Resumen: Este documento muestra un modelo optimizado para zapatas combinadas trapezoidales apoyadas sobre el terreno que soportan una carga concentrada y momentos alrededor de los ejes X e Y en cada columna para obtener el área de la superficie mínima en planta. El modelo presentado en este documento considera un diagrama de presión que tiene una variación lineal. El modelo normalmente utilizado para obtener el área de la superficie de contacto sobre el terreno toma en cuenta las dimensiones propuestas de la zapata combinada de forma trapezoidal y, posteriormente, se verifican los esfuerzos en las esquinas por la ecuación de la flexión biaxial (estos esfuerzos deben ser mayor o igual que 0 y menor o igual que la capacidad de carga admisible disponible del terreno). Los resultados muestran que el modelo propuesto puede usarse para obtener el área óptima de zapatas combinadas trapezoidales y rectangulares con un lado restringido y dos líneas de propiedad de lados opuestos restringidos, así como para zapatas combinadas triangulares.
Palabras clave: Modelo optimizadoModelo optimizado,zapatas combinadas trapezoidaleszapatas combinadas trapezoidales,zapatas combinadas rectangulareszapatas combinadas rectangulares,superficie mínimasuperficie mínima.
Abstract: This document shows an optimized model for trapezoidal combined footings resting on the ground that support a concentrated load and moments around of the X and Y axes in each column to obtain the minimum surface area in plan. The model presented in this document considers a pressure diagram that has a linear variation. The model normally used to obtain the area of the contact surface on the ground takes into account the proposed dimensions of the trapezoidal combined footing, and later the stresses are verified at the corners by the biaxial bending equation (these stresses must be greater than or equal to zero and lower than or equal to the available admissible load capacity of the ground). The results show that the proposed model can be used for obtaining the optimal area of trapezoidal and rectangular combined footings with one restricted side and two property lines of restricted opposite sides, as well as for triangular combined footings.
Keywords: Optimized model, trapezoidal combined footings, rectangular combined footings, optimum surface.
Artículos
Un modelo optimizado para zapatas combinadas trapezoidales apoyadas sobre el terreno: Superficie óptima
An optimized model for trapezoidal combined footings supported on the ground: Optimum surface
Recepción: 16 Agosto 2020
Aprobación: 13 Octubre 2020
Publicación: 25 Noviembre 2020
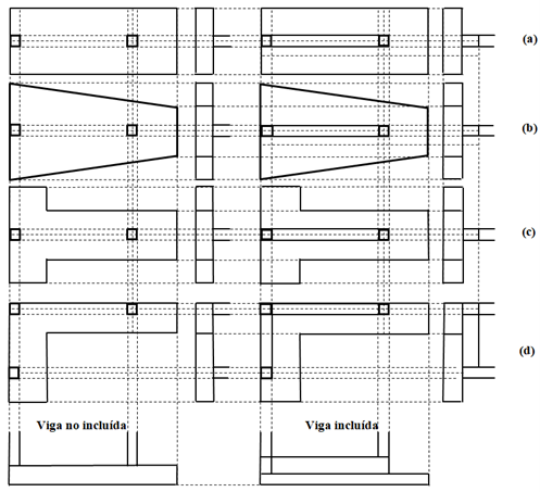
La cimentación de una estructura es la parte esencial para transmitir las cargas al suelo. Las cimentaciones se dividen en poco profundas o superficiales y profundas; estas tienen importantes diferencias en la función geométrica, el comportamiento del suelo, sus sistemas de construcción y su tipo de funcionalidad estructural. Los diseños para cimentaciones según la aplicación de las cargas se clasifican en: 1) Zapatas con carga concéntrica, 2) Zapatas con flexión uniaxial y 3) Zapatas con flexión biaxial. Las cimentaciones poco profundas se dividen en: zapatas aisladas, que soportan una columna; zapatas combinadas, que soportan dos o más columnas; zapatas corridas, que soportan muros; zapatas de correa, que unen dos zapatas aisladas mediante una viga rígida; y balsas o losas de cimentación, que soportan columnas y muros de todo el edificio.
Las zapatas aisladas se clasifican en cuadradas, rectangulares y circulares. Las zapatas combinadas se dividen en rectangulares, trapezoidales, en forma de T y en forma de L (de esquina). El caso especial de zapatas combinadas puede ser con viga o sin viga de unión, como se muestra en la Figura 1.

Las zapatas combinadas se utilizan cuando una de las siguientes condiciones se presenta:
1. cuando dos columnas están muy cerca una de la otra, y la superposición se presenta en zapatas aisladas adyacentes (por ejemplo, en zapatas de las escaleras mecánicas y en los ascensores).
2. cuando la capacidad de carga del suelo es muy baja y las zapatas aisladas adyacentes tienden a superponerse una sobre otra (por ejemplo, una zapata aislada puede ocupar parte del espacio de la zapata aislada más cercana).
3. cuando una columna de un edificio se localiza cerca de la línea de propiedad o está limitada por alguna otra situación.
Las principales contribuciones sobre el tema del diseño óptimo de estructuras por varios investigadores en el pasado se presentan a continuación. Ng & Lam (2005) presentaron un diseño óptimo de edificios altos tomando en cuenta varios criterios de diseño. Kravanja & Zula (2010) estudiaron el costo, la topología y la optimización estándar de la sección transversal de las estructuras de construcción de acero industrial de una sola planta. Tapia et al. (2012) crearon un software para realizar el análisis, diseño y optimización de estructuras de acero, así como los materiales utilizados en la construcción de la techumbre completa, el costo de fabricación y la instalación de esta. Aldwaik & Adeli (2014) presentaron una revisión del trabajo sobre la optimización de estructuras de edificios de gran altura, con un enfoque en estructuras a gran escala y de la vida real. Pallares-Muñoz & Rodríguez-Calderón (2014) determinaron las secciones mínimas de cada miembro articulados en armaduras. Tiliouine & Fedghouche (2014) reportaron sobre el desarrollo de un modelo de diseño de costo mínimo y su aplicación para obtener diseños económicos para secciones en T de concreto reforzado de alta resistencia en flexión, bajo condiciones de estado límite final. Kao & Yeh (2014) investigaron el diseño óptimo para estructuras de marcos en dos dimensiones utilizando redes neuronales artificiales. Luévanos-Rojas (2016) estudió el diseño óptimo de vigas simplemente reforzadas para secciones rectangulares de concreto reforzado con ejemplos numéricos. Luévanos-Rojas, López-Chavarría & Medina-Elizondo (2018b) desarrollaron el diseño óptimo para vigas simple y doblemente reforzadas de secciones rectangulares de concreto reforzado con ejemplos numéricos.
En cuanto al diseño óptimo de cimentaciones que han presentado varios investigadores, algunos de los más relevantes son los siguientes. Kim, Koo & Kang (2002) desarrollaron algoritmos genéticos de evolución para diseño óptimo de cimentaciones de losas sobre pilotes. Chagoyén, Negrín, Cabrera, López & Padrón (2009) investigaron el diseño óptimo y formulación para cimentaciones poco profundas rectangulares. Leung, Klar & Soga (2010) presentaron los análisis de optimización de balsas apiladas y grupos de pilotes independientes, donde las longitudes de los pilotes varían en todo el grupo para optimizar el rendimiento general de la cimentación. Hwang, Lyu & Chung (2011) presentaron un modelo matemático para optimizar el costo directo total en pilas de cimentaciones para puentes mediante un algoritmo genético real. Amornfa, Phienwej & Kitpayuck (2012) realizaron una evaluación sobre la práctica actual en el diseño de cimentaciones para edificios de gran altura en Bangkok, Tailandia, para explorar las habitaciones con el fin de mejorar y luego investigar el beneficio de adoptar el concepto de diseño de cimentaciones por losas sobre pilotes. Hassaan (2014) propuso el diseño óptimo para cimentaciones poco profundas sobre un suelo limoso para maquinaria, utilizando el software MATLAB. Letsios, Lagaros & Papadrakakis (2014) examinaron el problema para encontrar diseños optimizados de cimentaciones por pilotes y se realiza de acuerdo con dos recomendaciones de códigos de diseño: Euro código 7 y DIN 4014. Hui, Zhuoyi & Mingji (2015) propusieron un algoritmo genético y aplicado para el diseño de una cimentación de tira de concreto reforzado. Wang, Yang & Shangguan (2015) propusieron un modelo de análisis para optimizar el diámetro de los pilotes de cimentación de balsas apiladas con control diferencial de asentamiento, y se dan los pasos de implementación del análisis de optimización. López-Chavarría, Luévanos-Rojas & Medina-Elizondo (2017) propusieron el área óptima para zapatas combinadas de esquina. Yeh & Huang (2017) estudiaron los efectos de la resistencia a la compresión del concreto, el límite elástico del acero, la excentricidad de la carga axial y la dimensión de la barra de acero para la optimización de zapatas aisladas de concreto reforzado. Regupathi & Sugumar (2017) presentaron el costo mínimo para cabezales de pilotes de concreto reforzado, utilizando técnicas de optimización. Luévanos-Rojas, López-Chavarría & Medina-Elizondo (2017) desarrollaron el diseño óptimo para zapatas aisladas rectangulares considerando la presión lineal del suelo. Leung, Klar, Soga & Hoult (2017) presentaron un enfoque de análisis y optimización para las cimentaciones de grupos de pilotes y balsa apilada, que permite el acoplamiento de la rigidez de la superestructura con el modelo de la cimentación, a través de una matriz condensada que representa las características de flexión de la superestructura. Jelušič & Žlender (2018) presentaron un diseño óptimo de zapata, basado en la optimización multiparamétrica de programación no lineal de enteros mixtos. Velázquez-Santillan, Luévanos-Rojas, López-Chavarría, Medina-Elizondo & Sandoval-Rivas (2018) investigaron el diseño óptimo para las zapatas combinadas rectangulares de concreto reforzado con ejemplos numéricos. Ravichandran, Shrestha & Piratla (2018) propusieron un procedimiento de diseño y optimización geotécnica para cimientos de balsa apilada para soportar turbinas eólicas altas en suelos arcillosos y arenosos. Luévanos-Rojas, López-Chavarría & Medina-Elizondo (2018a) presentaron un modelo matemático para encontrar el tamaño mínimo de zapatas combinadas en forma de T. Malapur, Cholappanavar & Fernandes (2018) desarrollaron un diseño para obtener el costo mínimo de columnas y zapatas de concreto reforzado utilizando algoritmos genéticos basados en técnicas de optimización. Rawat & Mittal (2018) desarrollaron un enfoque simplificado basado en Microsoft Excel para el diseño de zapatas aisladas de concreto reforzado, cargadas excéntricamente, que considera los requisitos estructurales y económicos simultáneamente para encontrar una zapata con un costo mínimo. Aguilera-Mancilla, Luévanos-Rojas, López-Chavarría & Medina-Elizondo (2019) desarrollaron un modelo analítico para obtener las dimensiones óptimas para las zapatas combinadas de la correa. López-Chavarría, Luévanos-Rojas, Medina-Elizondo, Sandoval-Rivas & Velázquez-Santillán (2019) estudiaron un modelo matemático para obtener el diseño de costo mínimo para las zapatas circulares aisladas basadas en técnicas de optimización. Chaudhuri & Maity (2020) investigaron el costo óptimo para las zapatas aisladas de forma rectangular, aplicando el Algoritmo Genérico (GA) y la Optimización Uniforme de Múltiples Partículas (UPSO) de acuerdo con el código de la India. Farias Montemayor, Luévanos Rojas, López Chavarría & Medina Elizondo (2020a) presentaron un modelo para optimizar la superficie en planta para los cabezales rectangulares apoyados sobre un grupo de pilotes. Farias Montemayor, Luévanos Rojas, López Chavarría & Medina Elizondo (2020b) desarrollaron un modelo para obtener el espesor y el acero de refuerzo de los cabezales rectangulares apoyados sobre un grupo de pilotes.
El artículo más cercano al tema que aquí se aborda es el de Luévanos-Rojas (2015), quien muestra un nuevo modelo matemático para encontrar el tamaño de las zapatas combinadas trapezoidales de frontera, pero presenta únicamente las ecuaciones y considera que la fuerza resultante se coloca sobre el eje X del centro de gravedad del área de la zapata, y el momento alrededor del eje X es 0. Por lo tanto, no se puede obtener la superficie óptima para la zapata.
Con base en lo anterior, no existe un documento con el nivel de conocimiento actual sobre las dimensiones óptimas de la superficie de contacto para las zapatas combinadas trapezoidales de concreto reforzado, donde la ubicación de la fuerza resultante no está restringida a los ejes X o Y. Este documento muestra un nuevo modelo para zapatas combinadas trapezoidales para encontrar las dimensiones óptimas de la superficie de contacto sobre el terreno que soporta una carga concentrada y momentos alrededor de los ejes X y Y en cada columna. El modelo presentado en este documento considera un diagrama de presión que tiene una variación lineal. El modelo usado actualmente es por el método de prueba de éxito y error; es decir, las dimensiones de la zapata combinada trapezoidales se proponen y, posteriormente, por medio de la ecuación de la flexión biaxial se verifican los esfuerzos en cada esquina (estos esfuerzos deben ser mayor o igual que 0 y menor o igual que la capacidad de carga admisible disponible del terreno). Para facilitar la aplicación del método, se presentan cuatro ejemplos numéricos para zapatas combinadas trapezoidales; dos de ellos considerando los anchos de la zapata diferentes con un lado restringido y dos lados opuestos restringidos, y los otros dos consideran los anchos de la zapata iguales con un lado restringido y dos lados opuestos restringidos. También, se incluyen dos ejemplos numéricos para zapatas combinadas trapezoidales usando las ecuaciones por Luévanos-Rojas (2015).
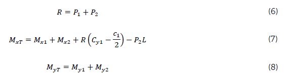
La ecuación general para calcular los esfuerzos de contacto en zapatas bajo carga axial y flexión biaxial es:

donde σ = esfuerzo vertical en el contacto suelo-zapata; A = área en planta de la zapata (superficie de contacto); P = carga concentrada sobre la zapata; Mx = momento alrededor del eje X; My = momento alrededor del eje Y; x = distancia paralela al eje X medida a partir del eje Y al punto de análisis; y = distancia paralela al eje Y medida a partir del eje X al punto de análisis; Iy = momento de inercia sobre el eje Y de la zapata; Ix = momento de inercia sobre el eje X de la zapata.
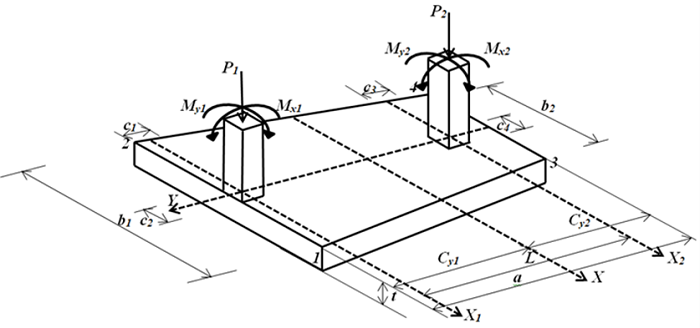
La Figura 2 muestra una zapata combinada trapezoidal de frontera que soporta dos columnas rectangulares de diferente tamaño; una columna se ubica en la colindancia del predio, pero no en esquina, y la otra columna se localiza en el interior de la construcción, ambas columnas sometidas a una carga concéntrica y momentos alrededor de los ejes X y Y (flexión biaxial).
Los esfuerzos en cada vértice de la zapata combinada trapezoidal por la ecuación (1) se obtienen:


donde R = fuerza resultante; MxT = momento total resultante alrededor del eje X; y MyT = momento total resultante alrededor del eje Y. Estos se obtienen mediante las siguientes ecuaciones:

Las propiedades geométricas de la sección trapezoidal de la zapata se obtienen mediante las siguientes ecuaciones:

Las condiciones geométricas son:

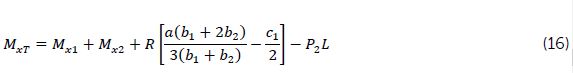
Sustituyendo la ecuación (10) en la ecuación (7), se obtiene el momento alrededor del eje X en función de a, b1 y b2:

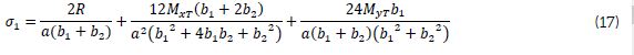
Sustituyendo las ecuaciones (9) a (13) en las ecuaciones (2) a (5) para obtener los esfuerzos de la zapata combinada trapezoidal en cada vértice (esquinas de la zapata), se obtienen:


Los esfuerzos verticales en el contacto suelo-zapata combinada deben cumplir con las siguientes condiciones: El esfuerzo mínimo no debe ser negativo y el esfuerzo máximo no debe ser mayor que la capacidad de carga admisible del suelo σadm .
Ahora la función objetivo para minimizar el área total de la superficie de contacto At es:

Las funciones de restricción para obtener las dimensiones de las zapatas combinadas trapezoidales son las ecuaciones (6), (14), (16) y (17) a (20) (estos esfuerzos deben ser mayores o iguales a 0 y menores o iguales a σadm ).
Este modelo hace coincidir la fuerza resultante con el centro de gravedad del área de la zapata en dirección del eje Y; por lo tanto, el momento alrededor del eje X es 0. Entonces, el valor de Cy1 se obtiene por las ecuaciones (15) y (16) de Luévanos-Rojas (2015):

donde yR es la distancia del eje X1 al centro de gravedad de la zapata, donde debe de ubicarse la fuerza resultante.
Por la ecuación (17) se obtiene b1 en función de b2 de Luévanos-Rojas (2015):

donde a se obtiene por la ecuación (18) de Luévanos-Rojas (2015) es:

Este modelo presenta dos condiciones. La primera condición considera que el esfuerzo vertical mínimo debe ser 0. Las ecuaciones (26) y (27) son Luévanos-Rojas (2015) son:


La segunda condición toma en cuenta que el esfuerzo vertical máximo debe ser la capacidad de carga admisible del suelo. La ecuación (30) de Luévanos-Rojas (2015) es:

La ecuación (27) se resuelve para obtener b2 , y el valor de b2 se sustituye en la ecuación (23) para obtener b1 . Las dimensiones finales propuestas son las mayores dimensiones que se obtienen de la primera y segunda condición (Luévanos-Rojas, 2015).
Nota: si la carga mayor es P2 (columna interior), se deben de realizar los siguientes cambios: en la ecuación (27) se deben sustituir los valores de Cy1 por Cy2 , y b2 por b1 , y en la ecuación (23) se deben sustituir los valores de Cy1 por Cy2 , b2 por b1 y b1 por b2 .
Las tablas muestran cuatro ejemplos para obtener el área óptima de las zapatas combinadas trapezoidales y dos ejemplos para obtener el área por las ecuaciones de Luévanos-Rojas (2015). Los valores de P1 y P2 varían para cada caso, pero el valor de R es de 2200 kN en todos los casos, y en cada caso se asumen cinco valores de la capacidad de carga admisible. Esto es, σadm = 250 kN/m2, 225 kN/m2, 200 kN/m2, 175 kN/m2, 150 kN/m2. Además, los momentos Mx1 , My1 , Mx2 y My2 que actúan sobre las zapatas son los mismos en todos los casos.
Los resultados presentados en las Tablas 1, 2, 3 y 4 toman en cuenta las siguientes consideraciones: 1) El tamaño de las dos columnas es de 40 cmx40 cm; 2) La capacidad de carga permisible del suelo varía para cada caso; 3) La carga concéntrica P1 y P2 son diferentes para cada caso, pero R es igual en todos los casos; y 4) La distancia entre columnas es L = 5.00 m.




La función objetivo (área óptima o área mínima) se obtiene por la ecuación (21), y las funciones de restricción se obtienen por las ecuaciones (6), (14), (16) y (17) a (20). Las áreas óptimas para las zapatas combinadas trapezoidales se obtienen mediante el software MAPLE-15. Este problema asume que las variables conocidas son: P1 , Mx1 , My1 , P2 , Mx2 , My2 , c1 , c2 , c3 , c4 , L, σadm ; y las variables desconocidas son: R, MxT , MyT , a, b1 , b2 , A, σ1 , σ2 , σ3 , σ4 .
Para todas las tablas de cada caso se hacen las siguientes consideraciones: El caso 1 considera las cargas P1 = 1200 kN y P2 = 1000 kN (la carga mayor está en el límite de la propiedad); el caso 2 toma en cuenta las cargas P1 = 1100 kN y P2 = 1100 kN (las cargas son iguales); el caso 3 considera las cargas P1 = 1000 kN y P2 = 1200 kN (la carga menor está en el límite de la propiedad).
Las Tablas 5 y 6 muestran los mismos ejemplos numéricos que se desarrollan en las Tablas 1 y 2, respectivamente, pero por las ecuaciones de Luévanos-Rojas (2015).


La Tabla 1 toma en cuenta las siguientes consideraciones: MxT no está limitado; b1 ≥ 0.00; b2 ≥ 0.00 y 5.40 ≤ a; At es la función objetivo; y 0 ≤ σ1, σ2, σ3, σ4 ≤ σadm .
La Tabla 2 hace las siguientes consideraciones: MxT no está limitado; b1 ≥ 0.00; b2 ≥ 0.00 y 5.40 = a; At es la función objetivo; y 0 ≤ σ1, σ2, σ3, σ4 ≤ σadm .
La Tabla 3 considera lo siguiente: MxT no está restringido; b1 ≥ 0.00; b2 ≥ 0.00; b1 = b2 y 5.40 ≤ a; At es la función objetivo; y 0 ≤ σ1, σ2, σ3, σ4 ≤ σadm .
La Tabla 4 hace las siguientes consideraciones: MxT no está limitado; b1 ≥ 0.00; b2 ≥ 0.00; b1 = b2 y 5.40 = a; At es la función objetivo; y 0 ≤ σ1, σ2, σ3, σ4 ≤ σadm .
La Tabla 5 toma en cuenta la distancia longitudinal a igual a la obtenida en la tabla 1 para usar las ecuaciones (Luévanos-Rojas, 2015).
La Tabla 6 considera la distancia longitudinal a igual a la obtenida en la Tabla 2 para usar las ecuaciones (Luévanos-Rojas, 2015).
La Tabla 1 muestra los siguientes resultados (zapatas combinadas trapezoidales con una línea de propiedad restringida). Para los casos 1 y 2, aumentan los valores de a y b1; cuando la capacidad de carga permisible del suelo disminuye, el esfuerzo máximo es igual a σadm y el esfuerzo mínimo es mayor a 0, y el valor de b2 es igual a 0 (el área óptima es de forma triangular, es decir, una zapata combinada triangular aparece). Para el caso 3, aumenta el valor de b2 y b1; cuando la capacidad de carga permisible del suelo disminuye, el esfuerzo máximo es igual a σadm y el esfuerzo mínimo es mayor a 0, y el valor de a es constante e igual a 5.40 m. Además, el valor de MxT disminuye en valor absoluto para todos los casos cuando disminuye la capacidad de carga permisible del suelo.
La Tabla 2 presenta lo siguiente (zapatas combinadas trapezoidales con dos lados opuestos restringidos). Los valores de b1 y b2 para todos los casos aumentan, y el valor de a es constante e igual a 5.40 m; cuando la capacidad de carga permisible del suelo disminuye, el esfuerzo máximo es igual a σadm y el esfuerzo mínimo es mayor a 0. Además, el valor de MxT disminuye en valor absoluto para todos los casos cuando disminuye la capacidad de carga permisible del suelo.
La Tabla 3 muestra lo siguiente (zapatas combinadas rectangulares con una línea de propiedad restringida). Para los casos 1 y 2, aumentan los valores de b2 y b1, y estos son iguales, y el valor de a es constante e igual a 5.40 m; cuando la capacidad de carga permisible del suelo disminuye, el esfuerzo máximo es igual a σadm y el esfuerzo mínimo es mayor a 0. Para el caso 3 aumenta el valor de b2 y b1; cuando la capacidad de carga permisible del suelo disminuye, el esfuerzo máximo es igual a σadm y el esfuerzo mínimo es mayor a 0, y el valor de a es constante e igual a 5.64 m. Además, el valor de MxT para el caso 1 es constante e igual a 740 kN-m; para el caso 2, es constante e igual a 240 kN-m; y para el caso 3, es constante e igual a 0.
La Tabla 4 presenta los siguientes resultados (zapatas combinadas rectangulares con dos lados opuestos restringidos). Para los casos 1, 2 y 3, aumentan los valores de b1 y b2, y estos son iguales, y el valor de a es constante e igual a 5.40 m; cuando la capacidad de carga permisible del suelo disminuye, el esfuerzo máximo es igual a σadm y el esfuerzo mínimo es mayor a 0. Además, el valor de MxT para el caso 1 es constante e igual a 740 kN-m; para el caso 2, es constante e igual a 240 kN-m; y para el caso 3, es constante e igual a −260 kN-m.
Cuando el valor de MxT es 0, la fuerza resultante se localiza sobre el eje X, como se observa en el caso 3 de la tabla 3.
La Tabla 5 muestra los resultados para zapatas combinadas trapezoidales con una línea de propiedad restringida por Luévanos-Rojas (2015). Para todos los casos, rige la condición 2; para los casos 1 y 2, los valores de a y b1 se incrementan y el valor de b2 disminuye; cuando la capacidad de carga permisible del suelo disminuye, todos los esfuerzos se encuentran dentro de los límites permisibles. Para el caso 3, aumentan los valores de b2 y b1, y el valor de a es constante e igual a 5.40 m cuando la capacidad de carga permisible del suelo disminuye y todos los esfuerzos se encuentran dentro de los límites permisibles. Los valores de a son los mismos que se usaron en la Tabla 1.
La Tabla 6 presenta los resultados para zapatas combinadas trapezoidales con dos lados opuestos restringidos por Luévanos-Rojas (2015). Para todos los casos, rige la condición 2; para todos los casos, los valores de b2 y b1 se incrementan cuando la capacidad de carga permisible del suelo disminuye y todos los esfuerzos se encuentran dentro de los límites permisibles. Los valores de a son los mismos que se usaron en la Tabla 2.
La Tabla 7 muestra una comparación del área óptima entre las zapatas combinadas rectangulares y trapezoidales. En todos los casos se observa que las zapatas combinadas trapezoidales tienen menor área. La mayor diferencia para las zapatas ocurre cuando la mayor carga está en el límite de la propiedad, con 29.2% (σadm = 150 kN/m2), y la menor diferencia para las zapatas aparece cuando la carga más baja está en el límite de la propiedad, con 1.1% (σadm = 150 kN/m2).

La Tabla 8 presenta una comparación entre el modelo propuesto en este documento para obtener el área óptima (superficie mínima) de las zapatas combinadas trapezoidales y el modelo de Luévanos-Rojas (2015). En todos los casos se observa que el modelo propuesto en este documento para las zapatas combinadas trapezoidales tiene menor área con respecto al modelo de Luévanos-Rojas (2015).

Los comentarios sobre el modelo de Luévanos-Rojas (2015) son:
1. El valor de Cy1 se obtiene a partir de la fuerza resultante ubicada en el centro de gravedad de la zapata (posición obligada).
2. El valor de a se obtiene fijando cualquier valor mayor que 1.5 Cy1 y menor que 3 Cy1 , de acuerdo con la ecuación (24).
3. En las ecuaciones (25), (26) y (27) se muestra claramente que no aparece Mx1 y Mx2 , porque estos momentos se encuentran implícitos en la ecuación (22). Por lo tanto, este modelo no garantiza que se obtenga la superficie óptima de la zapata, porque la distancia longitudinal a de la zapata puede tomar los valores de 1.5 Cy1 < a < 3 Cy1 .
La cimentación de una estructura es la parte esencial para transmitir las cargas de columna o pared al terreno subyacente debajo de la estructura. El nuevo modelo presentado en este artículo produce resultados que tienen una precisión sin precedentes para todos los problemas de ingeniería de cimientos. La parte principal de esta investigación es obtener el área óptima de las zapatas (lados de las zapatas combinadas trapezoidales) utilizando las técnicas de optimización.
Las zapatas combinadas se utilizan si se presenta una de las siguientes condiciones:
1. cuando dos columnas se localizan muy cerca una de la otra y las zapatas aisladas adyacentes se superposición.
2. cuando la capacidad de carga del suelo es muy baja y las zapatas aisladas adyacentes tienden a superponerse una sobre otra.
3. cuando una columna de un edificio se localiza cerca de la línea de propiedad o está limitada por alguna otra situación.
El modelo propuesto presentado en este documento para encontrar el área óptima de la superficie en planta para las zapatas combinadas trapezoidales bajo una carga concéntrica y momentos alrededor de los ejes X y Y en cada columna, también se puede usar para los otros casos: 1) zapatas bajo una carga concéntrica en cada columna o 2) zapatas bajo una carga concéntrica y un momento en una dirección en cada columna.
Las principales conclusiones son:
1. La metodología presentada en esta investigación es más precisa que cualquier otra metodología de acuerdo con las condiciones admitidas.
2. El modelo clásico no es práctico en comparación con esta metodología, ya que fue desarrollado tomando en cuenta únicamente los lados de la zapata combinada y se verifica para que cumpla con los valores límites de los esfuerzos mencionados anteriormente.
3. El modelo propuesto presentado en este documento puede usarse para obtener el área óptima de zapatas combinadas trapezoidales con un lado restringido y dos líneas de propiedad de lados opuestos restringidos (Tabla 1 y 2).
4. El modelo propuesto se puede utilizar para encontrar el área óptima de zapatas combinadas rectangulares con un lado restringido, y también dos líneas de propiedad de lados opuestos restringidos (Tabla 3 y 4).
5. Además, el modelo propuesto se puede utilizar para obtener el área óptima de zapatas combinadas triangulares (Tabla 1: caso 1 y 2).
6. El área óptima para zapatas combinadas trapezoidales es más económica que las zapatas combinadas rectangulares para una línea de propiedad restringida, y también para dos líneas de propiedad de lados opuestos restringidos.
7. También, el modelo propuesto en el documento para zapatas combinadas trapezoidales es más económica que el modelo de Luévanos-Rojas (2015).
Por lo tanto, el modelo presentado en este artículo para encontrar el área óptima se puede aplicar a zapatas combinadas trapezoidales, rectangulares y triangulares. Este estudio supone que los suelos de apoyo son elásticos y las zapatas son perfectamente rígidas, esto es, que cumplen con la ecuación de flexión biaxial; es decir, el diagrama de esfuerzos verticales en contacto suelo-zapata tiene una variación lineal.
Las sugerencias para las próximas investigaciones pueden ser: Si hay otro tipo de suelo, como suelos totalmente arcillosos (suelos cohesivos) o suelos totalmente arenosos (suelos granulares), el diagrama de presión debe considerarse de manera diferente porque no es lineal.
La investigación descrita en este trabajo fue financiada por el Instituto de Investigaciones Multidisciplinarias de la Facultad de Contaduría y Administración de la Universidad Autónoma de Coahuila. Los autores también agradecen a los revisores y al editor por los comentarios y sugerencias para mejorar la presentación. El estudiante de doctorado Alberto Isidro Pasillas Orona (CVU/Becario: 800015) agradece al Consejo Nacional de Ciencia y Tecnología (CONACYT) por el apoyo económico.
*Autor de correspondencia Correo electrónico: arnulfol_2007@hotmail.com








