor número de instituciones. Por otro lado, en las UPES con IRS, la dimensión de compromiso social tiene un comportamiento singular, ya que la eficiencia técnica de las 21 instituciones analizadas es <1.00 y se encuentran bajo este tipo de rendimiento. En cambio, cuando se emplean todos los outputs, solamente hay dos IES bajo esta condición.
Estos resultados permiten reconocer que las UPES en México han incorporado actividades relacionadas con la Tercera Misión; al mismo tiempo, ayudan a determinar cuál es la dimensión que más avance ha tenido, y se resalta la dimensión que necesita mayor atención por parte de estas universidades.
La importancia de esta investigación es la propuesta de un sistema de indicadores que incluye las tres dimensiones de la Tercera Misión y, sobre todo, que es conforme a las características de las Universidades Públicas Estatales en México. A la vez, permite tomar en cuenta las actividades que, por las condiciones de este grupo de universidades realizan para fomentar el cumplimiento de esta misión. Sin embargo, dicha proposición se tiene que analizar si se puede aplicar a otras IES diferentes a las UPES debido a sus características de organización, con base en la clasificación de la SEP (2017).
No obstante, esta propuesta, servir de base para complementar, actualizar o modificar (no solo medir) procesos y resultados en futuros estudios que ayuden a conocer el cumplimiento de la Tercera Misión en cualquier tipo de IES de nuestro país.
Pese a esto, esta investigación permite contar con información suficiente e importante que posibilita entender el escenario que tienen las UPES en México con respecto al desarrollo de su Tercera Misión.
Conclusiones
La Tercera Misión de las universidades busca generar y aplicar conocimiento que coadyuve al impulso del bienestar social a nivel regional, nacional o internacional. Para lograrlo, las IES deben buscar un acercamiento con la sociedad, con la finalidad de participar en proyectos tecnológicos y sociales, que ayuden al desarrollo de la población.
Medir la eficiencia de las Universidades Públicas Estatales en México con relación a su Tercera Misión, por medio de la combinación de técnicas no paramétricas y de estadística multivariante, coadyuva a determinar los indicadores que son improductivos y que obstaculizan lograr mejores puntuaciones.
El uso de la metodología ACP-DEA originó que solo se empleara el 30% de indicadores propuestos, que son los que tienen mayor peso y porcentaje de varianza y, por tanto, mayor importancia. Bajo este esquema, los resultados obtenidos muestran que, en el escenario donde se emplea el mayor número de outputs, existe un mayor número de UPES con eficiencia técnica; asimismo, cuando se disminuye el número de outputs, también baja el número de IES que logran estar dentro de la frontera producción.
Por otra parte, esta investigación ha permitido reconocer que las UPES están cumpliendo con nuevos desafíos que la educación superior debe lleve a cabo a nivel internacional, a pesar de que en nuestro país se requiere implementar más políticas públicas orientadas al fomento del desarrollo de actividades que comprende la Tercera Misión.
Finalmente, a lo largo de esta investigación se da respuesta al objetivo planteado, confirmando que el 100% de las UPES en México llevan a cabo actividades de la Tercera Misión, aunque en algunas de ellas en menor escala, pero al final todas producen nuevas tareas relacionadas con dicha misión.
Referencias
Adler, N., & Golany, B. (2001). Evaluation of deregulated airline networks using data envelopment analysis combined with principal component analysis with application to Western Europe. European Journal of Operational Research, 132(2), 260-273. doi: https://doi.org/10.1016/S0377-2217(00)00150-8
Analiter S. L., & Seeda S. L. (2001). Programa y guía para la impartición del Módulo de Sensibilización Ambiental. http://www.cma.gva.es/areas/educacion/educacion_ambiental/educ/sensibilizacion/pdf/guiadida.pdf
Asociación Nacional de Universidades e Instituciones de Educación Superior (ANUIES). (2012). Inclusión con responsabilidad social: Elementos de diagnóstico y propuestas para una nueva generación de políticas de educación superior. https://docplayer.es/15245094-Inclusion-con-responsabilidad-social-elementos-de-diagnostico-y-propuestas-para-una-nueva-generacion-de-politicas-de-educacion-superior.html
Asociación Nacional de Universidades e Instituciones de Educación Superior (ANUIES). (2016). Plan de Desarrollo Institucional. Visión 2030. http://www.anuies.mx/media/docs/avisos/pdf/PlanDesarrolloVision2030.pdf
Baca-Tavira, N., & Herrera-Tapia, F. (2016). Proyectos sociales. Notas sobre su diseño y gestión en territorios rurales. Convergencia. Revista de Ciencias Sociales, 23(72), 69-87. https://www.redalyc.org/pdf/105/10546932003.pdf
Banker, R. D., Charnes, A., & Cooper, W. (1984). Some models for estimating technical and scale inefficiencies in data envelopment analysis. Management Science, 30(9), 1078-1092. doi: https://doi.org/10.1287/mnsc.30.9.1078
Bradley, S., Johnes, G., & Millington, J. (2001). The effect of competition on the efficiency of secondary schools in England. European Journal of Operational Research , 135(3), 545-568. doi: https://doi.org/10.1016/S0377-2217(00)00328-3
Briz, A., Abelda, M., Fernández, C., Hidalgo, R., & Pinilla, S. B. (2008). Saber hablar. Santillana
Bueno, E., & Casani, F. (2007). La Tercera Misión de la Universidad. Enfoques e indicadores básicos para su evaluación. Revista Economía Industrial, 366, 43-59. http://www.minetur.gob.es/Publicaciones/Publicacionesperiodicas/EconomiaIndustrial/RevistaEconomiaIndustrial/366/43.pdf
Burton, C. (1998). Creating entrepreneurial universities: Organizational pathways of transformation. [Version DX Reader]. Oxford University Press. https://eric.ed.gov/?id=ED421938
Características (2014). Características y estructura de la noticia periodística. Características. http://caracteristicas.org/caracteristicas-noticia-periodistica/
Carta de la Tierra (s. f.). Comunidades Locales. https://cartadelatierra.org/lea-la-carta-de-la-tierra/descargar-la-carta/
Centro Nacional de Apoyo a la Pequeña y Mediana Empresa (Cenapyme). (2019). Asesoría y Consultoría. Cenapyme. http://cenapyme.fca.unam.mx/asesoria_consultoria.php
Charnes, A., Cooper, W. W., & Rhodes, E. (1978). Measuring the efficiency of decision-making units. European Journal of Operational Research , 2(6), 429-444. doi: https://doi.org/10.1016/0377-2217(78)90138-8
Coelli, T. (1996). A guide to DEAP Version 2.1: A data envelopment analysis (computer) program. Centre for Efficiency and Productivity Analysis (CEPA). Working Paper 96/08, 1-49. http://www.owlnet.rice.edu/~econ380/DEAP.PDF
Consejo Nacional de Ciencia y Tecnología (CONACYT). (2019).Programa Nacional de Posgrados de Calidad. ¿Qué es?https://www.conacyt.gob.mx/Programa-Nacional-de-Posgrados-de-Calidad.html#:~:text=El%20Programa%20Nacional%20de%20Posgrados,de%20manera%20ininterrumpidamente%20desde%201991.
De la Fuente, S. (2011). Análisis de Componentes principales. Universidad Autónoma de Madrid. https://www.academia.edu/34706126/An%C3%A1lisis_Componentes_Principales_Santiago_de_la_Fuente_Fern%C3%A1ndez
De la Torre, E. (2016). Tipologías de universidades: Relevancia de la tercera misión para las políticas y estrategias universitarias en el Nuevo Marco De la Educación Superior. (Tesis Doctoral). Universidad Autónoma de Madrid. Facultad de Ciencias Económicas y Empresariales.
Domínguez, A. J., Silva, A. E., Castorena, A., Barrera, M. A., & Ramírez, D. I. (2017). Investigación sobre las oportunidades de empleo para los profesionistas recién egresados utilizando BSC. Revista Iberoamericana para la Investigación y el Desarrollo Educativo, 8(15), 1-19. doi: https://doi.org/10.23913/ride.v8i15.293
Economía48 (s. f.). Empleado. En Economia48. http://www.economia48.com/spa/d/empleado/empleado.htm
Faura, U., Gómez, J. C., Pérez, M. C., & Gómez, J. (2012). Comparación de rankings de eficiencia mediante análisis de componentes principales y DEA. Estadística Española, 54(178), 357-373. https://www.researchgate.net/profile/Maria_Perez-Carceles/publication/312219606_Comparacion_de_rankings_de_eficiencia_mediante_analisis_de_componentes_principales_y_DEA/links/5877568608aebf17d3bb864c/Comparacion-de-rankings-de-eficiencia-mediante-analisis-de-componentes-principales
Fuentes-Pascual, R. (2011). Técnicas de análisis económico aplicado II. Bloque III (Curso 2011-2012). En Técnicas econométricas en detalle. El análisis envolvente de datos. Universidad de Alicante. Departamento de Análisis Económico Aplicado 1-52. https://rua.ua.es/dspace/bitstream/10045/19658/6/Materiales.Teoria.Bloque.III.pdf
Galaz, J. F. (1998). Sobre la clasificación de las instituciones mexicanas de educación superior. Revista de educación superior, 27(106), 1-21. http://publicaciones.anuies.mx/pdfs/revista/Revista106_S2A4ES.pdf
Galindo, J., Sanz, P., & De Benito, J. (2011). La Universidad ante el reto de la Transferencia del Conocimiento 2.0: Análisis de las herramientas digitales a disposición del Gestor de Transferencia. Investigaciones Europeas de Dirección y Economía de la Empresa, 17(3), 111-126. doi: https://doi.org/10.1016/S1135-2523(12)60123-3
Icart, M. T., FuenteIsaz, C., & Pulpón, A. (2001). Elaboración y presentación de un proyecto de investigación y una tesina. Salud Pública. http://www.publicacions.ub.edu/refs/indices/06677.pdf
Instituto Mediterráneo Estudios de Protocolo (IMEP). (2018). ¿Qué es un evento y cómo se puede clasificar? Protocolo IMEP. https://www.protocoloimep.com/articulos/que-es-un-evento-y-clasificacion/
Instituto Nacional de Emprendedor (Inadem). (2018). Fondo Nacional Emprendedor. Inadem. https://www.inadem.gob.mx/fondo-nacional-emprendedor/
Instituto Nacional de Propiedad Industrial (Inapi). (s. f.a). ¿Qué es una marca? Inapi. https://www.inapi.cl/portal/institucional/600/w3-article-1612.html
Instituto Nacional de Propiedad Industrial (Inapi). (s. f.b). ¿Qué son los modelos de utilidad? Inapi. https://www.inapi.cl/portal/institucional/600/w3-article-746.html
Instituto Nacional del Derecho de Autor (Indautor). (s. f.). Derechos de autor. Indautor. http://www.indautor.gob.mx/accesibilidad/accesibilidad_autor.html
Instituto Mexicano de la Propiedad Industrial (IMPI). (2018). ¿Qué son los diseños Industriales?https://www.gob.mx/impi/articulos/que-son-los-disenos-industriales?idiom=es
Instituto Nacional para la Evaluación de la Educación (INEE). (2007). Infraestructura escolar en las Primarias y Secundarias de México. https://www.inee.edu.mx/wp-content/uploads/2019/01/P1D231.pdf
Mancebon, M. J., & Molinero, C. M. (2000). Performance in primary school. Journal of the Operational Research Society, 51(7), 789-800. doi: https://doi.org/10.1057/palgrave.jors.2600980
Miyahira, J. (2017). Publicación científica: Un debe ser de las instituciones de educación superior. Revista Médica Herediana, 28(2), 73-74. doi: https://doi.org/10.20453/rmh.v28i2.3106
Molas-Gallart, J., Salter, A., Patel, P., Scott, A., & Duran, X. (2002). Measuring Third Stream Activities. Final Report to the Russell Group of Universities. Science and Technology Policy Research. https://www.researchgate.net/profile/Jordi-Molas/publication/246796517_Measuring_Third_Stream_Activities/links/54e114760cf2966637916ab3/Measuring-Third-Stream-Activities.pdf
Organización Mundial de la Propiedad Industrial (OMPI). (2018). ¿Qué es una patentes? OMPI. http://www.wipo.int/patents/es/
Premachandra, I. M. (2001). A note on DEA vs principal component analysis: An improvement to Joe Zhu´s approach. European Journal of Operational Research , 132(3), 553-560. doi: https://doi.org/10.1016/S0377-2217(00)00145-4
Rivas, T., & Martínez, R. (1991). Relación entre escalamiento multidimensional métrico y análisis de componentes principales. Psicothema, 3(2), 443-451. https://www.redalyc.org/pdf/727/72703214.pdf
Rodríguez, L. G. (2009). Generación de metodología, aplicando Data Envelopment Analysis (DEA), en el diseño de indicadores de eficiencia y productividad para la función de extensión de la Universidad Nacional de Colombia (Tesis Doctoral). Universidad Nacional de Colombia. Facultad de Economía. https://repositorio.unal.edu.co/handle/unal/63007
Sánchez, G., & Pérez, J. J. (2018). La tercera misión de las universidades: Innovación, emprendimiento y compromiso social. Revista Universitaria Digital de Ciencias Sociales, 9(17), 61-71. http://virtual.cuautitlan.unam.mx/rudics/wp-content/uploads/2018/08/RUDICSv9n17p61_71.pdf
Secretaría de Educación Pública (SEP). (2007). Programa Sectorial de Educación 2007-2012. https://catedraunescodh.unam.mx/catedra/pronaledh/pdfs/ProSeEd_2007_2012.pdf
Secretaría de Educación Pública (SEP). (2008). Glosario. Términos utilizados en la Dirección General de Planeación y Programación 2008. http://cumplimientopef.sep.gob.mx/2010/Glosario%202008%2024-jun-08.pdf
Secretaría de Educación Pública (SEP). (2013). Programa Sectorial de Educación 2013-2018. http://www.dof.gob.mx/nota_detalle_popup.php?codigo=5326569
Secretaría de Educación Pública (SEP). (2017). Principales Cifras del Sistema Educativo Nacional 2016-2017. https://www.planeacion.sep.gob.mx/Doc/estadistica_e_indicadores/principales_cifras/principales_cifras_2016_2017_bolsillo.pdf
Tamayo, M. (1999). Módulo 5. El proyecto de investigación. Instituto Colombiano para el fomento de la educación superior. https://www.usbcali.edu.co/sites/default/files/documentodeconsultacomplementario-el_proyecto_de_investigacion.pdf
Universidad Autónoma Metropolitana (UAM). (2019). Formatos de convenios y contratos. http://www.vinculacion.uam.mx/index.php/universidad-y-empresa/vinculacion-con-empresas/formatos-de-convenios-y-contratos
Universidad Católica San Antonio de Murcia (UCAM). (2015). Informe de Resultados Encuesta de Satisfacción de Egresados. Título de Máster en Enfermería de Urgencia, Emergencias y Cuidados Especiales.https://www.ucam.edu/sites/default/files/estudios/grados/grado-enfermeria/egresados_master_enfermeria_de_urgencias_15-16_y_respuesta.pdf
Universidad de Concepción (s. f.). [Actividades Artístico-culturales y recreativas]. https://www.udec.cl/dise/node/704
Universidad de San Buenaventura (2018). ¿Qué es Movilidad Académica?https://www.usbmed.edu.co/internacionalizacion/movilidad-academica/que-es
Universidad Autónoma del Estado de Hidalgo. (2021). Educación continua. https://www.uaeh.edu.mx/adminyserv/gesuniv/div_vin/dir_educont/historia./
Vázquez, R. M. A. (2011). Eficiencia técnica y cambio de productividad en la educación superior pública: Un estudio aplicado al caso español (2000-2009) (Tesis Doctoral). Universidad Autónoma de Madrid. Facultad de Ciencias Económicas y Empresariales.
Wompner, F. (2007). Un modelo de incubadora de negocios universitaria; en la ruta de la innovación organizacional. Observatorio de la Economía Latinoamericana, 87. http://www.eumed.net/cursecon/ecolat/cl/2007/fw-incub.htm
Notas
Notas de autor
* Autor de correspondencia