Artículos
El análisis de las diferencias salariales y discriminación por género por áreas profesionales en México, abordado desde un enfoque regional, 2015
The analysis of wage differentials and gender discrimination by professional areas in Mexico, approached from a regional approach, 2015
El análisis de las diferencias salariales y discriminación por género por áreas profesionales en México, abordado desde un enfoque regional, 2015
Estudios sociales (Hermosillo, Son.), vol. 27, núm. 49, pp. 121-150, 2017
Centro de Investigación en Alimentación y Desarrollo, A. C.
Recepción: 01 Septiembre 2016
Aprobación: 01 Diciembre 2016
Resumen: El objetivo es conocer las diferencias salariales y discriminación por género por áreas de conocimiento profesional en México y sus regiones según su exposición a la apertura comercial. Metodología. La fuente de los datos es la Encuesta Nacional de Ocupación y Empleo 2015 y se aplica la técnica Oaxaca-Blinder (1973) con corrección por sesgo de selección Heckman (1979) y el Método DiNardo, Fortin, Lemieux (1996) para su análisis. Los resultados indican que las mujeres ubicadas en el área de salud experimentan una mayor desigualdad y discriminación por razones diferentes a las características, acentuándose principalmente en regiones de alta y baja exposición a la apertura. El estudio presenta dos limitaciones: 1) No se analizan las decisiones de participación en el mercado de trabajo y de selección con el método DFL. 2) No se analiza el sector informal. Por último, se concluye que la profesión y la región de residencia, sí influyen en la brecha salarial y la discriminación.
Palabras clave: Desarrollo regional, economía laboral, diferencias salariales, discriminación laboral y género, regiones.
Abstract: The objective is to know wage differentials and gender discrimination by areas of professional knowledge in Mexico and regions according to their exposure to trade liberalization. Methodology. Data source was the National Survey of Occupation and Employment 2015, applying the Oaxaca-Blinder (1973) technique with selection bias correction Heckman (1979) and Method DiNardo, Fortin, Lemieux (1996) to analyze. The results indicate that women located in the area of health experience greater inequality and discrimination for different reasons to selected characteristics, accentuating mainly in regions of high and low exposure to the opening. The study has two limitations: 1) decisions of participation in the labor market and selection with the DFL method is not analyzed. 2) the informal sector is not discussed. Finally, we conclude that the profession and region of residence does affect the wage gap and discrimination.
Key words: Regional development, labor economics, wage differentials, discrimination labor and gender, regions.
Introducción
El aumento reciente en la oferta de estudios profesionales y la demanda de profesionistas ante la globalización llevó a establecer relaciones entre la educación superior y el mercado laboral predominando dos tendencias paralelas: una, donde la enseñanza superior tendió a transformarse en un sistema de escolarización de masas y, otra, donde el mundo del trabajo experimentó una transformación radical en razón de conocimientos y habilidades requeridas de los egresados (ANUIES, 2003a).
Así se tiene que la relación esperada entre educación y mercado laboral, coincidiendo con Joshi et al. (1985), ANUIES (2003b) y Guzmán (2013), establece que a mayor número de programas de estudio, mayor diversidad de campos de formación académica se aumenta la probabilidad de formar profesionales más capacitados que podrán acceder a mayores oportunidades de empleo como a mejores salarios.
En esta lógica, la teoría económica sugiere que si ocurre un desequilibrio entre la oferta y demanda de profesionales,1 las posibilidades son dos: que se presente exceso de oferta o exceso de demanda. Pero, si el mercado está ofrecido significará que los empleadores pueden hacer una selección muy rigurosa de los cuadros calificados para llenar los puestos vacantes de trabajo bajo las condiciones que más convengan al contratista y no necesariamente al trabajador (ANUIES, 2003a).
Ante tales condiciones, retomando lo apuntado por la ANUIES (2003b) y Papadópulos y Radakovich (2006), en el mercado demandado es más probable que el egresado encuentre un empleo e ingreso que corresponda a su formación y competencias, lo que explica en cierta forma la teoría del capital humano, pero en el mercado ofrecido sólo una proporción de los solicitantes encontrará esa relación empleo-ingreso acorde con su perfil. Sin embargo, en esta explicación proporcionada por la "lógica económica" queda ausente la variable género por lo que el estudio de la relación esperada entre población (des)ocupada y mercado laboral sugiere reflexionar la vinculación del sistema sexo-género en la escuela y las opciones laborales; dado que el "descuido" de no observarle o considerarlo un asunto "menor" puede constituir un factor promotor de masculinización de programas educativos y ambientes laborales o generar condiciones contraproducentes para las mujeres, para los mismos varones como para los diversos grupos sociales.
Así se tiene que la presencia de las mujeres (hombres) en algunos programas educativos puede facilitarse o restringirse de modo que una consecuencia consista en obstaculizar la incorporación de ellas (ellos) a ciertas opciones laborales creando brechas y diferencias en los salarios de algunos y limitando los niveles de ingresos de las otras.
La importancia de realizar esta investigación radica en el hecho de que se detectó un vacío de información sobre el análisis de desigualdad y discriminación salarial de las mujeres ubicadas en distintas áreas profesionales, ya que en este nivel de estudios es donde las personas y las familias invierten más dinero y esfuerzo por conseguir terminar una carrera universitaria para obtener una mayor rendimiento en el mercado laboral.
Por lo anterior, en este documento se busca cuestionar tres asuntos: i) ¿Cuáles grupos de mujeres profesionistas padecen desigualdad y discriminaciones salariales al incorporarse en el ámbito laboral? ii) ¿Cuáles grupos de profesionistas acceden a los mejores salarios? y, iii) ¿Qué ocurre dentro de las áreas del conocimiento de los profesionistas en regiones de México?
El objetivo de esta investigación consiste en analizar las diferencias salariales y la discriminación por género en el mercado de trabajo por áreas profesionales, desagregando las distintas áreas del conocimiento profesional a nivel regional.
La hipótesis que se desea contrastar se basa en que las mujeres ubicadas en las profesiones más vinculadas con su género, experimentan una reducción de la brecha a su favor, explicada mayormente por las características productivas, en la parte más alta de la distribución salarial, en las regiones más expuestas a la apertura comercial.
Con los datos de la Encuesta Nacional de Ocupación y Empleo 2015, al aplicar la técnica Oaxaca-Blinder (1973) con corrección de sesgo de selección Heckman (1979) y el Método DiNardo, Fortin, Lemieux (1996), los resultados indican que el efecto de las diferencias salariales por sexo no es homogéneo a lo largo de la distribución ya que en todas las áreas del conocimiento se encuentra que existe un "efecto de piso pegajoso" y "techo de cristal". Así mismo, las mujeres ubicadas en el área de salud experimentan una mayor desigualdad y discriminación y en la mayor parte de la brecha se observan en regiones de alta y baja exposición a la apertura comercial.
El estudio se encuentra organizado de la siguiente manera: en la sección dos se realiza una revisión bibliográfica sobre las propuestas teóricas del estudio de las desigualdades salariales con enfoque de género, así como estudios empíricos. En la sección tres se describen los datos y la metodología utilizada en el estudio. En la sección cuatro se discute la estadística descriptiva. En la sección cinco se presentan los resultados y finalmente las conclusiones y la bibliografía utilizada.
Propuestas teóricas del estudio de desigualdades salariales desde el enfoque de género
La presencia creciente de las mujeres en la economía desde 1960 propició focalizar el estudio de los salarios, su determinación y sus efectos en materia de ocupación y discriminación considerando lo apuntado por Mincer (1962) respecto a que las asignaciones de tiempo de las mujeres son diferentes a las de los hombres.
Las propuestas principales para revisar la determinación de los salarios, el valor (no) asignado al trabajo y sus efectos sobre hombres y mujeres incluyen: 1. la Economía de la familia y la división del trabajo por género; 2. las diferencias salariales por género: el capital humano y la discriminación en el mercado de trabajo; 3. el dualismo y segmentación del trabajo por género; 4. la segregación ocupacional por género; 5. la economía marxista y el género; 6. el género y la economía según las feministas; 7. la crisis económica y el género; 8. las mujeres y la recesión; 9. los estudios económicos con perspectiva de género y 10. la explotación de las fuentes estadísticas (Castaño, 1999).
En este recorrido teórico, Becker (1976, 1987), Fuentes, Palma y Montero (2005), Marshall (2002), García de Fanelli (1989), entre otras, nos permiten anticipar distintas reflexiones relacionadas con las teorías formuladas para explicar la desigualdad y discriminación salarial que sugieren: 1) las mujeres parecen estar obligadas a realizar mayores esfuerzos y hacer frente a más obstáculos para insertarse en el mercado laboral; 2) las diferencias salariales por género parecen justificarse en brindar un tratamiento desigual e injusto a las personas donde las mujeres se vinculan más con la familia, una vida laboral más corta y discontinua y los hombres se asocian con remuneraciones, poder y jerarquía; 3) la responsabilidad asumida por las mujeres en la esfera doméstica implica que vean reducidos sus ingresos laborales generándose segregación ocupacional; 4) la vulnerabilidad de las mujeres en el mercado laboral como víctimas de discriminación las expone a ser relegadas en ocupaciones menos importantes y subvaloradas que son consideradas "adecuadas" para ellas; 5) algunas ocupaciones "reservadas" para los colectivos femeninos pueden estar supeditadas a prejuicios2 personales, gustos o aspectos raciales vinculados con las conductas de quienes las emplean o cualifican impidiendo su superación y, 6) no existe suficiente argumentación para justificar prácticas de discriminación o de desigualdad en menoscabo de las mujeres.
En síntesis, planteamientos de este tipo han motivado a realizar trabajos empíricos para calcular la desigualdad y discriminación salarial por género.
Estudios empíricos sobre desigualdad salarial y discriminación por género
Una vez presentadas algunas definiciones y los principales argumentos teóricos que se han elaborado para comprender la discriminación, en este apartado se procede a presentar una breve revisión sobre la evidencia empírica, considerando estudios que tratan de explicar la desigualdad salarial y la discriminación por género para México.
Rodríguez y Camberos (2007), con datos de la ENEU 2001, encontraron que los hombres ganan en promedio 32% más que las mujeres en Hermosillo, con la técnica de Oaxaca (1973); detectaron que existe un mayor porcentaje de las diferencias salariales que no son explicadas, con mayor impacto en las profesiones ubicadas en económico-administrativas con 77.4% y menor para ingenierías y tecnología con 50.5 por ciento.
Por su parte, Rodríguez y Castro (2014a), calculan la brecha de salarios por género y su descomposición para México y sus regiones en el periodo 2000-2004, con los datos de la ENEU. Con la Metodología Oaxaca-Blinder (1973), los resultados indican que existen diferencias salariales en contra de las mujeres y más del 85% no se deben a las características observables, por lo que este comportamiento es heterogéneo a nivel regional con oscilaciones entre 15 y 25% de desigualdad. La parte no explicada por las características tiende a converger en 20%, con excepción de la capital del país que se ubica en 13 por ciento.
En otro estudio de Rodríguez y Castro (2014b), para el caso de la manufactura en las ciudades de Saltillo y Hermosillo con los datos de la ENOE 2005-2011, con la metodología de Oaxaca-Blinder (1973), obtienen que las 3/4 partes de la diferencia de ingreso en estas áreas metropolitanas están asociadas con la parte no explicada por las características, sin embargo, Hermosillo tiene en promedio el mayor nivel de discriminación salarial, a pesar de la mayor participación femenina en la actividad manufacturera, lo cual puede deberse a la estructura que tiene la industria en esa zona.
Siguiendo con el análisis en el sector manufacturero en zonas fronterizas de México, Castro et al. (2015), analizan la desigualdad salarial por género para el periodo 2005-2011, con información de la ENOE. Utilizan la técnica Oaxaca-Blinder (1973). Los resultados indican que tanto a nivel frontera norte como nacional, las mujeres tienen percepciones salariales, aproximadamente 13% menores con respecto a los hombres, por motivo de discriminación.
Popli (2013) realiza un estudio comparativo del diferencial salarial por género entre 1996 y 2006, con los datos de la ENIGH al aplicar la metodología paramétrica y no paramétrica con función de la expectativa condicional log-lineal. Encontró que la brecha salarial por género es más alta en el mercado de mano de obra formal, aunque de manera general las diferencias salariales han disminuido en el tiempo (1996-2006) en ambos mercados, de igual manera se encuentra evidencia del techo de cristal en el mercado formal con un aumento en la parte no explicada principalmente en la cola superior de la distribución de ingresos.
Por su parte, Arceo y Campos (2014) analizan la brecha salarial por género para el periodo 1990-2010 utilizando los Censos de Población y encuentran que en promedio existe una disminución de la desigualdad en el periodo. Sin embargo, al analizar la distribución, se encuentra evidencia de un patrón estable de "piso pegajoso" y otro decreciente de "techo de cristal". Utilizando la metodología DFL (1996),3 sus resultados indican que la mayor parte de la brecha salarial se debe al efecto de los precios y no de características.
Estos estudios cubren desde la primera mitad del 2000 hasta el 2015 considerando diferentes fuentes de información, así como distintos enfoques metodológicos, donde destaca el método Oaxaca-Blinder como el más frecuente. No obstante, en los años recientes se han explorado enfoques alternativos para descomponer la brecha salarial con el propósito de identificar algunos fenómenos en el comportamiento de las diferencias de ingreso por género a lo largo de la distribución, como pueden ser la presencia del "techo de cristal" o "piso pegajoso".4 Por lo anterior, se consideró importante contar con una estimación de la magnitud de la discriminación salarial entre hombres y mujeres ocupados(as) en regiones de México según su exposición a la apertura comercial.
Datos y metodología
La base de datos utilizada para esta investigación fue la Encuesta Nacional de Ocupación y Empleo (ENOE) 2015; se tomaron en cuenta solo los datos referentes a la información de los salarios5 para tres distintas regiones, según su exposición a la apertura comercial. La muestra toma de referencia a los hombres y mujeres, remunerados y asalariados, que se encontraban en la franja de los 14 a 65 años de edad.
En la muestra se seleccionaron aquellos individuos que tienen estudios universitarios y se realizó una agrupación por áreas del conocimiento, según la clasificación mexicana de programas de estudio por campos de formación académica 2011 (INEGI, 2012), al dividirlos en: educación; artes y humanidades; ciencias sociales, administración y derecho; ciencias naturales, exactas y de la computación; ingeniería, manufactura y construcción; agronomía y veterinaria, así como salud.
Como variable dependiente se toma el salario por hora y se convierten en logaritmo para su mejor interpretación, como variables explicativas se encuentran la experiencia potencial y trabajo a tiempo completo (mayor o igual a 40 horas). La corrección por selectividad se realizó estimando la probabilidad de participación en función de la jefatura de hogar, estatus civil y el tener hijos.
Al realizar la parte regional se optó por utilizar la regionalización de Aguilera y Castro (2016), ya que clasifican a los estados que tienen alta, media o baja exposición a la apertura comercial, mediante su especialización productiva y su capacidad exportadora e importadora a partir de estimar coeficientes de localización y de exportación6. De acuerdo con ellos, las regiones a considerar son las siguientes:
Descomposición "Oaxaca-Blinder"
La metodología Oaxaca-Blinder (1973) parte del supuesto de los efectos generados por las dotaciones de capital humano que deberían ser idénticos para ambos grupos, de forma que si se equiparan las diferencias en dotaciones productivas, podrían atribuirse a la discriminación. En este caso, ln(wm) y ln(wf) son las medias del logaritmo natural de ingresos de hombres (m, masculino) y mujeres (f, femenino). Si el modelo estándar de logaritmo de ingresos es estimado de forma separada para hombres y mujeres, a partir de la regresión lineal pasa a través de las medias de las variables:
[1]Donde: Xm y Xf son vectores que contienen las medias de las variables para hombres y mujeres, respectivamente. bm y bf refieren los coeficientes estimados.
Proporcionados estos resultados, el logaritmo diferencial de ingresos puede ser descompuesto en dos vías, por lo que X' = X'm - X'f, y Δb = bm - bf y la ecuación anterior puede escribirse de la siguiente forma:
[2]El primer término de la ecuación anterior es la parte de diferencial del logaritmo de ingresos debido a las diferencias (promedio) de las características de hombres y mujeres; y el segundo término es la parte de la diferencia debido a diversos coeficientes o diversa estructura de salarios. Si en ausencia de la discriminación entre hombres y mujeres se debería recibir igual retorno para las mismas características de capital humano, entonces las discrepancias en ingresos serán consecuencia de diferencias en el pago relacionado con las características. Entonces, este segundo término podría estar interpretado como la parte de la diferencia del logaritmo del ingreso debido a la discriminación.
Debido a que en la educación superior se acentúa el problema de endogeneidad, ya que en este segmento de educación influyen los factores socioeconómicos en los coeficientes, es importante corregir el sesgo de selección a través de la técnica de corrección propuesta por Heckman (1979).7 Esta técnica tiene la ventaja de corregir los factores no observables que pueden influenciar en los rendimientos de los individuos y se fundamenta en estimar en una primera etapa un modelo probit que tiene por objetivo discriminar entre participar o no en el mercado laboral . El método consiste en generar una variable dicotómica, en función de las características productivas y personales. Es decir:

Si:
[3]Don de Z incluye el vector de variables explicativas de la probabilidad de participar o no. Por su parte la ecuación salarial para mujeres y hombres es:
[4]Donde InW es el logaritmo natural del salario del individuo i que participa o no, X es el vector de variables expletivas que representan las características productivas de los trabajadores, β son los vectores de los parámetros y μ son los residuos. Al tomar valores esperados de la variable dependiente condicionada por las explicativas, se tiene:
[5]Donde ρ coeficiente de correlación mitre ε y μ , φ (Ziα) el valor de la función de densidad y Φ(Ziα) el valor de la función de distribución y λ el ratio de Mills.
Con la metodología Oaxaca-Blinder8 se obtendrán los valores promedios de la brecha de salarios y su descomposición, no obstante es necesario realizar dicho análisis al visualizar las diferencias a lo largo de toda la brecha de salarios; para ello se utiliza la metodología semi-paramétrica propuesta por DiNardo, Fortin y Lemieux (1996), la cual se explica a continuación.
Métodu DiNardo, Fortin, LemiesK 1996 (DFL)9
La metodología propuesta por DiNardo, Fortin y Lemieux (19996),10 parte de la misma naturaleza que la descomposición OB, donde se realiza una contrafactual simple considerando solo los valores medios. Sin embargo, la DFL es una función semi-paramétrica y una de sus mayores aportaciones es que muestra una clara representación de los efectos que produce el factor género en la distribución de salarios, dado que se trabaja con la totalidad de la densidad poblacional.
Con el objetivo de identificar las diferencias en las remuneraciones más allá de los valores medios se comparan las distribuciones considerando el comportamiento del logaritmo de salario por hora original y contrafactual de las mujeres por áreas del conocimiento y se aplica el método DFL, donde el primero se obtiene de la remuneración actual y el segundo se calcula a partir de considerar las características de las mujeres remuneradas a precios de los hombres.
La propuesta de DFL generaliza la descomposición para construir una contrafactual de la densidad, respondiendo a la pregunta: ¿Cuál sería la distribución salarial de los trabajadores del año X si las características del año Y se mantuvieran? El procedimiento para descomponer los cambios en la densidad salarial es una generalización de la descomposición OB de los valores medios.
El razonamiento del método DFL (1996) se construye siguiendo la interpretación de Castro et al. (2017), a partir de considerar la distribución salarial de j, donde j está compuesto por dos grupos: (H) y (M), los cuales contienen características determinadas.
La distribución salarial de trabajadores hombres y mujeres se derribe como:
[3]Donde Fj (W/X) es la respuesta del salario ante cambios en las características observables de los trabajadores y W el logaritmo del salario por hora.
Estas distribuciones son estimables con funciones de densidad Kernel que cumplen con
[4]
[5]Donde h representa el ancho de banda del Kernel y N el número de observaciones.
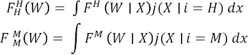
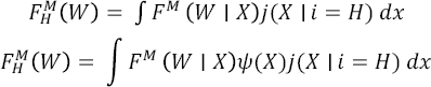
La contrafactual se definiría como la distribución salarial de las mujeres, considerando sus características, pero remuneradas de acuerdo con la estructura salarial de los hombres:
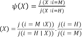
[6]Donde la función de reponderación ψ(X) (densidad contrafactual) puede ser definida como
[7]La estimación de ψ(Χ) se lleva a cabo mediante un modelo logístico de probabilidad, donde la variable dependiente es el sexo y las explicativas son las características observables (X).
La función reponderada estimada es utilizada para estimar la densidad contrafactual por medio de la función Kernel reponderada, que sugiere:
[8]A continuación presentamos las principales características promedio de la muestra de estudio, al utilizar el tercer trimestre de la ENOE 2015.
Las mujeres profesionistas por áreas del conocimiento en regiones de México
El propósito de esta sección es realizar un análisis de las características promedio de hombres y mujeres universitario ubicados en distintas áreas profesionales. El Cuadro 1 revela que en regiones de alta exposición a la apertura comercial existe una mayor participación de féminas principalmente en educación, ciencias exactas y de la computación, ingeniería, manufactura y construcción, al igual que en agronomía y veterinaria, en comparación con el resto de las regiones. Al analizar las razones salariales de las mujeres respecto a los hombres, se encontró que en regiones de media y baja exposición, el salario por hora de ellas rebasa al de sus homólogos, en áreas como educación y artes y humanidades, principalmente.

Aunque la información anterior muestre que las mujeres perciben un salario promedio mayor o menor que el de los hombres, no indica ausencia o presencia de discriminación, porque eso estaría en función de realizar un estudio más preciso de la desigualdad y su descomposición con la metodología Oaxaca-Blinder (1973).
Descomposición de la desigualdad salarial
Con el objetivo de analizar las diferencias salariales y la discriminación por género en el mercado de trabajo de los profesionistas requirió desagregar las distintas áreas del conocimiento a nivel regional aplicando la metodología Oaxaca-Blinder (1973) con corrección de sesgo de selección Heckman (1979). Tal y como se ha comentado anteriormente, se introdujo un control para las personas considerando años educativos, trabajo a tiempo completo y la experiencia potencial en diferentes áreas de conocimiento profesional. Es importante aclarar que los resultados que muestran signos positivos favorecen a las mujeres.
El Cuadro 2 indica que las mujeres se encuentran en condición de desigualdad en la mayor parte de las áreas profesionales, sin embargo, ésta varía dependiendo del área geográfica donde se encuentren laborando. Los resultados revelan que existen más diferencias en contra de las mujeres en las profesiones relacionadas con el área de salud, en la región de alta exposición con -0.813 puntos logarítmicos, donde según la parte no explicada las mujeres deberían de ganar 0.0430 (más 5.2%) relacionada con sus atributos productivos empero reciben -0.825 (menos 101.4%) correspondiente a la parte no explicada atribuible a la discriminación. Por otro lado, las mujeres se encuentran mejor posicionadas en educación en la región de baja exposición, con una diferencia de 3.9 puntos logarítmicos en contra de los hombres; al analizar la parte explicada por los atributos se encontró que deberían de ganar -0.0146 (menos 0.3%) y la parte no explicada fue de 3.952 (más 101.3%), también a favor de ellas.



En síntesis, se puede decir que en las profesiones de salud se experimenta una mayor desigualdad, no sucede lo mismo con las féminas ubicadas en áreas de educación, donde ellas se encuentran mejor posicionadas respecto al resto, aunque las proporciones varían por regiones. Por su parte, Rodríguez y Camberos (2007) muestran algunos resultados relativamente comparables con esta investigación, aunque difieren en resultados, ya que detectaron que existe un mayor grado de discriminación en las profesiones ubicadas en económico-administrativas y menor para las ingenierías y de tecnología.
Los cálculos que se hicieron en esta sección muestran brechas de desigualdad y discriminación en función de las dotaciones promedio de cada grupo, por tal motivo en el siguiente análisis se intentó capturar los cambios en la distribución salarial total y por subgrupos, para visualizar en qué parte de la brecha de salarios se encuentran más favorecidas o desfavorecidas las mujeres.
Los cambios en la distribución total y por subgrupos de profesionistas por áreas del conocimiento en regiones según su exposición a la apertura comercial
Esta parte del análisis estaría indicando el salario actual de las mujeres y el salario que ellas obtendrían con sus características, pero remuneradas como los hombres, en cada una de las áreas profesionales en las distintas regiones de México. En la Gráfica 1 se muestra que en regiones de alta y media exposición existe un desplazamiento a la derecha de la curva contrafactual, después del logaritmo del salario mensual igual a 4. Así mismo, en la región de baja exposición sucede lo contrario, ya que el desplazamiento es favorable para las mujeres, en la curva factual a partir de ese mismo logaritmo del salario. Estos resultados estarían indicando que existe una mayor diferencia que no se explica por las características en regiones de alta y media exposición a la apertura comercial y que la mayor parte de la brecha se encuentra en la parte baja y media de la distribución de salarios.

En la Gráfica 2 se analiza el área del conocimiento de artes y humanidades, donde encontramos un desplazamiento a la derecha de la curva factual respecto de la contrafactual, después del logaritmo del salario 3, en regiones de alta y media exposición con mayor énfasis en la última; lo que significa que las mujeres se encuentran mejor posicionadas en la parte media de la distribución, contrario a lo que sucede en la región de baja exposición, donde se observa un desplazamiento de la curva contrafactual a la derecha en el logaritmo del salario 4. Por lo anterior se puede deducir, que la brecha salarial por sexo es heterogénea a lo largo de la distribución y aporta elementos para sostener la presencia de piso pegajoso y techo de cristal, con diferencias regionales.

En la Gráfica 3 se muestra un aumento del logaritmo del salario a favor de la curva factual, sobre la contrafactual en la parte media de la distribución. Sin embargo, el desplazamiento a la derecha se observa en la curva contrafactual, lo que indica que en logaritmos mayores a 4, las remuneraciones tendrían que ser mayores para las mujeres en la parte alta de la distribución, por lo que se revela la existencia del llamado techo de cristal en todas las regiones analizadas.

En el área de ciencias naturales, exactas y de la computación, se encuentra que la curva factual es más alta que la contrafactual en el logaritmo del salario 4, esto se observa en la región de media y baja exposición a la apertura. Por lo anterior, se deduce que en los segmentos de salario más bajos existe una menor discriminación salarial, excepto para la región de baja exposición a la apertura comercial, donde, se observa la existencia de techo de cristal, ya que las diferencias se acentúan en la parte alta de la distribución.

Por su parte, en agronomía y veterinaria, se encontró que en las regiones de alta y media exposición existe una menor diferencia salarial en contra de ellas, en logaritmos de salarios menores a 4. Lo contrario sucede en la región de media exposición, ya que es el único caso donde la curva contrafactual es mayor. Se puede deducir que a las mujeres que se encuentran en estas áreas del conocimiento les favorece ubicarse en regiones donde existe una mayor exposición a la apertura comercial, ya que es donde experimentan una menor discriminación salarial. Las diferencias salariales entre la factual y la contrafactual indican que éstas se concentran en la parte baja y alta de la distribución de salarios, principalmente en las regiones de alta y media exposición a la apertura.

En ingeniería, manufactura y construcción, se observa que en todas las regiones las curvas contrafactuales se encuentran por encima de las factuales aunque con poca diferencia, lo que implica que en esta área, las mujeres son remuneradas relativamente igual que los hombres a lo largo de la distribución de salarios, aunque con cambios en algunos segmentos de la curva, por ejemplo en la parte media de la distribución, donde se observa una mayor brecha salarial en regiones de alta y media exposición. No obstante, la región de baja exposición experimenta una ligera diferencia a favor de las mujeres en la parte alta de la distribución de salarios.

Finalmente, en el área de salud, se observa que la curva factual se encuentra sobre la contrafactual en logaritmos de salario menores a 4 (en la parte baja y media de la distribución), principalmente en regiones de alta y media exposición, para después experimentar un desplazamiento de la curva contrafactual en el logaritmo del salario superior a 5 (en la parte alta de la distribución). Por tanto se deduce que las mujeres en esta área del conocimiento experimentan discriminación salarial, en logaritmos bajos y altos de la distribución de salarios, experimentando el llamado piso pegajoso y techo de cristal, en todas las regiones analizadas.

En definitiva, en los resultados de las distribuciones salariales factuales y contrafactuales para las distintas áreas profesionales, se pueden apreciar algunos aspectos relevantes. Para todas las profesiones las distribuciones salariales de las mujeres (considerando las remuneraciones de los hombres) permitirían mejorar sus salarios, particularmente para las trabajadoras que se ubican en la parte baja y alta de la distribución; lo que indica que el efecto de las diferencias salariales por sexo no son homogéneas a lo largo de la distribución y aporta elementos para sostener la presencia de piso pegajoso y techo de cristal en la mayor parte de las profesiones.
La comparación de las diferencias salariales (distribuciones factuales y contrafactuales) por regiones permite afirmar que los efectos geográficos son distintos, por lo que se observan diferencias en una misma profesión con comportamientos heterogéneos por región. Por lo anterior, las distribuciones para las profesiones de análisis llevan a afirmar que existen mayores diferencias salariales en las regiones de alta y baja exposición a la apertura comercial donde la brecha salarial no explicada, en general, es mayor en las profesiones del área de salud en la parte baja y alta de la distribución. Es decir, esas regiones y grupos experimentan piso pegajoso y techo de cristal, contrario a lo que ocurre en las profesiones del área de educación e ingeniería, manufactura y construcción, donde la brecha parece estar a favor de ellas, principalmente en la parte alta de la distribución.
Asimismo, la evidencia encontrada va en línea con los hallazgos de Popli (2013), Arceo y Campos (2014), ya que indican la existencia de desigualdad salarial en contra de las mujeres, por lo que al descomponer la brecha en la parte explicada y no explicada por los atributos productivos, encuentran que la mayor parte de las diferencias se debe a discriminación (la parte no explicada) y donde Popli revela evidencia de "techo de cristal" por un lado, y Arceo y Campos (2014), dan cuenta de un patrón estable de "piso pegajoso" y otro decreciente de "techo de cristal".
Conclusiones
Las mujeres de México han aumentado su participación laboral en la economía. La evidencia mostrada coincide con lo apuntado por Papadópulos y Radakovich (2006) respecto a que las mujeres no sólo han accedido a los estudios superiores en forma creciente, alcanzando un buen desempeño en su rendimiento académico, sino que en algunas áreas han sobrepasado los porcentajes de egreso masculino. Pero, al parecer, las féminas siguen percibiendo salarios inferiores, sin que se justifique esa situación en los atributos productivos.
En la actualidad, los salarios, los campos de formación y las ocupaciones "destinadas" para hombres y mujeres incentivan el acceso a ingresos heterogéneos. Los hallazgos empíricos confirman que existe una relación directa entre el nivel de escolaridad y los ingresos de los trabajadores, por lo que éstos aumentan en función del número de años de estudio. No obstante, un nivel superior de escolaridad no garantiza que los ingresos promedios de hombres y mujeres sean iguales ni que tienda a reducirse la brecha entre los mismos.
¿Qué ocurre dentro de las áreas del conocimiento de los profesionistas en regiones de México? Al parecer, sí hay evidencia de que sigan predominando la asignación de roles en función del sexo y el género. Por lo que compete a la brecha salarial promedio en contra de las mujeres se presenta ese comportamiento en los grupos formados en profesiones de la salud, principalmente; no sucede lo mismo en áreas de la educación, aunque los resultados varían dependiendo de la ubicación geográfica, llámese región de alta, media o baja exposición a la apertura comercial.
Al analizar la desigualdad a lo largo de toda la brecha de salarios, las mujeres ubicadas en áreas profesionales como salud experimentan una mayor desigualdad y discriminación salarial en la parte baja y alta de la distribución, es decir, experimentan piso pegajoso y techo de cristal empero el comportamiento en el área de educación parece ser más benévola para ellas, así como en ingeniería, manufactura y construcción, en la parte alta de la distribución; por lo que sorprende el hecho de que en esta última área es donde se encuentra un mayor número de hombres y parece valorarse más las características productivas de las mujeres.
Estos datos confirman que la profesión y la región de residencia sí influyen en la brecha salarial y la discriminación. Es importante aclarar que la discriminación es una de las posibles causas de la parte no explicada, pero no es la única, ésta puede deberse a factores como estatus social, escolaridad de los padres, sector económico, etcétera.
Por último, el estudio presenta dos limitaciones importantes que se abordarán en investigaciones futuras: en primer lugar, no se analizan las decisiones de participación en el mercado de trabajo y de selección por área del conocimiento profesional con el método DFL. En segundo lugar, también sería interesante analizar la evolución de las diferencias salariales entre hombres y mujeres no solamente en el sector formal sino incluir el segmento informal. Resultaría interesante si el abordaje de estas dos consideraciones confirma la presencia de pisos pegajosos o de techos de cristal en las dinámicas y estructuras laborales consideradas.
Bibliografía
Aguilera, A. y D. Castro (2016) "La dinámica regional y el proceso de apertura comercial en México" en Castro, A. y R. Rodríguez (comp.), Mercado laboral en México: situación y desafíos. México, Universidad Autónoma de Coahuila, De Laurel, Universidad Autónoma de Coahuila.
Arceo, E. y R. Campos (2014) "Evolución de la brecha salarial de género en México" El Trimestre Económico. Julio-septiembre 2014, núm. 323, pp. 619-653.
Asociación Nacional de Universidades e Instituciones de Educación Superior, ANUIES (2003a) Mercado laboral de profesionistas en México. Diagnóstico (1990-2000). Primera parte, México, Colección Biblioteca de la Educación Superior, Serie Investigaciones, ANUIES.
Asociación Nacional de Universidades e Instituciones de Educación Superior, ANUIES (2003b) Mercado laboral de profesionistas en México. Escenarios de prospectiva 2000-2006-2010. Segunda parte. México, Colección Biblioteca de la Educación Superior, Serie Investigaciones, ANUIES.
Azevedo, J. P. (2005) DiNardo, Fortin and Lemieux Counterfacual Kernel Density-DFL user written command-". En: < En: http://econpapers.repec.org/software/ bocbocode/s449001.htm> [acceso 20 de septiembre de 2016].
Becker, G. (1976) The economic approach to human behavior. Chicago and London, The University of Chicago Press.
Becker, G. (1987) Tratado sobre la familia. Madrid, Alianza Universidad.
Blinder, A. (1973) "Wage discrimination: Reduced forms and structural estimates" Journal of Human Resourses. 8(4). The University of Texas at Austin, pp. 436-455.
Castaño, C. (1999) "Economía y género" Política y Sociedad. 32, Universidad Complutense de Madrid. Madrid. pp. 23-42.
Castro, D., Huesca, L. y N. Zamarrón (2015) "Discriminación salarial por género en la industria manufacturera de la frontera norte de México, en el periodo 20052011", Nóesis. Revista de Ciencias Sociales y Humanidades. Instituto de Ciencias Sociales y Administración. Ciudad Juárez, México. Vol. 24, núm. 47, enero-junio, pp. 50-80.
Castro, D. , Rodríguez, R. y F. Brown (2017) La Brecha salarial por género y recesión económica en la frontera Norte de México. Mimeo.
DiNardo J., Fortin, N. y T. Lemieux (1996) "Labor market institutions and the distribution of wages, 1973-1992: A Semiparametric Approach" Econometrica. 64(5): 1001-1044.
Encuesta Nacional de Ocupación y Empleo, ENOE (2015) Instituto Nacional de Estadística y Geografía. INEGI. Aguascalientes. Disponible en línea en: <http://www.beta.inegi.org.mx/proyectos/enchogares/regulares/enoe/>.
Fuentes, J., Palma, A. y R. Montero (2005) "Discriminación salarial por género en Chile: una mirada global" Estudios de Economía. Vol. 32, núm. 2, diciembre, pp. 133-157.
García de Fanelli, A. (1989) "Patrones de desigualdad social en la sociedad moderna: una revisión de la discriminación ocupacional y salarial por género" Desarrollo Económico. Instituto de Desarrollo Económico y Social. Vol. 29, núm. 114, julio-septiembre, pp. 239-264.
Guzmán, J. (2013) "Mujeres profesionistas y mercados laborales: México y Tamaulipas" en Hernández, O. y Vera, R. (coords.), Trabajo y Género en Tamaulipas. Tamaulipas, El Colegio de Tamaulipas. Colección Cultura y Sociedad. pp. 105-120.
Heckman, J. (1979) "Sample bias as a specification error"Econometrica . 47 (1): 153-161.
Instituto Nacional de Estadística y Geografía, INEGI (2012) Clasificación mexicana de programas de estudios por campos de formación 2011. Educación superior y media superior. ANUIES, Conacyt, SEP, STPS e INEGI. Aguascalientes. Disponible en línea en <http://www.inegi.org.mx/est/contenidos/proyectos/aspectosmetodologicos/clasificadoresycatalogos/doc/cmpe 2011.pdf>.
Jann, B. (2008) "The Blinder-Oaxaca decomposition for linear models" The STATA Journal. 8(4). 453-479.
Joshi, H., Layard, R. y S. Owen (1985) "Why are more women working in Britain?" Journal of Labor Economics. Vol. 3, núm. 1, pt. 2. The University of Chicago. pp. 147-176 en Humphries, J. (ed.) Gender and Economics. The International Library of Critical Writings in Economics 45. Elgar Reference Collection. England. pp. 276-305.
Lamas, M. (1996) "La perspectiva de género" Revista de Educación y Cultura de la sección 47 del SNTE. Recuperado de Cátedra Derechos Humanos de la UNESCO. En: < En: http://www.catedradh.unesco.unam.mx/webmujeres/biblioteca/Genero/LA%20PERSPECTIVA%20DE%20GeNERO.pdf> [Acceso 25 de Septiembre de 2015].
Marshall, A. (2002) "Transformaciones en el empleo y la intervención sindical en la industria: efectos sobre la desigualdad de salarios" Desarrollo económico. Vol. 42. núm. 166, julio-septiembre, pp. 211-230.
Mincer, J. (1962) "Labor force participation of married women" Aspects of Labor Economics. NBER, Princeton University Press.
Oaxaca, R. (1973) "Male-female wage differentials in urban labour markets". International Economic Review. 14 (3), University of Pennsylvania-The Osaka University Philadelphia, pp. 693-709.
Papadópulos, J. y R. Radakovich (2006) Educación superior y género en América Latina y el Caribe en IESALC-UNESCO. Informe sobre la Educación Superior en América Latina y el Caribe 2000-2005. La metamorfosis de la Educación Superior. Instituto Internacional de la UNESCO para la Educación Superior en América Latina y el Caribe (IESALC). Venezuela. pp. 117-128.
Popli, G. (2013) "Gender wage differentials in Mexico: A distribution approach" Journal of the Royal Statistical Society Series A. 176 (2): 295-319.
Rodríguez, R. y M. Camberos (2007) "Análisis de la discriminación de la mujer en Hermosillo, Sonora" Revista Política y Cultura. Núm. 28, Universidad Autónoma Metropolitana-Xochimilco, septiembre-diciembre 2007, pp. 225-256.
Rodríguez, R. y D. Castro (2014a) "Discriminación salarial de la mujer en el mercado laboral de México y sus regiones" Economía Sociedad y Territorio. Vol. XIV, septiembre-diciembre 2014, núm. 46, pp. 655-686.
Rodríguez, R. y D. Castro (2014b) "Análisis de la discriminación salarial por género en Saltillo y Hermosillo: un estudio comparativo en la industria manufacturera" Nóesis. Septiembre-diciembre 2014, vol. 23, núm. 46, pp. 80-113.
Notas
Notas de autor
Autora para correspondencia: Reyna Elizabeth Rodríguez Pérez. Dirección electrónica: reynarodriguez@uadec.edu.mx. Facultad de Economía. Unidad Camporredondo Edificio "E" planta baja. C. P. 25000. Saltillo, Coahuila, México. Tel. 52(844)4128782 ext. 117.