Resumen: El objetivo fue realizar una evaluación económica de la eficiencia reproductiva y productiva en unidades de producción (UP) con bovinos criollos de Nunkiní en Campeche, México. Se evaluó en 10 UP la tasa de gestación, intervalo interparto, natalidad, becerros destetados, ingresos y rentabilidad. Las UP mostraron baja eficiencia reproductiva (tasa de gestación de 41.0% ± 1.95%), elevado intervalo interparto (577.0 d ± 3.64 d), bajos índices de natalidad (37.7% ± 2.03%), becerros destetados (75.40% ± 39.30%), ingresos de USD 1359.17 (p > 0.05), y una estructura de costos fijos y variables de USD 850.57 y USD 1750.58. Las secciones con mayor impacto en los costos fueron la alimentación (34.14%) y mano de obra (30.38%), los cuales afectaron de manera negativa la rentabilidad (-48.28%). En conclusión, las UP evaluadas presentaron una baja rentabilidad como consecuencia de la baja eficiencia reproductiva y productiva del pie de cría.
Palabras clave: Sustentabilidad, ganadería, inversión, bovinos Nunkiní, razas locales.
Abstract: The objective was to carry out an economic evaluation of reproductive and productive efficiency in production units (PU) with creole cattle from Nunkiní in Campeche, Mexico. The pregnancy rate, calving interval, birth rate, weaned calves, income, and profitability were evaluated in 10 PU. The PU showed low reproductive efficiency (pregnancy rate of 41.0% ± 1.95%), high intercalving interval (577.0 d ± 3.64 d), low birth rates (37.7% ± 2.03%), weaned calves (75.40% ± 39.30%), income of USD 1359.17 (p > 0.05), and a structure of fixed and variable costs of USD 850.57 and USD 1750.58. The sections with the greatest impact on costs were food (34.14%) and labor (30.38%), which negatively affected profitability (-48.28%). In conclusion, the evaluated PU presented low profitability because of the low reproductive and productive efficiency of the breeding stock.
Keywords: Sustainability, livestock, investment, nunkiní cattle, local breeds.
Artículos
Evaluación económica de la eficiencia reproductiva y productiva en sistemas productivos con ganado criollo en Campeche, México
Economic evaluation of reproductive and productive efficiency with creole cattle production systems in Campeche, Mexico
Recepción: 24 Febrero 2022
Aprobación: 13 Septiembre Octubre 2022
El ganado bovino de origen español llegó a México desde las Antillas en las primeras décadas del siglo XVI, principalmente de La Habana en Cuba y de Santo Domingo en La Española (hoy República Dominicana/Haití). Los animales se multiplicaron en poco tiempo gracias a que las áreas de pastoreo eran cuantiosas y a que la mano de obra negra e indígena que se requería para su cría era abundante. En ese momento, el principal producto de la cría extensiva del ganado eran los cueros, tanto para su exportación a España como para el consumo interno en la elaboración de correas y lazos utilizados en la minería. Paulatinamente, comenzó a incrementarse en la Nueva España el consumo de la carne de vacunos, cuyos hatos se propagaron con rapidez a lo largo y ancho del territorio del México Colonial (Perezgrovas, 2020). Los bovinos europeos se fueron adaptando a las condiciones climáticas y orográficas de las distintas regiones del país, dando lugar a una serie de biotipos locales cuyas características más sobresalientes serían una elevada fertilidad, docilidad para un fácil manejo, resistencia a enfermedades (Tewolde, 2007), así como rusticidad para enfrentar cambios ambientales y buenos niveles productivos, incluso bajo condiciones nutrimentales poco favorables, lo cual se ha desarrollado a través de 500 años de adaptación.
En la actualidad, estos genotipos criollos, ahora conocidos como razas localmente adaptadas, están relegados a sistemas familiares y de pequeña escala (Anderson et al., 2015), y además se encuentran en poblaciones poco numerosas que se han venido reduciendo todavía más a causa de los cruzamientos con razas exóticas o transfronterizas. Cifras de la Organización de las Naciones Unidas para la Alimentación y la Agricultura (FAO) establecen que, entre los animales domésticos, la especie bovina es la de mayor peligro de dilución genética (FAO, 2010).
En México, los sistemas de producción de ganado bovino en pequeña escala están ubicados en las regiones tropicales y se caracterizan por tener una baja eficiencia reproductiva. Los parámetros que sufren una mayor afectación son la tasa de gestación, la cual puede ser menor al 40%, y el intervalo interparto, donde la cantidad de días abiertos puede rebasar los dos años (Severino-Lendechy et al., 2019a, 2019b). Lo anterior afecta considerablemente la producción de becerros y la rentabilidad (López-Vigoa et al., 2017), además de que pone en riesgo la sustentabilidad económica, social y ambiental de los sistemas de producción de ganado criollo.
Uno de los sistemas de producción de bovinos criollos de México es el que se desarrolla con el ganado que se denomina Nunkiní, el cual tiene antecedentes históricos que se remontan a los inicios de la ganadería bovina en la Nueva España, con su llegada a Campeche en 1543 provenientes de La Española (De Alba, 2011). El propio Dr. De Alba hizo en 1950 el primer reporte contemporáneo de los bovinos de Nunkiní, y años más tarde realizó un estudio describiendo algunas características fenotípicas en animales cuyo manejo es el pastoreo extensivo en las selvas bajas del ejido durante largas temporadas del año, pero que por su propio pie se acercan a los centros de población en los meses de sequía. El recuento en el año 2007 fue de 200 animales puros, con una problemática grave de falta de toros (De Alba, 2011). Estudios recientes revelaron la existencia de 300 hembras con relativa pureza racial, pero la falta de toros Nunkiní sigue siendo un problema, al igual que la falta de información confiable sobre el sistema de producción local (Severino-Lendechy et al., 2021). Con estos antecedentes, el objetivo de este trabajo consistió en conocer el tipo de manejo zootécnico al que es sometido productivamente el ganado criollo en Nunkiní, así como los parámetros reproductivos y productivos que obtienen estas unidades de producción, con el fin de correlacionarlos con los costos de producción, ingresos y rentabilidad, identificando los segmentos de costos con mayor impacto en la actividad ganadera y con ello identificar áreas de mejora que reduzcan los gastos operativos e incrementen la rentabilidad.
El estudio se realizó en 10 unidades de producción (UP), ubicadas en la localidad de Nunkiní, municipio de Calkiní, Campeche, México; situada a 20° 22′ 16″ N y 90° 03′ 02″ O, a una altura de 4 m. s. n. m., con clima de sabana tropical, temperatura y precipitación media anual de 27.0 °C y 1097 mm, respectivamente (Instituto Nacional de Estadística y Geografía [INEGI], 2020).
Las UP fueron clasificadas con base en el nombre de la finca y enumeradas en el siguiente orden: (1) El Arriero, (2) Xkeake, (3) San Benito, (4) San Román, (5) Nachi, (6) El Limón, (7) San Diego, (8) Siricote, (9) La Esperanza y (10) Chun Cetro, todas bajo un sistema de pastoreo extensivo, con un manejo tradicional del ganado, sin el uso de registros o programas de vacunación y desparasitación per se.
Se tomaron registros para la evaluación por medio de un cuestionario estructurado, con 75 preguntas distribuidas en cinco rubros: 1) Identificación del socio, 2) Parámetros económicos, 3) Parámetros administrativos, 4) Parámetros reproductivos y 5) Parámetros productivos de las hembras.
Para calcular los costos de producción se empleó la metodología de costo por insumo, para lo cual se realizó el registro mensual de las inversiones realizadas en cada UP durante el periodo enero-diciembre de 2020. Los costos se clasificaron en costos fijos y costos variables. Los costos fijos comprenden mano de obra con un valor de USD 6.31 por una jornada de ocho horas, depreciación de instalaciones con una tasa de recuperación del 5% y una vida útil de 15 años, depreciación de equipos motorizados con un valor de recuperación del 3% y una vida útil de siete años, depreciación de equipos no motorizados con un valor de recuperación del 4% y una vida útil de dos años, pago de energía eléctrica y pago de agua. En costos variables se agruparon alimentación y suplementación del hato, servicios del médico veterinario y medicamentos (Pesado et al., 2007).
Los ingresos se obtuvieron al multiplicar los kilogramos promedio del becerro al momento del destete (±180 kg) por el precio de venta (USD 1.43 kg-1), obtenido del Sistema Nacional de Información e Integración de Mercados (SNIIM, 2020), por la cantidad de becerros destetados. Durante el periodo de investigación, el tipo de cambio fue $21.56 pesos mexicanos por dólar estadounidense (Banco de México [Banxico], 2021). La rentabilidad se obtuvo al dividir el total de ingresos obtenidos por el productor entre el valor de la inversión y multiplicando el resultado por 100 (Inchaisri et al., 2010). El punto de equilibrio en unidades se obtuvo al dividir el costo fijo entre la diferencia del precio de venta unitario y el costo variable unitario (Pesado et al., 2007).
Adicionalmente a la información obtenida mediante el cuestionario, se realizó la palpación del tracto reproductivo vía rectal a las hembras usando ultrasonido de tiempo real (Mindray® DP-10 VET, con un transductor lineal de 7.0 MHz). La información obtenida se empleó para calcular la tasa de gestación (TG), que se obtuvo al dividir el número total de vacas gestantes con el número de vacas apareadas por toro. El intervalo entre partos (IP) fue calculado como la cantidad de tiempo (días [d]) entre el nacimiento de un becerro y el nacimiento de un becerro posterior, ambos de la misma vaca (Perea-Ganchou et al., 2005).
El porcentaje de natalidad se obtuvo al dividir el número de terneros nacidos vivos en el sistema productivo entre el número de vacas expuestas al semental y multiplicando el resultado por 100. El porcentaje de becerros destetados se calculó dividiendo el número de becerros destetados entre el número de vacas paridas y multiplicando por 100 (Cienfuegos-Rivas et al., 2006).
Los resultados fueron capturados en una base de datos para, posteriormente, identificar los componentes (económicos, administrativos, reproductivos y productivos) de cada UP. Una vez concentrada y compactada la información, se procedió al análisis estadístico.
Los datos de tasa de gestación, intervalo interparto, porcentaje de natalidad y becerros destetados se analizaron mediante el análisis unilateral de la varianza por jerarquías de Kruskal-Wallis. Para determinar el efecto y/o correlación de estas variables sobre la rentabilidad de la UP, se realizó una regresión lineal simple. Para esto se utilizó el paquete estadístico Statistical Package for Social Sciences (SPSS, 2010), versión 19.
El inventario ganadero estaba conformado por un total 230 animales (22 animales/UP ± 13 animales/UP). La estructura del hato estuvo compuesta por 11.82% de sementales, 50% de vacas, 12.27% de novillonas, 7.27% de toretes y machos en desarrollo, 15% de becerros lactantes y 3.64% de becerros destetados (Tabla 1).

Estos datos nos indican que el hato ganadero se conforma principalmente por hembras adultas y en edad reproductiva, con el objetivo de obtener una mayor producción de becerros destetados. En segundo lugar, se encuentran las hembras jóvenes, como resultado de la decisión de los productores de conservarlas para garantizar el reemplazo del pie de cría en el hato. En cuanto al tipo racial e inventario ganadero con hatos criollos de Nunkiní, ya existen antecedentes previamente reportados por Severino-Lendechy et al. (2021). Por otra parte, una composición similar fue reportada por Parra-Cortés & Magaña-Magaña (2019), trabajando con ganado criollo de la raza Romosinuano y Lechero tropical, donde la estructura del hato ganadero se conformó por 1.7% de sementales, 30.6% de vacas, 27.9% de novillonas, 4.9% de machos en desarrollo y toretes, 19.6% de becerras y 15.3% de becerros.
No obstante, cabe destacar que, independiente del número total de animales inventariados (Tabla 1), no se tienen estadísticas oficiales de la aportación del ganado criollo de Nunkiní a la producción nacional o estatal, y se desconoce la población total actual y las condiciones de pureza de muchos hatos (Severino-Lendechy et al., 2021). Lo anterior significa que esta raza criolla es poco utilizada y su población presenta una tendencia a disminuir, lo que, conforme a los parámetros de la FAO, si se cuenta con menos de 1000 vientres, 20 machos y con una tendencia al descenso, indica que es una raza en inminente peligro de extinción (Ossa et al., 2011). Esto también ha sido reportado por otros autores, quienes han atribuido esta disminución poblacional de bovinos criollos a factores tales como la modificación de los sistemas de producción, desconocimiento de la raza o moda en la utilización de razas productoras de leche y/o carne, falta de asesoría técnica, baja disponibilidad de sementales, baja rentabilidad, falta de políticas públicas y pérdida de tradiciones, entre otros (De Alba, 2011; Severino-Lendechy et al., 2021; Vilaboa-Arroniz et al., 2012a, 2012b).
Los parámetros reproductivos promedio indicaron una tasa de gestación de 41.0% ± 1.95%, un intervalo interparto de 577.0 d ± 3.64 d, una tasa de natalidad de 37.71% ± 2.03% y una tasa de becerros destetados de 75.40% ± 39.30%. No se observaron diferencias estadísticas entre las UP evaluadas (Tabla 2).

La tasa de gestación (41% ± 1.95%) presenta un valor similar al encontrado en diferentes tipos de sistemas productivos ubicados en zonas tropicales del país (42%) (Arce-Recinos et al., 2017). El intervalo interparto de 577 d ± 3.64 d es superior al reportado por Parra-Cortés & Magaña-Magaña (2019), quienes, trabajando con bovinos criollos del grupo genético Romosinuano y Lechero tropical, obtuvieron 426 d ± 94 d y 389 d ± 28 d, respectivamente. En dicha investigación los productores emplearon un software especializado en el control del inventario ganadero, lo que permitió generar información y contribuir a la disminución de este indicador. Por otra parte, la baja eficiencia reproductiva se explica por diferentes factores, dentro de los cuales destacan la baja condición corporal de los animales como resultado de la escasez de forraje ocasionada por las prolongadas temporadas de estiaje (Muñoz-González et al., 2016).
En lo que respecta a la tasa de natalidad (37.71% ± 2.03%), el número de becerros nacidos vivos presentó una disminución del 3%, en comparación con la tasa de gestación general, lo que indica que las hembras presentan, en alguna etapa de la concepción, fallas reproductivas como reabsorciones embrionarias y abortos, las cuales pueden estar relacionadas a la seroprevalencia de enfermedades reproductivas como leptospirosis (75%), diarrea viral bovina (DVB, 81.27%), rinotraqueitis infecciosa bovina (IBR, 61.4%), neosporosis (2.5%), brucelosis (BR, 0.02%) y tuberculosis (TB, 0.5%) (Gutiérrez-Hernández et al., 2020). En el caso particular de las UP con bovinos criollos de Nunkíni, por ejemplo, ningún productor está inscrito en la campaña nacional para el control y erradicación de brucelosis y tuberculosis bovina, ya que no consideran que sean enfermedades que afecten a los animales en esa zona (Severino-Lendechy et al., 2021). No obstante, en un estudio realizado por Severino-Lendechy et al. (2022) en 10 UP de Nunkiní, donde se muestrearon 10 animales por UP (n = 100), se reportó que no se observaron animales positivos a brucelosis y toxoplasmosis (ambas enfermedades infecciosas que afectan la reproducción animal), ya que se encontró una prevalencia menor al 2.5%. Por lo tanto, esta disminución en la tasa de natalidad podría ser atribuida a cuestiones de otra índole (metabólicas y fisiológicas), pero no de enfermedades reproductivas per se.
El porcentaje promedio de becerros destetados (75.40% ± 39.30%) difiere al reportado en otros grupos genéticos criollos, como el de la Patagonia chilena, donde el porcentaje obtenido fue del 91% (Aracena & Mujica, 2011). Lo anterior puede atribuirse a la falta de un manejo zootécnico adecuado, refiriéndose a la implementación de un programa sanitario (vacunación, desparasitación interna y externa) y nutricional, lo que podría disminuir la morbilidad de enfermedades y la mortalidad de los becerros, así como incrementar la ganancia diaria de peso, obteniendo una mejora en los ingresos por la venta de un lote más homogéneo de becerros al destete (McIntosh et al., 2021).
Se clasificó la estructura de costos de producción (Tabla 3), así como el efecto de estos sobre los indicadores de desempeño económico. Los ingresos anuales promedio alcanzaron los USD 1359.17 en el año 2020, y la rentabilidad obtenida fue de -48.28%, consecuencia de la baja tasa de gestación, del precio de venta por kilogramo de los becerros vendidos en el mercado nacional al momento del destete (USD 2.54) y del impacto en los costos totales de producción.

Los ingresos obtenidos (Tabla 3) durante el periodo de la investigación fueron inferiores a lo reportado por Parra-Cortés & Magaña-Magaña (2019) en diferentes sistemas productivos con ganado criollo. Dichos ingresos, en promedio, alcanzaron los USD 53 748, esto como consecuencia de una mayor cantidad de becerros producidos con un mayor peso al destete y los precios de mercado, los cuales pueden variar de acuerdo a la demanda de carne nacional e internacional. Por lo tanto, con los ingresos obtenidos en las UP de Nunkiní, no se alcanzó un factor mínimo deseable para cubrir los costos operativos y generar ganancias que permitan la sustentabilidad económica de la actividad a largo plazo (Ramírez-Espinoza et al., 2017). La variación en los costos de producción e ingresos en las UP se debe a la diferencia que presentan estas en relación al inventario ganadero, al número de hectáreas destinadas a la producción de forraje, a la cantidad de mano de obra contratada o familiar y a la producción de becerros obtenida, tal como lo reporta Moreno-Medina et al. (2018), donde se evaluaron UP con características heterogéneas y cuyos resultados en la producción estuvieron influenciados por las mismas variables que influyeron en esta investigación.
También se analizaron los costos totales promedio y su participación (Figura 1). Los costos fijos cuentan con participación del 27.01%, y el rubro sobresaliente corresponde a la mano de obra con 24.63% de los costos totales de producción (Figura 1a); su mayor participación se debe al valor económico otorgado a la mano de obra propia, familiar o contratada que se emplea en las actividades del sistema productivo. Por su parte, los costos variables constituyen un 72.99%, de los cuales los rubros que destacan son alimentación y suplementación (37.31% y 16.42% de los costos totales, respectivamente) (Figura 1b), los cuales corresponden al costo otorgado a la producción de forraje en los predios del productor y a la compra de los insumos, tales como sales minerales y alimento balanceado proporcionado a los bovinos durante la temporada de estiaje.

Con los indicadores de desempeño económico se identificó que uno de los rubros con mayor grado de participación en los costos de producción es la alimentación de los animales. Sin embargo, los productores generalmente no otorgan un valor económico al forraje empleado para la alimentación del ganado, lo cual es incorrecto. Esta idea errónea se genera porque los productores, al realizar el manejo del hato bajo pastoreo extensivo, consideran que el forraje (arbóreo, arbustivo y gramíneas) que consumen sus animales la mayor parte del año y que genera sustentabilidad del sistema productivo en la región es un recurso propio con el que ya disponen, lo que ocasiona que equivocadamente este alimento no sea estimado en la contabilización de costos (Sánchez-Gómez et al., 2017).
En este caso, para esta investigación, el costo del forraje fue asignado considerando el precio de renta de potrero por bovino al mes, el cual fue de USD 3.80.
El segundo lugar en costos variables corresponde a la suplementación. Esta es empleada estratégicamente por parte de los productores durante la temporada de estiaje, proporcionando alimentos balanceados, sales minerales y heno, con la finalidad de mantener los nutrimentos necesarios que el ganado requiere por la baja en la calidad y disponibilidad de los forrajes donde pastorean.
El tercer rubro fue para la mano de obra propia, familiar o contratada empleada en la actividad ganadera, la cual tiene un valor de USD 6.31 por una jornada de ocho horas de trabajo. No obstante, los productores no consideran relevante la asignación de un valor monetario a las horas dedicadas a la ganadería, porque para ellos esta es una actividad secundaria y/o complementaria con las tareas agrícolas que desarrollan en sus parcelas, en donde cultivan frijol (Phaseolus vulgaris), calabaza (Cucurbita maxima), sandía (Citrullus lanatus) y maíz (Zea mays), además de emplearse de manera temporal en otras labores (jornaleros y albañilería) fuera de la UP (Severino-Lendechy et al., 2021). El nivel de participación de estos rubros ha sido reportado en otras investigaciones, independientemente del tipo de sistema productivo, ubicación geográfica o grupos raciales ( Heinschink et al., 2016; Parra-Cortés & Magaña-Magaña, 2019; Severino-Lendechy et al., 2021).
El número promedio de becerros destetados para alcanzar el punto de equilibrio es de nueve. Sin embargo, la cantidad promedio de animales destetados es de cuatro (Figura 2). La producción de becerros mínima necesaria para garantizar la viabilidad económica de la UP se encuentra directamente relacionada con el bajo desempeño productivo y reproductivo de los vientres desde temprana edad. Así, los factores que tienen una influencia negativa comprenden: presencia de enfermedades, falta de instalaciones adecuadas, baja condición corporal y deficiente manejo nutricional, todo lo anterior está vinculado al manejo zootécnico al que cada UP somete a sus becerras antes y después del destete, lo cual afecta directamente la edad al primer parto (Severino-Lendechy et al., 2017, 2019a, 2019b, 2021).

Por su parte, Heinrichs & Heinrichs (2011) han demostrado que todos estos factores elevan los costos de producción hasta en un 20%, lo cual concuerda con Masello et al. (2021), quienes evaluaron el efecto de la edad al primer parto y la relación con la viabilidad económica, demostrando que el tiempo que trascurre desde el nacimiento al primer parto genera diferencias del flujo de efectivo, afectando la rentabilidad general de la empresa pecuaria.
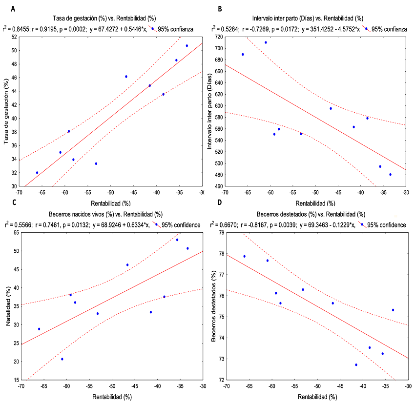
Se realizó una regresión lineal simple para predecir el comportamiento de las variables reproductivas asociadas con la rentabilidad. Así, se observó que la rentabilidad negativa decrece conforme se incrementa la tasa de gestación (p < 0.05) (Figura 3a). Los sistemas productivos que tengan un menor promedio de días abiertos obtendrán menos pérdida económica en el periodo evaluado (p < 0.05) (Figura 3b). El incremento en la cantidad de becerros nacidos vivos (p < 0.05) (Figura 3c) y el porcentaje de becerros destetados (p < 0.05) (Figura 3d) contribuyen a mejorar la rentabilidad. Por lo tanto, tener mayores tasas de gestación, menor número de días abiertos, mayor número de becerros nacidos vivos y destetados genera mejoras en la rentabilidad de la UP.

El bajo porcentaje en la tasa de gestación y largos periodos en el IP influyeron de manera negativa en la producción de becerros. Algo similar ha sido reportado en otros sistemas ganaderos bajo condiciones de trópico húmedo (Machen et al., 2021; Torres-Aburto et al., 2020), donde el margen de utilidad disminuye por cada día que estos parámetros decrecen. La falta de capacitación continua para el productor, nulas reservas de forraje, elevada morbilidad y mortalidad ocasionada por la elevada prevalencia de enfermedades, así como la falta de seguimiento en los esquemas de vacunación en el ganado, incremento constante del precio de los insumos y una reducción en los becerros producidos, ocasionan un elevado costo por unidad producida. Aunado a lo anterior, la falta de registros para capturar y procesar información dificulta la obtención de datos confiables, con lo cual los productores podrían identificar animales improductivos, áreas del sistema productivo y momentos precisos para obtener el mayor retorno de la inversión.
Los ingresos, costos de producción y, en consecuencia, la rentabilidad guardan una estrecha relación con la eficiencia productiva y reproductiva en los sistemas de ganado criollo de la raza Nunkiní. Por lo tanto, para aprovechar sus ventajas adaptativas, los productores deben implementar el uso de programas y estrategias que permitan incrementar la eficiencia reproductiva y productiva, ya que afectan de forma directa la rentabilidad de la UP. Es por ello que se deben tomar acciones que permitan seleccionar un mejor programa reproductivo, reservas de forraje, uso de registros productivos y reducir la dependencia de insumos para la producción. Lo anterior permitirá incrementar la rentabilidad de los hatos de ganado criollo Nunkiní y, con ello, reducir el riesgo de extinción que corren en la actualidad.
Conflictos de interés
Los autores no tenemos ningún conflicto de interés en la publicación de este artículo.
A la Asociación Ganadera Local de Nunkiní, Campeche, a los productores de bovino criollo de Nunkiní por su amabilidad y hospitalidad para la realización de este trabajo.
*Autor de correspondencia. vhseverino@hotmail.com





