Resumen: La actividad antibacteriana de los propóleos se relaciona con el contenido de compuestos fenólicos y flavonoides; sin embargo, no todos los propóleos presentan esta propiedad debido a la ausencia o baja cantidad de estos compuestos, pero se puede incrementar con la adición de chalconas sintéticas. Se sintetizaron tres chalconas: 1,3-difenilpropil-2E-1-ona (PLCR-1); y dos análogos con sustituyentes hidroxilo: 1-(3,4-dihidroxifenil)-4-(2,4,6-trihidroxifenil)prop-2E-en-1-ona (PLCR-2) y 1-(3,4-dihidroxifenil)-4-(2,4-dihidroxifenil)prop-2E-en-1-ona (PLCR-3) que se adicionaron en distintas proporciones a dos propóleos, uno del estado de Guanajuato (sin flavonoides) y otro del Estado de México (con flavonoides) para evaluar la actividad antibacteriana contra cepas de referencia de Staphylococcus aureus y de Escherichia coli, utilizando el método Kirby Bauer. Los resultados muestran que únicamente la chalcona PLCR-3 potencializó el efecto antibacteriano de ambas muestras frente a S. aureus. El incremento de la actividad antibacteriana de un propóleo con la adición de chalconas sintéticas está en relación con el microorganismo evaluado y la proporción utilizada.
Palabras clave: PropóleosPropóleos,chalconaschalconas,actividad antibacterianaactividad antibacteriana.
Abstract: The antibacterial activity of propolis is related to the content of phenolic compounds and flavonoids; however, not all propolis present this property because of the absence or low amount of these compounds, but it can be increased with the addition of synthetic chalcones. Three chalcones were synthesized: 1,3-diphenylpropyl-2E-1-one (PLCR-1); and two hydroxyl-replaced analogues: 1-(3,4-dihydroxyphenyl)-4-(2,4,6-trihydroxyphenyl)prop-2E-en-1-one (PLRC-2) and 1-(3,4-dihydroxyphenyl)-4-(2,4-dihydroxyphenyl)prop-2E-en-1-one (PLRC-3) that were added in different proportions to two propolis, one from the State of Guanajuato (without flavonoids) and another from the State of Mexico (with flavonoids) aiming to evaluate antibacterial activity against reference strains of Staphylococcus aureus and Escherichia coli, using the Kirby Bauer method. The results show that only PLCR-3 chalcone strengthened the antibacterial effect of both samples against S. aureus. The increase of the antibacterial activity of a propolis with the addition of synthetic chalcones is relative to the evaluated microorganism and the proportion used.
Keywords: Propolis, chalcones, antibacterial activity.
Artículos
Actividad antibacteriana de propóleos con la adición de chalconas sintéticas
Antibacterial activity of propolis with the addition of synthetic chalcones
Recepción: 26 Febrero 2020
Aprobación: 14 Abril 2020
Publicación: 29 Abril 2020
El propóleo es un material resinoso que elaboran las abejas a partir de resinas de distintas especies botánicas y que son modificadas con sus secreciones salivales para transportarlas al interior de la colmena con el fin de utilizarlo como material de construcción, bloqueo de agujeros y grietas, como defensa química contra los microorganismos y como embalsamador de intrusos que han muerto en la colmena y que son demasiado grandes para ser eliminados por ellas (Naggar et al., 2016; Rodríguez-Pérez, Canales-Martínez, Penieres-Carrillo & Cruz-Sánchez, 2020). Este producto ha sido utilizado en la medicina tradicional durante siglos por varias civilizaciones para tratar resfriados, heridas y úlceras debido a sus propiedades anestésicas antisépticas y locales. Los egipcios lo usaron para embalsamar a sus muertos y, más recientemente, fue utilizado en diferentes guerras para curar heridas y la regeneración de tejidos (Bankova, 2005; Sforcin, 2016).
Se ha señalado la presencia de, al menos, 300 compuestos en su composición: resinas (50%), ceras (30%), aceites esenciales (10%), polen (5%) y otros compuestos orgánicos (5%) (Gómez-Caravaca, Gómez-Romero, Arráez-Román, Segura-Carretero & Fernández-Gutiérrez, 2006; Roman, Madras-Majewska & Popiela-Pleban, 2011) que difieren en concentración, dependiendo del origen geográfico, botánico y de la época de recolección del propóleo (Sforcin & Bankova, 2011) y que presentan un efecto sinérgico que es esencial para las actividades biológicas como antibacteriana, antifúngica, antiviral, antioxidante, inmunomoduladora, pro-inflamatoria y antinflamatoria. Se considera que la actividad biológica del propóleo en la reparación de heridas y la regeneración de tejidos puede estar correlacionada con sus propiedades antimicrobianas, antiinflamatorias e inmunomoduladoras y que están relacionadas con la cantidad de compuestos bioactivos presentes en la resina y que pueden ser inhibitorias o estimulantes (Fischer et al., 2007; Miguel, Nunes, Dandlen, Cavaco & Antunes, 2014; Sforcin, 2016; Soto-Vásquez, 2015). La actividad antimicrobiana es una de las propiedades constatadas en los propóleos debido a la presencia de diferentes flavonoides como pinocembrina, quercetina, naringenina, acacetina, apigenina, crisina, galangina, kaempferol y pinobanksina, principalmente (Vargas-Sánchez et al., 2014).
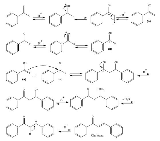
Por otro lado, las chalconas son compuestos orgánicos (metabolitos secundarios) distribuidos en la naturaleza y pertenecientes a la familia de los flavonoides con distintas actividades biológicas como antimicrobianas, antifúngicas, antioxidantes, antivirales, anticancerígenas, antiinflamatorias, inhibidoras enzimáticas, precursoras de sustancias tóxicas, formación de pigmentos y filtros solares, mecanismos de fotosensibilización y de transferencia de energía (Sapra, Sharma, Bhalla & Dhar, 2016). La estructura química de una chalcona se muestra en la Figura 1. Esta se caracteriza por un anillo aromático en cada extremo de una cadena de tres átomos de carbono con sistema carbonílico α,β-insaturado (1,3-difenil-2E-propen-1-ona) (Blanco et al., 2016). Este sistema carbonílico, la cantidad y posición de sustituyentes químicos determinan el amplio rango de su actividad biológica (Blanco et al., 2016; Díaz-Tielas, Graña, Reigosa & Sánchez-Moreiras, 2016; Mahapatra & Bharti, 2016; Singh, Anand & Kumar, 2014).

Las chalconas se pueden obtener en el laboratorio a partir de síntesis química, mediante la condensación de Claisen-Schmidt, siendo este uno de los métodos que más se han estudiado y utilizado para su formación entre un compuesto de tipo acetofenona con un aldehído aromático adecuado (Blanco et al., 2016), por catálisis con un ácido (Figura 2) o una base, seguido de una deshidratación para producirlas (Chetana, Mahajan & Suvarna, 2009).

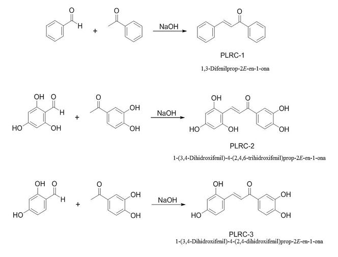
El objetivo de esta investigación es evaluar la actividad antibacteriana de tres chalconas sintéticas: 1,3-difenilpropil-2E-1-ona (PLCR-1) y dos análogos con sustituyentes hidroxilo: 1-(3,4-dihidroxifenil)-4-(2,4,6-trihidroxifenil)prop-2E-en-1-ona (PLCR-2) y 1-(3,4-dihidroxifenil)-4-(2,4-dihidroxifenil)prop-2E-en-1-ona (PLCR-3) al adicionarse en distintas proporciones a dos propóleos, uno del estado de Guanajuato (sin flavonoides) y otro del Estado de México (con flavonoides) contra cepas de referencia de Staphylococcus aureus y de Escherichia coli, utilizando el método Kirby Bauer.
Todos los reactivos, solventes y estándares se adquirieron en Sigma-Aldrich® (México). Para los ensayos microbiológicos, los medios de cultivo utilizados se adquirieron en Becton Dickinson (México).
La metodología se realizó utilizando la reacción de condensación de Claisen-Schmidt. En un matraz bola de 250 ml de fondo redondo equipado con un agitador magnético, se colocó la acetofenona y el benzaldehído correspondiente, a una concentración de 0.01 M cada una y se añadió 10 ml de hidróxido de sodio (0.1 M) durante 30 min, manteniendo la temperatura de reacción entre 20 °C y 25 °C, utilizando un baño de hielo. La mezcla de reacción se dejó en agitación constante por cinco horas y posteriormente se neutralizó con ácido clorhídrico (0.1 N), hasta la formación de un precipitado que se filtró y se secó a temperatura ambiente. El producto fue purificado utilizando cromatografía en columna (sílica gel y hexano:acetato de etilo en proporción de 8:2) para la obtención de las chalconas puras. Los puntos de fusión se determinaron en un dispositivo Buchi B-450 y no se corrigieron, se compararon en la base de datos del sistema SciFinder (Chetana et al., 2009; Hormaza, Arbeláez & Montes, 2009).
Las muestras de propóleos en greña se recolectaron en el mes de septiembre del año 2015 (cosecha de verano). El propóleo procedente del Estado de México corresponde al apiario de la Facultad de Estudios Superiores Cuautitlán (UNAM) (19º 41’ N, 99° 11’ O, 2260 msnm) y se recolectó utilizando mallas plásticas. El otro propóleo empleado corresponde al municipio de San José Iturbide, Guanajuato (21º 07’ N, 100º 32’ O, 2100 msnm), recolectado por el método de raspado. Las muestras se acondicionaron eliminando las impurezas visibles, tales como virutas de madera, restos de abejas, pinturas, vegetales, entre otros; posteriormente, fueron protegidas de la luz y mantenidas a 4 °C hasta su utilización.
La obtención del extracto etanólico se realizó como lo establece la Norma Oficial Mexicana: NOM-003-SAG/GAN-2017, Propóleos, producción y especificaciones para su procesamiento (Diario Oficial de la Federación [DOF], 2017). Se pesaron 25 g de los propóleos en greña libres de impurezas en una balanza analítica (marca AND, modelo HR200, Japón), se añadieron 75 ml de etanol al 70%, sometiendo la mezcla a extracción utilizando un ultrasonicador (Branson, CPX1800H, Danbury, Estados Unidos) con dos ciclos de 30 min. El extracto obtenido se separó por filtración, y el filtrado resultante se concentró utilizando un rotavapor (Science MED, SM100-PRO, Finlandia); posteriormente, se dejó a sequedad utilizando una bomba de vacío para eliminar los residuos de etanol. El extracto seco se mantuvo almacenado protegido de la luz y en refrigeración a 4 ºC hasta su utilización (DOF, 2017; Trusheva, Trunkova & Bankova, 2007).
Para medir la cantidad de compuestos fenólicos, se utilizó el método de Folin-Ciocalteu (FC) con base en una reacción colorimétrica de óxido-reducción. Las muestras de propóleo se prepararon a una concentración de 0.05 mg/ml y se utilizó ácido gálico como estándar (Sigma-Aldrich) para la curva de calibración de 6.25 µg/ml a 200 µg/ml. La metodología se realizó como lo indican Rodríguez-Pérez et al. (2020), y los resultados se expresaron en porcentaje (%) (DOF, 2017).
Para la cuantificación de los flavonoides presentes se utilizó el método colorimétrico del tricloruro de aluminio (AlCl3) con formación de complejos de transferencia de carga aluminio-flavonoides. Se preparó una curva de calibración de 1 µg/ml a 90 µg/ml utilizando quercetina como material de referencia, las muestras a evaluar se prepararon a una concentración de 0.05 mg/ml. La metodología se realizó como lo indican Rodríguez-Pérez et al. (2020) y los resultados se expresaron en porcentaje (%) (DOF, 2017).
El análisis de los extractos etanólicos fue realizado en un cromatógrafo de gases (modelo 5975C, Agilent Technologies®, Pennsylvania, USA) acoplado a un espectrómetro de masas (Agilent Technologies, 5975C Agilent Technologies®, Pennsylvania, USA) utilizando una columna capilar HP-5MS (30 m x 0.25 mm) y con grosor de película de 0.25 mm (J&C Scientific, Agilent Technologies®, Pennsylvania, USA). El volumen de inyección fue de 1 µL en modo Split. Las condiciones de separación utilizadas fueron, al inicio, una temperatura de 70 °C por dos minutos con dos incrementos de rampa, el primero de 20 °C por minuto hasta alcanzar los 230 °C y el segundo fue de 8 °C por minuto hasta llegar a los 280 °C, manteniéndose por cinco minutos. El tiempo total de análisis fue 21.25 min. El rango de masa detectado fue de 35 m/z a 750 m/z, la muestra fue ionizada por impacto electrónico a 70 eV, y la temperatura alcanzada por la fuente de ionización fue de 230 °C. La identificación de los compuestos fue llevada a cabo por comparación con la biblioteca de la base de datos del National Institute of Standards and Technology (NIST) versión 8.0 (Rivera-Yañez et al., 2017).
Las muestras se analizaron en un cromatógrafo HPLC Hewlett-Packard HP modelo 1100 (Hewlett-Packard, Wilmington DE, Estados Unidos) con un detector de matriz de diodos (DAD) 1100 operado con ChemStation A0903 utilizando una columna Discovery C-18. Como fase móvil se utilizó una mezcla de metanol:acetonitrilo:agua (25:25:50) acidificada con ácido fórmico (1%), a una corrida de 60 min, separación isocrática a 269 bar de presión y un rango de temperatura de 23 °C; velocidad de flujo, 1 ml/min; matriz de detectores de diodos con ajuste del detector a 260 nm y escaneo completo de 200 nm-400 nm. Se inyectaron 30 µL del extracto de propóleo (3 mg/ml). Los constituyentes se identificaron con base a una comparación del tiempo de retención y el espectro UV con estándares (Rivera-Yañez et al., 2018).
La evaluación antimicrobiana se realizó mediante el método de difusión en disco (Kirby-Bauer) (Kiehlbauch et al., 2000) empleando los siguientes microorganismos: Staphylococcus aureus ATCC 6538 y Escherichia coli ATCC 8739, proporcionados por el Laboratorio de Bioprospección Microbiológica de la Facultad de Estudios Superiores Cuautitlán, UNAM.
Este procedimiento se realizó como se describe en la normatividad mexicana (DOF, 2017). Se impregnaron discos de papel filtro estériles con 6 mg/10 µL de la muestra a evaluar. Como testigo negativo se utilizaron discos impregnados con etanol al 70%, y como testigo positivo se utilizó un sistema de Multidiscos® combinados que contiene 12 antibióticos (BIORAD, Cat 200902260018).
Los inóculos bacterianos se prepararon a partir de crecimientos en caldo Mueller-Hinton (MH), que fueron estandarizados utilizando un espectrofotómetro UV-Vis (DLAB, SP-UV1000, China) a una longitud de onda de 625 nm con lecturas de absorbancia entre 0.08-0.12. Se procedió a realizar un sembrado masivo sobre placas de agar MH suplementado con 2% de glucosa y 0.5 µg/mL de azul de metileno, colocando los discos impregnados con las muestras a evaluar, los testigos negativos y positivos. Se incubaron por 24 h a 37 ºC; transcurrido el tiempo, se midieron los halos de inhibición y se reportaron en mm (Clinical and Laboratory Standards Institute[CLSI], 1999; DOF, 2017).
Se realizaron modificaciones a las metodologías utilizadas para los ensayos de evaluación de sinergia entre EEP y antimicrobianos (Mirzoeva, Grishanin & Calder, 1997; Stepanović, Antić, Dakić & Švabić-Vlahović, 2003).
Este ensayo se realizó preparando diferentes concentraciones de EEP de 1 mg/ml a 5 mg/ml y una concentración de 1 mg/ml para cada chalcona. Se realizaron los cálculos químicos necesarios para tener cada una de las siguientes combinaciones entre cada chalcona con cada EEP:
Combinación 1: una parte de chalcona/una parte de EEP (1:1);
Combinación 2: una parte de chalcona/dos partes de EEP (1:2);
Combinación 3: una parte de chalcona/tres partes de EEP (1:3);
Combinación 4: una parte de chalcona/cuatro partes de EEP (1:4); y
Combinación 5: una parte de chalcona/cinco partes de EEP (1:5).
Se impregnaron discos estériles con 10 µL de cada combinación y se realizó el procedimiento para evaluar la actividad antibacteriana como se describió con anterioridad.
Los datos obtenidos en las especificaciones químicas se analizaron mediante la prueba estadística de análisis de varianza (ANOVA), empleando un nivel de significancia de p < 0.05 utilizando el programa estadístico GraphPadPrism 7.04.
Se obtuvieron tres productos: la chalcona 1,3-difenilpropil-2E-1-ona (PLCR-1) y dos análogos con sustituyentes hidroxilo en los anillos A y B: 1-(3,4-dihidroxifenil)-4-(2,4,6-trihidroxifenil)prop-2E-en-1-ona (PLCR-2) y 1-(3,4-dihidroxifenil)-4-(2,4-dihidroxifenil)prop-2E-en-1-ona (PLCR-3) (Figura 3).

Los porcentajes de rendimiento fueron satisfactorios con un valor promedio de 85% (Tabla 1), lo cual es de gran importancia debido a que se utilizan catalizadores selectivos y que no afectan al medio ambiente, además de ser métodos más rápidos y eficientes (Rodríguez et al., 2019).

Los principales responsables de la actividad biológica de los propóleos son los compuestos fenólicos y flavonoides, que están en relación con la fuente vegetal, el método y la época de recolección y clima de la región (Delgado, Andrade & Ramírez, 2018).
Para la producción y recolección de la muestra del Estado de México (EM) se utilizan mallas plásticas, lo que evita la manipulación de la resina y que su composición química no sea alterada, cumpliendo la normatividad mexicana (DOF, 2017). Los resultados de la composición química de ambos propóleos se muestran en la Tabla 2.

Los resultados obtenidos por cromatografía muestran la presencia de flavonoides, ácidos grasos y cetonas (Tabla 3, Figura 4 y 5), que concuerdan con lo reportado por otros autores en estudios realizados a muestras del mismo apiario (Flores, 2016; González-Búrquez et al., 2018; Londoño-Orozco et al., 2010; Rodríguez-Pérez et al., 2020).



En el caso del propóleo de Guanajuato (G), se utilizó la técnica de raspado y se relaciona con la detección de únicamente un terpeno presente en los aceites esenciales del mezquite (Prosopis glandulosa Torr.), la (E)-α-Damascona (Tabla 4) (García-Andrade et al., 2013). Rodríguez-Pérez et al. (2020) reportan resultados similares a este estudio, pudiendo justificar que la presencia de terpenos en los propóleos de este apiario se debe a la producción y recolección en verano y otoño, como lo reportan Bankova et al. (2016). En la técnica de HPLC-DAD no hubo coincidencias entre lo detectado y la base de datos del equipo.

Los resultados de la evaluación de la actividad antibacteriana contra S. aureus, empleando los dos EEP y las chalconas PLRC 1-3, de manera individual, y de las combinaciones A-E de las chalconas:EEP, se muestran en la Tabla 5. Se observa diferencia significativa entre los halos de inhibición de los testigos positivos y las muestras estudiadas. El efecto del extracto del EM sobre S. aureus se incrementó al adicionar las chalconas hidroxisustituidas PLRC-2 y PLRC-3, siendo más efectiva la PLRC-3 en proporción 1:1 y 1:5, al tener un halo de inhibición de 14 mm, superior al obtenido por el extracto de propóleo de 12 mm y por la chalcona de manera individual (9.7 mm).

El efecto del EEP de G sobre esta bacteria se presentó al adicionar la PLRC-3 en proporción 1:1, con un incremento en el diámetro del halo de inhibición (14 mm). Es importante mencionar que el efecto antibacteriano presentado con las proporciones 1:2, 1:3, 1:4 y 1:5 no puede relacionarse exclusivamente con la chalcona, pues se encuentra en menor proporción, siendo importante realizar la determinación de la concentración mínima inhibitoria (CMI) y la concentración mínima bactericida (CMB).
Los resultados de la evaluación de la actividad antibacteriana empleando los dos EEP y las chalconas PLRC 1-3, de manera individual contra E. coli, se muestran en la Tabla 6. En el caso de la muestra del EM frente a E. coli, se presentan halos de inhibición con la adición de las chalconas hidroxisustituidas, pero que no son superiores al que presentan las chalconas de manera individual. No se presentó potencialización con el propóleo de G frente a E. coli, únicamente un halo de inhibición en la mezcla EEP G + PLCR-2 en proporción 1:1, sin diferencia significativa al halo generado por la chalcona.

Los propóleos muestran diferente actividad antimicrobiana y es atribuido a la compleja composición de la resina como lo mencionan Hegazi, Hilal & Abd (2014), pues se observa que ambos extractos de propóleos inhibieron el crecimiento de S. aureus, sin presentar acción sobre E. coli. Los resultados concuerdan con los reportados por Sagdic, Silici & Yetim (2007) y Akca et al. (2016), observando la sensibilidad de las bacterias Gram positivas y resistencia de las bacterias Gram negativas frente a los extractos de propóleo.
El mecanismo de acción de los propóleos ha sido explicado por estudios del efecto bacteriostático y bactericida de flavonoides, ácido caféico, ácido benzoico y ácido cinámico, principalmente, sobre la estructura bacteriana por la alteración en los canales iónicos a consecuencia de reacciones de fosforilación y desfosforilación, provocando la inhibición de la motilidad bacteriana, factor importante en la virulencia y que ha sido demostrado por Mirzoeva et al. (1997) y Farnesi, Aquino-Ferreira, De Jong, Bastos & Soares (2009).
Por otro lado, las chalconas PLRC-2 y PLRC-3, de forma individual, presentaron efecto inhibitorio sobre el crecimiento de ambas bacterias, siendo más efectiva la PLRC-2. Estos resultados apoyan lo descrito por Wang, Li & Bi (2018), quienes mencionan reportan que el grupo carbonilo α,β-insaturado, la posición y la cantidad de los grupos hidroxilo que presentan los anillos aromáticos son factores importantes que causan también alteración en la estructura de bacterias como S. aureus y E. coli (Desai & Desai, 2003), lo que abre la posibilidad de investigar a estas chalconas como nuevos potenciales antibacterianos en el tratamiento de enfermedades infecciosas, haciendo mención que los estudios realizados frente a bacterias Gram positivas (Staphylococcus aureus Meticilino Resistente (SAMR), Bacillus subtilis, Micrococcus luteus, Enterococcus faecalis, Streptococcus pyogenes) y bacterias Gram negativas (Bacillus proteus, Escherichia coli, Pseudomonas aeruginosa, Bacillus typhi, Proteus vulgaris) son estudios realizados in vitro (Liu et al., 2017; Nielsen, Boesen, Larsen, Schønning & Kromann, 2004).
Los resultados de la evaluación de la potencialización de la actividad antibacteriana para S. aureus se muestran en la Tabla 5. El efecto del extracto del EM sobre S. aureus se potencializó al adicionar las chalconas hidroxisustituidas, siendo más efectiva la PLCR-3 en proporción 1:1 y 1:5, al presentar un halo de inhibición de 14 mm, superior al obtenido por el extracto de 12 mm y por la chalcona de manera individual (9.7 mm). El efecto del EEP de G sobre esta bacteria se presentó al adicionar la PLCR-3 en proporción 1:1, con un incremento en el diámetro del halo de inhibición (14 mm).
En el caso de la muestra del EM frente a E. coli, se presentan halos de inhibición con la adición de las chalconas hidroxisustituidas, pero que no son superiores al que presentan las chalconas de manera individual, presentándose un posible efecto antagónico. No se presentó potencialización con el propóleo G frente a E. coli, únicamente se presentó un halo de inhibición en la mezcla EEP G + PLCR-2 en proporción 1:1, sin diferencia significativa al halo generado por la chalcona, como se observa en la Tabla 6.
Los resultados obtenidos de esta investigación son preliminares y pioneros en la adición de chalconas sintetizadas a extractos etanólicos de propóleos para incrementar su actividad antibacteriana, pues solo se han realizado estudios utilizando antimicrobianos comerciales (Akca et al., 2016; Liu et al., 2017; Stepanović et al., 2003). Se observa que se presenta un sinergismo o antagonismo en la actividad antibacteriana en relación al microorganismo evaluado y la proporción utilizada entre el EEP y la chalcona, siendo necesarios estudios de los mecanismos de acción de estos compuestos y de la mezcla con el propóleo para el desarrollo futuro de compuestos clínicamente útiles como lo recomiendan Zhou & Xing (2015). Estos autores realizaron investigaciones del mecanismo de acción de las chalconas, únicamente en las actividades anticancerígenas, antiinflamatorias y antidiabéticas. Es por ello que, con el fin de ir esclareciendo los mecanismos de acción antibacteriana de las chalconas sintetizadas en este trabajo, es necesaria la realización de estudios en microscopía electrónica, genética y biología molecular, que permitan apreciar el daño estructural en los microorganismos probados.
Sahu, Balbhadra, Choudhary & Kohli (2012) reportan que las chalconas sintéticas con diferentes sustituyentes químicos han demostrado tener una mejor actividad que los fármacos estándar y podrían servir como compuestos principales para el desarrollo de nuevos fármacos; por lo anterior, es recomendable la evaluación de la citotoxicidad de las chalconas y de obtener resultados favorables, profundizar en las investigaciones de la aplicación de estos compuestos como posibles agentes antimicrobianos y la realización de estudios in vivo y realizar el estudio con cepas de aislamientos clínicos con el propósito de evaluar la resistencia antimicrobiana a nuevos compuestos.
Finalmente, los antecedentes de este proyecto son el establecimiento de las pruebas necesarias para determinar la actividad biológica de los propóleos mexicanos, encontrando propóleos de baja actividad biológica y que impactan a la económica del apicultor, pues él realiza la producción y recolección para elaborar productos con fines terapéuticos. Por lo anterior, se considera importante potencializar la actividad de este producto apícola, pues la producción de propóleos podría brindar al apicultor alternativas económicas por sus propiedades biológicas incrementadas, que podrían proporcionar grandes beneficios en la salud animal, la inocuidad alimentaria y fomentar la creación de nuevos nichos en el mercado nacional al implementar los propóleos como materia prima. Por esto, es importante mencionar que, para la aplicación práctica de este ensayo, es necesaria la realización de pruebas piloto para implementar la adición de chalconas a propóleos de baja actividad, así como evaluar el costo-beneficio utilizando una cantidad no menor a cinco litros de producto.
La actividad antibacteriana de los propóleos se determina por la presencia y cantidad de compuestos fenólicos y flavonoides que si se encuentran en bajas cantidades o ausentes, la actividad es baja o nula.
En este estudio, la chalcona PLRC-3 fue más efectiva para potencializar el efecto antibacteriano de los extractos de propóleo frente a S. aureus. Por lo tanto, el incremento de la actividad antibacteriana de un propóleo con la adición de chalconas está en relación con microorganismo evaluado y la proporción utilizada entre el EEP y la chalcona.
Los autores agradecen el apoyo recibido de los proyectos: UNAM-DGAPA PAPIIT IT 200915, PAPIIT IN217118, PAPIIT IN223719, FESC:PIAPIC 1632, FESC PIAPI 1802 .
*Autor de correspondencia. berope380@hotmail.com










