Abstract: High fructose corn syrup (HFCS) over-consumption underlies the obesity worldwide epidemics. Hepatic fructose metabolism includes fructolysis, lipogenesis, and purines degradation to uric acid. The aim of this study was to evaluate HFCS long-term effects on serum and hepatic adenosine (Ado) and inosine (Ino), as well as in vivo Ino effects on cardiovascular function. Fed male Wistar rats were subjected to 30% HFCS-enriched drinking water for five months (n = 15); every month, nucleosides were determined in serum and in isolated liver perfusate. Three months-old male naive Wistar rats were pithed and cannulated to record blood pressure and heart rate after Ino administration (n = 3). Rats consuming HFCS increased both Ado and Ino progressively in serum and livers’ perfusate; Ino increased cardiovascular function. The progressive Ado and Ino hepatic release by fructose-enriched diet suggests their contribution to raise glycemia through their gluconeogenic activation, and a higher serum Ino concentration might be related to increase in arterial blood pressure.
Keywords: High fructose corn syrup, adenosine, inosine, rat liver, cardiovascular function.
Resumen: El sobre consumo de jarabe de maíz de alta fructosa (HFCS) subyace a la epidemia mundial de obesidad. El metabolismo hepático de fructosa incluye fructolisis, lipogénesis y degradación de purinas a ácido úrico. El objetivo del estudio fue evaluar los efectos a largo plazo de HFCS sobre adenosina (Ado) e inosina (Ino) en suero e hígado, así como los efectos in vivo de Ino sobre la función cardiovascular. Se usaron ratas Wistar macho (n = 15) alimentadas que bebieron agua adicionada con 30% HFCS durante cinco meses; cada mes, se determinaron los nucleósidos en suero y en perfusado hepático. Se descerebraron y desmedularon ratas Wistar macho no tratadas de 3 meses (n = 3) y se canularon para registrar la presión arterial y la frecuencia cardiaca post-administración de Ino. Las ratas con HFCS aumentaron Ado e Ino progresivamente en suero y en perfusado hepático; Ino incrementó la función cardiovascular. La liberación hepática de Ado e Ino por dieta enriquecida con fructosa sugiere su contribución para aumentar la glucemia por activación gluconeogénica, y el aumento sérico de Ino puede estar relacionado con hipertensión arterial.
Palabras clave: HFCS, adenosina, inosina, hígado de rata, función cardiovascular.
Articles
High fructose corn syrup supplementation progressively increased serum adenosine and inosine: Inosine raising blood pressure and heart rate in rats
La suplementación con jarabe de maíz de alta fructosa incrementó progresivamente la adenosina e inosina en suero y la inosina aumentó la presión arterial y la frecuencia cardiaca en ratas
Received: 17 June 2020
Accepted: 12 April 2021
Published: 01 September 2021
High fructose corn syrup (HFCS) is overconsumed because it is added to many foods and beverages, it has also been involved in the global obesity epidemics (Stanhope et al., 2009; Tappy, 2018). Fructose metabolism in liver includes fructolysis, lipogenesis, and purine nucleotides degradation to uric acid (Akram & Hamid, 2013; Dekker et al., 2010; Hannou et al., 2018; Softic et al., 2016). Being the liver one of the major organs that metabolizes fructose, several studies analyzed the impact of an excess of ingested fructose on hepatic metabolic routes to demonstrate its higher lipogenic role as compared to glucose (Dekker et al., 2010; Softic et al., 2016). Simultaneously to this effect, a fructose load diminished adenosine triphosphate (ATP) and guanosine triphosphate (GTP), and inorganic phosphate pools in liver cells (Morris et al., 1978; Raivio et al., 1969). These well documented actions are so dramatic that ATP reached 35% basal value in rats and about 50% value in humans (Abdelmalek et al., 2012; Morris et al., 1978; Raivio et al., 1969; Woods et al., 1970). Furthermore, ATP diminution is followed by a smaller and transient increase in adenosine diphosphate (ADP) and adenosine monophosphate (AMP), a several-fold increase in inosine monophosphate (IMP) (Rho et al., 2011), and an increase in uric acid (UA) hepatic production (end of the pathway in humans) (Nakagawa et al., 2006); in addition, nucleosides caused gluconeogenesis in several rat strains (Vaughn et al., 2014). These metabolic changes have been experimentally, epidemiologically, and clinically shown to be involved in obesity, metabolic syndrome, hypertension, and diabetes epidemics (Grundy, 2016; Johnson et al., 2017). With the aim to gain information on how these immediate metabolic changes, due to HFCS consumption, underlie the imperceptible establishment of the non-transmissible diseases epidemics, adenosine (Ado) and inosine (Ino) were measured in serum and liver perfusate, intermediate nucleosides in the synthesis of UA were known to modulate liver carbohydrate metabolism (Cortés et al., 2009; Guinzberg et al., 2006; Vaughn et al., 2014), and an increase of vasoconstriction in isolated hindlimb and blood pressure of rats (Sakai & Akima, 1978; Sousa & Diniz, 2017).
All procedures were conducted in agreement with the Mexican Regulations of Animal Care and Use (Diario Oficial de la Federación [DOF], 2001), as well as with the Guide for the Care and Use of Laboratory Animals, as promulgated by the U.S. National Institutes of Health. Rats were grouped in five cages per experimental condition (n = 3 rats per cage), in standard diet plus tap water and standard diet plus tap water enriched with 30% HFCS. All experimental protocols were approved by the Ethics Committee of the Faculty of Higher Studies Iztacala (Protocol number 1368), National Autonomous University of Mexico.
Male Wistar rats (1 month-old) were subjected to a 30% solution of HFCS-55 (55% fructose, 42% glucose, 3% other saccharides) in their drinking water plus rat PurinaTM chow standard diet (Purina, Mexico) during 1 to 5 months (n = 15). Time-paired controls fed standard diet and water ad libitum (n = 15) (Klein & Kiat, 2015; Mock et al., 2017; Yoo et al., 2017). At the end of each month, a subset of rats (n = 3 for each group) were used to measure Ado and Ino in serum and, later, to perfuse their livers. In brief, rats were anesthetized with ketamine and xylazine (75 mg/5 mg per kg BW), and a blood sample (200 µl) from Portal vein were mixed at once with 15% ethylenediaminetetraacetic acid (EDTA) (10 µl) in order to minimize Ado and Ino catabolism (Löfgren et al., 2018). The blood sample was centrifuged at 5000 rpm at 4 °C, then plasma was separated and stored at -70 °C until used. Immediately, livers were isolated and perfused through the Portal vein with Krebs-Ringer bicarbonate solution, pH 7.4 at 37 °C, and it was aerated with Perfusate flow rate was 15 ml/min during 10 min, with a Portal perfusion pressure of 12 mmHg. Isolated liver was subjected to an acute bolus of glucose (10 mM) or a combination of glucose plus fructose (5 mM each); then, aliquots of perfusate were withdrawn to measure Ado and Ino, released from livers that were weighed at the end of the perfusion time. Nucleosides were measured by spectrophotometric enzymatic assay with the method described by Olsson (Olsson, 1970), in both the serum of rats and the liver-derived perfusion liquid.
In other set of experiments, 3 months-old male Wistar rats fed with standard diet were pithed (n = 3) and administered with increasing doses of Ino i.v. (0.372 µmol/kg BW, 1.116 µmol/kg BW, 3.72 µmol/kg BW,
11.16 µmol/kg BW, 37.2 µmol/kg BW, 111.6 µmol/kg BW) to determine cardiovascular response (Klein & Kiat, 2015; López-Guerrero et al., 2005; Yoo et al., 2017). In brief, rats were anaesthetized with isofluorane through a mask, and the trachea was cannulated (polyethylene PE-50); then rats were pithed by inserting a stainless steel rod through the eye orbit and foramen magnum in order to exclude central mechanisms that regulate blood pressure and heart rate (López-Guerrero et al., 2005). The animals were artificially ventilated with a respirator (Ugo Basile, Varese, Italy), with 56 cycles per min and a volume of 2 ml/100 g. The vagi were cut, and a catheter (PE-10) was placed in the right carotid artery, which was connected to a pressure transducer (TSD-105, Biopac Systems, Inc., Santa Barbara, CA, USA), for recording blood pressure (BP) and heart rate, using a dada acquisition unit (MP100, Biopac) and AcqKnowledge software version 3.8.1 (Biopac). The right femoral vein was cannulated for drug injection (PE-10), while rats were kept at 37 °C and stabilized for 15 min; then, basal BP was determined. After collecting data, rats received either physiological saline or MRS 1220 (selective A3 receptor antagonist), and 15 min later concentration-response curves to Ino were constructed.
Ado and Ino were purchased from Sigma-Aldrich (St. Louis, MO, USA), MRS 1220 (N-[9-chloro-2-(2- furanyl)[1,2,4]-triazolo[1,5-c]quinazolin-5-yl]benzene acetamide) was purchased from Tocris (Bristol, UK), and high fructose corn syrup-55 and all other reagents were analytical grade obtained from local sources.
Statistical analysis was done with commercially available GraphPad Prism version 6.00 for Mac OS X software (La Jolla, CA, USA). Data are expressed as the mean ± SEM. Statistical significance was assessed using Student’s t test, with the significance level set at p ≤ 0.05.
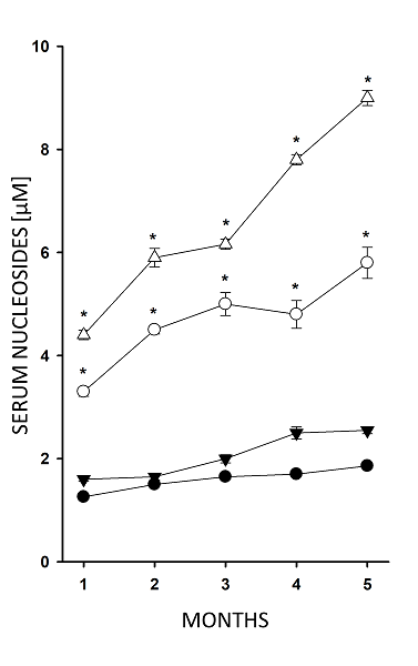
No significant differences in initial body weight, body weight gain, and final body weight were observed between rats consuming 30% HFCS plus chow diet, compared to chow plus water controls (data not shown). When blood from Portal vein was obtained from those rats, it was observed that a progressive and significant increase of serum concentrations for Ino (more than for Ado) were related to HFCS diet duration, being higher at the longest time tested (Figure 1). It is worth mentioning that the concentration of both nucleosides in rat serum leveled off since the end of the first month of HFCS-enriched diet ((2-4 fold above basal, Figure 1), and such increase was maintained until the end of the fifth month (Figure 1).

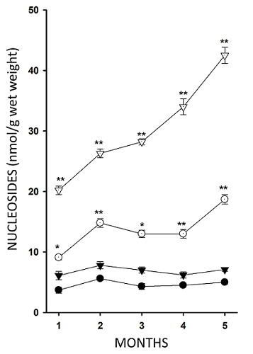
A similar pattern was observed when livers derived from HFCS-enriched diet rats were perfused; that is, Ado increased almost 4-fold and Ino (6-fold above their respective basal values at the end of the fifth month (Figure 2), in line with the results obtained in serum. A clear relationship both in chronic (along five months) and acute (from perfused livers) conditions was observed.

In addition, perfused liver released Ado and Ino after a bolus of glucose (10 mM) or a combination of glucose plus fructose (5 mM each) in an acute exposure to the sugars; as observed, Ado release increased in a time-related fashion while Ino increase was obtained at the longest time measured (Figure 3).

Regarding the cardiovascular effect of Ino in pithed rats, it was observed that Ino promoted a dose- related increase in systolic and diastolic blood pressure, as well as heart rate, reaching a maximum increase of (35 mmHg and (74 bpm at a dose of 37 µmol/kg, a higher dose diminished the responses (Figure 4). MRS 1220, a selective Ado A3 receptor antagonist, at 0.1 µmol/kg i.v. (A3R, Ki, 0.65 nM [Jacobson et al., 1997]), did not modify Ino-induced cardiovascular increased function in pithed rats (Figure 4).

Even though Ado comes from several intra- and extracellular sources, and due to its release in several physiological and pathological situations, its serum variability and that of Ino are very high (10 nM-10 µM) (Chen et al., 2013). In this regard, the fact that their serum concentrations increase as a consequence of fructose-mediated decrease in liver ATP pool (Abdelmalek et al., 2012; Morris et al., 1978; Raivio et al., 1969; Woods et al., 1970) points to the relevant role of liver in modulating these nucleosides’ concentrations in serum. Data of this study seem to be among the first reporting their basal serum concentrations over the course of several months, which slightly increased along age and is quite similar for both nucleosides. And for the first time, there are data regarding the effect of HFCS-enriched and long-lasting diet on both Ado and Ino concentrations in rat serum.
The higher values of Ino over Ado, both in serum and liver perfusate, are in accordance with the reported fructose-mediated activation of AMP deaminase, and particularly AMP deaminase 2, the main AMP deaminase in liver cells (Lanaspa et al., 2012). And these values support the paramount role of liver modulating these nucleosides’ concentration in serum. Besides, given the observed pattern of extracellular Ino, and for practical purposes, it might be worthwhile to measure Ino periodically in human serum as a prognosis indicator for metabolic alterations. Furthermore, it has been reported that increase in serum UA (end of the pathway in humans), due to fructose consumption, could be the cause of fructose-induced metabolic syndrome (Gong et al., 2020; King et al., 2018; Nakagawa et al., 2006); in this scenario, the increase of Ado and Ino (this work) supports the higher activity of UA formation pathway.
It is intriguing that Ado and Ino are present in serum and released from liver, and it is noteworthy that such pattern was maintained or even increased as time with HFCS-enriched diet was longer. Moreover, the physiological and pathological roles of these extracellular nucleosides might contribute to favor the progression of mentioned epidemics; that is to say, Ino and Ado acting through hepatic receptors might increase gluconeogenesis and glycogenolysis, thus, raising blood glucose persistently (Cortés et al., 2009; Guinzberg et al., 2006). On the other hand, it has been reported that Ado and Ino increase vasoconstriction in the isolated hind limb and blood pressure of rats (Sakai & Akima, 1978; Sousa & Diniz, 2017); these findings, along with this research’s findings regarding Ino increase due to HFCS-enriched diet, prompted us to study its actions in the pithed rat. It was observed that Ino increased blood pressure and heart rate in a dose-dependent manner up to (35 mmHg and (74 bpm, respectively. The fact that MRS 1220 did not displace the Ino pressor effect indicates that A3 receptors might not be involved, in contrast to MRS 1220 displacement in rabbit hearts after nucleosides protection during cardiac preconditioning (McCully et al., 2001). It is also known that when an agonist (Ado/Ino) reaches its maximal effect, the next dose produces a decrease, meaning that the receptor system is desensitized (Mundell & Kelly, 2011). However, the blood pressure increase seems to be related to a tryptaminergic mechanism, since it was blocked by methysergide (Sakai & Akima, 1978) and not through A3R blockade by MRS 1220, a selective A3R antagonist (this work).
Data suggest that the here observed HFCS-mediated increase of Ado and Ino in rats, the Ino-mediated rise in rat cardiovascular function, and knowing that both Ado and Ino are hyperglycemic compounds, together with numerous metabolic disturbances produced by fructose loads, lead to postulate that those disturbances underlie in HFCS-induced metabolic alterations.
HFCS is added to many foods and beverages; in this regard, a high accumulated dose of fructose is being ingested daily by the population. It was attempted in this experiment to emulate that high dose; however, further research is needed to test that purine nucleosides are involved in the current obesity pandemic.
Conflict of Interest
The authors declare that they have no conflict of interest.
Authors thank PAPIIT, DGAPA, U.N.A.M. for grants IN227116 (RV-M) and IN218112-2 (EP). U.N.A.M. had no role in study design, data collected or manuscript writing. We also thank L. Flores-Sánchez, T. E. Villamar- Duque, and F. Barrón-Moreno from FES-Iztacala, UNAM, for their aid in animal care and housing.
* Corresponding author villalobos@unam.mx



