Artículos
Caracterización climática y variabilidad de temperatura superficial de la llanura costera de Nayarit y su teleconexión con ENSO y PDO
Climate characterization and temperature variability of the coastal plain of Nayarit and their teleconnection with ENSO and PDO
Caracterización climática y variabilidad de temperatura superficial de la llanura costera de Nayarit y su teleconexión con ENSO y PDO
Acta universitaria, vol. 30, e2651, 2020
Universidad de Guanajuato, Dirección de Investigación y Posgrado
Recepción: 29 Agosto 2019
Aprobación: 30 Octubre 2020
Publicación: 02 Diciembre 2020
Resumen: Para entender el cambio climático se debe estudiar la variabilidad climática, esta se centra en denotar aquellos comportamientos del estado del tiempo considerados fuera de lo normal y su relación con la variación natural del planeta, como el fenómeno El Niño-Oscilación del Sur (ENSO) y la Oscilación Decadal del Pacífico (PDO). El objetivo de esta investigación fue conocer la variabilidad climática de un fragmento de la llanura costera del estado de Nayarit, México, área predominante de cobertura manglar, lagunas y uso agropecuario. La investigación se expone en tres partes: caracterización climática, análisis de variabilidad (anual, mensual e interdecadal) y su teleconexión con índices ENSO y PDO. La variación interdecadal demostró un aumento de la temperatura mínima, disminución de la temperatura máxima y disminución de precipitación en las últimas dos décadas. Se encontró 30% de correlación con ENSO (las correlaciones más altas en los meses de verano) y 25% con PDO.
Palabras clave: Cambio climático, zona costera, índice MEI, índice ONI.
Abstract: To understand climate change, climate variability should be studied. Climate variability focuses on denoting those weather behaviors that are considered out of the ordinary and their relationship with the planet’s natural variation, such as El Niño-Southern Oscillation (ENSO) and the Pacific Decadal Oscillation (PDO) phenomena. The objective of this research was to know the climatic variability of a fragment of the coastal plain of the state of Nayarit, Mexico, a predominant area of mangrove cover, lagoons, and agricultural use. The investigation is presented in three parts: climatic characterization, variability analysis (annual, monthly, and interdecadal), and its teleconnection with ENSO and PDO indices. The interdecadal variation showed an increase in the minimum temperature, a decrease in the maximum temperature, and a decrease in the precipitation in the last two decades. A 30% correlation was found with ENSO (the highest correlations in the summer months) and 25% with PDO.
Keywords: Climate change, coastal zone, MEI index, ONI index.
Introducción
El monitoreo del clima es una labor importante para cualquier región. En la actualidad, su estudio ha cobrado fuerza dada su relación con temas como salud, seguridad, planeación económica e impactos en otros procesos socioeconómicos en países que basan su desarrollo en el manejo de los recursos naturales como México (Carrillo, Velázquez, Morales, Martínez & Rendón, 2018). Además de lo anterior, a nivel internacional, el interés por conocer la variabilidad climática se debe a que es una forma de entender el fenómeno del cambio climático (Méndez, Ramírez, Cornejo, Zárate & Cavazos, 2010).
De acuerdo con el Grupo Intergubernamental de Expertos sobre el Cambio Climático (IPCC, por sus siglas en inglés), el cambio climático es la variación del estado del clima identificable por métodos estadísticos durante largos periodos de tiempo, atribuido a la variación climática natural del planeta en conjunto con las acciones humanas que afectan directamente el clima (como emisiones de gases a la atmósfera y cambios del uso del suelo) (IPCC, 2007, 2014). Aunque el cambio climático ha sido arduamente estudiado, aun no se tiene una evidencia clara de su comportamiento; por lo tanto, es imposible tener certeza de su pronóstico (Vázquez, 2010).
Lo que se puede conocer es la variabilidad climática de una zona y sus causas atribuibles a la variación climática natural del planeta (dinámica interna) y/o forzamientos externos (dinámica externa), como actividad solar, volcánica o antropogénica (Carrillo et al., 2018). La variación climática natural es originada por la interacción océano-atmósfera que se da en distintos puntos del globo terrestre y que se relaciona con el comportamiento climático en determinadas zonas; a esta relación se le denomina teleconexión (Méndez et al., 2010).
Una de las principales señales de variación climática natural es el fenómeno El Niño-Oscilación del Sur (ENSO, por sus siglas en inglés). Este fenómeno es un proceso acoplado océano-atmósfera que sucede por causa de la constante redistribución de calor en el Pacífico ecuatorial. Su efecto perturba la circulación de energía en la región intertropical, lo que desencadena cambios en los patrones de lluvia y convección, que a su vez repercute en la circulación atmosférica y el clima del globo (Trenberth, 1997). Su actividad opera interanualmente y es identificada en distintas partes del mundo (Zebiak et al., 2014), con mayor influencia en las regiones tropicales (Bjerknes, 1969). En México se han identificado relaciones significativas con distintas alteraciones en precipitación (Magaña, Vázquez, Pérez & Pérez, 2003; Méndez, Návar, González & Treviño, 2007) y temperatura (Cruz-Rico, Rivas & Tejeda, 2015).
Para medir el fenómeno ENSO existen diferentes índices, algunos de los más utilizados son el índice multivariado de El Niño (MEI, por sus siglas en inglés) y el índice del Niño Oceánico (ONI, por sus siglas en inglés). Como lo describe Méndez et al. (2007) y Carrillo et al. (2018), MEI es calculado usando las variables presión a nivel del mar, viento zonal y meridional de superficie, temperatura superficial del mar y nubosidad observadas en periodos de cada dos meses en el Pacífico tropical. Por otro lado, ONI es calculado a partir de las anomalías de la temperatura superficial del mar registradas en un sector del océano Pacífico tropical (para México se toma la región nombrada 3.4) en periodos de cada tres meses. Si durante el tiempo establecido (bimestral para MEI y trimestral para ONI) la anomalía se mantiene mayor a 0.5, el fenómeno se identifica como El Niño; por el contrario, si la anomalía es negativa, este se identifica como La Niña. A mayor valor de la anomalía mayor será la intensidad del fenómeno.
Otra de las señales identificadas de variación climática natural para América es la Oscilación Decadal del Pacífico (PDO, por sus siglas en inglés), específicamente por su influencia en el Pacífico Norte (Pavia, Graef & Reyes, 2006). PDO fue descrito en 1997 por Mantua, Hare, Zhang, Wallace & Francis como una oscilación de la anomalía de la temperatura superficial del mar en el Océano Pacífico en un periodo largo (decenal), manifestándose principalmente durante la estación invernal (Mantua & Hare, 2002). En el noroeste de México la teleconexión con PDO es persistente sobre precipitación (Díaz, Salinas & Hernández, 2008) y temperatura (Lobato & Altamirano, 2017), generalizando la fase positiva de PDO asociada con condiciones de mayor humedad y la fase negativa con periodos secos.
Para determinar la teleconexión de ENSO y PDO con el comportamiento climático en determinadas zonas, se realiza el análisis a nivel estacional (Pavia et al., 2006). Sin embargo, Méndez et al. (2010) resaltan la importancia de realizarlo a escala mensual, dada la practicidad de esta para vislumbrar posibles impactos y consecuencias. Si bien el tema se ha estudiado en distintas zonas de México a nivel regional, el verdadero reto es el análisis a nivel local, con particular atención en las zonas costeras tropicales (Carrillo et al., 2018). Las zonas costeras son áreas que, por su locación y características, pueden ser más susceptibles a los impactos de la variabilidad climática, provocando afectaciones socioeconómicas y ambientales (IPCC, 2014).
En este sentido, la presente investigación tiene como objetivo describir el comportamiento climático de una parte de la Llanura Costera del Pacifico mexicano (específicamente un fragmento correspondiente al estado de Nayarit), analizar la variabilidad de temperatura superficial en la zona (anual, mensual e interdecadal) y su teleconexión con el fenómeno ENSO (índices MEI y ONI) y PDO.
Contexto del área de estudio
De acuerdo con información del Instituto Nacional de Estadística y Geografía (INEGI, 2000), la región fisiográfica Llanura Costera del Pacífico es una zona baja costera que se extiende en México por los estados de Nayarit, Sinaloa y Sonora. En Nayarit, esta llanura forma parte del paisaje de seis municipios: San Blas, Santiago Ixcuintla, Tuxpan, Ruiz, Rosamorada, Tecuala y Acaponeta, representando el 23% del territorio estatal (González et al., 2009). El área se sitúa entre la dinámica marina y la afluencia de los ríos Santiago, San Pedro y Acaponeta. Por estas características geográficas, se trata de una zona fértil importante para la producción agrícola y acuícola del estado de Nayarit (Bojórquez et al., 2006).
Debido a la información disponible en las bases de datos de estaciones climatológicas, en esta investigación se analizó el área centro-sur de la llanura costera de Nayarit, la cual comprende los municipios de San Blas, Santiago Ixcuintla, Tuxpan, un fragmento de Ruiz y Rosamorada. El polígono del área de estudio delimita al sur con la Bahía de Matanchén (San Blas) y al norte con el canal de Cuautla (Santiago Ixcuintla), superficie total aproximada de 2751 km2 (Figura 1).

Según datos de la cartografía Uso del Suelo y Vegetación serie VI (INEGI, 2017), la cobertura predominante en el área de estudio es el manglar y la vegetación halófila e hidrófila (32%) (cobertura dominante de las estaciones 1 y 5), seguido de la vegetación secundaria arbustiva (8%). El uso predominante es la actividad agrícola (52.5%) debido a sus suelos fértiles (cobertura de las estaciones 2, 3, 4 y 6) y cercanía con cuerpos de agua, los cuales constituyen el 5.5% de la superficie total. El resto de la superficie se compone de asentamientos humanos y zonas de selva mediana y baja a las orillas de las laderas serranas. La altitud del terreno varía entre 0 msnm y 45 msnm.
Materiales y métodos
Los datos de temperatura y precipitación utilizados fueron proporcionados por tres instituciones: el Servicio Meteorológico Nacional (SMN); el Instituto de Investigaciones Forestales, Agrícolas y Pecuarias (Inifap); y la Secretaría de Marina (Semar).
Las series más antiguas y con mayor número de datos fueron obtenidas del SMN, disponibles a través de la base de datos climatológicos Climate Computing Project (Clicom), procedentes de tomas diarias de datos. Las series de datos más recientes (2010-2015) fueron proporcionados por el Inifap con datos de tomas diarias y la Semar con datos diarios cada 15 minutos de temperatura promedio y precipitación. Estas últimas solo fueron utilizadas para unir dos series de datos de estaciones proporcionadas por el SMN (Santiago Ixcuintla y San Blas, respectivamente) con el fin de realizar el ejercicio con datos de 1960 a 2015. Las estaciones del SMN y las estaciones de Inifap y Semar se encuentran ubicadas muy cerca entre ellas (menos de 3 km). Para decidir unirlas, al no tener el mismo número de observaciones, se optó por comprobar su homogeneidad comparando los descriptores (promedio, varianza, mínimo, máximo, Q1, mediana, Q3 y rango) con la prueba chi-cuadrado de homogeneidad (X2 ) al 95% de nivel de confianza.
En total se tomaron datos de ocho estaciones (seis de SMN, una de Inifap y una de Semar) (Figura 1 y Tabla 1). Las estaciones fueron seleccionadas porque cumplen con registros igual o mayor a 30 años (con excepción de las estaciones proporcionadas por Inifap y Semar) y con más del 80% de la información consistente, como lo señalan investigaciones similares (Cruz-Rico et al., 2015; Méndez et al., 2010). Los datos faltantes de las estaciones se completaron con las estimaciones hechas por Harris et al. (2014) reducidas a escala y disponibles en la base de datos WorldClim 2.1 (https://www.worldclim.org) (Fick & Hijmans, 2017).

Para realizar la caracterización climática se siguió el método utilizado por Velázquez, Martínez & Carrillo (2012). Primero, se elaboró un mapa de distribución espacial de temperatura promedio a través del cálculo del gradiente térmico, de acuerdo con la propuesta de Ramos, Máximo, Flores & Cortés (2007). Posteriormente, se elaboró un mapa de distribución espacial de precipitación promedio anual realizado con interpolación por método de ponderación de distancia inversa, como lo sugieren Sluiter (2009) y Alzate, Araujo, Rojas, Gómez & Martínez (2018). Finalmente, se caracterizó el área de acuerdo con el sistema de clasificación de Köppen modificado por García (2004). Los tres mapas se construyeron utilizando como herramienta un sistema de información geográfica (SIG).
Para analizar la variabilidad, se replicaron los ejercicios realizados por Carrillo et al. (2018), análisis de tendencias de promedios mensuales, patrón anual y comparaciones decenales. Para detectar la teleconexión, se siguieron los trabajos de Cruz-Rico et al. (2015) y Méndez et al. (2010); se calcularon las anomalías estandarizadas en la serie de datos y, a partir de estas, se calculó el coeficiente de correlación (correlación de Pearson al 95% de nivel de confianza) con ENSO (índices MEI y ONI) y PDO. Los índices MEI y ONI fueron extraídos de la plataforma National Oceanic and Atmospheric Administration (NOAA) (https://www.noaa.gov) y el índice PDO del Cooperative Institute for Climate, Ocean, and Ecosystem Studies (CICOES) (https://cicoes.uw.edu/).
Con la intención de complementar el análisis de teleconexión, se realizó un ejercicio con redes bayesianas para identificar tendencias específicas de temperatura referente a la influencia del fenómeno ENSO. Las redes bayesianas son un método estadístico utilizado para hacer predicciones en datos que no responden a un fundamento teórico causa y efecto como tal, por esa razón se ha implementado para realizar predicciones de variables climáticas y fenómeno ENSO (Cano, Sordo & Gutiérrez, 2004). Las redes bayesianas pueden identificar cualquier tipo de tendencia. Se rigen bajo los principios de la probabilidad para realizar las predicciones. Con este análisis se busca responder la pregunta ¿qué probabilidad hay de que la temperatura superficial (promedio, máxima, mínima) aumente o disminuya en cierta zona durante los periodos El Niño o La Niña del fenómeno ENSO?
El ejercicio se realizó con la información de los índices MEI y ONI, así como de las anomalías estandarizadas de temperatura promedio, máxima y mínima de las estaciones unidas San Blas (estaciones 1 y 8) y Santiago (estaciones 2 y 7) por ser las series con mayor número de datos (1960-2015). Para responder a la pregunta, se estipuló a la anomalía de temperatura como el evento a predecir (A) y el índice MEI como el evento que sucede (B). Los datos fueron seccionados en cuartiles para crear matrices de probabilidad. Se calculó el valor para el evento A dado que B suceda en cada celda de la matriz. Posteriormente, se calculó la probabilidad condicional a partir de la siguiente ecuación:

Para probar si son estadísticamente dependientes, se utilizó la ecuación de independencia estadística, y se comprobó con prueba chi-cuadado (X2 ) modelo de independencia al 95% de nivel de confianza.
Resultados
De acuerdo con las series de datos analizadas, la temperatura promedio (Tp) del área de estudio es de 26.2 ºC, la temperatura máxima (TM) promedio es de 32.7 ºC, la temperatura mínima (Tm) promedio es de 19.7 ºC (con oscilaciones térmicas menores a 1 ºC) y la precipitación promedio anual (PP) es de 1334 mm, con variación menor a 212 mm (Tabla 2).

El gradiente térmico es la variación de la temperatura por unidad de distancia con respecto al mar. Para el área de estudio, el gradiente térmico vertical es 6.45 grados por cada 1000 m de altura, distinto a como ocurre en otras zonas costeras con distinta morfología, por ejemplo, Puerto Vallarta, donde el gradiente térmico es de 4.7 grados por cada 1000 m (Velázquez et al., 2012).
La distribución de la temperatura promedio es homogénea para toda el área (26.5 °C-26 ºC) (Figura 2a), con exclusión de dos elevaciones (puntos con mayor altitud del área de estudio con 110 msnm en el municipio de San Blas y 300 msnm en los límites entre Ruiz y Tuxpan), en donde la temperatura promedio varía entre 24 °C y 25 ºC. Los meses más calientes son mayo y junio con temperaturas máximas entre 34.5 °C y 35 ºC. La temperatura alta se mantiene durante los meses de julio, agosto, septiembre y octubre entre los 33 °C y 34 ºC. Los meses más fríos son enero, febrero y marzo con temperaturas mínimas entre 15 °C y 15.5 ºC (Figura 2b).

La distribución de precipitación promedio anual presenta variación en el área, diferenciando tres zonas (Figura 2c): Tizate-Capomal (estaciones 3 y 4) fue la zona con mayor precipitación (entre 1400 mm y 1500 mm) localizada cerca de las laderas del paisaje de montaña; San Blas (estaciones 1 y 8) fue la zona donde la precipitación se acercó más al promedio del área (entre 1200 mm y 1300 mm); y situado al norte, Mexcaltitán fue la zona de menor precipitación (alrededor de los 1000 mm). La temporada de lluvias se presenta en los meses de verano y parte de otoño, siendo julio, agosto y septiembre los de mayor abundancia. Los meses más secos son marzo abril y mayo (Figura 2d).
De acuerdo con los resultados y la clasificación climática de Köppen modificado por García (2004), el área de estudio presenta clima cálido subhúmedo (Aw). Por la variación de precipitación, en relación con la temperatura promedio (P/T), se divide en tres subtipos (nomenclatura tomada de Velázquez et al., 2012) (Figura 3):
Aw0(w)(i’): El más seco de los climas cálidos subhúmedos, con lluvias en verano (temperatura media anual mayor a 22 ºC y el mes más frío mayor a 18 ºC); cociente P/T menor que 43.2 mm/ºC y poca oscilación térmica (5 °C a 7 ºC). Este subtipo se presenta en la zona de Mexcaltitán (estación 5) con altitud de 0 msnm a 5 msnm y menor registro de precipitación del área (inferior a 1100 mm).
Aw1(w)(i’): Clima cálido subhúmedo intermedio, con lluvias en verano (temperatura media anual mayor a 22 ºC y el mes más frío mayor a 18 ºC); cociente P/T entre 43.2 mm/ºC y 55.3 mm/ºC y poca oscilación térmica (5 °C a 7 ºC). Este subtipo corresponde al clima predominante del área; se extiende desde la zona de San Blas (estación 1), incluyendo las estaciones Santiago Ixcuintla (estaciones 2 y 7) y San Pedro (estación 6), con altitudes entre 0 msnm y 30 msnm y una distribución de precipitación media entre 1200 mm y 1350 mm.
Aw2(w)(i’): El más húmedo de los climas cálidos subhúmedos, con lluvias en verano (temperatura media anual mayor a 22 ºC y el mes más frío mayor a 18 ºC); cociente P/T menor que 55.3 mm/ºC y poca oscilación térmica (5 °C a 7 ºC). Este subtipo representa una zona pequeña del área circundante a la parte serrana del territorio; se extiende por las estaciones Tizate y Capomal (estaciones 3 y 4), con altitudes entre 20 m y 40 m y mayor registro de precipitación del área (superior a los 1450 mm).

Analizando los promedios que se muestran en la Tabla 2, se observó un decremento de la temperatura promedio en las estaciones con datos más recientes (estaciones 7 y 8) con respecto a los años posteriores (estaciones 1 y 2), así como de temperatura máxima y mínima con diferencia poco menos de un grado entre fechas anteriores y posteriores al 2006. Sin embargo, al analizar los promedios anuales (1960-2015) de las series unidas San Blas (estaciones 1 y 8) y Santiago Ixcuintla (estaciones 2 y 7), se encontró que, en el caso de San Blas, la tendencia de la temperatura máxima va en aumento, pero la temperatura mínima disminuye (Figura 4a). Por el contrario, en Santiago Ixcuintla la temperatura máxima tiende a aumentar al igual que la temperatura mínima (Figura 4b).

Al analizar la variación interdecadal para el área de estudio se observó un comportamiento distinto, una tendencia de la temperatura máxima a disminuir y temperatura mínima a aumentar (Figura 5). La década de 1990 presentó el registro más alto de temperatura máxima (33.2 ºC) (Figura 5a); simultáneamente, la misma década presentó uno de los registros más bajos de temperatura mínima (19.7 ºC) (Figura 5c) y registró una mayor precipitación (1504 mm). A partir del 2000, se observó una constante disminución de la temperatura máxima y un aumento de la temperatura mínima, reflejado en una tendencia decreciente de la temperatura promedio (Figura 5b). Asimismo, se observó la tendencia de la precipitación en disminución (Figura 5d).

La teleconexión de las estaciones con ENSO se despliega en la Tabla 3, la mayoría de las correlaciones que se encontraron fueron estadísticamente significativas. Los coeficientes más altos de correlación se obtuvieron con las anomalías de temperatura promedio de las estaciones 7 y 8 (CESIX y San Blas, respectivamente), ambas con datos del 2010 al 2015, de tipo automáticas, diferentes al resto de las estaciones que son de tipo manual. Las mismas mantienen coeficientes altos de correlación en anomalías de temperatura máxima y mínima. Como lo señala Carrillo et al. (2018), con base en lo que afirma Wolter (1987), es común encontrar mayor correlación de ENSO con los valores de temperatura promedio que con los valores de temperatura máxima y mínima. Esto probablemente se deba a que los índices MEI y ONI son calculados a partir de las anomalías de la temperatura promedio de la superficie del mar y no con máximos o mínimos.

En la Figura 6a y 6b se presenta con detalle anual la correlación del índice MEI y ONI con las anomalías de la temperatura promedio de la serie unida San Blas (estación 1 y 8). Se obtuvo correlación estadísticamente significativa de 0.38 (p< 0.05) para MEI y 0.35 para ONI (p< 0.05) (Tabla 3). Se aprecia a partir del año 2003 un aumento de correlación alineado alrededor de 75% con los registros entre 2010 y 2015.

Para la serie unida Santiago Ixcuintla (estación 2 y 7) se encontró correlación estadísticamente significativa de las anomalías de temperatura promedio con MEI 0.30 (p < 0.05) y ONI 0.23 (p < 0.05) (Tabla 3). Aunque la correlación es menor con respecto a los datos de la serie unida San Blas, el comportamiento en los años más recientes es similar. En la Figura 6c y 6d se observa que partir del año 2000 hay una mayor alineación entre las anomalías de temperatura promedio y los valores de MEI y ONI, entre 60% y 70% (Tabla 3).
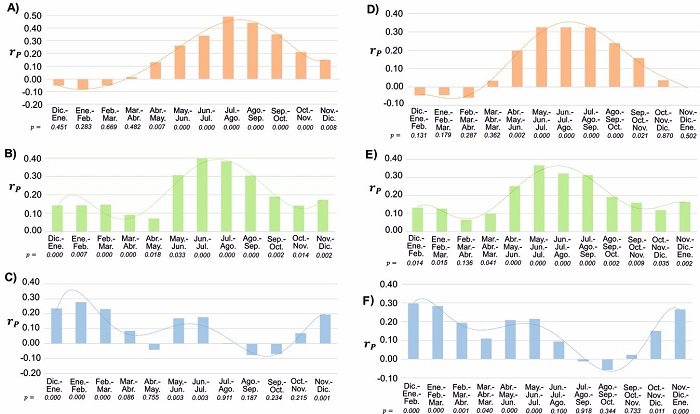
Se analizó la teleconexión de MEI y ONI en el transcurso del año para la anomalía de temperatura promedio (Figura 7b y 7e), máxima (Figura 7a y 7d) y mínima (Figura 7c y 7f) tomando los valores de todas las series. Los meses de mayor correlación estadísticamente significativa para anomalías de temperatura promedio fueron junio, julio, agosto y septiembre, siendo julio el de mayor correlación para el MEI (0.40, p< 0.05) y junio el de mayor correlación para el ONI (0.37, p< 0.05). Los meses marzo y abril fueron los de menor correlación.

Para anomalías de temperatura máxima, los meses de mayor correlación estadísticamente significativa fueron julio, agosto y septiembre (para MEI) y el mes de junio adicional a los anteriores (para ONI). En ambos índices agosto fue el mes con mayor correlación (0.49, p< 0.05 y 0.32, p< 0.05, respectivamente). Es de notar que los meses de diciembre a abril presentan correlaciones negativas en ambos índices; sin embargo, no son significativas.
Por el contrario, los meses con mayor correlación estadísticamente significativa con la anomalía de temperatura mínima fueron diciembre, enero, febrero y marzo tanto para MEI como para ONI, siendo febrero el de mayor correlación (0.28, p< 0.05). De manera inversa, los meses agosto, septiembre y octubre presentaron correlaciones negativas (entre 0 y -0.08, p> 0.05), pero no son significativas.
Los registros de la década del 2010 (correspondiente a las estaciones San Blas y Santiago Ixcuintla) fueron las que presentaron la mayor correlación estadísticamente significativa con PDO en anomalía de temperatura promedio, máxima y mínima con valores entre 0.21 y 0.63 (p< 0.05) (Figura 8a, 8b y 8c). En el resto de las estaciones las correlaciones no fueron estadísticamente significativas, con excepción de Santiago y Mexcaltitán (década 1980), correlación de 0.18 y 0.25 (p< 0.05) en anomalías de temperatura promedio, respectivamente. Tizate (década 1970), San Blas (década 1990) y Mexcaltitán (década 2000) registraron correlación de -0.33, 0.23 y 0.22 (p< 0.05) en anomalías de temperatura máxima, respectivamente. La estación Santiago de 1970 al 2000 (valores entre 0.20 y 0.25, p< 0.05), Mexcaltitán y San Pedro en la década de 1970 (0.22 y 0.21, p< 0.05) presentaron correlación con anomalía de la temperatura mínima.

Al analizar las correlaciones mensualmente para anomalías de temperatura máxima, se obtuvieron los meses de junio, julio, agosto y septiembre con los valores mayores de correlaciones estadísticamente significativas (0.21 a 0.29, p< 0.05) (Figura 8d). Para las temperaturas mínimas, los meses con mayor correlación positiva significativa fueron febrero, noviembre y diciembre, con valores entre 0.10 y 0.23 (p< 0.05). También se encontró correlación negativa en los meses de mayo a octubre, pero sin ser significativa (entre -0.11 y -0.14, p> 0.05) (Figura 8e). Se realizó el mismo ejercicio para la temperatura promedio, resultando los meses junio, julio, agosto y septiembre con las correlaciones significativas más altas (entre 0.16 y 0.27, p< 0.05) (Figura 8f), que son los mismos meses que en la correlación con anomalías de temperatura máxima, pero con valores menores.
Complementando el análisis de teleconexión con el fenómeno ENSO, en la Tabla 4 y Tabla 5 se presentan los resultados del análisis de redes bayesianas para las series de datos de las estaciones unidas San Blas (estaciones 1 y 8) y Santiago Ixcuintla (estaciones 2 y 7). En sombreado obscuro en la matriz de probabilidad condicional, se señalan las probabilidades de que suceda el evento A (anomalías de temperatura) durante los cuartiles extremos del evento B correspondientes al periodo Niño (x > Q3) y Niña (x ≤ Q1). Para corroborar la dependencia de esta relación, en sombreado obscuro en la matriz de prueba de independencia, se señalan los casos (A dado que B suceda) en los que existe dependencia estadística (p> 3.8) entre la anomalía de temperatura y el fenómeno ENSO.




De acuerdo con este análisis, para la zona de estación San Blas hay 31% de probabilidad que la temperatura máxima aumente entre 0.7 °C y 3.1 ºC cuando hay periodo Niño (MEI > 0.8) (29% de probabilidad que aumente entre 0.6 °C y 3 ºC índice ONI > 0.5) y 41% de probabilidad que disminuya entre 0.6 °C y 2.1 ºC cuando hay periodo Niña (MEI < -0.5) (39% de probabilidad que disminuya entre 6 °C y 1.9 ºC índice ONI < 0.5). Para la temperatura promedio existe 35% de probabilidad que esta aumente entre 0.7 °C y 2 ºC cuando hay periodo Niño índice MEI (39% de probabilidad que aumente entre 0.6 °C y 2 ºC índice ONI) y 48% de probabilidad que disminuya entre 0.4 °C y 3.2 ºC cuando hay periodo Niña índice MEI (42% de probabilidad que disminuya entre 0.4 °C y 3.1 ºC índice ONI). Para el caso de la temperatura mínima hay 35% de probabilidad que aumente entre 0.6 °C y 2 ºC cuando hay periodo Niño índice MEI (36% de probabilidad que aumente entre 0.6 °C y 1.9 ºC índice ONI) y 39% de probabilidad que disminuya entre 0.4 °C y 3.2 ºC cuando hay periodo Niña índice MEI (37% de probabilidad que disminuya entre 0.4 °C y 2.9 ºC índice ONI). Para estas condiciones la relación es estadísticamente dependiente.
Para la zona de la estación Santiago Ixcuintla se encontraron resultados similares de probabilidad condicional, pero mayor incremento de temperatura durante periodo Niño. Existe 32% de probabilidad que la temperatura máxima aumente entre 0.6 °C y 3.8 ºC cuando hay periodo Niño índice MEI (28% de probabilidad que aumente entre 0.5 °C y 3.6 ºC índice ONI) y 37% de probabilidad que disminuya entre 0.5 °C y 2.8 ºC cuando hay periodo Niña índice MEI (30% de probabilidad que disminuya entre 5 °C y 2.1 ºC índice ONI). Para la temperatura promedio existe 33% de probabilidad que aumente entre 0.6 °C y 2.6 ºC cuando hay periodo Niño índice MEI (29% de probabilidad que aumente entre 0.6 °C y 2.3 ºC índice ONI) y 37% de probabilidad que disminuya entre 0.6 °C y 2.6 ºC cuando hay periodo Niña índice MEI (37% de probabilidad que disminuya entre 0.5 °C y 2.6 ºC índice ONI). Para el caso de la temperatura mínima hay 32% de probabilidad que aumente entre 0.7 °C y 3.8 ºC cuando hay periodo Niño índice MEI (34% de probabilidad que aumente entre 0.7 °C y 2.5 ºC índice ONI) y 37% de probabilidad que disminuya entre 0.6 °C y 2.6 ºC cuando hay periodo Niña (MEI < -0.5) (47% de probabilidad que disminuya entre 0.5 °C y 2.4 ºC índice ONI < 0.5). Para estas condiciones la relación es estadísticamente dependiente, con excepción de la condición incremento de temperatura máxima en periodo Niño índice ONI.
De manera general, en ambas estaciones las probabilidades de incremento y decremento de temperatura en periodo Niño y Niña son similares, la diferencia recae en los valores de la anomalía de temperatura. En la estación San Blas el decremento de temperatura durante el periodo Niña es mayor que en la estación Santiago Ixcuintla. Por el contrario, en la estación Santiago Ixcuintla el incremento de la temperatura durante periodo Niño es mayor que en la estación San Blas. Sin embargo, en la mayoría de los casos, las probabilidades de las condiciones de la anomalía de temperatura con los periodos Niño y Niña no fueron estadísticamente superiores al resto de las condiciones de temperatura con periodo neutro de ENSO. Algunas de las mayores anomalías de temperatura se dieron durante periodos neutros, especialmente de temperatura máxima.
Cabe destacar que en la mayoría de las condiciones de temperatura mínima con los índices MEI y ONI (en ambas estaciones) la relación fue estadísticamente dependiente, a diferencia de las condiciones con temperatura máxima y promedio. Esto demuestra mayor dependencia entre ENSO y las anomalías de temperatura mínima en la zona.
Discusión
De acuerdo con los resultados de la distribución espacial de la temperatura, no hay completa correlación entre altura y temperatura. Los datos de las estaciones reflejan que sucede una inversión térmica en la zona de Santiago Ixcuintla, ya que las estaciones que se encuentran a 19 m, 20 m y 35 m de altitud (estaciones 2, 3 y 4) presentan valores mayores en temperatura promedio y temperatura máxima que las estaciones que están a menor altura (estaciones 1 y 5). Sin embargo, si responden a la correlación del gradiente alto térmico en temperatura mínima, posiblemente se deba a la circulación de viento que modula la temperatura en las estaciones 1 y 5 cercanas a la costa. Este mismo fenómeno sucede en otras estaciones meteorológicas cercanas a la línea de costa (Morales, Carrillo, Cornejo, Téllez & Farfán, 2013). Adicionalmente, se expone la necesidad de estudiar a detalle la zona de las estaciones 2, 3 y 4 para identificar la razón del comportamiento de la temperatura; además, se especula una posible relación con cambios de cobertura y uso de suelo, así como desplazamiento de cobertura vegetal por actividad agrícola y pecuaria (De la Lanza, Gómez, Blanco, Flores & Hernández, 2010; González et al., 2009).
Los resultados de la distribución espacial de la precipitación demostraron disminución hacia el norte del área de estudio, esto concuerdan con los señalado por García (2003), quien expone a la llanura costera del Pacífico en su sección noroeste como una de las partes más secas del país. Particularmente, este comportamiento se observó en la zona de la estación Mexcaltitán y podría estar asociado a condiciones topográficas de la cuenca del río San Pedro-Mezquital (Vega-Camarena, Brito-Castillo & Farfán, 2018). Asimismo, los resultados de la distribución estacional de precipitación son similares a lo expuesto por Bojórquez et al. (2006) para la llanura costera de Nayarit y por García & Cruz (2009) en general para toda región Pacífico Norte. Como lo explica Brito-Castillo et al. (2010), la precipitación en esta área se debe a lluvias de convección en verano (por tratarse de un área llana) y de asociación con el periodo de formación de ciclones tropicales en el océano Pacífico.
La clasificación climática resultante concuerda con el trabajo de Bojórquez et al. (2006) para la llanura costera y suma al resultado de Velázquez et al. (2012) para el área aledaña a la costa de la región de Bahía de Banderas (zona costera al sur del estado de Nayarit), en donde predominan los climas cálidos subhúmedos (Aw). Aunque estos climas son característicos por tener poca oscilación térmica, las variaciones en el tiempo de temperatura máxima y mínima pueden tener implicaciones en la región.
Analizando los promedios que se muestran en la Tabla 2, se observó un decremento de la temperatura promedio en las estaciones con datos más recientes (estaciones 7 y 8) respecto a los años posteriores (estaciones 1 y 2), así como un decremento de temperatura máxima y mínima con diferencia poco menos de un grado entre fechas anteriores y posteriores al 2006. Sin embargo, al analizar los promedios anuales (1960-2015) de las series unidas San Blas (estaciones 1 y 8) y Santiago Ixcuintla (estaciones 2 y 7), se encontró que en el caso de San Blas la tendencia de la temperatura máxima aumenta, pero la temperatura mínima disminuye (Figura 4a). En caso contrario, en Santiago Ixcuintla la temperatura máxima tiende a aumentar al igual que la temperatura mínima (Figura 4b). Esto podría ser por las diferencias morfológicas de las zonas y por la distribución de temperatura por el flujo del viento (Morales et al., 2013). San Blas es un área colindante a la línea de costa rodeada de lagunas costeras y cobertura manglar, mientras que el área de Santiago Ixcuintla prevalece de cultivos forrajeros. Como lo explican distintas investigaciones descritas en Carbajal & Pabón (2016), la topografía y cobertura vegetal pueden tener un papel fundamental en las variaciones de temperatura; se ha demostrado que la transformación de cobertura selvática a pastizal incrementa la temperatura superficial.
En la teleconexión con ENSO (índice MEI y ONI) los resultados obtenidos para la serie San Blas y Santiago Ixcuintla son similares a los encontrados por Carrillo et al. (2018) en la región costera Bahía de Banderas, con correlaciones entre 60% y 70%, siendo los periodos más recientes (años 2008-2016) los de mayor correlación. Complementado la idea anterior, el comportamiento posiblemente pueda estar relacionado con las transformaciones en la cobertura vegetal que se han suscitado en las zonas. De acuerdo con Lithgow, de la Lanza & Silva (2019), entre el 2009 y 2013 se transformó el 36% de la cobertura vegetal de las planicies de inundación y poco menos del 10% de la cobertura manglar de la llanura costera de Nayarit (por construcción de estanques acuícola), siendo la zona de San Blas una de las áreas con mayor transformación. Aunque es un tema discutido, algunos autores afirman que la formación de parches de usos de suelo antropogénico (como agrícola o urbano) que difieren de las propiedades radioactivas y térmicas de la vegetación natural a su alrededor, dependiendo de su extensión, pueden producir distintos gradientes térmicos con suficiente fuerza para influenciar circulaciones de mesoescala y modificar los patrones de temperatura (Baidya & Avissar, 2002). En el mismo sentido, la vegetación natural tendría un efecto opuesto, creando condiciones microclimáticas capaces de hacer frente a la influencia de la variabilidad global (Carbajal & Pabón, 2016; Pineda-Martínez, Carbajal & Medina-Roldán, 2007).
Por otro lado, la correlación con ENSO en los periodos más recientes puede estar relacionado con el incremento de la intensidad de los periodos Niño y Niña. Se ha evidenciado que el cambio climático global afecta la duración e intensidad de ENSO (Méndez et al., 2007; Lobato & Altamirano, 2017); si a su vez ENSO está relacionado con la variabilidad climática local, entonces es una evidencia de la afectación del cambio climático global en lo local a partir de la última década.
Al respecto, si de acuerdo con los resultados del análisis de redes bayesianas los valores extremos de temperatura están relacionados con los periodos Niño y Niña de ENSO, pensando en términos de cambio climático, es de importancia continuar con su monitoreo en la región. Por ejemplo, tomando de referencia la temperatura máxima proyectada en el escenario de cambio climático horizonte cercano 2015-2039 modelo HADGEM1 A2 (Conde, Estrada, Martínez, Sánchez & Gay, 2011), en el futuro próximo las estaciones San Blas y Santiago Ixcuintla durante periodo Niño podrían alcanzar temperaturas máximas promedio entre 37.7 ºC y 38.7 ºC, a diferencia de los valores actuales 31.8 °C y 32.8 ºC, respectivamente.
En la teleconexión con PDO, las correlaciones mayores concuerdan con lo que expone Mantua & Hare (2002) y Méndez et al. (2010), quienes consideran una persistencia de PDO para el país desde hace 20 años en cuanto a su relación con la temperatura. La correlación mensual de anomalías de temperatura máxima con PDO es similar a los resultados de Méndez et al. (2010), en donde se encontró una correlación entre 0.2 y 0.3 en los meses de julio, agosto y septiembre para el área de estudio; se piensa que esta correlación está relacionada con temperaturas más altas. Por otro lado, la correlación entre PDO y las anomalías de temperatura mínima solo expone correlaciones negativas para el área de estudio, acentuando enero, febrero, junio, agosto, septiembre y octubre como los meses con correlación mayor a 0.20, lo que según lo estudiado por Méndez et al. (2010) se relaciona con temperaturas mínimas más frías. Como lo explica Pavia et al. (2006), hay una influencia de PDO sobre ENSO, lo que afecta a las anomalías de temperatura de diferente manera; condiciones más frías durante periodos Niña y fases negativas de PDO, y condiciones más cálidas durante periodos Niño y fases positivas de PDO. Sin embargo, este comportamiento aún no es claro y puede cambiar de acuerdo a las regiones del país. Se recomienda realizar un análisis complementario en el área de estudio para definir teleconexiones conjuntas de PDO sobre ENSO y sobre las anomalías de temperatura.
Con apoyo de los pronósticos de ENSO y PDO, al conocer la correlación de estos fenómenos con las anomalías de temperatura es posible diseñar mejores estrategias de gestión de riesgos hidrometeorológicos para prevenir posibles impactos negativos sobre las actividades antrópicas en la región.
Conclusiones
El clima predominante en el área de estudio es el cálido subhúmedo, específicamente el subtipo AW1(w)(i’) cálido subhúmedo intermedio, con lluvias en verano (temperatura media anual mayor a 22 ºC y el mes más frío mayor a 18 ºC). Los meses más calientes son mayo y junio (35 ºC temperatura máxima), los meses más fríos son enero y febrero (15 ºC), y agosto es el mes más lluvioso con una precipitación promedio de 400 mm. Dada la conjugación de temperatura y precipitación, cabe destacar la identificación de una zona con clima subtipo AW0(w)(i’) (zona Mexcaltitán, situada al norte y de cercanía a la costa) y otra con subtipo AW2(w)(i’) (zona Capomal y Tizate, situadas en las zonas más altas cercanas al sistema montañoso).
El análisis de la variación interanual e interdecadal demuestran acentuación del aumento de la temperatura mínima y una disminución de la temperatura máxima en las últimas dos décadas, así como una disminución de precipitación. Las anomalías de la temperatura promedio del área de estudio están relacionadas con el índice MEI en un 30% y con el índice ONI en un 26%; las estaciones San Blas y Santiago son las de mayor influencia. En estas estaciones hay una probabilidad entre 30% y 40% de que la temperatura promedio aumente entre 0.6 °C y 2.3 ºC cuando hay periodo Niño y que disminuya entre 0.6 °C y 3 ºC cuando hay periodo Niña. Las series de datos de los años 2010 a 2015 presentan las correlaciones más altas con 80% en ambos índices, y el periodo de verano representa la estación con mayor correlación (entre 30% y 40%). Las anomalías de la temperatura máxima son mayores durante los meses julio-agosto (49% con índice MEI y 31% con ONI), y las anomalías de la temperatura mínima ocurren en los meses enero-febrero (28% con índice MEI y 27% con ONI). Para PDO, la correlación con las anomalías de temperatura promedio es de 25%; en la estación Mexcaltitán, la correlación es más persistente en el tiempo con registros desde 1970, al igual que con los índices anteriores. El periodo de verano y los años de 2010 a 2015 aparecen como los de más alta correlación.
Se debe considerar que la presente es una investigación exploratoria de tipo descriptiva con los datos climáticos disponibles para la zona. Se recomienda continuar con el monitoreo de las variables climáticas e incrementar el número de estaciones meteorológicas, ya que la falta de datos fue una de las principales limitantes para realizar el análisis de teleconexión con precipitación. Asimismo, para demostrar algunas de las aseveraciones que se presentan en la discusión, se recomienda realizar un análisis a profundidad de la influencia de brisa marina y la circulación del viento, la relación entre la cobertura vegetal y el intercambio de calor en la posible formación de microclimas, así como la influencia de PDO sobre ENSO y teleconexiones con otras señales de variabilidad natural.
Referencias
Alzate, D. F., Araujo, G. A., Rojas, E. O., Gomez, D. A., & Martínez, F. E. (2018). Interpolacion Regnie para lluvia y temperatura en las regiones andina, caribe y pacífica de Colombia. Colombia Forestal, 21(1), 102-118. doi: https://doi.org/10.14483/2256201X.11601
Baidya, S., & Avissar, R. (2002). Impact of land use/land cover change on regional hydrometeorology in Amazonia. Journal of Geophysical Research, 107, 1-12. doi: https://doi.org/10.1029/2000JD000266
Bjerknes, J. (1969). Atmospheric teleconnections from the equatorial Pacific. Monthly Weather Review, 97(3), 163-172. ftp://ftp.library.noaa.gov/docs.lib/htdocs/rescue/mwr/097/mwr-097-03-0163.pdf
Bojórquez, I., Nájera, O., Hernández, A., Flores, F., González, A., García, D., & Madueño, A. (2006). Particularidades de formación y principales suelos de la llanura costera norte del Estado de Nayarit, México. Cultivos Tropicales, 27(4), 19-26. http://www.redalyc.org/articulo.oa?id=193215912003
Brito-Castillo, L., Vivoni, E. R., Gochis, D. J., Filonov, A., Tereshchenko, I., & Monzon, C. (2010). An anomaly in the occurrence of the month of maximum precipitation distribution in northwest Mexico. Journal of Arid Environments, 74(5), 531-539. doi: https://doi.org/10.1016/j.jaridenv.2009.10.014
Cano, R., Sordo, C., & Gutierrez, J. M. (2004). Applications of Bayesian networks in meteorology. En J. Gámez, S. Moral & A. Salmerón (Eds.), Advances in Bayesian Networks (pp. 309-327). Springer. http://citeseerx.ist.psu.edu/viewdoc/download?doi=10.1.1.123.8065&rep=rep1&type=pdf
Carbajal, A. F., & Pabón, J. D. (2016). Transformación de la superficie terrestre por actividad humana y su relación con el cambio climático. Sociedad & Naturaleza, 28(2), 185-198. doi: https://doi.org/10.1590/1982-451320160201
Carrillo-González, F. M., Velázquez-Ruiz, A., Morales-Hernández, J. C., Martínez, V., & Rendón, H. J. (2018). Variabilidad de la temperatura superficial en Puerto Vallarta, Jal., México. En E. Rodríguez, R. Welsh, A. Romo & B. Travieso (Eds.), Riesgo de desastres en México eventos hidrometeorológicos y climáticos (pp. 207-222). Instituto Mexicano de Tecnología del Agua, Jiutepec, Morelos. https://www.imta.gob.mx/biblioteca/libros_html/desastres-mexico/Libro-Riesgo-desastres-enMexico.pdf
Conde, C., Estrada, F., Martínez, B., Sánchez, O., & Gay, C. (2011). Regional climate change scenarios for Mexico. Atmósfera, 24(1), 125-140. https://www.revistascca.unam.mx/atm/index.php/atm/article/view/23806
Cruz-Rico, J., Rivas, D., & Tejeda-Martínez, A. (2015). Variability of surface air temperature in Tampico, northeastern Mexico. International Journal of Climatology, 35(11), 3220-3228. doi: https://doi.org/10.1002/joc.4200
De la Lanza, G., Gómez, J., Blanco, M., Flores, F., & Hernández, S. (2010). Vulnerabilidad Costera: Caso de estudio del sistema de humedales de Marismas Nacionales, 205-230. En E. Rivera, I. Azuz-Adeath, L. Alpuche & G. J. Villalobos-Zapata (Eds.), Cambio climático en México: Un enfoque costero y marino. (pp. 205-230). Universidad Autónoma de Campeche, Cetys-Universidad, Gobierno del Estado de Campeche. http://etzna.uacam.mx/epomex/publicaciones/Cambio_Climatico/CCMexico1B.pdf
Díaz, S. C., Salinas-Zavala, C. A., & Hernández-Vázquez, S. (2008). Variability of rainfall from tropical cyclones in northwestern México and its relation to SOI and PDO. Atmósfera, 21(2), 213-223. http://www.scielo.org.mx/pdf/atm/v21n2/v21n2a6.pdf
Fick, S. E., & Hijmans, R. J. (2017). WorldClim 2: new 1km spatial resolution climate surfaces for global land areas. International Journal of Climatology , 37 (12), 4302-4315. doi: https://doi.org/10.1002/joc.5086
García, E. (2003). Distribución de la precipitación en la República Mexicana. Investigaciones Geográficas, (1), 67-76. doi: https://doi.org/10.14350/rig.59179
García, E. (2004). Modificaciones al Sistema de Clasificación Climática de Köppen. México: Instituto de Geografía, UNAM. http://www.publicaciones.igg.unam.mx/index.php/ig/catalog/view/83/82/251-1
García-Páez, F., & Cruz-Medina, I. R. (2009). Variabilidad de la precipitación pluvial en la Región Pacífico Norte de México. Agrociencia, 43(1), 1-9. http://www.scielo.org.mx/pdf/agro/v43n1/v43n1a1.pdf
González, A., Bojórquez, J. I., Nájera, O., García, J. D., Madueño, A., & Flores, F. (2009). Regionalización ecológica de la llanura costera norte de Nayarit. Investigaciones Geográficas, 69, 21-32. http://www.scielo.org.mx/scielo.php?script=sci_arttext&pid=S0188-46112009000200003
Harris, I., Jones, P. D., Osborn, T.J., & Lister, D. H. (2013). Updated high-resolution grids of monthly climatic observations - the CRU TSR.10 Dataset. International Journal of Climatology34(3), 623-642. doi:10.1002/joc.3711
Instituto Nacional de Estadística y Geografía (INEGI). (2000). Serie cartográfica de Fisiografía. Escala 1:1 000 000. https://www.inegi.org.mx/temas/fisiografia/
Instituto Nacional de Estadística y Geografía (INEGI). (2017). Cartografía uso de suelo y vegetación. Serie VI. Escala 1:250,000. https://www.inegi.org.mx/temas/usosuelo/
Grupo Intergubernamental de Expertos sobre el Cambio Climático (IPCC). (2007). Cambio climático 2007. Informe de síntesis. https://www.ipcc.ch/site/assets/uploads/2018/02/ar4_syr_sp.pdf
Grupo Intergubernamental de Expertos sobre el Cambio Climático (IPCC). (2014). Cambio climático 2014. Informe de síntesis. https://www.ipcc.ch/site/assets/uploads/2018/02/SYR_AR5_FINAL_full_es.pdf
Lithgow, D., de la Lanza, G., & Silva, R. (2019). Ecosystem-Based Management strategies to improve aquaculture in developing countries: Case study of Marismas Nacionales. Ecological Engineerig, 130, 296-305. doi: https://doi.org/10.1016/j.ecoleng.2017.06.039
Lobato-Sánchez, R., & Altamirano-del-Carmen, M. A. (2017). Detección de la tendencia local del cambio de la temperatura en México. Tecnología y Ciencias del Agua, 8(6), 101-116. doi: https://doi.org/10.24850/j-tyca-2017-06-07
Magaña, V. O., Vázquez, J. L., Pérez, J. L., & Pérez, J. B. (2003). Impact of El Niño on precipitation in Mexico. Geofísica Internacional, 42(3), 313-330. https://www.redalyc.org/pdf/568/56842304.pdf
Mantua, N. J., & Hare, S. R. (2002). The Pacific Decadal Oscillation. Journal of Oceanography, 58, 35-44. doi: https://doi.org/10.1023/A:1015820616384
Mantua, N. J., Hare, S. R., Zhang, Y., Wallace, J. M., & Francis, R. C. (1997). A Pacific interdecadal climate oscillation with impacts on salmon production. Bulletin of the American Meteorological Society, 78(6), 1069-1079. http://citeseerx.ist.psu.edu/viewdoc/download?doi=10.1.1.553.1185&rep=rep1&type=pdf
Méndez, J., Návar, J. J., González, H., & Treviño, E. J. (2007). Teleconexiones del fenómeno ENSO a la precipitación mensual en México. Ciencia UANL, 10(3), 290-298. http://www.redalyc.org/pdf/402/40210309.pdf
Méndez, J., Ramírez, A., Cornejo, E., Zárate, A., & Cavazos, T. (2010). Teleconexiones de la Oscilacion Decadal del Pacífico (PDO) a la precipitación y temperatura en México. Investigaciones Geográficas, (73), 57-70. http://www.scielo.org.mx/pdf/igeo/n73/n73a5.pdf
Morales, J. C., Carrillo, F. M., Cornejo, V. M., Téllez, J., & Farfán, L. M. (2013). Campo de viento y temperatura en la Bahía de Banderas (México): Análisis espacial y temporal. Investigaciones geográficas, (81), 7-17. http://www.scielo.org.mx/pdf/igeo/n81/n81a2.pdf
Pavia, E. G., Graef, F., & Reyes, J. (2006). PDO-ENSO effects in the climate of Mexico. Journal of Climate, 19(24), 6433-6438. doi: https://doi.org/10.1175/JCLI4045.1
Pineda-Martínez, L. F., Carbajal, N., & Medina-Roldan, E. (2007). Regionalization and classification of bioclimatic zones in the central-northeastern region of Mexico using principal component analysis (PCA). Atmósfera, 20(2), 133-143. https://www.revistascca.unam.mx/atm/index.php/atm/article/view/8576/8046
Ramos, R., Máximo, P., Flores, Y., & Cortés, J. (2007). Modelación de isolíneas meteorológicas y cálculo del gradiente térmico para la ciudad de Puebla durante el periodo junio 2005-2006 con apoyo de imágenes satelitales. Revista Geográfica, (141), 23-37. https://www.jstor.org/stable/40996740?seq=1
Sluiter, R. (2009). Interpolation methods for climate data: Literature review. Netherlands: KNMI, R&D Information, and Observation Technology. https://www.researchgate.net/publication/242783501_Interpolation_methods_for_climate_data
Trenberth, K. E. (1997). The definition of El Niño. Bulletin of the American Meteorological Society , 78(12), 2771-2777. doi: https://doi.org/10.1175/1520-0477(1997)078<2771:TDOENO>2.0.CO;2
University of Washington. (s.f.). Cooperative Institute for Climate, Ocean, and Ecosystem Studies. https://cicoes.uw.edu/
U.S Departament of Commerce. (s.f.). National Oceanic and Atmospheric Administration. https://www.noaa.gov
Vázquez, J. L. (2010). Guía para el cálculo y uso de índices de cambio climático en México. México, D.F.: Instituto Nacional de Ecología (INE) y Secretaría de Medio Ambiente y Recursos Naturalez (Semarnat). https://es.slideshare.net/wiriana/guia-indices-cc20101
Vega-Camarena, J. P., Brito-Castillo, L., & Farfán, L. M. (2018). Contrasting rainfall behavior between the Pacific coast and the Mexican Altiplano. Climate Research, 76(3), 531-539. doi: https://doi.org/10.3354/cr01538
Velázquez, A., Martínez, L. M., & Carrillo, F. M. (2012). Caracterización climática para la región de Bahía de Banderas mediante el sistema de Köppen, modificado por García, y técnicas de sistema de información geográfica. Investigaciones Geográficas , (79), 7-19. http://www.scielo.org.mx/scielo.php?script=sci_arttext&pid=S0188-46112012000300002
Wolter, K. (1987). The southern oscillation in southern circulation and climate over Tropical Atlantic, Eastern Pacific, and Indian Oceans as captured by cluster analysis. Journal of Applied Meteorology and Climatology, 26(4), 540-558. doi: https://doi.org/10.1175/1520-0450(1987)026<0540:TSOISC>2.0.CO;2
WordlClim 2.1. (s.f.). Global climate and weather data. https://www.worldclim.org
Zebiak, S. E., Orlove, B., Muñoz, A. G., Vaughan, C., Hansen, J., Troy, T., Thompson, M., Lustig, A., & Garvin, S. (2014). Investigating El Niño-Southern Oscillation and society relationships. Wiley Interdiciplinary Reviews: Climate Change, 6(1), 17-34. doi: https://doi.org/10.1002/wcc.294
Notas
Notas de autor
*Autor de correspondencia Correo electrónico: fmaciel@cuc.udg.mx