Artículos
Recepción: 01 Febrero 2023
Recibido del documento revisado: 14 Noviembre 2023
Aprobación: 27 Noviembre 2023
DOI: https://doi.org/10.18601/01245996.v26n50.03
Resumen:
En ocasiones, las políticas subsidiarias ayudan a solventar problemas inflacionarios, e indirectamente sirven para evitar protestas sociales y mantener o aumentar la confianza en el gobierno. Comparamos las relaciones entre salarios e inflación para los últimos tres sexenios en México. Para el periodo 2006-2012 el nivel de inflación no repercutió en un aumento salarial; en el 2012-2018 causó un aumento del 4% y desde el 2018 el aumento fue de 6.4%. Adicionalmente, estimamos el porcentaje de aceptación de cada gobierno con base en las políticas inflacionarias y subsidiarias usando un modelo logit. Los resultados muestran que la inflación impactó negativamente la aceptación gubernamental en 0.113%, mientras que el incremento salarial la aumentó en 0.108%. Respecto a cada gobernante, se destaca la aceptación del 79% del gobierno de turno, siendo la más grande en las últimas décadas.
JEL:D04, D31, D63, E24
Palabras claves: Confianza ciudadana, política social, salarios mínimos, inflación, México, política social.
Abstract:
Sometimes, subsidiary policies mitigate inflationary problems and try to avoid social protests, maintain or increase confidence in the government. We compare the relationships between wages and inflation for the last three six-year terms in Mexico. For the period 2006-2012 the level of inflation does not determine a salary increase, in 20122018, it caused an increase of 4% and since 2018, the increase was 16.4%. Additionally, we estimate the percentage of acceptance of each government, based on inflationary and subsidiary policies, using a logit model. The results show that inflation negatively affected government acceptance by 0.113%, while the salary increase increased it by 0.108%. Regarding each ruler, the acceptance of 79% of the government in turn stands out, being the largest in recent decades.
JEL:D04, D31, D63, E24
Keywords: Citizen Trust, social policy, minimum wages, inflation.
Resumo:
Por vezes, as políticas subsidiárias ajudam a resolver problemas inflacionistas e servem indirectamente para evitar protestos sociais e manter ou aumentar a confiança no governo. Comparamos as relações entre salários e inflação nos últimos três períodos de seis anos no México. No período 2006-2012, o nível de inflação não resultou num aumento salarial; Em 2012-2018 provocou um aumento de 4% e desde 2018 o aumento foi de 6,4%. Adicionalmente, estimamos o percentual de aceitação de cada governo com base nas políticas inflacionárias e subsidiárias utilizando um modelo logit. Os resultados mostram que a inflação impactou negativamente a aceitação do governo em 0,113%, enquanto o aumento salarial a aumentou em 0,108%. Em relação a cada governante, destaca-se a aceitação de 79% do atual governo, sendo a maior das últimas décadas.
JEL:D04, D31, D63, E24
Palavras-chave: Confiança cidadã, política social, salário mínimo, inflação, México, política social.
Los niveles de inflación que se han observado en el primer semestre de 2022 han hecho que los agentes económicos estén preocupados. En México y en muchas partes del mundo, las familias han quedado desconcertadas por los aumentos en los precios de productos básicos. En particular, el aumento en los precios de los alimentos son los que han impactado a los sectores más pobres y marginados del país (Del Campo et al., 2009).
Estos incrementos se han manifestado en los costos de las empresas, lo que las ha llevado a considerar alternativas poco halagüeñas: aumento de precio de los productos, recorte de personal, disminución de salarios, entre otros. Todo ello impacta la percepción de la confianza de la ciudadanía, no sólo en los asuntos económicos, sino en la acción gubernamental para contrarrestar el efecto inflacionario. Recordemos que en décadas anteriores las espirales inflacionarias llevaron a protestas políticas en distintos países, con la consecuente crisis política, como ocurrió con el cacerolazo en Venezuela, las protestas en Argentina y la toma de calles en Colombia (Machinea, 2010).
Los debates acerca de la mejor política antiinflacionaria son amplios. Una opción plantea dejar que el mercado se autorregule, sin intervención del Estado, ya que existe el riesgo de un efecto contradictorio, sea bajo el control de precios o el aumento de salarios. En el otro extremo, hay economistas que apuestan por que se contrarresten los efectos inflacionarios a través del aumento del salario a fin de estimular el consumo y, por tanto, el aumento de la producción.
En general, los decisores han apostado por la política monetaria para contrarrestar los efectos inflacionarios. Sin embargo, en ocasiones tal política no ha sido suficiente para controlar las presiones inflacionarias, sobre todo cuando se trata de una economía pequeña (Pologne, Rangel-González y Blanco-González, 2014), o en eventos azarosos como los que se viven en la actualidad, tal como las consecuencias de la pandemia COVID-19 o la guerra Rusia-Ucrania. Cabe destacar lo ocurrido en México en 2021, en la etapa crítica de la pandemia, donde el Banco Central aplicó una disminución en la tasa de interés en junio 2021, con el objetivo de motivar la economía, pero no anticipó la alta inflación que ocurrió a finales del 2022. En el mismo sentido, De Melo y Araújo (2013) comentan acerca de los esfuerzos de la política monetaria implementada en Brasil después de la crisis de 2008, en donde el gobierno consideró la política monetaria como una medida suficiente para contener la inflación, sin embargo, ocasionó desajustes en los beneficios y costos de la política monetaria.
Con todo, existen modelos en donde hay factores que hacen que la política monetaria tenga efectos positivos. Por ejemplo, Vargas (2020) muestra cómo los niveles de inflación y tasas de desempleo determinan políticas monetarias a través de la tasa de interés, algo similar a lo que se propone en este estudio; es decir, analizar cómo reacciona la política fiscal a través de reformas salariales ante los incrementos de precios y niveles de inflación. Si bien, una política monetaria a través de tasas de interés es la preferida por muchos bancos para mantener la estabilidad de precios (Hartmann y Smets, 2018), estos movimientos en la tasa de interés podrían implicar desajustes en la movilidad de capital, lo que a la larga podría tener un efecto inverso en el multiplicador del gasto o de inversión fija. Aunque, si los movimientos en capital son mínimos, como el caso de la economía mexicana, no habría efecto sobre el multiplicador fiscal (Mora y Acevedo, 2019).
La política social podría usarse para contener efectos inflacionarios, aunque algunos expertos señalan que ésta tiene más tintes de control político que económico (Machinea, 2010). En el caso de México, las estrategias del gobierno de turno, basadas en aumentos de salarios mínimos, podrían utilizarse e interpretarse como estrategias de rescate de la ciudadanía frente a los problemas inflacionarios que se viven actualmente. No obstante, esta estrategia ha sido criticada por las corrientes económicas más liberales, consolidadas en sexenios pasados. La pregunta es si estas políticas subsidiarias tienen un objetivo político.
En este trabajo se analizan las estrategias que han utilizado los gobiernos mexicanos en los últimos tres sexenios para contrarrestar los aumentos en la canasta básica y los niveles de inflación. El análisis muestra que la administración de López Obrador (2018-2024) ha considerado tanto el aumento de la canasta básica como los niveles de inflación para actuar a través de aumentos salariales y políticas sociales de subsidios directos. En cambio, las administraciones de Felipe Calderón (2006-2012) y Enrique Peña Nieto (2012-2018), únicamente consideraron aumentos en la canasta básica para actuar por medio de aumentos salariales y no a través del control de precios (Carrillo, Gutiérrez, Hernández, 2022). Además, construimos un umbral que incorpora el número de veces que reacciona un gobierno para contrarrestar los efectos inflacionarios, umbral que comparamos con el índice de confianza del consumidor. Esta comparación da lugar a un modelo logit, que estima el porcentaje de aceptación de cada gobierno, con base en las políticas inflacionarias y subsidiarias. Se destaca la gran diferencia de aceptación entre el gobierno de AMLO (79%), con el 47% del periodo de Peña Nieto.
El trabajo se compone de cuatro apartados. En el primero se muestra la literatura referente a las implicaciones de la inflación y su relación con el salario, además de la literatura acerca de la aceptación y confianza de los ciudadanos. El segundo apartado corresponde a la información disponible, las variables involucradas y la metodología necesaria. Posteriormente, se presenta el análisis de la información y sus resultados. En la cuarta sección hacemos una discusión respecto a los resultados obtenidos. Finalmente, se señalan algunas conclusiones y limitaciones.
REVISIÓN DE LITERATURA
INFLACIÓN, POLÍTICAS Y SU EFECTO SOCIAL
Un nivel de inflación adecuado en cualquier país es sano si hay un objetivo trazado, tal como la creación de empleo y la obtención de mejores salarios. Sin embargo, eventos azarosos y condiciones particulares de cada región hacen que dichos objetivos no se logren. Al respecto, Ticci (2011) analiza los efectos que tuvo la inflación en Etiopía durante el período 2006 - 2008, señalando que el objetivo de disminuir la pobreza solo se consiguió en zonas urbanas, ya que en las zonas rurales los hogares dependían sustancialmente de los productos alimenticios y su alto precio repercutió en un aumento considerable del gasto.
Así, cuando los problemas derivados de la inflación se manifiestan en forma de pobreza, desempleo y migración debe haber una actuación inmediata del gobierno. Se han propuesto políticas monetarias para mitigar los crecientes niveles de precios; no obstante, las actuales circunstancias aleatorias han impedido que dichas políticas alcancen sus objetivos. Sánchez-Vellvé (2018), por ejemplo, analizan el nivel de pobreza monetaria en la Unión Europea concluyendo que la falta de homogeneidad entre los países ha impedido llegar a acuerdos planteados en la lucha contra la pobreza.
En el caso de México, las políticas y programas sociales para combatir la pobreza y marginación son distintas, debido a las cifras de pobres y desplazados que siguen creciendo desde principios de los 70 (Robles, Navarro y de la Fuente, 2013), independientemente de eventualidades. Además, en las últimas cuatro décadas los programas sociales de atención en salud, educación, y lucha contra la pobreza, han tenido impactos positivos en distintos sectores. Aunque la pobreza no tuvo una disminución significativa, sirvió para distinguir entre pobreza y pobreza absoluta (Rodríguez y Patrón, 2017). En el mismo sentido, Rodríguez (2014) señala los cambios en política tributaria en México resaltando que la libertad para modificar políticas tributarias depende del grado de competencia política electoral y los acuerdos entre partidos políticos y actores económicos como las cámaras empresariales.
Este trabajo busca diferenciar las políticas salariales que se han implementado en México durante los mandatos presidenciales del 2006, 2012 y 2108, administraciones de gobierno que se han caracterizado por definir diversas estrategias para contrarrestar los efectos de la inflación. Por ejemplo, la gestión del presidente Andrés Manuel López Obrador ha realizado aumentos del salario mínimo y de los subsidios directos y universales a jóvenes y personas mayores. No obstante, anteriores gobiernos ya habían considerado acciones de política pública tendientes al aumento de ingresos, más bien a través de recaudación de impuestos y mejoras de la administración pública y no de manera directa a los trabajadores (Barba, 2021). En el sexenio de Vicente Fox (2000-2006), por ejemplo, se llevó a cabo la reingeniería del gobierno tendiente a un modelo gerencial que facilitó la inversión y la expansión del empleo. En el caso del presidente Felipe Calderón (2006-2012), se observó un incremento de salarios de forma moderada, aunque el énfasis fue puesto en formalizar las actividades económicas evitando el crecimiento de la informalidad (González, 2016). En la administración de Peña Nieto (2012-2018), sobresalieron las reformas estructurales, energética, educativa y la política exterior (Flores et al., 2019).
INTERVENCIÓN SOCIAL Y/O MONETARIA PARA CONTENER LA INFLACIÓN
La política tendiente a aumentar los salarios para compensar desequilibrios económicos afectados por la inflación es viable siempre y cuando exista un nivel de producción adecuado, ya que podría generarse un repunte de la inflación y con ello entrar en un círculo vicioso (Martínez, 2018). Por ejemplo, Fougère, Gautier y Le Bihan (2010) analizan el efecto del aumento en los salarios mínimos en el mercado laboral francés, si bien el aumento era necesario, tuvo un impacto en el nivel de inflación en el mediano plazo. Por su parte, Kaufman (2010) argumenta que los aumentos en los salarios mínimos son necesarios para compensar desigualdades y la competencia imperfecta y, en un mediano plazo, optar por un crecimiento económico óptimo a través de la productividad laboral.
No obstante, el destino de esta ayuda no debe ser focalizada, pues algunas políticas sociales - como en el caso de México - orientadas a grupos de escasos recursos, comunidades rurales o indígenas, han provocado desequilibrios económicos, aumento de la pobreza y la desigualdad, inclusive en los grupos objeto de dicha política (Torres y Rojas, 2015). Además, las empresas pueden percibir que se distorsiona el mercado al generar un consumo que no corresponde con los niveles de producción, creándose una espiral inflacionaria.
Si bien estos programas sociales tienen como prioridad mitigar el descontento social, podrían buscar generar un margen de confianza y credibilidad entre la ciudadanía. Así, Paul et al. (2018) se refieren al programa de empleo completo implementado en 2015 en Estados Unidos para combatir los altos índices de pobreza, señalando que la garantía laboral expuesta contribuirá a mantener el pleno empleo, aumentar el poder de negociación y la confianza entre trabajadores y empleadores.
Habría que analizar el efecto que los programas sociales tienen, no solo económicamente, sino a nivel social, dado el descontento producido por la carencia o imposibilidad de adquirir la canasta básica. En muchos gobiernos latinoamericanos, particularmente en el mexicano, la apuesta ha sido doble: ampliar los programas sociales e incrementar los salarios, una combinación que en la ortodoxia económica del mercado resulta, según algunos, contraproducente para la estabilidad de un país (Abramo, Cecchini y Morales, 2019).
Nuestro análisis sugiere una intervención gubernamental más de carácter fiscal y social, independiente de la manida intervención monetaria a través de la tasa de interés, aunque en época de crisis las políticas fiscales y monetarias no deberían ser del todo independientes sino complementarias. Al respecto, Allsopp y Vines (2015) señalan lo ocurrido en épocas de la Gran Recesión en Estados Unidos, donde la política monetaria a través de la tasa de interés controló precios y la política fiscal presionó los déficits del sector público y controlando la deuda, independientemente de lo que ocurriera después. Aunque, habría que tener cuidado de las implicaciones inversas que conlleva una política fiscal. Por ejemplo, Basilio (2018) analiza las políticas fiscales contra-cíclicas que aplicaron los gobiernos de Brasil, Chile, México, Colombia y Perú, posterior a la crisis financiera del 2008; con el objetivo de contener los niveles de inflación. El autor, concluye que la decisión de estos gobiernos en la emisión de títulos públicos fue factor para desajustar variables endógenas, como el tipo de interés.
POLÍTICAS Y CONFIANZA CIUDADANA
La confianza ciudadana en las instituciones es un punto de inflexión para cualquier gobierno, por cuanto implica la credibilidad en los funcionarios públicos y una mayor gobernabilidad (Montero, Zmerli y Newton, 2008). En este sentido, la confianza ciudadana es un conjunto de juicios pautados colectivamente acerca de las instituciones, que define el apoyo o rechazo al gobierno, y que puede generar un clima de aprobación, de intriga o pesimismo. Para la confianza ciudadana, no importa si una medida es eficaz o necesaria: lo que cuenta es que se perciba como algo oportuno para mantener o aumentar el bienestar de cada ciudadano y de la sociedad en su conjunto y no como el producto de acuerdos ocultos en beneficio de los políticos (Durand, 2006).
Aumentar el salario como respuesta a la inflación es una política recurrente de los gobiernos para mantener la confianza ciudadana, aunque el simple aumento de salario no es lineal ni causal frente a la inflación (Jiménez, 2016). En el caso de México, la confianza ciudadana se ha deteriorado por factores como la violencia (2006-2012) o la corrupción (2012-2018). Los incrementos salariales de ambos períodos no generaron confianza en los ciudadanos acerca del futuro económico y político del país.
Nuestro trabajo sugiere la intervención del gobierno a partir de un valor crítico de la inflación, donde se deduce una curva de Phillips alternativa y cuadrática. El umbral anterior sirve como señal para que las autoridades reaccionen debido a los efectos que la inflación tiene sobre el ingreso de los ciudadanos, lo que se puede traducir como un rescate de la confianza ciudadana a partir de alertas o situaciones críticas. En este sentido, Lee (2008) señala que, con la crisis de 2008, independientemente de las políticas micro o macroeconómicas que adoptaron los gobiernos europeos para enfrentarla, la confianza ciudadana disminuyó considerablemente.
Si bien las decisiones de aumentos salariales son loables, muchas veces hay distractores en los ciudadanos que no ayudan a percibir los esfuerzos gubernamentales. Al respecto, Im et al. (2014) mencionan que el uso exagerado de plataformas digitales e internet por parte de los ciudadanos, tienen un efecto negativo en el grado de confianza hacia el gobierno. También sugieren que el gobierno podría contrarrestar esta percepción negativa con propagandas, anuncios y medios electrónicos para tratar de recuperar el nivel de confianza.
Este trabajo analiza el papel de los últimos tres sexenios, que corresponden a gobiernos política e ideológicamente diferentes por cuanto corresponden a partidos distintos: MORENA, PRI y PAN. Los resultados muestran que la atención de los gobiernos hacia el problema inflacionario a través del salario es distinta, teniendo mayor relevancia en la actual administración (MORENA). Se puede inferir una cierta aceptación del gobierno por parte de la ciudadanía por su transparencia al resolver situaciones críticas como el aumento salarial. En esta línea, Grimmelikhuijsen et al. (2013), con base en un análisis del efecto de la transparencia gubernamental en la confianza de los ciudadanos de Corea del Sur y Holanda, afirman que hay un leve impacto cuantitativo de la transparencia en la aceptación del gobierno. Hay que añadir que la cultura nacional es importante a la hora de percibir la transparencia gubernamental, que puede ser explicado por la ideología, las malas decisiones políticas y problemas como la corrupción o la violencia. La cultura ciudadana es clave a la hora de percibir problemas como los mencionados, lo que implica un cambio drástico en la confianza ciudadana. En esta línea, Hakhverdian y Mayne (2012) comentan que una población educada hará un mejor juicio acerca del desempeño de las instituciones políticas; por ejemplo, si las instituciones son corruptas la educación tendrá un efecto negativo en la confianza institucional.
DATOS Y MÉTODOS

METODOLOGÍA
Uno de los objetivos del trabajo es estimar la probabilidad de aceptación de los presidentes de turno, además de evidenciar si la inflación y el presupuesto real fueron participes en dicha aceptación y de qué forma lo hacen.
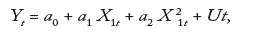
En principio, necesitamos conceptos básicos de regresión lineal, con dos condiciones: i) la parte intuitiva, que refleja el análisis teórico esperado (sentido de esa relación representado en la pendiente de la ecuación resultante) y, ii) la significancia estadística, que muestra el error de explicación mínimo cometido por la variable independiente sobre la dependiente. Para capturar las condiciones (i) y (ii), nos apoyamos en la siguiente expresión lineal,

donde, Yi representa la variable explicada y X1, X2, ... Xk las k posibles variables independientes. Los coeficientes aj representan los efectos por los cambios de las variables independientes sobre la dependiente. Por su parte, U representa variables no controlables y aleatorias, denominadas perturbaciones, donde los efectos no representados en las variables independientes se atribuyen a éstas.
Para verificar si las variables X1, X2, ... Xk, son significativas individualmente sobre Y, se plantean pruebas de hipótesis individuales, H0: αJ= 0 vs Ha: αj # 0, para J = 1, 2, k.
Para contrastarla se utilizan los valores p o pvalues, (probabilidad de error). Un pvalues, < 0.05 muestra que la variable X es estadísticamente significativa para explicar el comportamiento Yi, al menos a un 95% de confianza.
Ahora bien, las variables explicativas en (1) son cuantitativas, pero en algunos casos es de interés incluir variables cualitativas para considerar otros efectos en la variable dependiente. Un caso particular de estas variables cualitativas son las variables dicotómicas o binarias.
Por ejemplo, sea D una variable que representa el lugar de pertenencia de un país, definida como,

Por ejemplo, podemos analizar el efecto de X1i. sobre Y, dependiendo si el país es de Centroamérica o de otra región. Para su análisis, se propone la siguiente expresión,

Así, la estimación del modelo para países no centroamericanos es,

Y, para países centroamericanos se tiene,

Para validar la diferencia entre los modelos, se propone una prueba de hipótesis individual en el coeficiente de la variable binaria,
.
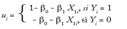
Ahora, si la variable dependiente es cualitativa en el sentido que Yt, representa un atributo. Se puede aplicar un modelo de probabilidad para estimar la ocurrencia del atributo en Y, dadas algunas variables explicativas X1, X2,... ,Xk. De esta forma, y. puede tomar el valor de 1 o 0; por ejemplo,

Así, si se quiere estimar el comportamiento promedio de Y binaria a partir de alguna variable explicativa, por ejemplo, X1.,

Su estimación será,

Y debido a que Y representa una variable cualitativa de "éxito" y "fracaso", que no es más que una variable Bernoulli, tomando dos valores: 0 y 1, donde su esperanza es,

Por tanto, de acuerdo con (3) y (4) lo que se está estimando en el modelo de probabilidad lineal (MPL) (2) es la probabilidad de poseer el atributo o no.
Hay un par de problemas en la estimación (2):
i) Los valores estimados pueden salirse del rango 0 y 1.
ii) Las perturbaciones u. cumplen con,

Por lo que estaría violando el supuesto de normalidad.
El problema ii) se puede resolver al aplicar el teorema del límite central, sobre todo cuando la muestra es amplia. En relación con el problema i) podemos eliminar los valores que salen del rango 0 y 1, pero si son demasiados estaríamos perdiendo grados de libertad para la estimación. Como posible solución, se puede fijar 0.001 a los negativos y 0.999 a los mayores a 1, aunque nuestra estimación no sería precisa.
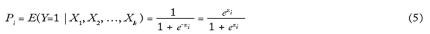
Para evitar tales complicaciones, un modelo de probabilidad que resuelve los problemas citados, es el modelo logit que estima la probabilidad cuando Y = 1, a partir de,

Donde zi= α0+ α1X1¡+ α2X2¡... + αkXk¡. Note entonces, que se cumple
.
Sin embargo, el modelo (5) no es lineal en las variables explicativas, X1, X2, p.,Xk. Para hacerlo lineal, después de un poco de álgebra, tenemos: , y al aplicar logaritmos,

Al modelo (6) se denomina logit (Gujarati y Porter, 2010). Después de las estimaciones, se pueden encontrar los efectos marginales de X1, X2, Xk en las probabilidades, lo que se mostrará en el apartado de resultados finales.
RESULTADOS
En principio, se quiere encontrar si el nivel de inflación, que se ha incrementado en el último año (Anexo 1), podría ser un factor para los aumentos salariales. Lo anterior, con el objetivo de generar una mayor confianza en el consumidor y evitar las protestas sociales derivadas del aumento de precios y la pérdida de poder adquirir del salario que perciben los trabajadores (Martínez, 2018). Así, proponemos los siguientes modelos,

El modelo (7) muestra que el factor del aumento salarial es el nivel de inflación; el segundo modelo (8) propone que el aumento de la canasta básica es condición necesaria para que exista un aumento salarial. El modelo (9) sustenta una relación entre el nivel de inflación y el valor real del poder adquisitivo, . En este caso, representa las cantidades de canastas básicas que se pueden adquirir con el nivel de salario percibido.
INFLACIÓN Y PERCEPCIÓN DE LA CONFIANZA DE LOS CIUDADANOS
Nuestra primera estimación es,

La expresión muestra que el nivel de inflación (X1t) es significativa (ver Pvalue (0.032). Intuitivamente, sostiene que si el nivel de inflación aumenta 1% se sugiere que el salario aumente 0.082%; mostrando claramente que las compensaciones de los aumentos salariales son ocasionadas por el aumento de precios.
Sin temor a error, se podría deducir una forma indirecta de la curva de Phillips: se observan los precios y se reacciona a través de aumentos de salario. Para justificar la hipótesis de Phillips proponemos el siguiente modelo,

Cuya estimación es,

Fuente: Elaboración propia con datos de Coneval (2022).
Adicional a que tal estimación es significativa (ver Pvalue ), su comportamiento tiene forma de parábola. Tomando la derivada de (11),

se deduce lo siguiente:
i)
< 0 si X1t < 4.18, mostrando que para niveles de inflación menores1 'a 4.18 no hay margen para aumentos salariales, incluso los salarios estimados son decrecientes.
ii) --
> 0 si X1t > 4.18, lo que muestra que para niveles de inflación mayo res a 4.18 es necesario y hay posibilidad por parte de las empresas, aumentar los salarios y son crecientes.
iii) El valor mínimo se alcanza en X1t= 4.18, deduciendo un nivel óptimo de salarios donde no hay que intervenir con aumentos salariales.
Lo detallado en estos puntos se observa en la gráfica 1. Además, podemos visualizar en que periodos y bajo qué mandato tuvo que recurrirse a un aumento salarial, como se muestra en el cuadro 2. Lo interesante de la tabla es la relación que se hace con el índice de confianza del consumidor, el cual se refiere a la percepción (optimismo/pesimismo) que los ciudadanos tienen acerca de la situación económica general y de sus finanzas personales para el acceso al consumo. De aquí se puede deducir el apoyo o rechazo a las políticas económicas gubernamentales (Durand, 2006).


El cuadro 2 muestra los periodos en donde la inflación rebasa el crítico 4.18%, acorde con los puntos explicados, reflejando la necesidad de aumentar salarios en cada uno de los sexenios, teniendo en cuenta la confianza de los ciudadanos acerca de su situación económica y, en general, del país. Se puede notar que durante el período 2006 - 2012 el índice de confianza era alto (44 puntos en 2006), pero fue cayendo en los años siguientes, particularmente en el 2009, por lo que nuestras estimaciones con nueve aumentos salariales fueron insuficientes. En el sexenio 2012- 2018, el índice se mantuvo por debajo de los 40 puntos, y sólo aumentó en 2015, cuando se aprobaron reformas estructurales en el sector energético, las que prometían una mayor inversión y mayores fuentes de empleo (Leyva, Páez y Sainz, 2017). Los aumentos salariales en once trimestres fueron insuficientes para contrarrestar el deterioro de la confianza.
Por otro lado, la estimación de (8) muestra lo siguiente,

En (12) se observa que un aumento en el precio de la canasta básica tiene un mayor efecto cuantitativo en el aumento salarial respecto a la relación entre el nivel de inflación y el salario mínimo (expresión 10). De manera intuitiva, (12) sostiene que por un aumento del 1% en el precio de la canasta básica el gobierno debe ajustar el salario en 1.27%; en tanto que en (10) se observa una repercusión en el aumento salarial del 0.08%. Esto es lógico, ya que en la inflación entran productos como vivienda, salud, transporte, entre otros; mientras que, en la canasta básica, se habla exclusivamente de alimentación, que es una necesidad primordial.
Finalmente, optamos por una variable que represente el salario real y que responda la siguiente pregunta: ¿para qué nos alcanza básicamente el salario? Así, la última estimación mide el efecto del nivel de inflación sobre el salario real, y es,

Se observa en (13) que, por un aumento en el nivel de inflación el salario real debería aumentar 0.09%, que, además de ser significativo, su efecto es intuitivamente razonable.
REACCIONES DE CADA SEXENIO A LOS NIVELES DE INFLACIÓN
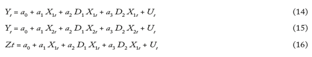
Si bien el análisis anterior muestra que los tres modelos fueron estadísticamente significativos, sería interesante analizar la relación de cada una de las variables propuestas sobre el nivel de salarios por sexenio. Para ello, definimos las siguientes variables dicotómicas:

Y se proponen los siguientes modelos,

La estimación de (14) es,

Se muestra que los efectos dicotómicos son significativos, por lo que el modelo de inflación contra salarios mínimos en la época de Felipe Calderón se obtiene haciendo D1 = 1 y D2 = 0 en (17),

La expresión (18) refleja que los aumentos en el nivel de inflación en la época de Calderón no vinieron acompañados de aumentos salariales. Se podría conjeturar que el promedio inflacionario en el periodo de Calderón, 4.2%, no es suficiente para que las empresas tuvieran margen de maniobra para aumentar salarios. Afortunadamente, esta circunstancia no derivó en una presión social o económica para el aumento salarial. Además, en este sexenio la preocupación ciudadana y empresarial estaba en el tema de la seguridad, debido a los altos índices de delincuencia organizada y a la estrategia de confrontación del Estado a través de los recursos militares y policiales, derivando en un alto índice de violencia en el país (Ortega y Somuano, 2015) Por su parte, el modelo inflacionario en el periodo de Peña Nieto D1 = 0 y D2 = 1), es,

el cual refleja, una ligera compensación salarial por los aumentos inflacionarios de 0.04%; lo anterior se justifica porque en el sexenio del 2012 al 2018 los niveles inflacionarios apenas cambiaron un poco con respecto al anterior. Además, los temas centrales en la política y la economía no giraban en torno a la cuestión inflacionaria sino a la violencia de los grupos de delincuencia organizada (narcotráfico y otros delitos) y los niveles de corrupción denunciados en los distintos niveles de gobierno y el área de la administración pública federal. Al final, estas circunstancias derivaron en una derrota electoral del régimen en 2018 y el ascenso de MORENA (Casar y Ugalde, 2018).
Finalmente, para el periodo actual de Andrés Manuel López Obrador, haciendo D1 = 0 y D2 = 0 en (17), tenemos,

sosteniendo que los aumentos inflacionarios podrían ser un factor para los aumentos salariales que se han venido registrando en lo que llevamos del periodo: 2019, 2020, 2021 y 2022. En este caso, un aumento promedio del 0.164%.
Por su parte, el impacto del precio de la canasta básica sobre el nivel de salarios por sexenios, se muestra en la siguiente estimación:

la que da cuenta de los efectos por sexenios son significativos (ver Pvalue). Así, la relación en el periodo de Calderón es (D1 = 1 y D2 = 0),

En el sexenio de Peña Nieto es (D1 = 0 y D2 = 1),

Y el en periodo actual es (D1 = 0 y D2 = 0),

Se ve que en los tres sexenios el aumento del precio de la canasta básica presionó el poder adquisitivo de los trabajadores, sobre todo en la gestión de Andrés López Obrador (coeficiente 1.015). La espiral inflacionaria también tuvo estrategias diferenciadas: la menos ortodoxa ocurrió en la administración de López Obrador. Entre el 2019 y 2021 hubo un incremento del salario mínimo fuera de los topes recomendados por los economistas y una ampliación de subsidios e incentivo a sectores vulnerables, concretamente una renta extendida a los adultos mayores y becas a jóvenes sin la exigencia de estudio o trabajo (Martínez, 2021).
Finalmente, la relación entre el nivel de inflación y el salario real por sexenios es,

El modelo en el periodo de Calderón (D1 = 1 y D2 = 0), es:

En el sexenio de Peña Nieto (D1 = 0 y D2 = 1),

Y el en periodo actual (D1 = 0 y D2 = 0),

Si bien en los tres periodos se muestra un efecto positivo de la inflación sobre el nivel de salarios, el de mayor magnitud se presentó en el de Andrés Manuel López Obrador (ver expresión 20). Es notable que, a diferencia de las administraciones anteriores, el periodo de López Obrador no ha tenido marchas o protestas sociales por el aumento de precios y el bajo poder adquisitivo. Al contrario, las marchas y protestas han sido por las decisiones de recortar programas sociales y de asistencia pública a grupos de clase media y el incremento de apoyos directos a sectores populares.
POLÍTICAS INFLACIONARIAS Y SALARIALES SOBRE LA ACEPTACIÓN DEL GOBIERNO
El análisis anterior muestra la reacción de cada sexenio, por medio de compensaciones, al nivel inflacionario. Concluimos el análisis preguntándonos si estas decisiones, loables, no tienen un objetivo final, como sería la aceptación del partido y conservar el poder, para lo cual proponemos un modelo de probabilidad logit. ¿Por qué estimar la probabilidad de aceptación y no simplemente encontrar el nivel de aceptación de cada presidente? Los valores de aceptación podrían ser subjetivos, ya que podrían reflejar una política económica que beneficie a ciertos sectores, lo que se traduciría en estrategias populistas (Gerchunoff, Rapetti y de León, 2020). Por ello se optó por una construcción objetiva, combinando los índices de aceptación con el análisis inflacionario de la sección anterior. Para tal objetivo, primero propusimos el umbral de aceptación,

El valor 58.66 es un promedio de promedios: primero obtuvimos el promedio de aprobación del nivel más alto= 69.666 y el promedio de aprobación del nivel más bajo= 47.666, basándose en la información del índice de aprobación para los tres sexenios (sinlinea.mx (2022), cuadro 3). Con base en estos dos promedios, se obtuvo el promedio de aceptación 58.66 citado.

Con base en el umbral y los valores de aceptación mostrados en el cuadro III se construyen los datos de aceptación (aprobación) mensual que se reportan en la columna 7 del cuadro 1 del Anexo 1. Los resultados del logit, así como los efectos marginales después del logit, se muestran en la tabla IV. Antes de cualquier interpretación, hay que hablar de las pruebas de significancia que debe cumplir este tipo de modelos. En principio, y lo más importante, es que los dos efectos marginales sobre la probabilidad de aceptación son significativos (Pvalores menores a cero).

Respecto a la prueba de significancia conjunta, ésta se basa en la prueba de Wald que sostiene la siguiente hipótesis,
H0: Ambos coeficientes son iguales a cero y las variables no son importantes para el modelo,
H1: Ambos coeficientes son diferentes a cero y las variables son importantes para el modelo.
Nuestra probabilidad conjunta muestra que p > x2 = 0.05 (ver última fila del cuadro 4) por lo que se rechaza H0 y las variables en conjunto son significativas para el modelo.
El análisis de especificidad y sensibilidad arroja un valor de 0.63, lo cual, acorde con Hosmer y Lemeshow (2000), significa que el modelo discriminó considerablemente los datos incorrectos que pudieran ser tomados como correctos al ser un valor un valor entre 0.6 y 0.8. La única prueba de significancia débil sería la Pseudo, dado que un valor cercano a 0 muestra un ajuste muy débil para las probabilidades estimadas y un valor cercano a 1 sería un ajuste muy bueno. Como el valor es 0.47, el ajuste es medianamente bueno; no obstante, el modelo es aceptable: basta verlo en la significancia individual (Pvalores ).
Pasando a la parte intuitiva, los efectos marginales después del logit mostrados en la tabla IV muestran una predicción de la probabilidad de aceptación de 0.56 (fila 4), la cual incrementa 10.8% por los aumentos presupuestales (fila 2 y columna 2) y disminuyen 11.3% por motivos inflacionarios (fila 3 y columna 2). No obstante, podemos estimar los pronósticos promedios de aceptación de cada sexenio con base en los promedios del nivel de inflación y el presupuesto real (ver cuadro 5). Se nota que el pronóstico a través de inflación y presupuesto es relativamente más alto en la actual administración (0.79), comparado con la baja aceptación de 0.47, correspondiente al promedio del sexenio de Peña Nieto. El valor de 0.47 de aceptación pudiera ser exagerado, ya que hay pronósticos mensuales en donde el sexenio anterior mostró niveles de aceptación muy bajos (Anexo 1).

DISCUSIÓN
Nuestros resultados muestran, de manera general, que en cada sexenio el aumento de salarios mínimos es una respuesta al aumento de precios, derivados de la inflación, lo mismo que la gestión de posibles demandas ciudadanas que menoscaben la aprobación del gobierno (Carrera, Lara y Policardo 2022). Los efectos de la inflación en la población mexicana los analizan Pardo y Díaz (2014). Los autores construyen indicadores que responden a los aumentos de los precios de productos básicos de la canasta alimentaria durante el periodo 1992-2010. Proponen, además, mecanismos para estimular la producción de estos bienes.
En nuestro análisis se incorporan variables dicotómicas para distinguir los sexenios. Se destaca el gobierno de López Obrador por mantener su postura de aumentos salariales contra la inflación, a diferencia de otras administraciones como la de Felipe Calderón que incluso los disminuyeron. Nuestros resultados se podrían comparar con lo expuesto por Del Campo et at. (2009), quienes sostienen que en el sexenio de Calderón el programa oportunidades se enfocó en contrarrestar el aumento internacional de los precios de los alimentos a través de subsidios y transferencias, pero fue ineficaz porque el apoyo social no llegó a una gran parte de la sociedad, en su mayoría pobres.
En cualquier administración presidencial hay una agenda social y económica; en buena medida sus compromisos se enfocan en definir estrategias socioeconómicas a favor de la sociedad. Por ejemplo, el periodo de Felipe Calderón (2006-2012) se destacó por su política contra el crimen organizado, motivando con ello una relación del gasto en materia de seguridad y el crecimiento económico, aunque este último se mantuvo estático (Bautista y Venegas-Martínez, 2014). A pesar de que la administración de Calderón no gozaba de resultados óptimos en materia macroeconómica y de control de la violencia, sí los tuvo en el fortalecimiento de un Estado democrático (Prud'homme, 2015). En este sentido, Meyer (2015) comenta que la política contra el crimen organizado fracasó por las debilidades institucionales lo que, aunado al desempeño negativo de la economía, fue factor para el regreso del Partido Revolucionario Institucional (PRI) después de dos mandatos del Partido de Acción Nacional (PAN). Lo anterior apoya nuestros resultados: la política laboral motivada por la cuestión inflacionaria no era crucial en ese periodo.
Nuestros resultados sostienen que en la administración Peña Nieto el incremento salarial es casi nulo. Lo que va acorde con Vega, Morayta y Mabire (2020), quienes sostienen que las estrategias del gobierno de Peña Nieto estaban enfocadas en la atención de los empresarios del país a través de la reforma energética. No obstante, el fortalecimiento de la relación con empresarios y particulares durante este periodo ocasionó un debilitamiento del Estado a la hora de tomar decisiones políticas, económicas y, por supuesto, laborales (Loaeza, Morayta y Mabire, 2020).
Además, en la administración de Peña Nieto sobresale la relación con Estados Unidos y la ineficiencia de las instituciones políticas, por lo que no había cabida para una política laboral (Silva, Morayta y Mabire, 2019). No obstante, hubo un periodo inicial en esta administración que se destacó por el impulso en la productividad laboral, reflejándose en un aumento de las exportaciones y un crecimiento de la economía (Brid, 2016). Sin embargo, México no aprovechó suficientemente las condiciones internacionales que otorgaban las demandas de China y Estados, pudiéndose disminuir la pobreza y la desigualdad de su población (Bizberg, Morayta y Mabire, 2020). Tanto más cuanto que el presidente de turno representaba al partido popular y tradicional por excelencia (PRI), que desde la década de 1970 basaba su política en aprovechar la posición estratégica de México y la cercanía con Estados Unidos (Torres, Petch, y Segovia, 2022)
Finalmente, frases como "primero los pobres", y política anti corrupción, definen el rumbo del actual gobierno posneoliberal. Aunque los objetivos se mantienen, el resultado es un progresismo fallido (Centeno, Petch y Elbaz, 2021), debido a la extensión de los apoyos sociales sin una política de evaluación de los impactos en el terreno laboral, educativo y social.
Lo anterior, sumado a los efectos que la propia pandemia ocasionó en términos económicos y sociales (International Crisis Group, 2021), ocasionó una disminución de la confianza ciudadana de las clases medias, no así en los sectores populares. Esto es, una gobernanza en cuestiones aleatorias, como la pandemia o una guerra, puede ser conflictivas y reflejar resultados positivos para una población y negativos para otra (Legler y Segovia, 2021). De esta forma, la relación entre confianza y resultados económicos, más allá de una clase o segmento particular, termina definiendo en gran parte la fortaleza institucional para el manejo económico de la inflación (Scartascini y Keefer, 2022: 16-17).
Independientemente de si los opositores a las políticas subsidiarias de la actual administración tengan o no razón, en general las subvenciones no necesariamente llevan a buen término. En este sentido, Mascarenhas y Post (2014) analizan lo ocurrido en Argentina después de la crisis, donde el gobierno utilizó los subsidios como herramienta fiscal para salir de la crisis; no obstante, la incertidumbre política y los shocks de precios hicieron que la política de subsidios se desviara a sectores no necesitados. Por su parte, Rivlin (2015) comenta que, si hubiera una especie de gasto a través de política fiscal para apoyar al consumidor, se debe apoyar pensando más en la productividad del trabajador que en su propio consumo. Finalmente, Antipa (2016) analiza lo ocurrido en Inglaterra a inicios de 1800, cuando se inició la sustitución del oro por la libra de papel. Lo anterior muestra que la intervención para mantener precios ya se aplicaba históricamente.
En contraparte, Carrera, Lara y Policardo (2022) a través de un análisis para México durante el periodo 2017-2019, periodo que rompe la ortodoxia económica liberal, comentan que los incentivos salariales motivan la productividad laboral, permitiendo un crecimiento económico óptimo y con ello optar por un nivel de inflación objetivo. Lo anterior justifica los aumentos salariales propuestos en este trabajo, aunque estos aumentos deben ir respaldados por aumentos en la producción. De lo contrario se alentaría de nuevo a la inflación. Como ejemplo se tiene la reforma laboral propuesta en Cuba en el año 2016, en donde una parte recibida del salario se indexó al valor agregado de la empresa, y con ello incentivó un aumento en la productividad del trabajador (Águila y Zipitría, 2020).
Resultan paradójicos los efectos ambivalentes que el aumento de salarios tiene en la confianza ciudadana, paradoja constantemente señalada en estudios económico sociales (Unión Europea, 2019: 5-6) y que, en el caso mexicano, se ha acentuado. En el periodo 2006-2018, el aumento de los salarios permitió controlar la espiral inflacionaria, pero no tuvo un efecto en la adhesión ciudadana, por muy eficiente que haya sido la política de salarios (CEPAL, 2022: 31-32). El efecto negativo tuvo otros componentes no económicos como el tema de la violencia y la inseguridad en el primer sexenio y de la corrupción en el segundo.
En el periodo del presidente López Obrador la inflación ha sido mayor. Los incrementos salariales y apoyos sociales no están orientados estrictamente a lo económico, sino a generar una base clientelar electoral, lo que se traduce en una espiral negativa: a más apoyos económicos mayor aumento de la inflación, todo ello derivado de una falta de política económica de inversión para impulsar la producción. Con todo, los niveles de confianza en el último sexenio son mayores, a pesar de la ineficacia de sus políticas salariales, según muestran los resultados del modelo desarrollado en este trabajo. Lo anterior va acorde con uno de los argumentos de Almond y Verba (1963), refiriéndose a la cultura política como un conjunto de pautas orientadas a la confianza ciudadana, no sólo en términos políticos sino en términos de ética o moralidad pública, los que pueden generar una mayor confianza que cualquier programa de gobierno (Rovira, 2019: 9).
CONCLUSIÓN
Se aplicó un análisis econométrico para evaluar las estrategias del Estado mexicano frente a la inflación durante los últimos tres sexenios. Estrategias que fueron diferenciadas, tanto en lo social y económico, dependiendo de las demandas sociales y los puntos de coyuntura y de crisis política en cada sexenio (violencia e inseguridad, presión del empresariado y la apertura comercial en sectores estratégicos y la inconformidad por los niveles de corrupción). La tesis planteada es que los gobiernos reaccionen a través de aumentos salariales para contener el aumento en precios, pero no como una política monetaria sino como una respuesta política y social alternativa para contener los problemas que la inflación puede derivar en el escenario político. Decisiones como tratar de mitigar los efectos de la inflación a través de salarios tienen impacto en el nivel de aceptación de los gobiernos por parte de la ciudadanía, análisis que se realizó a través de un modelo logit.
En general, los resultados muestran, que la reacción a través de salarios mínimos fue significativa y positiva. Sin embargo, cuando identificamos reacciones por sexenios el análisis muestra que la reacción a través de aumentos salariales fue más contundente en la actual administración. Adicional, se dedujo una reacción inversa, al estilo de la curva de Phillips, en donde la política fiscal (salarios) reacciona a la política monetaria (inflación). Incluso, se encontró un umbral de inflación (4.18), donde el gobierno a partir de ese punto reacciona aumentando salarios. Con base en este umbral se determinan el número de trimestres en los que reacciona cada gobierno y se compara con el índice de confianza del consumidor, lo que origina el último análisis: la estimación del índice de aceptación de cada gobierno, derivado de las políticas inflacionarias y laborales, subrayándose el porcentaje de aceptación en la última administración del 79%.
El análisis recomienda a los decisores de política considerar los efectos que podrían tener los elevados niveles de precios. Nuestra propuesta no trata de políticas para contener la inflación - nuestro trabajo parte del hecho de que la inflación está ahí y no hay marcha atrás- sino soluciones para vivir con esa inflación. El análisis es solo una propuesta, porque podrían analizarse otras políticas tales como disminución de impuestos, creación de empleos, aumento de la productividad, entre otros, que pudieran analizarse con otras metodologías.
REFERENCIAS BIBLIOGRÁFICAS
Abramo L., Cecchini S. y Morales B. (2019). Programas sociales, superación de la pobreza e inclusión laboral Aprendizajes desde América Latina y el Caribe. CEPAL.
Águila, R. y Zipitría, L. (2020). ¿Pueden las empresas estatales cubanas pagar mayores salarios? International Journal of Cuban Studies, 12(2), 228-251.
Allsopp, C. y Vines, D. (2015). Monetary and fiscal policy in the Great Moderation and the Great Recession. Oxford Review of Economic Policy, 31(2), 134-167.
Almond, G. y Verba, S. (1963). The civic culture: Political attitudes and democracy in five nations. Princeton, N. J: Princeton University.
Antipa, P. (2016). How Fiscal Policy Affects Prices: Britain's First Experience with Paper Money. Journal of Economic History, 76(4), 1044-1077.
Barba, C. (2021). El régimen de bienestar mexicano: Inercias, transformaciones y desafíos. Santiago de Chile CEPAL Serie Estudios y Perspectivas, 191, 3-106.
Basilio, E. (2018). Política fiscal procíclica y estabilidad monetaria en Brasil, Chile, Colombia, México y Perú. Problemas Del Desarrollo, 49(192), 139-167.
Bautista, O. y Venegas-Martínez, F. (2014). Efectos del gasto en seguridad pública en el crecimiento económico: un modelo macroeconómico estocástico. Investigación Económica, 73(288), 117-147.
Bizberg, I., Morayta, G. C. y Mabire, B. (2020). El fracaso de la continuidad, la economía política del sexenio de Enrique Peña Nieto - The failure of continuity. political economy in the enrique Peña Nieto administration. Foro Internacional, 60(240), 629-682.
Brid, J. (2016). Política macro e industrial para un cambio estructural y crecimiento: gran pendiente de la economía mexicana. Problemas Del Desarrollo, 47(185), 57-78.
Carrera, E., Lara, J. y Policardo, L. (2022). Crecimiento impulsado por los salarios en México: un análisis de regresión umbral. Investigación Económica, 81(319), 90-116.
Carrillo J., Gutiérrez A. y Hernández A. (2022). ¿Cuánto más gastan los hogares? El impacto regresivo de la inflación. México DF.: Instituto Mexicano de la Competitividad.
Casar, M. y Ugalde L. (2018). Dinero bajo la mesa. México DF.: Integralia Consultores/mexicanos contra la Corrupción y la Impunidad.
Centeno, R., Petch, F. y Elbaz, A. (2021). López obrador o la izquierda que no es - López obrador or the absent left. Foro Internacional, 61(243), 163-208.
Comisión Económica para América Latina y el Caribe (CEPAL). (2022). Estudio Económico de América Latina y el Caribe, [https://repositorio.cepal.org/bitstream/handle/11362/48077/4/S2201058_es.pdf]
Comisión Nacional de Salarios mínimos (CONASAMI) (2022). Tabla de Salarios Mínimos Generales y Profesionales por Áreas Geográficas (información desde 1992 a 2022). [https://www.gob.mx/conasami/documentos/tabla-de-salarios-minimos-generales-y-profesionales-por-areas-geograficas]
Consejo Nacional de Evaluación de la Política de Desarrollo Social (CO-NEVAL) (2022). ITLP. Medición de la pobreza, [https://www.coneval.org.mx/Medicion/MP/Paginas/Lineas-de-Pobreza-por-Ingresos.aspx].
Consejo Nacional de Evaluación de la Política de Desarrollo Social (CO-NEVAL) (2022). Evolución de las líneas de pobreza por ingresos. Valor de la Canasta Alimentaria, [https://www.coneval.org.mx/Medicion/MP/Paginas/Lineas-de-bienestar-y-canasta-basica].
De Melo, A. y Araújo, E. (2013). Estabilidad de precios bajo metas de inflación en Brasil: análisis empírico del mecanismo de transmisión de la política monetaria con base en un modelo VAR, 2000-2008. Investigación Económica, 72(283), 99-133.
Del Campo, J. C., Calderón, R. C. et al. (2009). Efecto del incremento en el precio de los alimentos en la pobreza en México. El Trimestre Económico, 76(303), 775-805.
Durand, V. (2006). Confianza y eficacia ciudadana en una sociedad con alta desigualdad. Opiniáo Publica, 12(2), 277-296
Flores, R., De Alba, J. et al. (2019). Los factores internos y externos en la política exterior mexicana (2012-2018) - Internal and external factors in mexican foreign policy (2012-2018): una evaluación general. Foro Internacional, 59(237-238), 671-702.
Fougère, D., Gautier, E., y Le Bihan, H. (2010). Restaurant Prices and the Minimum Wage. Journal of Money, Credit and Banking, 42(7), 1199-1234.
Gerchunoff, P., Rapetti, M., y de León, G. (2020). La paradoja populista. Desarrollo Económico, 59(229), 299-328.
González, M. (2016). Crecimiento socioeconómico, estabilidad macroeconómica y política económica bajo los gobiernos panistas de Vicente Fox y Felipe Calderón. El Cotidiano, 195, 53-62.
Grimmelikhuijsen, S., Porumbescu, G. et al. (2013). The Effect of Transparency on Trust in Government: A Cross-National Comparative Experiment. Public Administration Review, 73(4), 575-586.
Gujarati, D. y Porter, D. (2010). Econometría (Quinta ed.). México DF.: McGraw-Hill Interamericana.
Hakhverdian, A. y Mayne, Q. (2012). Institutional Trust, Education, and Corruption: A Micro-Macro Interactive Approach. The Journal of Politics, 74(3), 739-750.
Hartmann, P. y Smets, F. (2018). The European Central Bank's Monetary Policy during Its First 20 Years. Brookings Papers on Economic Activity, 1-118.
Hosmer, D. W. y Lemeshow, S. (2000). Applied logistic regression. Nueva York: John Wiley & Sons.
Im, T., Cho, W. et al. (2014). Internet, Trust in Government, and Citizen Compliance. Journal of Public Administration Research and Theory: J-PART, 24(3), 741-763.
International Crisis Group. (2021). Una prueba para López Obrador. En International Crisis Group (ed.), Violencia electoral e influencia ilícita en Tierra Caliente (pp. 4-11). International Crisis Group.
INEGI (2022). Índice nacional de precios al consumidor (INPC), [https://www.inegi.org.mx/temas/inpc/].
Jiménez Díaz, J. F. (2016). Crisis económica, confianza institucional y liderazgos políticos en España. Barataria. Revista Castellano-Manchega De Ciencias Sociales, 15, 125-141.
Kaufman, B. (2010). Institutional economics and the minimum wage: broadening the theoretical and policy debate. Industrial and Labor Relations Review, 63(3), 427-453.
Lee, Y. (2018). The Great Recession, Government Performance, and Citizen Trust. Journal of International and Area Studies, 25(1), 57-70.
Legler, T., y Segovia, R. (2021). Presidentes y orquestadores - presidents and orchestrators: la gobernanza de la pandemia de covid-19 en las américas. Foro Internacional, 61(244), 333-386.
Leyva, G., Páez O. y Sainz M. E. (2017). Un umbral empírico y otras recomendaciones para el reporte de la confianza del consumidor en México. Realidad, Datos y Espacio, Revista Internacional de Estadística y Geografía, 7(1), 112-122
Loaeza, S., Morayta, G. y Mabire, B. (2020). La presidencia acorralada de Enrique Peña Nieto - The encircled presidency of Enrique Peña Nieto. Foro Internacional, 60(241), 945-984.
Machinea, L. (2010). La crisis económica en América Latina, alcances e impactos. Madrid: Ediciones Siglo XXI- Fundación Carolina.
Márquez, J. (2022). Aprobación presidencial. Oraculus. [https://oraculus.mx/aprobacion-presidencial/]
Martínez, J. (2018). La historia sin fin: el debate por el salario mínimo. Análisis económico, 33(83), 5-28.
Martínez, M. (2021). La política social de la cuarta transformación en México. Un balance del primer año de gobierno de López Obrador. Revista Española de Ciencia Política, 1(55), 121-142
Mascarenhas, T., y Post, A. (2014). "policy traps" y subsidios al consumo: la política de tarifas de servicios públicos en Argentina, 2002-2014. Desarrollo Económico, 54(213), 171-202.
Meyer, L. (2015). Felipe Calderón o el infortunio de una transición. Foro Internacional, 55(219), 16-44.
Montero, J., Zmerli, S. y Newton, (2008). Confianza social, confianza política y satisfacción con la democracia. Reis: Revista Española de Investigaciones Sociológicas 122, 11-54.
Mora, J. y Acevedo, R. (2019). Fiscal Policy Effects and Capital Mobility in Latin American Countries. Journal of Economic Integration, 34(1), 159-188.
Ortega, R. y Somuano, M. (2015). El periodo presidencial de Felipe Calderón Hinojosa. Foro internacional, 55(1), 5-15.
Pardo, M. S., y Díaz, A. O. (2014). Pobreza alimentaria y desarrollo en México. El Trimestre Económico, 81(321), 43-105.
Paul, M., Darity, W. et al. (2018). A Path to Ending Poverty by Way of Ending Unemployment: A Federal Job Guarantee. RSF: The Russell Sage Foundation Journal of the Social Sciences, 4(3), 44-63.
Pologne, M., Rangel-Gonzalez, E. et al. (2014). Right Theory, Wrong Variable: Foreign Variables and Monetary Policy in Jamaica. Social and Economic Studies, 63(1), 57-87.
Prud'homme, J.-F. (2015). La insatisfacción con la democracia en el México actual. Foro Internacional, 55(219), 302-341.
Rivlin, A. (2015). Thoughts about Monetary and Fiscal Policy in a Postinflation World. Business Economics, 50(2), 51-56.
Robles, J., Navarro, D. y de la Fuente Stevens, D. (2013). Descalabros y desafíos de la política social en México. Problemas Del Desarrollo, 44(174), 9-34.
Rodríguez, K. y Patrón, F. (2017). La efectividad de la política social en México. Un análisis de la reducción de la pobreza monetaria después de la operación de los programas que transfieren ingreso. Gestión y política pública, 26(1), 3-51.
Rodríguez, V. (2014). La política tributaria mexicana y su relación con el contexto económico, político y social desde la crisis de la deuda externa. Investigación Económica, 73(290), 121-169.
Rovira, C. (2019). Populismo y economía: una relación ambivalente. Perspectivas, (3) Friedrich-Ebert-Stiftung, [https://library.fes.de/pdf-files/bueros/chile/15478.pdf]
Sánchez-Vellvé, F. (2018). Eficacia de la política contra la pobreza en la UE. Evaluación con el Fuzzy Poverty Indicator (FPI) - Effectiveness of Policies to Fight Poverty in the EU. Evaluation Using a Fuzzy Poverty Indicator(FPI) . Reis: Revista Española de Investigaciones Sociológicas, 163, 101-120.
Scartascini, C. y Keefer, P. (2022) Confianza: clave de la cohesión social y el crecimiento. Banco Interamericano de Desarrollo, [https://publications.iadb.org/publications/spanish/viewer/Confianza-la-clave-de-la-co-hesion-social-y-el-crecimiento-en-America-Latina-y-el-Caribe-Resumen-ejecutivo.pdf]
Silva, O., Morayta, G. y Mabire, B. (2019). México, el derrumbe de un régimen y la política exterior - Mexico, the collapse of a regime and foreign policy. Foro Internacional, 59(3-4), 579-608.
sinlinea.mx. (2022). Niveles de aprobación de los presidentes en los últimos 25 años. Niveles de aprobación de los presidentes en los últimos 25 años (https://sinlineamx.com).
Ticci, E. (2011). Can inflation be a good thing for the poor? Evidence from Ethiopia. Development in Practice, 21(4-5), 629-641.
Torres, F. y Rojas, A. (2015). Política económica y política social en México: desequilibrio y saldos. Problemas Del Desarrollo, 46(182), 41-66.
Torres, B., Petch, F., y Segovia, R. (2022). La política exterior de México durante el gobierno de luis echeverría (1970-1976)-mexican foreign policy during the government of luis echeverría (1970-1976): el renovado activismo global. Foro Internacional, 62(250), 677-734.
Unión Europea. (2019). La confianza y la cohesión social. Programa para la Cohesión Social en América Latina Unión Europea, (1), [https://eurosocial.eu/wp-content/uploads/2019/06/reciprocamente-n1.pdf]
Vargas, A. (2020). Estimación de la tasa de interés neutral, desempleo e inflación en México. Investigación Económica, 79(311), 35-53
Vega, C., Morayta, G. y Mabire, B. (2020). Los empresarios mexicanos durante el gobierno de peña nieto - Mexican business leaders during the peña nieto administration. Foro Internacional, 60(2), 537-628.
ANEXO 1

Notas
Sugerencia de citación: