Artículos
Educación y comportamiento ambiental. Un estudio de caso*
Education and sustainable behavior. A case study
Educação e comportamento sustentável. Um estudo de caso
Educación y comportamiento ambiental. Un estudio de caso*
Revista de Economía Institucional, vol. 25, núm. 48, pp. 193-213, 2023
Universidad Externado de Colombia
Recepción: 01 Noviembre 2022
Recibido del documento revisado: 28 Noviembre 2022
Aprobación: 16 Diciembre 2022
Resumen:
Este artículo analiza la influencia de la educación en el comportamiento ambiental de los habitantes del municipio de Sabaneta. Con datos de la Encuesta de Percepción Ciudadana de Calidad de Vida de 2018 se emplea un modelo probit para analizar los efectos de la educación considerando características sociodemográficas. Los resultados muestran comportamientos más favorables con el medio ambiente a medida que aumenta la escolaridad, aunque existen diferencias significativas entre personas: es más favorable entre menores de 55 años y habitantes rurales que entre miembros de sus grupos de control. Estos resultados son de interés para las iniciativas educativas que buscan mejorar la actitud hacia el medio ambiente.
JEL: C35, D12, I25, Q50
Palabras clave: Comportamiento sostenible, educación, modelo probit multinomial ordenado, cambio climático.
Abstract:
This article analyzes the influence of education on the sustainable behavior of the inhabitants of the municipality of Sabaneta. Using data from the 2018 Citizen Perception Survey on Quality of Life, a probit model is used to analyze the effects of education considering sociodemographic characteristics. The results show better environmental behavior as schooling increases, although there are significative differences between individuals: it is more favorable among people under 55 years of age and rural dwellers than among members of their control groups. These results are of interest for educational initiatives aimed at improving attitudes towards the environment.
JEL: C35, D12, I25, Q50
Keywords: Sustainable behaviors, education, ordered multinomial probit model, climate change.
Resumo:
Este artigo analisa a influência da educação sobre o comportamento sustentável dos habitantes do município de Sabaneta. Usando dados da Pesquisa de Percepção Cidadã sobre Qualidade de Vida de 2018, um modelo probit é usado para analisar os efeitos da educação considerando as características sociodemográ-ficas. Os resultados mostram comportamentos mais favoráveis ao meio ambiente à medida que a escolaridade aumenta, embora existam diferenças significativas entre os indivíduos: é mais favorável entre os menores de 55 anos e os moradores rurais de que entre membros de seus grupos de controle. Estes resultados são de interesse para iniciativas educacionais para melhorar as atitudes em relação ao meio ambiente.
JEL: C35, D12, I25, Q50
Palavras-chave: Comportamentos sustentáveis, educação, modelo probit multinomial ordenado, mudança climática.
El calentamiento global es uno de los principales problemas que hoy enfrenta la humanidad (IPCC, 2018). Cada año acaban en los océanos unos trece millones de toneladas de residuos plásticos (ONU, 2018a, 2018b), y se producen 2.100 millones de toneladas de desechos, y solo se recicla y aprovecha el 16% (Semana, 2019). Más del 80% de las aguas residuales se vierten sin ningún tratamiento en los ríos o en el mar, lo que los contamina y pone en riesgo la vida de miles de personas que carecen de sistemas de acueducto y saneamiento básico (ONU, 2015).
Para el Grupo Intergubernamental de Expertos sobre el Cambio Climático (IPCC), el calentamiento global ha motivado la adopción de comportamientos ambientales sostenibles, para reducir los efectos destructores de la actividad humana cotidiana. Los jóvenes tienen un mayor compromiso con la sostenibilidad ambiental, debido al impacto de su comportamiento, para ellos y para las generaciones futuras, tal como fue definida la Comisión Mundial sobre el Medio Ambiente y el Desarrollo, creada por la ONU, en Nuestro futuro común, su informe publicado en 1987.
Para limitar los efectos nocivos del cambio climático se necesita fortalecer la gobernanza a diversos niveles y mejorar la capacidad institucional, los instrumentos de ambiental, la innovación y la transferencia tecnológica, y la financiación (IPCC, 2018). Para el IPCC es imprescindible, además, modificar el comportamiento y el estilo de vida. Los humanos deben adoptar comportamientos que ayuden al cuidado, la conservación y el uso sostenible del planeta sin perder de vista los factores que condicionan su comportamiento (Banco Mundial, 2015). Es decir, sin asumir que actúan con independencia del entorno, las condiciones sociales y lo efectos sobre los demás.
Diversos estudios analizan el comportamiento y las actitudes personales favorables al medio ambiente, como los de Ogunbode y Arnold (2012), Franzen y Meyer (2010). Si se identifican los factores que más influyen en ese buen comportamiento es posible mejorar el diseño y la aplicación de las medidas y políticas de desarrollo (Banco Mundial, 2015), así como las estrategias para formar seres humanos más conscientes, responsables y respetuosos del medio ambiente, y de los efectos de su comportamiento (Richardson et al., 2009).
Se considera que la educación es un motor del desarrollo económico (Haddad et al., 1990). Y se reconoce que es una estrategia fundamental para crear conciencia sobre el cambio climático (causado en gran parte por el calentamiento global) y ayudar a que las poblaciones se adapten a los escenarios de degradación ambiental (Unesco, 2014).
La educación aumenta el conocimiento del hábitat y sus amenazas, fomenta convicciones y valores ambientales e induce a cambiar los comportamientos y modos de vida y que aceleran el deterioro del planeta (Severiche et al., 2016; Villadiego et al., 2015). Por ello, es un medio de movilización social que puede ayudar a encontrar soluciones a los problemas ambientales (Unesco, 2014), en forma directa o difundiendo conocimientos, lo que se facilita cuando gran proporción de la población es educada (Franzen y Meyer, 2010).
Una meta de los Objetivos de Desarrollo Sostenible (ODS) es que en 2030 todos los estudiantes adquieran conocimientos teóricos y prácticos para promover el desarrollo sostenible (ONU, 2017) y contribuye a crear sociedades más pacíficas. ¿Por qué es importante la educación? La educación es la clave para poder alcanzar otros muchos Objetivos de Desarrollo Sostenible (ODS. Esta meta es transversal, pues sin adoptar estilos de vida que favorezcan la sostenibilidad (difundidos y transmitidos mediante la enseñanza), no es posible alcanzar los ODS relacionados con el medio ambiente: agua limpia, saneamiento, energías no contaminantes, preservación de las especies y de los sistemas marinos y terrestres.
Sabaneta es un municipio del Departamento de Antioquia empeñado en acciones institucionales para contrarrestar el cambio climático. Su plan de desarrollo "Sabaneta de todos" (2016-2019) identificó los problemas ambientales que lo aquejan, incluida la contaminación del aire y del agua, la producida por las basuras, y otros más (Alcaldía de Sabaneta, 2016). Según el plan estos problemas son causados, en alto grado, por factores de carácter individual, como el desconocimiento de prácticas sostenibles y de cuidado del medio ambiente, el poco sentido de pertenencia y de respeto de la riqueza natural, y el mal manejo personal de los residuos (ibíd.). El plan resalta la importancia de la educación para afrontar esos problema, como destacan algunos trabajos empíricos (p. ej., Lubell et al., 2007; Ogunbode y Arnold, 2012), aunque sin identificar las diferencias del comportamiento individual entre grupos de población (por edades, lugares de residencia, sexo y otros factores sociodemográficos).
Este artículo analiza los factores que influyen en el comportamiento ambientalmente favorable de la población de Sabaneta. En particular, evalúa dos hipótesis. Primera, si el comportamiento más favorable (ahorro de agua y energía, separación de residuos sólidos, uso de bolsas reutilizables) está asociado a mayores niveles de escolaridad. Segunda, si esa asociación entre comportamiento ambiental y nivel de escolaridad difiere entre individuos de los grupos sociodemográficos, en particular entre habitantes rurales y urbanos y entre mayores de 55 años y de menor edad. Este estudio es de gran interés para la comunidad, porque Sabaneta enfrenta un alto riesgo climático (Corantioquia, 2020) que se podría reducir con la difusión de comportamientos favorables al medio ambiente. Además, el conocimiento de las diferencias entre individuos puede afinar las estrategias educativas.
Para el análisis se utiliza un modelo de elección discreta multinomial ordenado, con datos de la Encuesta de Percepción Ciudadana de Calidad de Vida (EPCCV) de Sabaneta para 2018, considerando las respuestas de los residentes en el módulo de medio ambiente. Cabe señalar que no se analizan el comportamiento asociado a la responsabilidad social de las empresas, pues la atención se centra en el individuo como agente de cambio. Primero se revisa la literatura sobre la relación existe entre nivel educativo y comportamiento ambiental. Después se examinan los datos y se presenta el modelo. Al final se discuten los resultados y se exponen las conclusiones.
REVISIÓN DE LA LITERATURA
Hay gran interés por estudiar los factores que influyen en el comportamiento ambiental personal, como guía de las estrategias para mitigar los efectos del cambio climático. Las ciencias del comportamiento han estudiado los tipos de intervención que modifican algunos comportamientos (Michie et al., 2011). Las estrategias de intervención pueden ayudar a que el comportamiento personal favorezca el desarrollo sostenible a largo plazo (Morra y Rist, 2009).
Los factores que estudia la literatura incluyen aspectos económicos como el ingreso (Scott y Willits, 1994; Franzen y Meyer, 2010); aspectos sociodemográficos como la edad (Ogunbode y Arnold, 2012; Martinsson y Lundqvist, 2010), el sexo (Martinsson y Lundqvist, 2010; Casey y Scott, 2006), la zona de residencia (Martinsson y Lundqvist, 2010), y la densidad de población (Franzen y Meyer, 2010). Para la Unesco, la educación es un elemento de desarrollo económico y social que puede condicionar la conducta del ser humano para evitar la degradación ambiental (Unesco, 2014). Esta revisión se centra en la influencia de la educación, a nivel agregado e individual.
Lubell et al. (2007) se basan en el modelo de interés colectivo de acción política masiva, muy utilizado para analizar problemas de acción colectiva y explicar fenómenos como la protesta política y (Finkel et al., 1989; Finkel y Muller, 1998). Con una encuesta nacional a ciudadanos estadounidenses, analizan las motivaciones que guían el comportamiento favorable al medio ambiente en un contexto de masas. Estiman un modelo probit ordenado y encuentran que la educación está altamente asociada a comportamientos ambientales más favorables y a habilidades cívicas que enfrentan los costos del calentamiento global.
Martinsson y Lundqvist (2010) emplean datos de las encuestas anuales SOM (sociedad, opinión, medios), realizadas por la Universidad de Gotemburgo desde 1986 a unos 6.000 ciudadanos suecos de 15 a 85 años. Buscan determinar si se puede aplicar la visión cosmopolita de la ciudadanía ecológica -la adopción de virtudes cívicas verdes- o si es posible un comportamiento favorable al medio ambiente sin una actitud sostenible. Estiman la correlación entre visión cosmopolita y algunas variables socioeconómicas, incluida la escolaridad. Encuentran que es posible tener un comportamiento favorable al medio ambiente sin cambiar de actitud. En particular, que los individuos con poca escolaridad tienen prácticas más ecológicas que quienes han cursado educación media-baja; y los que tienen alta escolaridad aumentan su puntaje de comportamiento ambientalmente favorable.
Franzen y Meyer (2010) analizan los factores individuales y de país asociados a la preocupación ambiental en los 26 países que participaron en el Programa de Encuestas Sociales Internacionales (ISSP), en 1993 y 2000. Empleando modelos multinivel, encuentran que en la preocupación colectiva por el cuidado del medio ambiente no influye el nivel educativo general; pero a escala individual los años de escolaridad sí tienen una asociación positiva y estadísticamente significativa con las preocupaciones ambientales. Por ello argumentan que la educación es importante para convertir la preocupación ambiental en comportamientos ambientalmente responsables. Álvarez y Vega (2009), también encontraron que la escolaridad tiene una fuerte y significativa influencia en el comportamiento ambiental de las personas.
El trabajo de Scott y Willits sobre Pensilvania ya mencionado analiza algunos factores que pueden influir en la conciencia ambiental personal, incluidos la educación y los valores del nuevo paradigma ambiental (NEP) propuestos por Dunlap y Van Liere (1978). Hacen un análisis que cubre a 3.632 personas mediante regresión múltiple bivariada. Los resultados indican que la educación tiene una asociación directa con la conciencia ambiental, aunque los resultados no son estadísticamente significativos; y que la variable NEP (compuesta por las actitudes y comportamientos ambientales de las personas encuestadas), no es un buen predictor del comportamiento ambiental.
Casey y Scott (2006) anthropocentric, and apathy scales, together with the items in the New Ecological Paradigm (NEP aplican un cuestionario a 292 participantes de 126 localidades urbanas y rurales de Australia para evaluar su comportamiento ambiental y su de preocupación ecológica. Utilizando regresiones múltiples y la prueba de correlación de Pearson, encuentran que un mayor nivel educativo se asocia a mayores niveles de preocupación ambiental y a comportamientos más ecológicos.
Ogunbode y Arnold (2012) evalúan el nivel y la distribución de la conciencia ambiental en la ciudad Ibadan (Nigeria) en función de diversos factores, incluido el estatus social representado por el grado de escolaridad y la ocupación. Hacen comparaciones de categorías de población con pruebas t student y no paramétricas, incluida la U de Mann-Whitney (para comprobar la heterogeneidad de dos muestras ordinales) (Quispe et al. 2019) y el análisis de varianza de Kruskall-Wallis (para probar si un grupo de datos proviene de la misma población) (ibíd.). Los resultados muestran que la escolaridad está fuertemente relacionada con el cuidado del medio ambiente, y con una mayor inclinación a comportamientos proambientales.
En su estudio sobre China, Chen et al. (2011) usan datos nacionales de la Encuesta Social General de 2003, tratados mediante estadística multivariante. También usan la escala de valores del NEP, a los que aplican una regresión logística para estimar los efectos de las actitudes ambientales y de los rasgos sociodemográficos sobre cada comportamiento proambiental. Los autores concluyeron que el nivel educativo es clave para la actitud ambiental, porque no solo ayuda a entender los problemas ambientales, sino que también promueve la responsabilidad individual.
En su trabajo sobre Peterborough (Inglaterra), Pothitou et al. (2016) specifically relating to behaviours, attitudes and habits towards energy use. Our results are based on an empirical survey and we find significant correlations which indicate that residents with positive environmental values and greater environmental knowledge are more likely to demonstrate energy behaviours, attitudes and habits which lead to energy saving activities in households. This is further supported through a Principal Component Analysis (PCA encontraron una correlación positiva entre conocimientos sobre emisión de gases de efecto invernadero, ahorro de energía y acciones para reducir el uso de energía. No estudiaron directamente la escolaridad, pero sí elementos claves de la educación, como el conocimiento ambiental, los hábitos y las actitudes hacia energías domésticas. Después de aplicar la prueba de correlación de Spearman y la prueba exacta de Fischer -presentadas por Pértega y Pita (2004)- a los datos de 249 encuestados, concluyen que el conocimiento es crucial en los cambios del consumo de energía y de los patrones de compra.
Villadiego et al. (2015) identifican los factores que inciden en el comportamiento desfavorable hacia el medio ambiente, y no en su comportamiento favorable. Su estudio, sobre humedales, encuentra que el bajo nivel de educación de la comunidad contribuye a que estas zonas de tierras inundadas se degraden con el paso del tiempo, y pierdan su importancia ecológica. En cerca del 46% de las viviendas de la zona hay un individuo con estudios básicos incompletos; lo que afecta el grado de comprensión de los efectos de sus acciones sobre el entorno.
Casaló et al. (2019) exploran la asociación entre actitud ambiental general y algunos comportamientos proambientales. Emplean regresiones logísticas multinivel o de efectos mixtos con datos de una encuesta que suma diversas covariables, incluido el nivel educativo. Los resultados sugieren que el grado en secundaria y el título universitario están asociados positivamente a todos los comportamientos proambientales, salvo la separación de basuras, que solo tiene una asociación significativa con el título universitario.
En general, hay consenso sobre la relación positiva entre comportamiento favorable al medioambiente y nivel de educación. Pero es necesario evaluar si las acciones favorables impulsadas por la mayor educación difieren entre individuos, y si las diferencias pueden ser explicadas por otros factores sociodemográficos. En la siguiente sección se presentan los datos y el modelo utilizados para analizar si los comportamientos proambientales están asociados a mayores niveles de educación (la primera hipótesis), y si las diferencias en los efectos de la educación son explicadas por otros factores (la segunda hipótesis).
LOS DATOS Y EL MODELO
LOS DATOS
Se usan los datos de la EPCCV de 2018 sobre Sabaneta (Observatorio Territorial de Sabaneta, 2021). Esta encuesta por conglomerados cubre a 415 residentes mayores de 18 años, y utiliza el método de medición multidimensional de la calidad de vida del Dane, lo que evita sesgos por potenciales influencias políticas. El error muestral es del 5%. En 2018, en Sabaneta había unos 54 mil habitantes mayores de 18 años, un 75% en el área urbana, y el resto en la rural; el 23% tenía más de 55 años; el 59% de estrato 2, y el 32% de estrato 3 (Observatorio Municipal de Condiciones de Vida de Sabaneta, 2018). La encuesta hace las siguientes preguntas sobre el medio ambiente (comportamiento ambiental) que aquí se usan: ¿Lleva bolsas reutilizables al supermercado o a las tiendas para evitar el uso de bolsas plásticas? ¿Separa residuos en su casa? ¿Ahorra agua en su casa? ¿Ahorra energía en su casa?
Con base en las respuestas a esas preguntas se construye la variable de comportamiento ambiental del cuadro 1. Esta variable ordinal refleja el nivel de compromiso para proteger el medio ambiente. Un puntaje de 4 indica que las respuestas a las cuatro preguntas son afirmativas, lo que sugiere un comportamiento muy favorable hacia el medio ambiente. El puntaje de 3 indica que tres respuestas son afirmativas. El de 2 corresponde a dos respuestas afirmativas y dos negativas. Y el de 1, a tres o cuatro respuestas negativas, lo que denota un comportamiento desfavorable.

Las estadísticas descriptivas de las respuestas muestran que el 33% de las encuestados tienen un comportamiento ambiental muy favorable; el 35%, un comportamiento favorable; el 24%, un comportamiento poco favorable; y el 8% restante, un comportamiento desfavorable. Es decir, la mayoría de los habitantes de Sabaneta tiene un comportamiento favorable o muy favorable hacia el medio ambiente. La encuesta incluye preguntas sobre los aspectos socioeconómicos que aquí se incluyen como covariables. Los datos de la encuesta sobre nivel educativo indican que el 2,5% tiene estudios de posgrado, el 18% estudios de pregrado, el 23% estudios técnicos y tecnológicos, el 55% estudios de primaria y secundaria y el 1,5% ningún grado de escolaridad. Cabe señalar que Sabaneta presentó una de las tasas de analfabetismo más bajas del país en 2015, el 2,3% (Pérez y Montoya, 2016).
Los análisis de tabulación cruzada en el cuadro 2 muestran que los comportamientos sostenibles de las personas varían según sus niveles de escolaridad. Con base en las cifras, los residentes con estudios de posgrado muestran el nivel más alto de comportamientos sostenibles muy alto y alto (80% de la población), seguidos por los residentes con estudios de pregrado (70,6%), primaria/secundaria/sin estudios (67,9%), y estudios técnicos (62,5%). Las cifras muestran, como punto de partida, que los sabanatenses que adoptan el nivel más bajo de comportamientos sostenibles son los que tienen primaria/secundaria/ sin estudios (11,5%), seguido por los residentes con estudios técnicos terminados (8,3%) y estudios universitarios de pregrado (2,6%). Ninguno de los residentes con estudios de posgrado muestra bajos niveles de conductas sostenibles.

EL MODELO
Para analizar los factores que influyen en el comportamiento ambiental de los habitantes de Sabaneta, y en particular el papel del nivel educativo, se emplea el modelo probit ordenado multinomial. Este modelo se ajusta a la naturaleza ordinal de la variable dependiente construida, y los coeficientes se estiman con el método de máxima verosimilitud (Hill et al., 2011). El término de error idiosincrásico asume una distribución normal estándar, para lo cual se utiliza la función probit (ibíd), que también permite la presencia de correlaciones entre alternativas ordenadas, lo que es deseable para no adoptar el supuesto de independencia de alternativas irrelevantes (Wooldridge, 2010). Aquí se sigue el estudio de Lubell et al. (2007), que utiliza un modelo de respuesta ordinal para predecir el comportamiento ambiental individual y sus determinantes.
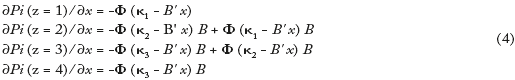
En el modelo probit ordenado, la probabilidad de observar el resultado i entre 4 alternativas de comportamientos (Pi) corresponde a la probabilidad de que la función estimada (zj ) se encuentre dentro de los puntos de corte кi y кj (ecuación 1).

donde z* representa los 4 niveles de comportamientos:

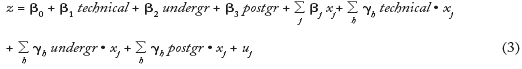
La función de densidad acumulada de la distribución normal estándar en diferentes puntos de corte se utiliza para estimar la probabilidad del -ésimo comportamiento en el conjunto de comportamientos aquí definidos. La variable latente/índice zj. está linealmente asociada a las covariables (x), más el termino de error estocástico (uj) como muestra la ecuación 2.

Las covariables technical, undergr y postgr de la ecuación 2 son dummies relevantes que indican si la persona tiene título técnico, de pregrado, o de posgrado (la base corresponde educación primaria, secundaria y sin escolaridad). Un objetivo particular es analizar los coeficientes estimados
para determinar si los habitantes de Sabaneta con mayor escolaridad tienen un mejor comportamiento ambiental, como concluye la mayoría de los trabajos revisados.
La matriz xi de la ecuación 2 incluye algunas variables de control. La variable dummy age55 denota una edad mayor de 55 años (la base corresponde a edades de 18 a 55 años); male es igual a 1 si la persona es hombre (la base es mujer); urban es igual a 1 si vive en el área urbana (la base es el área rural); strata3, strata4 y strataó son iguales a 1 si el estrato corresponde a las categorías nacionales 3, 4 y 6, respectivamente. El estrato es una variable proxy para clasificar por ingresos (en la encuesta nadie pertenece al estrato 5). Los estratos 1 y 2 corresponden a la categoría base o de referencia pues son los de menores ingresos. Cuanto mayor es el estrato, mayor es el ingreso esperado; work es una variable ficticia que vale 1 si la persona tiene trabajo.
Como señala la literatura, se necesitan más análisis de la posible heterogeneidad del comportamiento ambientalmernte sostenible por nivel educativo. Esos análisis ayudarían a identificar las estrategias educativas más adecuadas para impulsar el cuidado ambiental según las características sociodemográficas. Los coeficientes estimados -yh de la ecuación 3 se utilizan para determinar si el mejoramiento hipotético del comportamiento ambiental debido a la mayor escolidad difiere entre individuos según la edad, el lugar de residenci y demás factores.

Para analizar el signo y la magnitud de los cambios en la variable dependiente ordinal a partir de cambios discretos en las covariables incluidas en este estudio, se estiman los efectos marginales para variables discretas. Matemáticamente, los efectos marginales se representan de la siguiente manera (Hill et al., 2011):

Una limitación de la regresión probit ordenada es que supone regresiones paralelas (UCLA, s.f.); es decir, que el efecto de los cambios en las covariables sobre la variable respuesta es el mismo para cada probit acumulado (las betas estimadas tienen una pendiente común). Después de hacer la prueba de razón de verosimilitud aproximada, esta hipótesis no se rechaza a ningún nivel de significancia convencional (Prob > chi2 = 0,24), lo que indica que nuestras estimaciones son más consistentes que las del modelo probit para variable categórica nominal.
Las estimaciones de nuestro modelo probit ordinal incluyen errores estándar corregidos por conglomerados urbano-rurales (Stata, s.f.). Esta corrección es necesaria no solo para reducir la pérdida de eficiencia de los estimadores, sino también para evitar sesgos comunes en los modelos probit/logit ordenados (Williams, 2008). El análisis de correlaciones tetracóricas no muestra signos de alta correlación entre variables binarias (suponiendo una distribución normal), y la prueba del factor de inflación de varianza (VIF) no muestra la presencia de multicolinealidad entre las variables explicativas.
LOS RESULTADOS
El cuadro 3 muestra los resultados estimados del modelo probit ordinal, que incluyen los puntajes del comportamiento ambiental. Estos resultados se organizan en dos partes. La parte A muestra los efectos marginales de los cambios de las variables socioeconómicas sobre el comportamiento ambiental estimados con la ecuación 2. Los coeficientes de technical, undergr y postgr son clave para determinar si el aumento de los niveles de escolaridad está asociado a aumentos del nivel de comportamiento ambientalmente sostenibles. La parte B muestra los efectos marginales estimados de la ecuación 3, que determinan si dentro de cada nivel de educación hay comportamientos heterogéneos que puedan ser explicados por características sociodemográficas como la edad y la zona de residencia.

CARACTERÍSTICAS SOCIOECONÓMICAS Y COMPORTAMIENTO SOSTENIBLE
Los resultados clave del nivel educativo (cuadro 3, parte A) muestran que la probabilidad de encontrar un comportamiento muy favorable hacia el medio ambiente aumenta a medida que aumenta la escolaridad. Los efectos marginales de la columna 1 muestran que la probabilidad de dicho comportamiento es 6,4 puntos porcentuales (pp) mayor en personas con estudios de pregrado que en personas de la categoría base, y 11,8 pp mayor en las personas con estudios de posgrado. También muestran que las personas con estudios técnicos/ tecnológicos tienden menos a un comportamiento ambiental muy favorable que las personas de la categoría base (-1.18 pp menos). Sorprendentemente, la probabilidad de un comportamiento muy favorable de la columna 2 es -0,3 pp menor en personas con estudios de pregrado que en personas de la categoría base, y -1,4 pp menor en personas con estudios de posgrado en personas de la categoría base.
Como se esperaba, las columnas 3 y 4 de la parte A muestran que la probabilidad de encontrar comportamientos poco favorables y desfavorables entre las personas con título de posgrado es menor que la de encontrarlos en personas de la categoría base (-6,3 pp y -4,0 pp, respectivamente). Algo similar ocurre entre las personas con estudios de pregrado en las que estos comportamientos -3.5 pp y -2.5 pp menos probables que en las de la categoría base. Estos resultados concuerdan con los de los trabajos que concluyen que las personas con más educación tienen una mayor actitud cívica a cuidar el medio ambiente (Lubell et al., 2007; Ogunbode y Arnold, 2012; Casaló et al. 2019), y que la educación es un factor clave para promover el comportamiento ambientalmernte sostenible (Martinsson y Lundqvist, 2010).
La gráfica 1 representa el comportamiento ambiental probable por nivel educativo, considerando el valor medio de los factores explicativos. Entre las personas con estudios técnico/tecnológicos los comportamientos favorable y muy favorable obtienen una probabilidad acumulada del 66% (gráfica 1a). Y entre las personas con estudios de pregrado y posgrado de estos comportamientos es mayor, el 72% y el 78% respectivamente (gráficas 1b y 1c). Igual que en el caso de los efectos marginales, la probabilidad de un mejor comportamiento ambiental aumenta con el nivel de educación.

Los resultados de la variable age55, columna 1 de la parte A, muestran que la probabilidad de que las personas de más de 55 años tengan un comportamiento muy favorable es 4,2 pp mayor que las de menor edad (la categoría base). Pero las columnas 2, 3 y 4 muestran una menor probabilidad de comportamientos favorables, poco favorables y desfavorables entre las personas mayores de 55 años que entre las de la categoría base (-1.1 pp, -2.3 pp, y -1,7 pp, respectivamente). Análisis estadísticos adicionales que no se presentan aquí muestran que la probabilidad acumulada de encontrar comportamientos muy favorables y favorables entre mayores y menores de 55 años es del 70,6% y del 66% respectivamente; es decir, las personas de más edad tienden a ser algo más responsables con el medio ambiente que las más jóvenes. Estos resultados concuerdan con los de Pearson, Casey y Scott (2006), aunque difieren de los de Martinsson y Lundqvist (2010) y Chen et al., (2011), pues estos dos últimos encuentran que las personas más jóvenes adoptan muestran comportamientos favorables hacia el medio ambiente con más frecuencia.
Los resultados de la variable urban muestran que quienes residen en el área urbana tienen comportamientos menos favorables que quienes viven en el área rural. La probabilidad de encontrar comportamientos muy favorables y favorables entre residentes del área urbana es menor que la de encontrarlos entre residentes del área rural (2.6 pp y 0.04 pp, respectivamente). El mayor nivel de un probable comportamiento muy favorable de ambos grupos de (urbanos y rurales) es del 30% y del 33%, respectivamente, y de un nivel favorable, del 35% en ambos casos). Este resultado difiere del de Martinsson y Lundqvist (2010), según el cual el comportamiento ambiental de quienes residen en zonas urbanas es mejor que el de los habitantes de zonas rurales o menos urbanizadas. Nuestros resultados sugieren que en el área rural de Sabaneta hay más conciencia de las acciones relacionada con el medio ambiente que en el área urbana. Esto quizá obedezca a la cercanía de los pobladores rurales a importantes ecosistemas estratégicos y áreas protegidas; al mayor conocimiento de los residentes rurales de las normas de protección y conservación establecidas por el municipio en el Sistema Local de Áreas Protegidas (Acuerdo 30/2018); y a la mayor absorción de la información sobre el cambio climático en las personas de zonas rurales - que se difunde en el marco de la educación ambiental establecida en ese mismo Acuerdo.
Los resultados de la columna 1, parte A, muestran que el comportamiento es ambientalmente menos favorable a medida que aumenta el estrato socioeconómico. La probabilidad de que las personas de estratos 3 y 4 adopten un comportamiento muy favorable y favorable es 3,7 pp y 6,9 pp mayor que las de las personas de estratos 1 y 2. Mientras que la probabilidad de que las personas de estrato 6 adopten un comportamiento muy favorable es 21 pp menor que las de la categoría base. En las columnas 3 y 4, las personas de estrato 6 tienen 10,6 pp y 19,4 pp menor probabilidad de adoptar comportamientos poco favorables y desfavorables que las de la categoría base Este resultado difiere de los de Scott y Willits, Franzen, Meyer, y Martinsson y Lundqvist, que encuentran que las personas con mayor nivel de ingresos (aquí estrato más alto) tienen una mejor actitud hacia el medio ambiente que las de menor poder adquisitivo.
Los coeficientes de male y work no muestran diferencias estadísticamente significativas entre hombres y mujeres, ni entre trabajadores y no trabajadores, en su posible comportamiento ambiental (cuadro 3, columnas 1 y 2). Aunque otras cifras que no se reportan aquí muestran que la probabilidad acumulada de comportamientos muy favorables y favorables entre hombres y mujeres es del 65% y del 69% respectivamente, es decir un poco mejores entre estas últimas. Además, las personas que trabajan tienden a preocuparse algo menos por el medio ambiente que las que no trabajan, pues la probabilidad acumulada de comportamientos muy favorables y favorables de estos dos grupos son respectivamente del 66% y del 68%.
FUENTES DE HETEROGENEIDAD DE LOS EFECTOS DE LA EDUCACIÓN
Esta parte del análisis explora las fuentes potenciales de heterogeneidad de los efectos de los niveles educativos en el comportamiento ambiental (cuadro 3, columnas 1 a 4, parte B). Los resultados consideran la heterogeneidad que puede ser explicada por covariables socioeconómicas estadísticamente significativas; age55 y urban.
Los coeficientes de technicalage55, undergrage55 y postgrage55 muestran que la probabilidad de un mejor comportamiento ambiental debido debido a un mayor nivel educativo difiere entre las personas mayores de 55 años y las de menos edad. Los resultados de la columna 1 indican que la probabilidad de un comportamiento ambientalmente muy favorable entre mayores de 55 años con estudios técnico-tecnológicos y de posgrado es 12,3 pp y 16,4 pp menor que entre menores de esas edad con los mismos niveles de estudio. Por su parte, las columnas 3 y 4 muestran que la probabilidad de encontrar comportamentos poco favorables y desfavorables entre mayores de 55 años con estudios técnicos/tecnológicos y de posgrados es 6,7 pp y 8,7 pp mayor que entre menores de esas edad con igual nivel educativo.
Los resultados de la parte A mostraban que un mayor nivel de escolaridad se reflejaba en un comportamiento más favorable hacia el medio ambiente, y que ese mejor comporamiento era ligeramente mayor entre personas mayores de 55 años. El resultado del modelo de interacción entre variables indica que entre personas con los mismos niveles de educación, el comporetamiento ambiental de las menores de 55 años tienden a ser mejor que el de las de más de 55 años. Por tanto, la educación es un elemento estratégico y fundamental para que se adopten comportamientos más favorables al medio ambiente desde las etapas iniciales de la vida.
Por último, los coeficientes de technicalurban, undergrurban ypost-grurban muestran que la probabilidad de mejorar el comportamiento ambiental con una mayor escolaridad difiere entre habitantes de zonas urbanas y rurales. Los coeficientes de la columna 1, parte B, muestran que la probabilidad de encontrar un comportamiento muy favorable entre habitantes urbanos con estudios técnicos/tecnológicos, de pregrado o de posgrado es 5,0 pp, 5,1 pp y 12,7 pp menor que entre habitantes rurales con igual nivel de estudios, respectivamente. Por su parte, los coeficientes de la la columna 3 muestran que la probabilidad de que un habitante urbano con esos mismo niveles de estudio tenga un comportamiento poco favorable es 2,8 pp, 2,7 pp, y 6,6 pp mayor que la de un habitante rural con la misma escolarodad. Y la probabilidad de un comportamiento desfavorable es 2,4 pp, 1,8 pp y 4,0 pp mayor entre habitantes urbanos que entre habitantes rurales con esos niveles de estudio. En suma, considerando el mismo nivel de educación, los residentes de zonas rurales tienden a actuar de manera más favorable hacia el medio ambiente que los de zonas urbanas.
CONCLUSIONES
Este trabajo, que analiza los factores socioeconómicos que influyen en el comportamiento ambiental de los habitantes del municipio colombiano de Sabaneta, se centra en la influencia del nivel educativo. Los resultados indican que la probabilidad de encontrar comportamientos más favorables hacia el medio ambiente aumenta a medida que aumenta el nivel educativo. Este resultado se puede generalizar a otros municipios y muestra la importancia de lograr avances regionales en materia educativa para ayudar a contener el deterioro ambiental y a lograr los ODS relacionados con el consumo y la producción responsable.
No obstante, la influencia de la educación tiene efectos heterogéneos estadísticamente significativos. Las personas menores de 55 años con mayores niveles educativos muestran comportamientos ambientalmernte más favorables que las personas mayores de 55 años con igual nivel de educación De modo debe darse prioridad a la educación en las etapas tempranas del ciclo de vida. Además, se deben hacer mayores esfuerzos para promover comportamientos más respetuosos con el medio ambiengte entre habitantes urbanos con mayores niveles de escolaridad, lo que reduciría la brecha de comportamiento entre poblaciones urbanas y rurales.
Se necesitan más iniciativas encaminadas a fortalecer las políticas educativas y ambientales que promuevan el cuidado del medio ambiente. Guiadas por la búsqueda de entornos más saludables y sostenibles y orientadas a los ODS relacionados con el cambio climático, incluido el ODS 12. Los resultados llevan a recomendar que los formuladores de políticas, nacionales y municipales, impulsen estrategias que aumenten la escolaridad, teniendo en cuenta las diferencias sociodemográficas asociadas a la edad y la zona de residencia.
Se espera que estas políticas siembren una cultura de cuidado por el medio ambiente en los más jóvenes, y que tracen estrategias para concientizar y sensibilizar a la población urbana sobre la importancia del cuidado y la conservación del planeta.
Eñ artículo tiene algunas limitaciones. La primera es la imposibilidad de añadir variables socioeconómicas que han identificado otros estudios, incluido el costo de las acciones favorables y el estado civil. Una limitación estadística es la carencia de factores de expansión de la encuesta utilizada que podrían mejorar las estimaciones, reducir los sesgos y mejorar la eficiencia de los coeficientes. Otra limitante es el sesgo de aceptación, pues los encuestados pueden haber respondido atendiendo al interés del encuestador o a su creencia en lo que es socialmente aceptable. Futuros estudios deben incluir una prueba de este sesgo y métodos cualitativos complemenarias para analizar los relatos personales.
REFERENCIAS BIBLIOGRÁFICAS
Alcaldía de Sabaneta. (2016). Plan de desarrollo municipal 2016-2019, [https://www.sabaneta.gov.co/files/doc_varios/PlanDesarro-llo2016_2019.pdf].
Alvarez, P. y Vega, P. (2009). Attitudes and sustainable behaviours. Implications for the environmental education. Revista de Psicodidáctica, 14(2), 245-260.
Banco Mundial. (2015). Informe sobre el desarrollo mundial 2015, [https://www.worldbank.org/content/dam/Worldbank/Publications/WDR/WDR%202015/Overview-Spanish.pdf].
Casaló, L., et al (2019) Analyzing differences between different types of pro-environmental behaviors: Do attitude intensity and type of knowledge matter? Resources, Conservation and Recycling, 149, 56-64.
Casey, P. J. y Scott, K. (2006). Environmental concern and behaviour in an Australian sample within an ecocentric - Anthropocentric framework. Australian Journal of Psychology, 58(2), 57-67.
Chen, X., et al (2011). Effects of attitudinal and sociodemographic factors on pro-environmental behaviour in urban China. Environmental Conservation, 38(1), 45-52.
Corantioquia. (2020). Plan de acción 2020-2023., [https://www.corantio-quia.gov.co/wp-content/uploads/2021/12/Plan_Accion_2020-2023.pdf].
Dunlap, R. y Van Liere, K. (1978). The "new environmental paradigm". Journal of Environmental Education, 40(1), 19-28.
Finkel, S. E. y Muller, E. N. (1998). Rational choice and the dynamics of collective political action: Evaluating alternative models with panel data. American Political Science Review, 92(1), 37-49.
Finkel, S. E., Muller, E. N. y Opp, K.-D. (1989). Personal influence, collective rationality, and mass political action. American Political Science Review, 83(3), 885-903.
Franzen, A. y Meyer, R. (2010). Environmental attitudes in cross-national perspective: A multilevel analysis of the ISSP 1993 and 2000. European Sociological Review, 26(2), 219-234.
Haddad, et al. (1990). Education and development: evidence for new priorities. World Bank Discussion Paper 95, Washington: WB.
Hill, R. et al. (2011). Principles of econometrics, 4.a ed. Hoboken, NJ: Wiley.
IPCC. (2018). Calentamiento global de 1,5 °C., [https://www.ipcc.ch/site/assets/uploads/sites/2/2019/09/SR15_Summary_Volume_spanish.pdf].
Lubell, M., Zahran, S. y Vedlitz, A. (2007). Collective action and citizen responses to global warming. Political Behavior, 29(3), 391-413.
Martinsson, J. y Lundqvist, L. J. (2010). Ecological citizenship: Coming out "clean" without turning "green"? Environmental Politics, 19(4), 518-537.
Michie S, van Stralen M. y West R. (2011). The behaviour change wheel: a new method for characterising and designing behaviour change interventions. Implementation Science, 6, 1-11.
Morra I. L. G. y Rist, R. C. (2009). The road to results: designing and conducting effective development evaluations. Washington: International Bank for Reconstruction and Development/The World Bank.
Observatorio Territorial de Sabaneta. (18 de marzo de 2021). Observatorio municipal de condiciones de vida de Sabaneta, [https://observatorio.sabaneta.gov.co/encuesta2018/]
Observatorio Municipal de Condiciones de Vida de Sabaneta. (2020). Desarrollo económico y productividad, [https://observatorio.sabaneta.gov.co/desarrollo-economico-y-productividad-2/#sector-economico].
Ogunbode, C. y Arnold, K. (2012). A study of environmental awareness and attitudes in Ibadan, Nigeria. Human and Ecological Risk Assessment, 18(3), 669-684.
ONU. (1987). Our common future. Report of the World Commission on Environment and Development. Oxford, Nueva York: Oxford University Press.
ONU. (2015). Agua limpia y saneamiento: por qué es importante, [https://www.un.org/sustainabledevelopment/es/wp-content/uploads/sites/3/2016/10/6_Spanish_Why_it_Matters.pdf].
ONU. (2017). Educación de calidad: por qué es importante, [http://www.un.org/%0Ahttp://www.un.org/sustainabledevelopment/es/wp-content/uploads/sites/3/2016/10/4_Spanish_Why_it_Matters.pdf].
ONU. (2018a). Our planet is drowning in plastic pollution, UN Environment Programme, [https://www.unep.org/interactive/beat-plastic-pollution/].
ONU. (2018b). O nos divorciamos del plástico, o nos olvidamos del planeta. Noticias ONU, [https://news.un.org/es/story/2018/06/1435111].
Pérez G., L. y Montoya, S.C. (2016). Antioquia piensa en grande, [ttps://www.culturantioquia.gov.co/documentos/ORDENANZA PLAN DE DESARROLLO DE ANTIOQUIA 2016-2019.pdf].
Pértega D., S. y Pita F., S. (2004) Asociación de variables cualitativas: el test exacto de Fisher y el test de Mcnemar. Fisterra, [https://www.fisterra.com/formacion/metodologia-investigacion/asociacion-variables-cualitativas-test-exacto-fisher-test-mcnemar/#sec5].
Pothitou, M. et al. (2016). Environmental knowledge, pro-environmental behaviour and energy savings in households: An empirical study. Applied Energy, 184, 1217-1229.
Quispe, A., et al. (2019). Estadística no paramétrica aplicada a la investigación científica. Enfoque práctico, [https://www.editoria-leidec.com/wp-content/uploads/2020/01/Estad%C3%ADstica-no-param%C3%A9trica-aplicada.pdfol.1].
Richardson, K., Steffen, W. et al. (2009). Climate change: Global risk, challenges and decisions - Synthesis. Copenhague: University of Copenhagen.
Scott, D. y Willits, F. K. (1994). Environmental attitudes and behavior: A Pennsylvania survey. Environment and Behavior, 26(2), 239-260.
Semana. (2019). Crisis mundial por la basura: solo el 16% de los desechos son reciclados, [https://www.semana.com/medio-ambiente/articulo/crisis-mundial-por-la-basura-solo-el-16-de-los-desechos-son-reciclados/44932/].
Severiche, C., Gómez, E. y Jaimes, J. (2016). La educación ambiental como base cultural y estrategia para el desarrollo sostenible. Telos, 18(2), 266-281, [https://www.redalyc.org/pdf/993/99345727007.pdf].
Stata. (s.f.) Vce options - Variance estimators, [https://www.stata.com/manuals13/xtvce_options.pdf].
UCLA. (s.f.). Advanced research computing statistical methods and data analytics. Ordered logistic regression. Stata data analysis examples, [https://stats.oarc.ucla.edu/stata/dae/ordered-logistic-regression/].
Unesco. (2014). Enseñanza y aprendizaje: lograr la calidad para todos, [https://es.unesco.org/gem-report/node/259].
Unesco. (2015). Agua para un mundo sostenible: datos y cifras, Informe de las Naciones Unidas sobre los recursos hídricos en el mundo 2015 [https://unesdoc.unesco.org/ark:/48223/pf0000232273_spa].
Villadiego L., J., Huffman, D. et al (2015). Factores de incidencia de conductas ambientales negativas hacia las ciénagas de Bañó y Los Negros. Revista Electrónica Educare, 19(3), 1-16.
Williams, R. (2008). Ordinal regression models: Problems, solutions, and problems with the solutions, [https://www.stata.com/meeting/germany08/GSUG2008.pdf].
Wooldridge, J. (2010). Econometric analysis of cross section and panel data. Cambridge, Mass.; MIT Press.
Notas