Artículos
Factores relevantes de la inestabilidad del mercado petrolero*
Factors explaining the instability of the international oil market
Fatores relevantes da instabilidade do mercado de petróleo
Factores relevantes de la inestabilidad del mercado petrolero*
Revista de Economía Institucional, vol. 23, núm. 45, pp. 227-256, 2021
Universidad Externado de Colombia
Recepción: 01 Noviembre 2018
Recibido del documento revisado: 19 Febrero 2021
Aprobación: 02 Junio 2021
Resumen:
El mercado petrolero es inestable e impredecible debido al impacto de los elementos políticos, militares, tecnológicos y climáticos. La nueva y estrecha relación con el mercado financiero, en particular con los mercados a futuro, complica el panorama. Este articulo analiza el impacto de la especulación bursátil sobre el precio del petróleo y la relación con las variables estructurales en el periodo 2000-2017. Los resultados muestran que las variables financieras elevan la inestabilidad y atenúan la influencia de los factores de oferta y demanda.
JEL:Q02, Q40, Q41, Q43, Q47
Palabras clave: Mercado financiero, petróleo, especulación, volatilidad, oferta y demanda.
Abstract:
There is evidence on the instability and unpredictability of the oil market due to political, military, technological and climatic phenomena. The novel and close relationship between the energy and financial markets, particularly futures market, adds complexity. The article aims to understand the impact of speculation on oil prices and the relationship with structural variables during the period 2000-2017. The effect although strong, does not cancel the supply and demand effects.
JEL:Q02, Q40, Q41, Q43, Q47
Keywords: Financial market, oil, speculation, volatility, supply and demand.
Resumo :
O mercado de petróleo é instável e imprevisível devido ao impacto de elementos políticos, militares, tecnológicos e climáticos. O novo e próximo relacionamento com o mercado financeiro, principalmente com os mercados futuros, complica o quadro. Este artigo analisa o impacto da especulação com ações sobre o preço do petróleo e a relação com as variáveis estruturais no período 2000-2017. Os resultados mostram que as variáveis financeiras aumentam a instabilidade e atenuam a influência dos fatores de oferta e demanda.
JEL:Q02, Q40, Q41, Q43, Q47
Palavras-chave: Mercado financeiro, petróleo, especulação, volatilidade, oferta e demanda.
El incremento de la inestabilidad de los precios del petróleo observado entre 2000 y 2017 se atribuye a la financiarización de los mercados de materias primas, esto es, a la incorporación de nuevos instrumentos financieros en el mercado de futuros petroleros y a cambios en la oferta y la demanda.
La financiarización del mercado petrolero se refleja en el incremento de la participación, de los actores financieros (fondos de cobertura -hedgefunds-, managed money vehicles, swaps, entre otros.) en el mercado de futuros, en el cual se han comerciado tradicionalmente las materias primas. Por ejemplo, la intervención de los fondos de cobertura y de partícipes no registrados pasó de alrededor de 45 mil contratos, expresados en el Open Interest, a principios del presente siglo a más de medio millón en el primer semestre de 2008 (cada contrato equivale a mil barriles de petróleo). El incremento del número de contratos se relacionó con los precios record del petróleo de mayo 2008 (mayores a 120 dólares por barril), atribuido a la participación de los actores especulativos en los mercados de materias primas en lo más álgido de la crisis financiera. Lo anterior abrió paso a investigaciones centradas en la relación entre los mercados financiero y petrolero, que demuestran que estos actores especulativos sí afectaron los precios de las materias (Hamilton, 2008; Cheng y Xiong, 2013; United States Senate, 2009).
En principio, los flujos financieros no deberían presentar preocupación económica alguna, al menos como lo plantea la teoría de los mercados financieros de Fama (1965), ya que elevan la flexibilidad de los mercados y reducen los riesgos. El problema radica en que, al alterar la relación entre las cotizaciones y las variables reales, pueden intensificar la inestabilidad de los precios (Greenspan,. 2006). No es fortuito que en los últimos años se ampliaran las brechas entre los precios esperados y los registrados. Baste señalar la diferencia entre los 46,7 dólares por barril el precio para 2027, pronosticada a inicios de ese mismo año y la cotización de 49,1 dólares el barril, observada en diciembre del 2017 (cuadro A.1 del anexo). Ni los modelos más sofisticados y complejos, estructurados y utilizados agencias especializadas como U.S. Energy Information Administration (EIA, 2018a), la Agencia Internacional de Energía (IEA), el Fondo Monetario Internacional (FMI) o la Organización de Países Exportadores de Petróleo (OPEP), previeron las tres caídas de precios ocurridas entre 1980 y 2017, mucho menos la duración del ciclo, debido a que suponen relaciones lineales con una distribución normal (Kartsakli et al., 2017; Arezki et al., 2014; Greenspan, 2008).
La financiarización acentuó la incertidumbre, atribuible al peso de los factores contingentes que afectan la oferta y la demanda y, por ende, la formación de los precios. Estos factores abarcan accidentes, desastres naturales (como la explosión de los campos de la British Petroleum en el Golfo de México), conflictos bélicos en el Medio Oriente o África, cambios de estrategia por parte de la OPEP y virajes políticos en los principales productores o consumidores o pandemias como la Covid-19.
Además de los factores contingentes, existen elementos orgánicos que influyen sobre la oferta y la demanda de petróleo. Por un lado, el petróleo está presente como insumo a todo lo largo de estructura productiva en la industria, la generación de energía eléctrica, la producción de combustibles, el transporte, muy críticamente el militar. Su versatilidad permitió la producción en masa y de novedosos bienes manufacturados, como fertilizantes, medicamentos y de artículos sintéticos de una amplia gama de materias primas y productos procesados, como el algodón, el cobre, el hierro o el vidrio. Estas características únicas hacen del petróleo un bien estratégico que nunca, desde finales del siglo XIX, se dejara al mercado (Puyana, 2015).
A inicios del siglo XX, el gobierno estadunidense ordenó a la Rail Road Commission de Texas regular la exploración, producción y transporte de petróleo y gas, mandato que se fortaleció en los años veinte e impuso cuotas de producción a las diferentes regiones. Hasta inicios de los años setenta, las Siete Hermanas1 y las Concesiones pactadas entre los gobiernos de Estados Unidos, el Reino Unido, Francia y los países en desarrollo dueños de las reservas, controlaron los precios, la producción y el intercambio de crudo de México, Venezuela y los países árabes. A partir de 1973, la Organización de Países Exportadores de Petróleo (OPEP), asumió el control de la producción y el comercio, en virtud de su peso absoluto en la capacidad productiva y las reservas. Estos factores son los reguladores decisivos de esta materia prima singular.
Este trabajo adopta una perspectiva de largo plazo que abarca el periodo 1986-2017, y se divide en dos periodos: el primero, entre 1986-2000 durante el cual los precios presentaron oscilaciones menores a las registradas en el segundo periodo (2000-2017), el cual se relaciona con el proceso de inanciarización del mercado petrolero. El presente análisis se centra en el último periodo y se desarrolla con base en un análisis cuantitativo que se expresa en dos modelos econométricos, los cuales escudriñan los aspectos financieros. Complementa el análisis econométrico un minucioso examen cualitativo de los determinantes de la oferta y la demanda petrolera de mediano plazo, para captar los movimientos de la amplia gama de determinantes no mensurables que influyen en los precios. Los resultados de la pesquisa son consistentes con otros estudios que han argumentado que los modelos, por más completos que sean, son insuficientes para captar dos características del mercado petróleo: impredecibilidad e inestabilidad.
La hipótesis que se pretende escrutar es que al menos dos fenómenos permiten entender el aumento de la inestabilidad del precio del petróleo observada desde inicios del siglo XXI. Por un lado, la financiarización del mercado petrolero cuya consecuencia es el mayor peso de los actores especulativos en la formación de los precios y, por el otro, el impacto de eventos contingentes que afectan la composición y la dinámica de la oferta y la demanda.
La primera sección del artículo presenta la descomposición de los precios del petróleo durante el periodo 1986-2020 con la intención de exponer la trayectoria de las cotizaciones en el largo plazo y establecer el cambio en los movimientos de los precios entre 1986-2000, periodo de precios relativamente estables, y la fase de financiarización entre 2000-2019 caracterizada por fuertes oscilaciones. En la segunda sección se indaga la taxonomía del mercado petrolero financiarizado y explora cómo influye en la dinámica de los precios, lo que se estima mediante dos modelos econométricos, los cuales, por disponibilidad de información solo analizan el periodo 2000-2017, en el caso del primero, y 2007-2017, el segundo. La tercera sección analiza el impacto de los cambios de la oferta y la demanda petrolera de manera detallada con un enfoque cualitativo de las variables principales. En la cuarta se resumen los principales hallazgos.
DESCOMPOSICIÓN DE LOS PRECIOS2. LARGO Y CORTO PLAZO
Para visualizar la morfología de los ciclos y establecer los puntos de cambio del petróleo se usaron precios promedio mensuales del periodo enero 1986-junio 2020 (gráfica 1). Emergen dos periodos contrastantes: 1986-2000, con poca amplitud de movimientos, y 2000-junio 2020, con mayores y más frecuentes oscilaciones que toman fuerza en 2014 y aún más en 2020, por el cierre de las actividades sociales y económicas para contener la pandemia, que afectaron primero la demanda y luego la producción y los ingresos, con severos impactos en la demanda y los precios del petróleo en 2020. Este ejercicio señala el año 2000 como el punto de inflexión, coincidente con la intensificación de la financiarización.

El componente estacional de la serie trimestral (gráfica 2) muestra movimientos de los precios reiterados y regulares entre un periodo y otro. Los factores estacionales son, por el lado de la demanda, el consumo según las estaciones del año y, por el lado de la oferta, los cortes programados de producción por mantenimiento (en la sección tres detallamos estos factores). Desde 2000, el componente estacionario oscila aproximadamente entre -6 y 6, un rango mayor que entre 1986 y 2000. Según las variaciones estacionales, 2008 fue el fin de un ciclo y en 2014 se inició otro con cambios de menor amplitud y un perceptible ascenso en 2020.

El factor irregular, resultado de la descomposición de la serie de precios, indica el cambio de trayectoria a causa de sucesos de corto plazo, imprevisibles y no recurrentes (guerras, huelgas o accidentes naturales, como inundaciones o terremotos, pandemias). La gráfica 3 muestra la intensificación de las variaciones irregulares de los precios durante 2000-2017, el periodo de la financiarización del mercado petrolero, agravada en 2020, por la pandemia, no es claro aún si este choque cambie la dinámica de la oferta hacia energía limpias y por cambios en la estructura del empleo hacia el trabajo en el hogar y el comercio por internet.

La siguiente sección profundiza el análisis del periodo 2000-2017, destaca mayor inestabilidad de los precios y confirma los resultados indicados en las gráficas 1 a 3.
PRECIOS Y FINANCIARIZACIÓN, 2000-2019. CORTO PLAZO
La literatura identifica la financiarización del mercado petrolero como detonante de la mayor inestabilidad de los precios del crudo y del acortamiento de los ciclos registrados entre 2000-2019, análisis que se intensificó con el colapso de los precios en 2014, cuando fue evidente que la OPEP no cortaría la producción para detener la caída iniciada en 2011 (Bernanke, 2016). En efecto, se constata en la gráfica 1 mayor fluctuación de las cotizaciones desde inicios del siglo XXI, conformando ciclos más cortos, con picos y caídas más agudas, visión corroborada con la descomposición de los precios mensuales de las gráficas 2 y 3. Durante el periodo 2002-2007 crece la desviación estándar y las distancias entre el precio superior (138 dólares el barril) y el inferior (39 dólares), mientras que en 2008-2014 las oscilaciones y la desviación estándar son menores. La etapa 2014-2019 presenta precios menores y una desviación estándar superior. Es central en la explicación de la inestabilidad de precios durante la última etapa, la decisión de Arabia Saudita de abandonar la sustentación de los precios, con el fin de desplazar tanto a productores más caros no miembros de OPEP, como los hidrocarburos no tradicionales, (el gas, el crudo de lulita) y las fuentes no tradicionales de renovables de energía. Dicha estrategia culminó en diciembre de 2016 con el acuerdo de la OPEP de restringir la oferta, decisión a la que se sumó Rusia. La caída de la demanda en 2020, abatió los precios, especialmente por el impacto de los factores estacionales, ilustrados en la gráfica 2.
TAXONOMÍA DEL MERCADO PETROLERO FINANCIARIZADO
La dificultad de predecir la evolución de la oferta, la demanda y los precios del petróleo, no resuelta por los sofisticados modelos de la EIA, la AIE, el FMI o la OPEP (cuadro A-1 del anexo), avala la creciente distancia entre las expectativas de precios y los observados a partir del año 2000. Por ello es necesario conocer los cambios institucionales que permitieron el surgimiento de diversos instrumentos financieros, en especial de aquellos que, sin relación con la mercancía real, buscan ganancias monetarias en el corto plazo. Ese conocimiento permite identificar el papel de la especulación en la formación de precios. El siguiente apartado amplía el análisis precedente hacia el espacio financiero.
PROLIFERACIÓN DE INSTRUMENTOS FINANCIEROS
A comienzos de este siglo, la liberalización y la desregulación financieras introdujeron importantes cambios institucionales en el mercado de futuros que permitieron la expansión de agentes especulativos, especialmente los denominados no comerciales. La principal acción de estos agentes es invertir discrecionalmente dinero de terceros en futuros de materias primas y opciones sobre futuros a fin de incrementar la liquidez y la profundidad financiera del mercado, además de gestionar el riesgo de los futuros mediante acciones de corto plazo. Entre los principales actores se encuentran los fondos de cobertura (Hedge Funds) o los managed money vehicles, swaps, derivados de crédito, todos centrados en actividades en el mercado extrabursátil (over-the-counter, OTC). Estos participantes no realizan operaciones directamente en los mercados tradicionales de futuros de materias primas, las manejan como acciones y bonos mediante la adquisición de contratos de swaps y no directamente en los mercados de futuros tradicionales.
En comparación con el mercado New York Mercantile Exchange (NYMEX), en el que históricamente se ejecuta el intercambio de las materias primas, los mercados OTC operan en el Intercontinental Exchange (ICE)3, minimizando el riesgo mediante transacciones de muy corto plazo sobre futuros establecidos. En la lógica de los mercados eficientes, que sustenta estas operaciones, los OTC otorgan a los mercados tradicionales de materias primas, mayor liquidez, flexibilidad, seguridad y profundidad.
El trasfondo teórico de los mercados OTC está sustentado en la teoría propuesta por Fama (1970) sobre los mercados financieros eficientes, la cual argumenta que existe plena la información disponible en el mercado financiero y, al ser racionales los inversionistas deciden óptimamente sobre la asignación los recursos, la producción y el consumo, maximizando los beneficios y minimizando las pérdidas. En este marco, los mercados eficientes y la elección racional otorgaron sustento teórico a la liberalización de los mercados pues: "Las tecnologías de la información han expandido tanto los mercados que los gobiernos, aun los incrédulos, no tienen otra alternativa que desregular [...] Sin duda, hoy los mercados financieros mundiales son más eficientes que nunca" (Greenspan, 1998, p. 1). La información de los mercados es integrable en modelos de equilibrio general estocásticos en los cuales el futuro está predeterminado y las desviaciones siguen una ruta aleatoria que se repite. Esta teoría, aplicada a los mercados financieros, significó la desregulación de los mercados de futuros tradicionales los derivativos (Thaler, 2009). En Fama (1965), las expectativas de precios del día en que se firman los contratos de futuros aciertan correctamente el precio spot, el valor intrínseco de las acciones (Fama, 1965b, p. 6) en consecuencia se elimina la incertidumbre y borra la posibilidad de la burbuja inmobiliaria (Shiller, 2003). No obstante, Greenspan (2008) atribuyó la crisis de 2008, al colapso de las bases intelectuales (las hipótesis de los mercados eficientes y los precios correctos), sobre las cuales se edificaron las políticas macroeconómicas de los últimos 25 años. Otros autores (Akerlof y Shiller, 2009) señalan que los agentes económicos no son perfectamente racionales, suelen tener contagiosos momentos de optimismo y pesimismo y actúan en tropel. Añaden que Greenspan y Bernanke erraron al rechazar toda posibilidad de burbujas inmobiliarias y afirmar que, de existir, el mercado la desinflaría oportunamente.

Los cambios institucionales se reflejaron en el mercado de futuros, por ello el análisis parte de considerar el Open Interest (gráfica 4), que señala la trayectoria del mercado de futuros expresada en el número de contratos. La gráfica ilustra incrementos en los contratos a partir de 2004 y hasta el último trimestre de 2007; tendencia que se revierte durante la crisis financiera, en 2008. Posteriormente, es clara la inestabilidad en el número de contratos hasta llegar, en el tercer trimestre de 2013, a 1,9 millones de transacciones, precisamente cuando el precio del petróleo superó los 100 dólares por barril. Hasta 2013 se observa una relación directa, positiva entre la cantidad de contratos y los precios, que sugiere que la firma de contratos y los precios se movieron en similar dirección. El signo de la relación se mantiene, pero menos fuerte, aun después de 2013 cuando, paripassu con los movimientos de los precios, se mueve el número de los contratos, pero a menor ritmo.
Para examinar con mayor precisión la relación de la gráfica 4 se corrieron dos modelos econométricos. El primero, un modelo DCC GARCH4, que relaciona los precios del petróleo (PP), variable dependiente, y el Open Interés (InterésA), variable independiente. En este caso el periodo de análisis es 2000-2017 en datos trimestrales. Los resultados obtenidos son:
PP = 45,85 + 0,014InterésA
n=72; R2=0,09; R2ajustada=0,08
La regresión simple muestra un impacto positivo y significativo en todo el periodo. R2 es baja pero coherente con lo esperable de un modelo de una sola variable exógena, en un periodo corto, que solo incorpora variables financieras. Aun así, capta adecuadamente la volatilidad de las dos variables. El modelo tiene errores con auto correlación positiva, es heterocedástico en un intervalo de confianza del 95% y existen efectos ARCH, que indican volatilidad5. La heterocedasticidad es un indicio de volatilidad pues los errores condicionados a la variable explicativa tienen varianza no constante. Este ejercicio indica que el rezago del Open Interest y del precio del petróleo incide en el nivel del precio actual, y el término GARCH muestra que la volatilidad de las dos variables afecta negativamente los precios del petróleo. Las lambdas indican la magnitud de los efectos que, al ser 12 ligeramente mayor a 11 muestran que la covarianza condicional depende más de los valores pasados que de los residuos rezagados.

Para el segundo modelo, se expandió el primero con la adición de dos variables independientes: el índice de volatilidad (VOX, CBOE Crude Oil ETF Volatility Index)6, que mide las expectativas de 30 días del retorno en el mercado petrolero (Volatilidad), y el Dow Jones. Se estudió el periodo (segundo trimestre de 2008 al 2017) en datos trimestrales. Es un periodo de análisis más corto pues la publicación del VOX se inició en el segundo trimestre de 2007.
Los resultados obtenidos con el segundo modelo son:
PP = 106,11 - 0,32Volatilidad - 0,075InterésA - 0,010Dow Jones
n=38; R2=0,807; R2ajustada=0,790
En este ejercicio, los valores de todas las variables son significativos a un nivel del 95% y congruentes con la relación entre volatilidad y precios del petróleo que muestra el modelo GARCH. La volatilidad es la variable con mayor incidencia. Por otro lado, el Open Interest tiene signo contrario al de la regresión lineal del primer ejercicio, explicable por la menor extensión de la serie aplicada. El signo puede ser trivial, dado el reducido efecto de esta variable en los dos modelos comentados. Los valores obtenidos muestran que, a medida que crecen la volatilidad y el número de contratos, los precios del petróleo decrecen. El valor de los errores no está auto correlacionado, es homocedástico con la varianza del error condicionado constante y, en consecuencia, no hay evidencia de efectos ARCH7. Dado que la volatilidad es una variable independiente, sería redundante capturar la volatilidad a partir de la varianza de las variables como lo hacemos en el primer ejercicio por lo que es claro que un modelo GARCH no es adecuado. Por ello y por la inconsistencia del signo del Open Interest en los modelos, en la sección siguiente realizamos un análisis más detallado de la composición del Open Interest.
OPENINTEREST: UN INSTRUMENTO COMPLEJO
Las operaciones bursátiles en el mercado denominado Open Interest develan la complejidad que la participación de los actores especulativos no comerciales inyectó al mercado petrolero, al unir dos mercados esencialmente inestables y estimular actividades especulativas. La especulación posibilita maximizar ganancias, independientemente de los precios efectivos, al revertir posiciones cortas de los inversionistas antes de la entrega o pactar, en posiciones largas, la entrega futura del producto. Facilita así, la obtención de ganancias aun en el caso de precios a la baja. Si bien la especulación no es exclusiva de las actividades no comerciales, el problema surge cuando es excesiva y afecta el precio spot. Según Wray (2008, p. 98), el incremento en la cantidad de contratos de futuros, que denomina "dinero manejado", elevó los precios de las materias primas agrícolas y energéticas y, al incrementar el poder de mercado del agente dominante, afectó los precios spot.
EL PESO DE LOS ACTORES NO COMERCIALES
La importancia de los actores no comerciales obedece a que estos, a diferencia de los especuladores tradicionales, actúan en plazos muy cortos, a veces en segundos, comprando y vendiendo contratos a precios ligeramente por debajo o por encima del precio vigente. De ahí su apelativo de especuladores, marcadores de mercado (scalpers, market makers). Esta estrategia permite a unos actores compensar sus posiciones poco después de entrar al mercado, y a otros, elevar la rentabilidad de sus portafolios. Otros brindan opciones de inversión personalizadas y actúan como intermediarios entre los dueños del crudo y los inversionistas.
El incremento en la participación de los actores especulativos del Open Interest configura dos etapas que analizamos a partir de la tendencia de la relación precios-número de contratos (gráfica 4). En la primera (circa 2000-2012), la relación es positiva y fuerte, si bien se debilita a raíz de la crisis en 2008. Durante la segunda, que se extiende desde 2013 hasta finales de 2017, la relación continúa positiva, pero menos estrecha. La intervención de los actores de corto plazo en los mercados del WTI y el BRENT, que superaron el 40% del total, explica, al menos en parte, la contrastante relación entre la trayectoria de los precios y el número de contratos. Para el primer trimestre de 2013, la tenencia de contratos de corto plazo en el mercado del BRENT, creció en más del ciento por ciento, al pasar de 7,333 a 15,647, mientras los precios subieron solo un 5%. Ante la caída de los precios de un 55%, entre mediados de 2014 e inicios de 2016, la cantidad de contratos antes que disminuir aumentó, si bien solo ligeramente (CBOE, 2018).
La composición interna del Open Interest abre el camino a una lectura más detallada de la relación entre los mercados petrolero y financiero, ya que los fondos de cobertura de corto plazo (predominantes con la apertura del mercado de futuros) buscan beneficios tomando posiciones largas durante las subidas de precios y cortas durante las caídas. En los periodos de bonanzas de precios y expectativas favorables (1998-2008) se incentiva la oferta física fuera del mercado spot, operación que permite convertir el Open Interest en contratos de futuros y que presiona al alza los precios spot. Cuando los precios caen, arrastran a la baja las posiciones de largo plazo y estimulan las actividades de corto plazo obteniendo ganancias a pesar de la caída de los precios. Estas tendencias son propias de la intervención de los especuladores en la formación del precio (para más detalles, ver Rodríguez, 2017). La menor intensidad de la relación entre el precio y la trayectoria de los contratos se atribuye a la estrategia especulativa de los scalpers (market makers) para buscar, obtener y mantener la mayor rentabilidad posible.
La relación entre el mercado petrolero y el financiero intensificó el efecto de la especulación sobre la formación de precios, como lo muestra el segundo modelo de este trabajo, en el cual la mayor relevancia la obtuvo el índice de volatilidad8. Los resultados del ejercicio econométrico, y el sentido de todo el análisis de esta exploración, coinciden con los estudios de Fattouh (2016), Wray (2008), Rossi (2013) y Baffes et al. (2015).
El análisis anterior indica la intervención de las variables financieras en la trayectoria inestable de los precios durante los últimos 18 años; sin embargo, hay eventos que afectan la oferta y la demanda que, a pesar de ser impredecibles deben formar parte del análisis. El siguiente apartado ilustra la relevancia de estos factores contingentes, en la trayectoria de la oferta y la demanda.
DETERMINANTES "TRADICIONALES" DE LOS PRECIOS
BAJA ELASTICIDAD PRECIO E INGRESO DE LA DEMANDA Y LA OFERTA
En los modelos del mercado petrolero más utilizados, la oferta y la demanda de crudo son las variables centrales. Ambas están afectadas por múltiples factores, no siempre previsibles, como las crisis o las bonanzas económicas, los accidentes naturales, los disturbios políticos o el cambio de la estrategia de la OPEP o de las grandes corporaciones. La gráfica 5 sintetiza la evolución de la oferta, la demanda y los precios spot e incorpora eventos políticos que durante 1980-2020 las afectaron 20).

Dos factores muestran la muy baja elasticidad ingreso y precio de la oferta y la demanda de petróleo, esta última algo mayor. Primero, los elevados costos irrecuperables (gastos de inversión en exploración y desarrollo de los campos); segundo, la estrategia de las empresas para recuperar rápidamente las inversiones elevando el volumen de producción y las exportaciones, aun a precios internacionales bajos que solo compensan los gastos corrientes de operación; tercero, la intensidad petrolera de las economías, la demanda reacciona lentamente a los cambios en el precio de los energéticos y de los ingresos de los consumidores.
El cuadro 1 muestra los cambios en los precios, la oferta y la demanda de crudo durante 1990-2000 y en dos subperiodos, 2000-2018 y 2008-2020 y proyecciones para 2021 y 2022. Las modificaciones en el primer lapso son relativamente menores comparadas con las del segundo. Solo entre 2008-2019 se registra una modificación sustancial en la elasticidad precio, periodo que coincide con la crisis económica en 2008, la caída de los precios del crudo a principios de 2014, el cambio de política de la OPEP en 2016 (este último se detalla más adelante) y, por último, con la intensificación de la actividad financiera en el mercado petrolero, mostrada en la sección anterior.

La crisis económica mundial inducida por las medidas para contener la pandemia de Covid-19, el distanciamiento social y el cierre de todas las actividades económicas, contrajo la demanda y la oferta de petróleo en el 1 y el 6 por ciento respectivamente y el colapso de los precios en el 36 por ciento lo que ratifica la baja elasticidad del consumo y la producción de crudo y los precios y en consecuencia del ingreso mundial (cuadro 1). Las proyecciones de corto plazo disponibles en la publicación de la EIA de febrero de 2021, indican tendencias interesantes: por una parte el precios del crudo promedio para 2020 fue de 39,2 dólares el barril del WTI y se espera que en los años 2021 y 2022 asciendan a 50,3 y 51,5 dólares por barril, Nunca el precio spot del crudo fue negativo, ni aún en el mes de abril cuando descendió a 16 dólares el barril lo que derrumbó brevemente los precios de los contratos de futuros de petróleo a valores negativos y obligó a vender inventarios de petróleo almacenados en buques tanques o en depósitos terrestres, ya que el costo del almacenaje superaba al esperado de petróleo al vencimiento de los contratos. Estos hechos ratifican los análisis de este estudio sobre el distanciamiento de las variables reales del mercado petrolero y las de los mercados de futuros.
La intensidad petrolera de la economía (consumo de petróleo/PIB) se relaciona indirectamente con la elasticidad ingreso del consumo. Entre 1990 y 2019 la intensidad petrolera se redujo en el 51% y, desde el año 2000 en 24,2%. Este fuerte descenso obedece, entre otros factores al cambio tecnológico ahorrador en energía, en particular luego de los primeros choques petroleros de los años setenta, a la eficiencia energética y a la sustitución de petróleo por otras energías. El crecimiento demográfico y o del ingreso per cápita aumentan el consumo. A menor el ingreso per cápita en una economía, menor la elasticidad del consumo, mayor la intensidad petrolera y más difícil reducirla (Puyana, 2015).
OFERTA DE PETRÓLEO
La oferta es determinada por dos grupos de países -los integrantes de la OPEP y los productores no OPEP- y por otros factores como la capacidad productiva subutilizada, que solo mantiene la OPEP; los inventarios de crudo que acumulan los grandes consumidores; el agotamiento de las reservas probadas; factores políticos, climáticos y naturales no previsibles y, en el largo plazo, las inversiones para ampliar la capacidad productiva, que se concentran en la OPEP.
PRODUCCIÓN DE LA OPEP
Por sus bajos costos de exploración, capacidad de invertir y de producción, la OPEP domina el mercado y actúa como dador de precios. Aplica una estrategia flexible, actuando a veces (1973 a 1980) como cartel maximizador de utilidades que, al reducir su producción eleva los precios, cede fracciones de mercado a productores menos competitivos pero no pierde ingresos, gracias a la inelasticidad de la demanda, otras veces (de 2014 a 2017 y en marzo 20209) es competidor de bajos costos relativos, incrementa la producción, reduce precios, expulsa productores menos competitivos y alternativas energéticas costosas y repone su participación en el mercado. Durante 1980 y 2016, la organización fungió como cartel y recuperó el mercado cedido entre 1973 y 1980 a los productores no miembros de la organización. En estos años su participación en el mercado mundial osciló en torno al 40%. La caída de la producción dentro del grupo -la de Venezuela, y la de Libia, Irak e Irán-, causada por acontecimientos políticos, debilitó la estabilidad del mercado.
La trayectoria de la producción OPEP de noviembre de 2014 a noviembre de 2016 revela el costo de dominar el mercado energético (Behar y Ritz, 2016). Entre noviembre 2014 y diciembre 2015, Arabia Saudita y los países del Golfo Pérsico perdieron cerca de 300 mil millones de dólares (OPEP, 2016), lo que mermaría la capacidad financiera y política gubernamentales. El acuerdo de noviembre 2016, para cortar producción, tiene un efecto múltiple: eleva los precios, incrementa los ingresos de divisas y fiscales y revaloriza las reservas, con lo cual eleva la capacidad de endeudamiento de los gobiernos de los países exportadores de crudo y de sus empresas.
Capacidad productiva no usada (CPNU). Este es factor relevante en el control del mercado petrolero por la OPEP. La CPNU amortigua los desequilibrios entre el crecimiento de la demanda y la producción no OPEP, al posibilitar un rápido aumento de la producción ante cortes no planeados. Es una estrategia costosa que solo aplican los países más solventes de la OPEP (Puyana y Rodríguez,2020) y que solo tiene Arabia Saudita (EIA,2020b). Entre junio 2014 y diciembre de 2016, la CPNU cayó a 1,9 millones de barriles diarios, volumen inferior a los 2,5 millones de barriles diarios que permitirían controlar los efectos de cortes no planeados de producción generados por fenómenos contingentes como conflictos políticos (EIA, 2018a). A 40 dólares por barril, mantener 2,5 millones de barriles diarios de capacidad no usada costaba cerca de 36 mil millones de dólares anuales, costo de oportunidad que asciende pari passu con los precios. La caída de los precios en 2014 ocurrió cuando confluyeron el crecimiento de la capacidad no usada de la OPEP, a 2,9 millones de barriles diarios, cerca del 2,4% de la producción diaria, y el crecimiento de los inventarios en manos de los países desarrollados a 3,5%, que superaba la CPNU. La suma de los inventarios y la CPNU representaba el 7% de la producción y del consumo diario. De ahí la estrategia de la OPEP de ampliar la producción y reducir la CPNU a 0,97 millones de barriles en noviembre 2016, con el objetivo de obligar a reducir los inventarios y mermar el costo de oportunidad de mantener la CPNU. El crecimiento de la CNPU y la reducción de los inventarios, elevan el poder de mercado de Arabia Saudita.
Inventarios. La combinación de bajas tasas de interés10 y precios del crudo inestables y a la baja, registrada durante la última década, incentivó el aumento de los inventarios de petróleo en cerca de medio millón de barriles/día en 2017. Este es un mecanismo de reacción inmediata a las subidas de precios, a diferencia de la CPNU11, mecanismo para mantener control de mercado (EIA, 2018b)12.
Factores políticos. Por el valor político y militar del petróleo, un importante factor en la determinación de la oferta de crudo son los intereses geopolíticos y de seguridad nacional de aquellos países que, como Estados Unidos, Reino Unido y China, aun siendo grandes productores, deben cubrir parte mayoritaria de su gran consumo con importaciones, por lo cual asegurar la oferta suiciente y a precios asequibles es primordial y dio origen a la política de seguridad energética pactada en 1974, entre los países consumidores capitalistas en respuesta a la nueva política de la OPEP y al embargo petrolero de 197313. Por ello forjan alianzas políticas y comerciales, buscan estabilizar gobiernos amigos o desestabilizar los menos cercanos, como el venezolano14. Juegan papel importante también los intereses geopolíticos de los principales productores como Arabia Saudita, aliada de los Estados Unidos y en rivalidad con Irán, por controlar el Medio Oriente. La importancia de los factores políticos se refleja en la invasión a Iraq en 2003 para evitar que Sadam Hussein bloqueara el estrecho de Ormuz por el que pasa la mayor parte del petróleo del Medio Oriente, el retiro de Estados Unidos en 2018 del Plan de Acción Conjunto y Completo (Joint Comprehensive Plan of Action, JCPOA)15, firmado el 14 de julio de 2015, por los miembros permanentes del Consejo de Seguridad, Alemania y la Unión Europea con Irán. Entre los efectos de esta acción vale mencionar, la reducción de la oferta de un millón de barriles diarios, la subida de los precios y el fortalecimiento de Arabia Saudita como líder de la OPEP (Zahary, 2018); incrementar las contradicciones entre Estados Unidos y la Unión Europea; debilitar la estabilidad política del Medio Oriente, central en la dinámica de la oferta y de los precios (Puyana, 2015; EIA, 2018a), agravar la inestabilidad en Libia y Yemen; fortalecer la alianza entre Arabia Saudita y Rusia que debilita la capacidad de Estados Unidos de intervenir en la región16.
Agotamiento de las reservas. Hoy, el agotamiento de las reservas probadas no amenaza la oferta de petróleo. Entre 1980 y 2019, se consumieron, en promedio, 65 millones de barriles diarios, es decir, unos 945 miles de millones de barriles. No obstante, al primero de enero de 2020, el mundo contaba con 1735 miles de millones de barriles de reservas probadas, 5 veces más que en 1960. Al ritmo de explotación actual, las reservas probadas satisfarían el consumo hasta 2070, al menos. Para garantizar la demanda más allá, hay que restituir, además de esos 100 millones de barriles extraídos diariamente, reponer anualmente 7 millones por el agotamiento natural de los pozos. La adición de 7 millones barriles diarios a las reservas probadas, de realizarse en los países de menores costos de exploración y desarrollo de la OPEP, demandaría inversiones de 40 mil millones de dólares anuales (IEA, 2017). Ante el agotamiento de las reservas más baratas, crecen los costos y la incertidumbre que se verifiquen esas inversiones, toda vez el avance de la oferta de hidrocarburos no convencionales (de lutita) y de energías verdes, las políticas de ahorro y eficiencia en el uso de la energía y la estrategia de seguridad energética de los países desarrollados (IEA, 2011), afecta negativamente la demanda de crudo. La incertidumbre sobre la demanda trae a la mente la premonición del Sheikh Yamani (2000), que la era del petróleo podría terminar, disponiendo el mundo de copiosas reservas de hidrocarburos, como acabara la edad de piedra sin que ésta se agotara.
Inversiones para ampliar la capacidad productiva. Hoy el vínculo entre la oferta petrolera y el mercado de capitales es tan complejo como central y diferente al de años pasados. Se hacen inversiones cuando hay certeza de crecimiento económico sostenido, demanda de petróleo expansiva, precios al alza y bajas tasas de interés (Fattouh, 2018; Puyana, 2015). Se pronostica un lento crecimiento del PIB, de la demanda de energía y de los precios del petróleo y, por tanto, poca o nula inversión (FMI, 2018; World Bank, 2020), lo que crea un círculo no virtuoso entre estancamiento económico, demanda de crudo y demanda del sector petrolero. Es decir, la caída de los precios del petróleo prolonga la fragilidad de la economía al reducir la demanda global de inversiones, servicios y bienes del sector energético, uno de los mayores y más dinámicos demandantes de capital de los últimos años -lo que afecta la inversión en energías fósiles y renovables y crea condiciones para choques de precios al alza, de no invertir para renovar las reservas perdidas por agotamiento de los pozos activos (OECD/FAO, 2016).
La reducción en la inversión en energía en 2015 fue de 150 mil millones dólares y en 2016 continuó esa tendencia (gráfica 6)17. Las actividades de exploración fueron las más afectadas -según Tudor, Pickering, Hold & Co, banco especializado en inversiones en energía-18, a partir de 2016 se abandonaron proyectos de inversión en exploración. Las áreas productivas más afectadas son aquellas con los costos de exploración, desarrollo y producción más elevados, por ejemplo, el Mar del Norte, cuyo plan al 2050 es cerrar alrededor de 470 plataformas con cerca de 5.000 pozos.

PRODUCCIÓN NO OPEP
Los países productores no afiliados a la OPEP son variados y tienen pocos intereses comunes, salvo incrementar la producción y liberar las economías de la dependencia de la OPEP y de la necesidad de importar para lo cual requieren precios relativamente elevados, lo que eleva la inflación y afecta el consumo. La producción no OPEP representó, en 2019, cerca del 60% del total mundial. No obstante, este grupo no funge como productor fijador de precios dada su diversidad, el carácter liberal de las políticas petroleras de la mayoría de los países y la estrategia maximizadora de las empresas multinacionales que les impide tener capacidad ociosa (Fattouh, 2016). El fenómeno más notorio en la trayectoria de la producción no OPEP es el aumento de la producción de Estados Unidos, de 7,3 a 15,2 millones de barriles diarios, registrado entre 2009 y 2019, atribuible a los estímulos a la producción de crudo y gas de lutita y reducir la dependencia de las importaciones de países calificados como no amistosos e inestables (Beddor et al., 2009, EIA 2018a). Para resolver sus contradictorios intereses de gran productor y consumidor de energía (produce el 14,5% y consume cerca del 25% del crudo mundial), Estados Unidos diversifica fuentes y proveedores de energéticos y alienta el "cambio de régimen" hacia gobiernos amistosos, de acuerdo con las estrategias de seguridad energética de la Agencia Internacional de la Energía (IEA, 2011 y 2015) y las propias de Seguridad Nacional.
El aumento de la producción de crudo de la Federación Rusa -de 76% entre 1995 y 2015-, es el segundo cambio más importante en la oferta no-OPEP. Implica incrementos en la recaudación fiscal y en los márgenes de acción gubernamental (por ejemplo, de gasto militar), el robustecimiento de su poder político y su decisión de mediar en la política mundial y del Medio Oriente, fortalecida en 2016, con la alianza con la OPEP, que la ubica como jugador serio en la formación de precios.
LA DEMANDA
El desarrollo de la economía mundial -especialmente de China e India y de los demás países en desarrollo y el incremento de la población, son los factores más importantes de la demanda. Aunada a estos, la contracción de la intensidad petrolera de la economía19, debido a una mejor en eficiencia en el uso de combustibles y a la sustitución de energía fósiles por energías menos contaminantes, como el gas natural, o energías limpias: eólica y solar. De todas maneras, el petróleo se mantendrá como fuente de energía central, pero con menor peso que hace una década. Para 2050 se espera que su demanda ascienda a 123 millones de barriles diarios, un 25% superior a la de 2017 (EIA, 2018b).
La caída de la intensidad petrolera de las economías y la mayor eficiencia del consumo de energía, debilita la vinculación entre la dinámica económica y el consumo energético, como aconteció entre 2000 y 2019 que, mientras la economía mundial se expendía al 3,3% promedio anual, el consumo de petróleo sólo al 1,6%. Como estas tendencias pueden continuar, no aumentará la demanda de combustibles por arriba de la tendencia o en grado similar a la caída de los precios. En el contexto de lenta reactivación económica, es de esperar que no se verifique la relación indirecta entre precio y demanda del crudo anterior. La desaceleración de la demanda (más estructural que coyuntural) podría anunciar, por una parte, que se acerca a una tasa máxima de crecimiento para luego decrecer, lo que implicaría que se llegó a un pico de demanda, antes del anunciado pico de la oferta, por la abundancia de reservas probadas existentes, antes comentada. Por otro lado, el mercado internacional del petrolero transita del surgido en 1973 calificable como de vendedores, a uno de compradores, caracterizado por abundancia de reservas, diversificación de la producción, ganancias en eficiencia energética e intensa financiarización. La secuela de esta transición podría ser el crecimiento de la incertidumbre en los precios, las inversiones y la estabilidad económica.
Los cambios de la oferta y la demanda explican parcialmente la mayor inestabilidad de los precios a partir de 2000. Sin embargo, es necesario considerar que las mutaciones ocurridas en los mercados de futuros, especialmente el factor especulativo, tienen superior poder explicativo. Incorporar los efectos de estos fenómenos a los derivados de la financiarización, es tarea compleja, como lo plantea Shiller (2014), experto en especulación, quien argumenta que la dificultad de integrar a los modelos del mercado los factores subjetivos que alientan a los jugadores en los mercados de capitales y obstaculiza determinar las causas de las fluctuaciones de los precios de los activos, aserto corroborado por Bordoff (2018) y antes por Kaldor (1939). Esta complejidad justifica la insistencia puesta en este trabajo en ahondar en el análisis cualitativo arriba presentado, el que no resta importancia a los ejercicios econométricos complejos que incluyen como los inspirados por la Energy Information Administration, EIA, que incluyen variables de oferta, demanda y de factores financieros, que no logran predecir los precios (cuadro A.1) pero tampoco la oferta o la demanda (EIA, 2018b).
CONSIDERACIONES FINALES
Los resultados de este trabajo confirman que durante el periodo de análisis la financiarización del mercado petrolero intensificó su ya elevada inestabilidad. Manejar contratos y bonos de Swaps de materias primas permite a los actores no tradicionales, minimizar el riesgo mediante transacciones en un periodo de muy corto plazo sobre futuros establecidos. Así, intensificaron la inestabilidad de los precios, acortando los ciclos e incidiendo en el estancamiento económico.
A partir de 2012, la compleja intervención de actores especulativos financieros en el mercado petrolero agudizó la relación inversa entre el Open Interest y los precios del petróleo. La flexibilidad de los contratos respuesta inmediata, permiten ganancias masivas al mover millones de barriles en segundos, aún con tendencia de precios a la baja e incrementan la desvinculación con el mercado real del petróleo.
La mayor inestabilidad e impredecibilidad de los precios del crudo generadas por la especulación financiera en los futuros del petróleo, empeora las tensiones en la relación circular entre precios del crudo, inversiones y crecimiento económico, de la que emergen con claridad las presiones sobre el crecimiento económico después de la crisis financiera, por la contracción de la demanda de capital ya que la actividad petrolera es la mayor demandante.
Nada garantiza que se realicen las inversiones necesarias para remplazar la producción de pozos maduros. Se requieren, en el largo plazo, garantía de la demanda, tasas de interés bajas y precios remunerativos superiores a los costos corrientes. Las preocupaciones políticas y ambientales desestimulan la demanda, ponen en duda ese escenario y podrían alentar a la OPEP a explotar enteramente sus reservas, incrementar la producción, abatir precios y desestimular la competencia, aun a costo del riesgo ambiental.
La especulación financiera modificó en grado significativo los vínculos entre las variables estructurales de la oferta y la demanda de petróleo. Antes de 2000, las caídas de los precios del crudo, elevaban ahorros en los hogares, las empresas y el gobierno, lo cual estimulaba el consumo y el crecimiento económico. Este efecto se redujo con la financiarización.
En el contexto descrito se repite la relación que va de precios del crudo moderados e inestables a poca inversión y de allí al lento crecimiento económico. La recuperación sostenida del precio solo es factible si el mercado internacional del petróleo experimenta varias direcciones antagónicas: i) expansión multianual de la economía mundial que impulse la demanda de petróleo; ii) recorte de la producción OPEP, el cual permita el avance de la producción de países no miembros y reste valor a una parte de sus reservas, iii) crecimiento de la producción de crudo de países no miembros de la OPEP, menor que los recortes de la OPEP; iv) moderación de la expansión de la oferta shale y de la producción y consumo de energía fósil de Estados Unidos, y que este país relaje las sanciones a Irán, Rusia y Venezuela. Esta intrincada ecuación se agravaría mucho más al incluir el calentamiento global y la equidad en el acceso a la energía, temas de gran relevancia que no se tratan en este trabajo, así como las medidas expansivas de la economía para reponer los daños causados por la pandemia de Covid19.
ANEXO20
El análisis de los efectos del mercado financiero en los precios del petróleo lo hicimos con modelos de regresión lineal dado que son datos agregados a nivel mundial. Se asumen relaciones lineales, aunque como argumentamos anteriormente hay factores políticos subyacentes en la determinación de los precios del petróleo. Es por esta razón que usamos un modelo multivariado GARCH que no asume una relación lineal en los estimadores, por esta misma razón no se optó por un modelo de causalidad de Granger. Un supuesto de causalidad lineal en las variables no puede considerarse viable cuando hay evidencia a priori de interacciones de índole no económico en la relación.
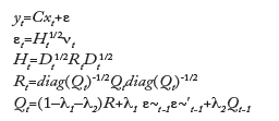
En los modelos multivariados GARCH, la matriz de covarianzas condicional de la variable dependiente tiene una estructura dinámica flexible y la media condicionada un vector autorregresivo. El modelo general de los GARCH multivariados es:

En el cual: yt es un vector m de variables dependientes; C es una matriz de parámetro m; x k, xt es un vector k de variables explicativas que puede incluir rezagos de yt, H1/2t es el factor Cholesky de la matriz de covarianzas condicionales cambiantes en el tiempo H; vt es un vector m de media cero. Las diferentes parametrizaciones de los modelos multivariados GARCH dan restricciones diferentes a H. En el modelo de correlación dinámica condicional (DCC), las diagonales de Ht se presentan como modelos univariados GARCH, los elementos fuera de la diagonal son modelados como funciones no lineales de las diagonales. El término Ht en un modelo simple, refleja los efectos ARCH del modelo, en este caso se está incluyendo como un término en la regresión ya que de esta manera se puede capturar el nivel de la variable (precios de petróleo) dependiente de la varianza (volatilidad del interés abierto). En el modelo DCC GARCH, el término ARCH es dinámico, de ahí que su representación matricial en la diagonal sea univariado y fuera de ella dinámico. El término ARCH se obtiene de:

donde p tiene un proceso dinámico en lugar de ser constante como en el modelo de correlación constante condicional GARCH. El modelo DCC tiene dos parámetros lambda, λ1 y λ 2 que son parámetros de ajuste que determinan las cuasi correlaciones condicionales. Sus valores deben ser positivos y su suma menor a uno. El modelo DCC GARCH es:

Donde Dt es la diagonal de la matriz de varianzas condicionadas; Rt es la matriz de cuasi-correlaciones condicionadas; s~' es el vector estandarizado de residuales; Dt1/2εt. R es el promedio ponderado de una matriz varianza-covarianza (VCE) no condicionada de los residuos estándar de la media no condicionada Q . El objetivo de usar este modelo es que permite que el proceso para generar la varianza condicional sea no lineal y, en particular para el DCC, dinámico, proceso que se captura con las ecuaciones Ht y R.. Al permitir estos procesos, es posible entender mejor los efectos de la volatilidad del interés abierto en los precios del petróleo.
Los modelos DCC GARCH capturan los efectos de la volatilidad de los mercados financieros en los precios de petróleo, según lo indican Morana (2017 y 2013), Cifarelli y Paladino (2010). En nuestro ejercicio para evaluar la pertinencia de un modelo GARCH primero corrimos la regresión:

Luego hicimos las pruebas de autocorrelación, heterocedasticidad y de efectos ARCH. La de autocorrelación Durbin Watson (0,205) comprobó que el modelo está autocorrelacionado positivamente. La de White (p=0,009) establece que el modelo es heterocedástico. Y la del multiplicador de Lagrange ARCH (p=0,000) sugiere que el modelo tiene efectos ARCH.
Estas características confirman que el modelo DCC GARCH es adecuado para estimar las relaciones entre los precios del petróleo (variable dependiente) y el interés abierto (variable independiente), y el rezago de estas. Los términos ARCH (1), o ecuaciones de la media, indican que los rezagos de las dos variables influyen positivamente en los precios observados del petróleo:

Existen efectos GARCH significativos, pero negativos, que sugieren que la volatilidad pasada de los precios del petróleo y del interés abierto, afectan negativamente los precios del crudo actuales. Hay que notar, que existe diferencia de los modelos básicos GARCH o EGARCH, en donde se tiene una restricción de efectos GARCH positivos únicamente (por la naturaleza de la ecuación logarítmica de estas variables), los modelos multivariados como el DCC permiten efectos negativos, de ahí que sea posible reportar estos coeficientes y mantener la validez del modelo.

El término de correlación muestra la interacción de los errores entre los dos procesos, ARCH y GARCH. El modelo reporta una correlación de 0,984.
Finalmente, los dos términos lambda, al ser sumados ascienden a menos de uno y son positivos, por lo que cumplen los estándares del modelo. El valor de ambos parámetros es similar -l1 = 0,403 y l2= 0,444-, por lo que la evolución de la covarianza condicional depende, por una pequeña diferencia, más en los valores pasados que en los residuos rezagados.

REFERENCIAS BIBLIOGRAFICAS
Arezki, R., Loungani, P., van der Ploeg, R. et al. (2014). Understanding international commodity price fluctuations. Journal of International Money and Finance, 42, 1-336.
Baffes, J., Kose, A., Ohnsorge, F. et al. (2015). The great plunge in oil prices: Causes, consequences, andpolicy responses. Banco Mundial, Working Paper.
Baum, C (2014). ARCH and MGARCH models. EC 823. Applied Econometrics. Boston College.
Beddor, C. Chen, W. y de Leon, R. (2009). America's future enhancing our national security by reducing oil dependence and environmental damage. Center for American Progress, [https://www.americanprogress.org/issues/green/reports/2009/08/25/6520/securing-americas-future/].
Behar, A. y Ritz, R. A. (2016). OPEC vs US shale oil: Analyzing the shift to a market-share strategy. Energy Policy Research Group working paper 1612. University of Cambridge.
Bernanke, B. (2016). The relationship between stocks and oil prices, [https://www.brookings.edu/blog/ben.../the-relationship-between-stocks-and-oil-prices/].
Bordoff, J. (2018). Congressional testimony. Center of global energy policy, Columbia University.
British Petroleum. (2020). Statistical review of world energy, [http://www.bp.com/statisticalreview].
Cheng, I.-H. y Xiong, W. (2013). The financialization of commodity markets, [https://www.nber.org/papers/w19642].
CBOE. (2018). Global markets, [http://www.cboe.com/].
EIA (2017) Annual energy outlook retrospective review: Evaluation of 2016 and prior reference case projections, [https://www.eia.gov/outlooks/aeo/retrospective/].
EIA. (2018a). "What drives oil price? [https://www.eia.gov/finance/markets/crudeoil/]
EIA (2018b). The National Energy Modeling System (NEMS), [https://www.eia.gov/analysis/pdfpages/m057index.php]. Cuál es a y cuál b.
EIA. (2020b). International energy outlook, [https://www.eia.gov/out-looks/ieo/pdf/ieo2019.pdf].
EIA (2020a) Spot Prices for Crude Oil and Petroleum Products, [https://www.eia.gov/dnav/pet/pet_pri_spt_s1_d.htm].
Fattouh, B. (2018). The oil market's mixed price signals, The Oxford Institute for Energy Studies, [https://www.oxfordenergy.org/wpcms/wp-content/uploads/2018/05/The-Oil-Markets-Mixed-Price-Signals-Comment.pdf]
Fattouh, B. (2016). The low-cost OPEC cycle: The big elephant in the room, presentación en el Banco de Inglaterra, Oxford Institute for Energy Studies.
FMI. (2018). World Energy Outlook.
Greenspan (2006). The road to price stability, [https://www.hsgac.senate.gov//imo/media/doc/REPORTExcessiveSpecullationintheWheatMar-ketwoexhibitschartsJune2409.pdf?attempt=2].
Greenspan, A. (2008). Comparecencia ante el Congreso de los Estados Unidos, sobre las fuentes de la crisis financiera, [http://blogs.wsj.com/economics/2008/10/23/greenspan-testimony-on-sources-of-financial-crisis/].
Hamilton, J. (2008). Understanding crude oil prices. Energy Journal, 30(2), 179-206.
IEA. (2011). The IEA model of short-term energy security (MOSES), [https://www.iea.org/publications].
IEA. (2015). Energy supply security 2014: The emergency eesponse of IEA countries, París.
IEA. (2017). Oil market report, [https://www.iea.org/oilmarketreport/omrpublic/currentreport/].
Kaldor, N. (1939). Speculation and economic stability. Review of Economic Studies, 7(1), 1-27
Kartsakli, M. y Adams, Z. (2017). Has crude oil become a financial asset? Evidence from ten years of financialization. School of Finance working paper 2017/1010.
Merino, A. (2011) Una descripción del mercado de futuros del petróleo: actividad, agentes y regulaciones. En J. C. Aranzadi M. y M. A. Las-heras M. (dirs.), Los nuevos mercados energéticos. Madrid: Fundación de Estudios Financieros.
Morana, C. (2017). Macroeconomic and financial effects of oil price shocks: Evidence for the euro area. Economic Modelling, 64, 82-96.
Morana, C. (2013). Oil price dynamics, macro-finance interactions and the role of financial speculation. Journal of banking & finance, 37(1), 206-226.
Nasser, A. (2017), Conferencia dictada en el Center of Global Energy policy, Universidad de Columbia. [https://www.energypolicy.columbia.edu/saudi-aramco-president-ceo-amin-nasser-delivers-keynote-remarks-2017-columbia-global-energy-summitOECD/FAO. (2016)]
OECD-FAO. (2016). Agricultural outlook. OECD Publishing, [http://dx.doi.org/10.1787/agr_outlook-2016-en].
OPEC. (2016). Annual report, [https://www.opec.org/opec_web/static_files_project/media/downloads/publications/ASB2016.pdf].
OPEC. Interactive data, [http://www.opec.org/opec_web/en/publications/340.htm].
Puyana, A (2015), La economía petrolera en un mercado politizado y global. México y Colombia. México DF: Flacso.
Rodríguez, I. (2017) Reprimarización con financiarización, un análisis desde el mercado petrolero en América Latina. En Levy, N. (ed.), Financiarización y crisis de la estructura productiva en países en desarrollo (pp. 239-273). México DF: UNAM.
Rossi, G. D. (2013). La volatilidad en mercados financieros y de commodities: un repaso de sus causas y la evidencia reciente. Invenio: Revista de investigación académica, 30, 59-74.
Shiller, R. J. (2014). Speculative asset prices. American Economic Review, 104(6), 1486-1517.
Sheikh Yamani (2000). Predicts price crash as age of oil ends. Entrevista en The Telegraph.
World Bank (2020). Data Bank. [https://data.worldbank.org/indicator/IE.PPI.ENGY.CD].
United States Senate (2009). Excessive speculation in the wheat market, [https://www.hsgac.senate.gov//imo/media/doc/REPORTEx-cessiveSpecullationintheWheatMarketwoexhibitschartsJune2409.pdf?attempt=2].
Wray, L. Randall (2008). The commodities market bubble: Money manager capitalism and the financialization of commodities. Public policy brief Levy Economics Institute, 96, 5-54.
Zahary, L. (2018). The impact of the Iran nuclear agreement, [https://css.ethz.ch/en/services/digital-library/publications/publication.html/d8c55469-4017-4d94-8272-0662a764df14].
Notas