Artículos
EVALUACIÓN DE LA SOSTENIBILIDAD DE LA DEUDA PÚBLICA EN EL PERÚ MEDIANTE LA FUNCIÓN DE REACCIÓN FISCAL (1999-2030)*
Assessment of Public Debt Sustainability in Peru through the Fiscal Reaction Function (1999-2030)
Avaliação da Sustentabilidade da Dívida Pública no Peru por Meio da Função de Reação Fiscal (1999-2030)
EVALUACIÓN DE LA SOSTENIBILIDAD DE LA DEUDA PÚBLICA EN EL PERÚ MEDIANTE LA FUNCIÓN DE REACCIÓN FISCAL (1999-2030)*
Revista de Economía Institucional, vol. 27, núm. 53, pp. 275-299, 2025
Universidad Externado de Colombia
Recepção: 24 Novembro 2023
Revised document received: 07 Março 2025
Aprovação: 14 Junho 2025
Resumen:
Este estudio analiza la sostenibilidad de la deuda pública del Perú con base en datos trimestrales del periodo 1999-2021 y proyecciones hasta 2030, mediante la aplicación de la función de reacción fiscal y el uso de modelos VAR y SVAR. Se identifican las principales variables macroeconómicas que inciden sobre el saldo primario como proporción del PIB, destacándose la significancia de la tasa de interés de la deuda interna y del índice de precios de exportación. Las simulaciones revelan que, aunque ciertas variables muestran efectos significativos a corto plazo, la estabilidad fiscal tiende a consolidarse en el mediano y largo plazo. Se concluye que la función de reacción fiscal constituye una herramienta útil para evaluar la sostenibilidad de la deuda pública en contextos dinámicos.
JEL:E62, H63, C32, H68
Palabras clave: Deuda pública, función de reacción fiscal, sostenibilidad fiscal, modelo VAR, Perú.
Abstract:
This study assesses the sustainability of Peru's public debt using quarterly data from 1999 to 2021 and projections up to 2030. The analysis applies the fiscal reaction function through VAR and SVARmodels. It identifies key macroeconomic variables affecting the primary fiscal balance as a share of GDP, with a significant influence from the domestic debt interest rate and the export price index. Simulations show that although some variables have short-term effects, fiscal stability tends to consolidate over the medium and long term. The fiscal reaction function is confirmed as a valuable tool for evaluating public debt sustainability in dynamic contexts.
JEL:E62, H63, C32, H68
Keywords: Public debt, fiscal reaction function, fiscal sustainability, VAR model, Peru.
Resumo:
Este estudo analisa a sustentabilidade da dívida pública do Peru com base em dados trimestrais de 1999 a 2021 e projeções até 2030, aplicando a função de reação fiscal por meio de modelos VAR e SVAR. Identificam-se as principais variáveis macroeconômicas que influenciam o saldo primário como proporção do PIB, com destaque para a significancia da taxa de juros da dívida interna e do índice de preços de exportação. As simulações indicam que, embora algumas variáveis apresentem efeitos no curto prazo, a estabilidade fiscal tende a se consolidar no médio e longo prazos. A função de reação fiscal se confirma como uma ferramenta eficaz para avaliar a sustentabilidade da dívida pública em contextos dinâmicos.
JEL:E62, H63, C32, H68
Palavras-chave: Dívida pública, função de reação fiscal, sustentabilidade fiscal, modelo VAR, Peru Códigos.
1. INTRODUCCIÓN
La deuda pública es un mecanismo mediante el cual un país puede movilizar recursos financieros para la intervención estatal, con el propósito de incentivar el crecimiento y el desarrollo económico. Asimismo, la sostenibilidad de la deuda pública representa la acumulación de resultados fiscales -ya sean superávits o déficits- del sector público (Martner y Tromben, 2004). En América Latina, la relación deuda pública/PIB se mantiene por lo general en niveles inferiores a los de otras economías emergentes, debido a la debilidad de las restricciones presupuestarias de los gobiernos, la alta volatilidad de los ingresos públicos y, sobre todo, la deficiente calidad de las instituciones fiscales (Butrón y Céspedes, 2017). En esa misma línea, el Perú presenta uno de los porcentajes más bajos de la región, aunque marcado por un crecimiento significativo de la deuda pública y por el deterioro de la actividad económica (Carrasco, 2006).

De esta manera, en la Figura 1 se observa que el esfuerzo fiscal realizado a comienzos del año 2007 permitió mantener el resultado primario en niveles promedio. Sin embargo, en 2008 se evidencia una tendencia bajista en los resultados económicos, producto de la crisis financiera global, la caída de la demanda externa, la disminución de la producción industrial y la contracción de la inversión privada. Esta tendencia se acentuó en 2015, como consecuencia de la inflación que afectaba al país y de las tensiones políticas de ese periodo. Para el año 2020, el país enfrentó el cierre simultáneo de los mercados interno y externo, en un contexto de recesión económica, crisis sanitaria y debilidad institucional, alcanzando un resultado primario de -16,08 %, el nivel más bajo en comparación con otras crisis registradas.
Por su parte, en la Figura 2 se observa que los ingresos corrientes presentaron un comportamiento estacional hasta el primer trimestre de 2014, con una caída en 2009 provocada por la crisis financiera global de 2008. A partir del segundo trimestre de 2015, los ingresos comenzaron a descender debido a la caída en los precios de las materias primas y al impacto del fenómeno de El Niño Costero. En el tercer trimestre de 2020, como consecuencia de la pandemia, se registra un valor mínimo. No obstante, en el primer trimestre de 2022 alcanzan el 21,2 %, en la medida en que las actividades económicas retomaban sus niveles prepandemia.

En cuanto a los gastos no financieros, estos muestran un comportamiento más variable. En el cuarto trimestre de 2009 alcanzaron por primera vez el 25 % del PBI, debido a la aplicación de un estímulo fiscal por parte del gobierno, lo que generó un aumento significativo del gasto público. En 2020, este indicador llegó al 32 % del PBI, como respuesta a los efectos de la paralización de las actividades económicas. Respecto al gasto de capital, se observa una tendencia creciente hasta 2009, que se mantiene relativamente constante hasta 2015, para luego mostrar una desaceleración sostenida hasta 2021.
El sobreendeudamiento es frecuentemente un proceso complejo que puede retrasar durante años el desarrollo de un país. Además, el incumplimiento de pagos puede perjudicar el crecimiento y la inversión, provocar la pérdida de acceso al mercado por parte de los países prestatarios, y enfrentarles a costos de endeudamiento más altos. Todo lo anterior subraya la importancia de que los prestatarios encuentren un equilibrio entre el gasto para el desarrollo y la necesidad de garantizar que la deuda permanezca en una trayectoria sostenible. En este contexto, el presente artículo expone detalladamente la metodología utilizada para analizar la trayectoria del resultado de la función de reacción fiscal en relación con la deuda pública.
2. REVISIÓN DE LITERATURA
Se realizó un estudio cuantitativo de largo plazo sobre la sostenibilidad de la deuda pública en Perú entre 1999 y 2030. Se utilizó la función de reacción fiscal y se recopilaron datos trimestrales del Banco Central de Reserva. Se aplicó un muestreo con un nivel de confianza del 95 % y un margen de error del 5 %. El análisis reveló que, de todas las variables consideradas, solo la tasa de interés de la deuda pública interna mostró un impacto significativo sobre el resultado primario. También se observaron aumentos relevantes en la inflación, el índice de precios de exportación y la tasa de interés de la deuda externa.
Una amplia gama de metodologías analíticas fue empleada, como el enfoque de la función de reacción fiscal utilizado por LankesterCampos et al. (2020) para evaluar la sostenibilidad de la deuda pública en Costa Rica; el análisis de regresiones de panel implementado por Onofrei et al. (2020) para examinar el comportamiento fiscal en países de la Unión Europea; o el estudio de Bulime et al. (2021), que recurrió a simulaciones de Monte Carlo para evaluar las trayectorias de la deuda y los riesgos asociados. Estas metodologías permiten analizar las respuestas gubernamentales frente al endeudamiento y su impacto en la estabilidad fiscal.
Las investigaciones sobre la sostenibilidad de la deuda pública se han basado en un conjunto diverso de variables, lo que ha permitido una comprensión más amplia de los factores que inciden en este fenómeno. En los estudios de Potrafke y Reischmann (2014), Chibi, et al. (2022) y Colonia (2018), se exploraron las relaciones entre la dinámica de la deuda pública y variables como el superávit primario y las transferencias fiscales en estados de Estados Unidos y Alemania. Se analizó también la sostenibilidad fiscal en Argelia mediante un umbral específico de deuda y la relación entre esta y el crecimiento económico. Asimismo, se emplearon indicadores como el saldo fiscal primario, la tasa de crecimiento de los términos de intercambio y la brecha de producción para evaluar la sostenibilidad de la deuda pública en países latinoamericanos, incluido el Perú.
Se han desarrollado múltiples estudios que utilizan enfoques metodológicos diversos y obtienen resultados sólidos, lo que ha contribuido a una comprensión más profunda de los determinantes y desafíos asociados a la deuda pública en distintas regiones. Rabanal (2006) analizó la sostenibilidad fiscal en Perú mediante enfoques ex ante y ex post. En su modelo ex ante, empleó el indicador de Blanchard y tasas de interés, proponiendo una nueva regla fiscal para mitigar riesgos. Lankester-Campos et al. (2020) evaluaron la sostenibilidad de la deuda pública en Costa Rica usando el saldo fiscal primario, la función de reacción fiscal y gráficos de abanico, encontrando periodos de insostenibilidad. CAN (2020) evaluó la sostenibilidad de la deuda en Turquía aplicando la función de reacción fiscal y concluyó que existía una disminución en la capacidad de respuesta fiscal, así como riesgo de crisis de deuda. Afonso y Alves (2022), por su parte, evaluaron el impacto de la eficiencia del gasto público en la sostenibilidad fiscal en países de la OCDE, concluyendo que una mayor eficiencia mejora tanto el equilibrio fiscal como la sostenibilidad de la deuda.
3. MATERIALES Y MÉTODOS
3.1 DISEÑO Y PARTICIPANTES
El nivel de investigación es explicativo, ya que busca establecer conexiones sólidas entre variables. El tipo de estudio es cuantitativo, de naturaleza evolutiva, con un diseño no experimental. Se recolectaron datos de las variables para el período 1999-2022, utilizando como fuente el Banco Central de Reserva del Perú.
3.2 PROCEDIMIENTO
En el estudio se consideraron variables independientes como el PBI real, el índice de precios al consumidor, el tipo de cambio nominal y
el índice de precios de exportación. La variable dependiente analizada fue la deuda pública. Asimismo, se utilizaron datos secundarios del Banco Central de Reserva del Perú (BCRP) para las evaluaciones cuantitativas. Estos datos fueron validados por el propio BCRP, con el respaldo del Fondo Monetario Internacional (FMI), que brinda orientación a países que buscan acceder a mercados financieros internacionales. El procesamiento de los datos del BCRP se realizó mediante el programa R-Studio.
3.3 VARIABLES E INSTRUMENTOS DE MEDICIÓN
Para identificar los factores que determinan la sostenibilidad de la deuda pública peruana y sus posibles trayectorias, aplicando la función de reacción fiscal, se emplearon herramientas de econometría, así como fuentes como estados financieros, tablas estadísticas y gráficos generados mediante software especializado (R-Studio y Excel). Además, se utilizaron métodos de análisis documental, fichas bibliográficas y mapas conceptuales como apoyo en la organización de la información.
3.4 EL MODELO DE LA FUNCIÓN DE REACCIÓN FISCAL
La función indicada evalúa la respuesta de las autoridades fiscales ante desviaciones de la deuda respecto de su nivel sostenible. Esto implica medir la relación entre el superávit primario y el nivel de endeudamiento. Para comprenderla, es necesario analizar el mecanismo de la deuda, que responde a dos objetivos principales: entender su evolución en el tiempo y establecer la condición de solvencia. Se introduce la variable del saldo primario, que representa la diferencia entre ingresos y gastos excluyendo intereses, y permite medir la influencia de las políticas fiscales sobre la deuda (Londoño, 2019; Catalan, 2013).
Se analiza la dinámica de la deuda en un modelo simple para una economía cerrada, con endeudamiento en moneda local. Esta dinámica, según Buchanan y Wagner (1997), es fundamental para comprender la función de respuesta fiscal y evaluar la sostenibilidad de la deuda pública. Un aspecto clave es la restricción presupuestaria intertemporal. Esta restricción parte del principio de que el nivel actual de deuda en un país refleja déficits pasados. La deuda vigente es la suma de la deuda previa, el déficit actual y otros flujos. Esta aumenta debido al pago de intereses, a menos que el déficit se financie por otros medios. Si tanto el déficit como los intereses se cubren con nuevos préstamos, el país entra en un círculo vicioso de deuda y déficit (Agnello et al., 2015; Albentosa et al., 2016).

Formalmente, este círculo vicioso puede expresarse mediante la notaciónque Cepresenta a continuación.

Usando la notación anterior, el círculo vicioso descrito por Domar (1994) puede formularse de la siguiente manera:

La ecuación (1) formaliza la dinámica de la deuda. La acumulación de deuda actual se encuentra en el lado derecho. El gasto en intereses es el segundo componente en el lado izquierdo, que es el interés por la deuda pasada. En el lado izquierdo, Rt refleja los ingresos del gobierno excluyendo intereses, y Gt representa el gasto público. OTt abarca otros flujos en la dinámica de la deuda, como gastos no incluidos en Gt, pero para simplificar, se considera que no existen en este análisis.
Teniendo en cuenta todas estas cuestiones, la Ecuación (1) puede re ormulars como:

resolviendo para ;

La ecuación (2) presenta la composición de la deuda pública, que incluye la deuda anterior, los intereses generados por la deuda inicial y el saldo primario. Esta fórmula describe la evolución de la deuda a lo largo del tiempo y actúa como un principio rector para entender cómo se desarrolla la deuda pública. En esencia, se trata de una restricción presupuestaria adaptada para un período específico que nos permite calcular la deuda en función de los valores en el lado derecho de la ecuación. Además, esta ecuación proporciona una explicación sobre cómo cambia la deuda con el tiempo y puede interpretarse como una restricción presupuestaria reorganizada que conecta la deuda en el período t-1 con la deuda en el período t. Al realizar manipulaciones y sustituciones adelante, es posible derivar la restricción presupuestaria intertemporal y la condición de solvencia que se aplican a la deuda en la economia.
Repetir los dos primeros periodos ;:

conectando la primera fila en la segunda;


Siguiendo esta secuencia y repitiendo para cada año subsiguiente, la restricción intertemporal para el año terminal N se puede encontrar como ;

Esta expresión relaciona el nivel de deuda para el momento N con el nivel de deuda al principio, Do, y los saldos primarios entre los períodos 1 y N. Dividiendo cada lado de la Ecuación (3) por (1+i)N y resolviendo para Do ;

La ecuación(4) relaciona la deuda inicial, la deuda final y los saldos primarios descontados. El factor de descuento incorpora tanto el valor del tiempo como la tasade interés. Para que el análisis sea más relevante, se requiere introducir una restricción adicional en dicha ecuación. Esta restricción permite descartarla posibilidad de financiar indefinidamente la deuda con nueva deuda, es decir, evita el llamado esquema Ponzi.
Dado que no es viable encontrar de forma permanente nuevos inversionistas, este tipo de financiamiento no resulta sostenible. La restricción en cuestión, conocida como condición de transversalidad, invalida ese esquema y obliga al gobierno a cancelar la deuda existente al final del periodo mediante superávits primarios, en lugar de depender de nuevos préstamos.
Formalmente, a medida que el tiempo tiende a infinito, el último término de la ecuación (4) debe tender a cero.

La restricción de la ecuación (5) no impide que la deuda final sea positiva ni excluye la posibilidad de un aumento en el endeudamiento. Sin embargo, si la deuda pública inicial es mayor que cero, la economía debe mantener superávits primarios constantes para preservar la solvencia, evitando recurrir al esquema Ponzi como mecanismo de financiamiento.
En resumen, la condición de transversalidad impide la acumulación excesiva de deuda sin cubrir el capital inicial ni los intereses compuestos asociados (Burnside, 2005). Para que el gobierno sea solvente, el valor presente de los superávits primarios futuros debe ser suficiente para cubrir elvalor del principal.
Por lo tanto, la condición de solvencia para el gobierno se expresa como:

Sin la condición de transversalidad en la restricción presupuestaria intertemporal, cualquier equilibrio primario sería compatible con la solvencia. En otras palabras, solo cuando se limita al gobierno mediante la prohibición del esquema Ponzi, puede lograrse una condición de solvencia coherente.
3.5. MODELO CAUSAL: ESTIMACIÓN ECONOMÉTRICA
En la evaluación del modelo, s e empleó una función de reacción fiscal, la cual representa cómo el gobierno responde ante variaciones en el nivel de deuda acumulada, ajustando el superávit primario en consecuencia. El propósito de esta función es garantizar que la política fiscal se ajuste de manera consistente con las restricciones presupuestarias a lo largo del tiempo.

Dentro de la estimación econométrica se emplea un modelo de regresión lineal múltiple, en el cual la variable dependiente es pbt , que representa el resultado primario como porcentaje del PIB. Por su parte, pb _1 corresponde al resultado primario del periodo anterior. Asimismo, g es la tasa de crecimiento económico, e corresponde a la variación del tipo cambio, n a la tasa de inflación, y pxt al índice de precios de exportación.
Por otro lado idt representa a la tasa de interés de la deuda pública interna y f es la tasa de interés de la deuda pública externa; luego, gap representa a la brecha de producción. Finalmente, el término de error u explica la posible variabilidad de los datos que no pueden explicarse a través del modelo planteado.
En cuanto a las tasas de interés, id representa la tasa de interés de la deuda pública interna y V , la tasa de interés de la deuda pública externa. Por último, gap representa la brecha de producto. El término de error u recoge la variabilidad no explicada por el modelo.
4. RESULTADOS
4.1. ANÁLISIS DESCRIPTIVO
Modelo de auto regresión vectorial de la deuda pública
De acuerdo con (Novales, 2016), los modelos autorregresivos (VAR) se emplean cuando se busca describir la interacción dinámica y simultánea entre un conjunto de variables. Además, el modelo VAR consiste en un sistema de ecuaciones simultáneas no restringidas, en el cual no se incluyen valores contemporáneos como variables explicativas. En su lugar, las variables explicativas están conformadas por rezagos de cada una de las variables incluidas en el modelo.
La Tabla 2 muestra los resultados del modelo de autoregresivo vectorial, en los cuales se observa que la tasa de crecimiento económico y la variación del tipo de cambio reducen el primer rezago del resultado primario en 9, 04% y 8, 58%, respectivamente; sin embargo, ninguna de estas variables resulta estadísticamente significativa dentro del modelo.

Por otro lado, la tasa de inflación incrementa el primer rezago del resultado primario en 28,11 %, aunque esta variable tampoco presenta significancia estadística. En cambio, el índice de precios de exportación tiene un impacto positivo sobre el primer rezago del resultado primario del 9,92 %, con un nivel de significancia del 5 %.
Asimismo, la tasa de interés de la deuda pública interna reduce el primer rezago del resultado primario en 1,597 puntos, siendo significativa al 5 %. Este efecto se explica porque los gastos no financieros asociados a la deuda interna representan una proporción menor del PIB.
En contraste, la tasa de interés de la deuda pública externa incrementa el primer rezago del resultado primario en 80,24 %, dado que los pagos correspondientes a dicha deuda generan gastos no financieros que representan un mayor porcentaje del PIB.
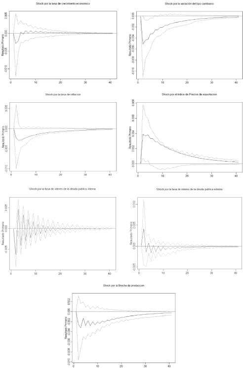
En la Figura 3 se observan los shocks del resultado primario, variable endógena, influenciada por las variables exógenas. Entre estas, se aprecia que el incremento en la tasa de crecimiento económico genera efectos mixtos sobre el resultado primario, con una reducción inicial seguida de un incremento a partir del segundo mes (0,25 %), hasta alcanzar valores positivos desde el cuarto mes de 2022.

Del mismo modo, un mayor ritmo inflacionario reduce la razón del resultado primario, con su efecto más pronunciado en el tercer mes (-0,27 % aproximadamente). Asimismo, el shock por apreciación del tipo de cambio genera una reducción del resultado primario en el corto plazo (-0,5 %), aunque este impacto se modera a partir del tercer mes, con una caída aproximada de -0,44 %.
El shock en el índice de precios de exportación produce un aumento del resultado primario desde el segundo mes, alcanzando su máximo impacto en el tercer mes de 2022 con un incremento de 0,38 %. A partir del quinto mes, este efecto tiende a disminuir en el mediano y largo plazo.
Por otro lado, el shock generado por la tasa de interés de la deuda pública interna muestra alta volatilidad en el corto y mediano plazo, con fluctuaciones entre saldos positivos y negativos. A largo plazo, se espera una mayor estabilidad en la respuesta del resultado primario frente a esta variable.
Asimismo, el shock en la tasa de interés de la deuda pública externa genera impactos positivos sobre el resultado primario en el segundo y cuarto mes de 2022 (0,4 % y 0,05 %, respectivamente). No obstante, en el mediano plazo los efectos son negativos, mientras que en el largo plazo se prevé estabilidad.
Por último, el shock asociado a la brecha de producción provoca una mayor reducción en el resultado primario en el corto plazo. En el mediano y largo plazo, se anticipa una mayor estabilidad, acompañada de una disminución progresiva de dicha brecha.
4.2. MODELO AUTOREGRESIVO VECTORIAL ESTRUCTURAL DE LA DEUDA PUBLICA
Según (Ramos, Melo, & Zárate Solano), los modelos SVAR se utilizan en el análisis económico cuando se emplean funciones de impulso-respuesta o la descomposición de la varianza, lo cual requiere el uso de choques estructurales. Estos modelos permiten identificar y estimar la estructura de causalidad entre variables dentro de un sistema, basándose en la teoría económica y en el proceso generador de datos.
En la Tabla 3 se presentan los resultados del modelo autorregresivo vectorial estructural (SVAR). Se observa que tanto la tasa de crecimiento económico como la variación del tipo de cambio reducen el rezago del resultado primario en 8,84 % y 8,79 %, respectivamente. No obstante, ninguna de estas variables resulta significativa dentro del modelo.

Por otro lado, tanto la tasa de inflación como el índice de precios de exportación tienen un impacto positivo sobre el rezago del resultado primario, de 22,12 % y 9,73 %, respectivamente. Sin embargo, solo el índice de precios de exportación es estadísticamente significativo al 5 %, mientras que la inflación no alcanza significancia.
En cuanto a las tasas de interés, la tasa de interés de la deuda pública interna reduce el resultado primario en 1,5956 puntos porcentuales, siendo significativa al 5 %, mientras que la tasa de interés de la deuda pública externa incrementa el resultado primario en 79,37 %, aunque esta última no resulta significativa.
Respecto a los quiebres estructurales correspondientes a los años 2015 y 2020, se evidencia una reducción del resultado primario de 1,75 % y 0,73 %, respectivamente. Sin embargo, ninguno de estos efectos es estadísticamente significativo. Finalmente, la tendencia temporal muestra una reducción del rezago del resultado primario de 0,14 %, siendo significativa al 5 %.
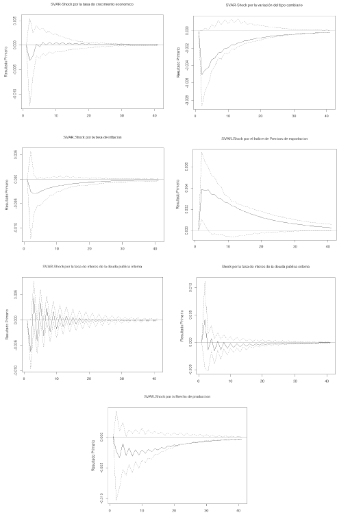
La Figura 4 muestra los shocks del resultado primario estimados mediante la metodología SVAR, cuyos comportamientos resultan casi similares a los obtenidos con el modelo de vectores autorregresivos (VAR). La gráfica evidencia que el shock asociado a la tasa de crecimiento económico provoca una reducción del resultado primario en el corto plazo; sin embargo, en el mediano y largo plazo se alcanza una estabilidad. Por su parte, el shock de la variación del tipo de cambio genera una reducción considerable en el corto plazo, aunque a partir del mediano plazo tiende a estabilizarse en relación con el resultado primario.

De manera similar, el shock de la inflación produce un efecto negativo inicial, pero con el tiempo se modera hasta alcanzar cierta estabilidad. En contraste, el shock del índice de precios de exportación genera efectos positivos en el corto plazo, mientras que en el mediano y largo plazo presenta una tendencia decreciente sobre el resultado primario.
En cuanto a la tasa de interés de la deuda pública interna, el shock induce alta volatilidad en el corto y mediano plazo, con alternancia de signos. A largo plazo, sin embargo, se anticipa una mayor estabilidad del resultado primario. Algo similar ocurre con el shock de la tasa de interés de la deuda pública externa, que tiene efectos positivos en el corto plazo, pero negativos en el mediano, con un posterior retorno a la estabilidad.
Por último, el shock de la brecha de producción genera una reducción sostenida del resultado primario en el corto plazo, aunque en el mediano y largo plazo tiende a estabilizarse y a reducir dicha brecha.
4.3. PRONÓSTICO DE LAS SERIES DE TIEMPO DE LAS VARIABLES (FIGURA 9)
La Figura 5 presenta las proyecciones de las principales variables explicativas y del resultado primario hasta el cuarto trimestre de 2030, obtenidas mediante el modelo VAR. Durante el año 2022, el resultado primario registró un incremento promedio de 0,0175 %, mientras que entre 2023 y el cuarto trimestre de 2025 se proyecta una reducción promedio de 0,37 %. Por su parte, la tasa de crecimiento económico alcanzó un promedio de 9,45 % en 2022, y se estima que descenderá a 8,13 % entre 2023 y 2025. La variación del tipo de cambio aumentó un 11,09 % en promedio durante 2022, y se prevé una moderación hacia un 9,35 % promedio para el periodo 2023-2025. De forma paralela, el índice de precios de exportación aumentó en 1,72 puntos porcentuales durante 2022, y se estima un incremento promedio de 1,80 puntos entre 2023 y 2025.

La tasa de interés de la deuda pública interna tuvo un incremento, en promedio, del 1,64 % durante el primer trimestre de 2022 hasta el cuarto trimestre de 2022; por su parte, se prevé un incremento de 1,65 % en la tasa de interés desde el primer trimestre de 2023 hasta el cuarto trimestre de 2025, donde varió 0,01 % en relación con el promedio de los cuatro trimestres del año 2022. Por su parte, la tasa de interés de la deuda pública externa tuvo un incremento de 1,2 % durante el primer trimestre al cuarto trimestre del año 2022, en promedio, mientras que la proyección desde el primer trimestre de 2023 hasta el cuarto trimestre de 2025 prevé un incremento de 1,4 % en promedio, el cual es superior a los resultados del 2022.
La brecha de producción tuvo una reducción de 4,54 % durante el primer trimestre del 2022, mientras que a partir del segundo trimestre al cuarto trimestre del 2022 se tuvo un incremento de 4,78 % en promedio. Por su parte, la proyección del primer trimestre de 2023 hasta el cuarto trimestre de 2025 prevé un incremento de 5,76 % en promedio.
Cabe señalar que las proyecciones presentadas están dentro del rango permitido, lo cual no traerá consigo repercusiones a futuro.

A partir del pronóstico se puede observar que, para el primer trimestre de 2026 (2026-1), la tasa de crecimiento será de 8,53% y la tasa de inflación de 1,12%. Para el primer trimestre de 2030 (2030-1), la tasa de crecimiento alcanzará el 9,41% y la tasa de inflación será de 1,16%. La variación acumulada de la tasa de crecimiento y de la inflación a lo largo del tiempo será de 0,11% y 0,035%, respectivamente.
En cuanto al resultado primario, desde 2026-1 se observa una fluctuación de subidas y bajadas a lo largo del periodo de simulación de escenarios. Finalmente, los resultados primarios registrarán una variación acumulada de 1,72% entre 2026-1 y 2030-4.
Por otro lado, los índices de precios de exportación mostrarán una variación de 0,11% en el mismo intervalo de tiempo (2026-1 a 20304). En el caso de la brecha de producción, esta se situó en 5,13% para 2026-1 y en 5,83% para 2030-1, con una variación total de 0,13% a lo largo del periodo proyectado.
5. DISCUSIÓN
La presente investigación refleja que la deuda pública, medida a través del resultado primario como porcentaje del PBI real, tiene una dependencia directa con la incidencia del crecimiento económico respecto al consumo. León et al. (2020) concuerdan en que el consumo interno ha contribuido a la inestabilidad del mercado externo, determinando la ocurrencia del crecimiento económico en relación con el consumo intermedio, el PIB per cápita y las exportaciones. Asimismo, Ernesto Peláez et al. (2019) mencionan que la viabilidad de la deuda pública se ve afectada por el crecimiento económico y el proceso inflacionario. También destacan que la tasa de interés de la moneda nacional tiene un impacto negativo, debido a la relación inflacionaria, la cual está condicionada por la deuda pública.
Por su parte, Casar (2020) demuestra que el gobierno debe incluir en su política económica operaciones vinculadas con el gasto público y los niveles de tributación, pues estos pueden incidir positivamente sobre el PIB. De igual forma, Llaxza Marín (2021) sostiene que la deuda pública, medida por el resultado primario como porcentaje del PBI real, depende de manera significativa y conjunta del tipo de cambio real multilateral. De este modo, el PBI real influye positivamente sobre las importaciones; sin embargo, el tipo de cambio real influye negativamente, siendo además estadísticamente significativo. Arocutipa (2022) reafirma la existencia de un proceso inflacionario en el crecimiento económico, al evidenciar una relación directa entre el PBI real, el tipo de cambio y la tasa de inflación, afectando así a los consumidores, inversionistas y bienes importados, lo cual produce un efecto directo sobre los precios.
Por otro lado, la presente investigación demuestra que el tipo de cambio influye de manera directa. Chávez & Lliuyag (2021) afirman que el tipo de cambio real es un factor relevante, dado que puede generar un shock positivo en la economía nacional; no obstante, si se produce una devaluación, la economía tiende a deteriorarse. Además, destacan que el crecimiento económico del país depende condicionalmente del crecimiento mundial, siendo por tanto determinantes tanto el tipo de cambio como la inflación en la toma de decisiones.
En esta misma línea, las investigaciones de Meneses (2019) y Alvarez et al. (2017) concluyen que los países no crecen endeudándose de forma indefinida, ya que el incremento de la deuda puede convertirse en una restricción financiera permanente que frena el crecimiento económico. Asimismo, advierten que no existe una solución financiera clara al problema de la deuda pública, pues el crecimiento económico por sí solo no representa una respuesta fiable ni sostenible.
Respecto a la variación del tipo de cambio, Rincón (2015) vincula el crecimiento económico con el comportamiento del PBI, la balanza de pagos y las fluctuaciones de la tasa de cambio. También señala que un aumento en la tasa de cambio no conlleva necesariamente un aumento en el crecimiento general del país. Por su parte, Infante (2014) analiza la influencia del tipo de cambio real sobre el crecimiento económico, y concluye que dicho tipo de cambio influye positivamente en el PBI a largo plazo, pero tiene un efecto negativo en el corto plazo.
6. CONCLUSIONES
De esta manera, el presente estudio analizó las determinantes del resultado primario como porcentaje del PBI, dentro de las cuales se incluyeron variables como la tasa de crecimiento económico, la variación del tipo de cambio, la tasa de inflación, los índices de los precios de exportación, la tasa de interés de la deuda pública interna y externa, y finalmente la brecha de producción. Estas variables fueron analizadas a través del uso de los distintos instrumentos aplicados, lo que permitió representar el comportamiento de la variable endógena frente a las variables exógenas.
En ese sentido, cabe mencionar que la tasa de crecimiento económico, la variación del tipo de cambio, la tasa de interés de la deuda pública interna y la brecha de producción redujeron el resultado primario. Sin embargo, cabe señalar que la única variable de las mencionadas anteriormente que tuvo significancia estadística fue la tasa de interés de la deuda pública interna, al nivel del 5 %. Mientras que las variables que tuvieron resultados positivos fueron: la tasa de inflación, con un 28,11 % de incremento; el índice de precios de exportación, con 9,92 % y un nivel de significancia del 5 %; y la tasa de interés de la deuda pública externa, con 80,24 %, aunque esta última no fue significativa en el modelo presentado.
Ahora bien, con la aplicación de la metodología SVAR, se puede apreciar que el comportamiento no tuvo mucha variación con respecto a los resultados mostrados por la metodología de vectores autorregresivos (VAR). Las únicas variables significativas fueron la tasa de interés de la deuda pública tanto interna como externa. Por su parte, los shocks presentados de las variables independientes muestran que, a corto plazo, las variaciones son mucho más pronunciadas, mientras que a mediano y largo plazo se logra una mayor estabilidad en relación con el resultado primario.
Por otro lado, las proyecciones muestran que el resultado primario tendrá una reducción de 0,27 % en promedio durante el periodo analizado. La tasa de crecimiento, por su parte, tendrá un incremento de 8,46 % en promedio hasta el cuarto trimestre del 2025. La variación del tipo de cambio también arrojará resultados positivos, con un incremento de 9,8 % en promedio. Asimismo, la tasa de inflación presentará un aumento de 1,17 % en promedio. Los índices de precios de exportación tendrán un incremento superior al de las demás variables, con un promedio de 1,17 %. La tasa de interés de la deuda pública, tanto interna como externa, también mostrará incrementos de 1,65 % y 1,31 % respectivamente. Finalmente, la brecha de producción refleja un incremento promedio de 4,9 % durante el periodo de análisis de las variables
REFERENCIAS BIBLIOGRÁFICAS
Afonso A., Alves J.. "Does government spending efficiency improve fiscal sustainability?". SSRN Electronic Journal. 2022. https://doi.org/10.2139/ssrn.4103951.
Agnello L., Castro V., Sousa R. M.. "Is fiscal fatigue a threat to consolidation programmes?". Environment and Planning C: Government and Policy, vol. 33, n.° 4, 2015, 765-779. https://doi.org/10.1177/0263774X15597391.
Albentosa P., Martí R., Manuel A.. "Análisis de la sostenibilidad de la deuda pública en España". Revista de Economía Aplicada, vol. 22, n.° 2, 2016, 10-23.
Alberola E., Kataryniuk I., Melguizo A., Orozco R.. "Fiscal policy and the cycle in Latin America: The role of financing conditions and fiscal rules". Bank for International Settlements Papers, n.° 543, 2016.
Alvarez M., Alvarez M. D., Alvarez S.. "La deuda pública, el crecimiento económico y la política". Polis, Revista Latinoamericana, vol. 13, 2017, 41-71.
Arocutipa R.. "Relación entre el tipo de cambio y el nivel de inflación de la economía peruana, periodo 2015—2021". Universidad Privada de Tacna. 2022. https://www.upt.edu.pe/upt/web/home/contenido/100000000/65519409.
Bulime E., Mukisa I., Bbaale E.. "Public debt sustainability: Estimating the fiscal reaction function for Uganda (1981/82-2016/17)". Tanzanian Economic Review, vol. 11, n.° 1, 2021, 1-34.
Butrón L., Céspedes N.. "Evaluación de la sostenibilidad de la deuda pública". Revista Moneda, n.° 172, 2017, 47-56. https://www.bcrp.gob.pe/docs/Publicaciones/Revista-Moneda/moneda-172/moneda-172-06.pdf.
CAN C. K.. "Estimating a time-varying fiscal reaction function to appraise public debt sustainability in Turkey: 1970-2017". Universidad de Ankara. 2020.
Carrasco J.. "Análisis comparativo de la sostenibilidad de la deuda entre Perú y Chile en el período 2006-2019, y lecciones aprendidas". Universidad de Lima. 2006. https://repositorio.ulima.edu.pe/handle/20.500.12724/15016.
Casar J.. "No news on the front: Economic policy in 2019-2020". Economía UNAM, vol. 17, n.° 49, 2020, 66-84. http://www.scielo.org.mx/pdf/eunam/v17n49/1665-952X-eunam-17-49-66.pdf.
Catalán H.. "Función de reacción fiscal en México: Un análisis de cambio estructural". Universidad Nacional Autónoma de México. 2013.
Chávez M., Lliuyag Diaz J.. "El impacto de los mecanismos de transmisión de factores reales externos en el PBI del Perú en los años 1998-2017". Universidad Nacional del Callao. 2021. http://repositorio.unac.edu.pe/bitstream/handle/20.500.12952/4353/VIVANCO_MEDRANO_FCS_2DA%20ESPEC_2019.pdf?sequence=4&isAllowed=y.
Chibi A., Chekouri S. M., Benbouziane M., Boulila H.. "Essays on fiscal sustainability in Algeria". Universidad de Tlemcen. 2022.
Colonia H.. "Análisis de la sostenibilidad de la deuda pública peruana: Un enfoque de función de reacción fiscal". Universidad Nacional Mayor de San Marcos. 2018.
Ernesto Peláez Moreno L., Baltazar Vallejo Ramírez J., del Carmen Achupallas Jaramillo J., Enith Moreno Alvear R.. "Estudio de los factores determinantes de la inversión pública en Ecuador 2007-2017". Un Espacio para la Ciencia, vol. 2, 2019, 33-58. https://doi.org/10.5281/zenodo.4521577.
INE. "IPC, 90 años ayudando a reflejar la evolución de la sociedad 1928-2018". INE. 2018.
Instituto Nacional de Estadística. INEI. "Metodología de los índices de precios de comercio exterior (1-25)". Instituto Nacional de Estadística e Informática. 2013.
Infante Acosta K.. "Crecimiento económico y tipo de cambio real". Universidad Nacional de Colombia. 2014.
Lankester-Campos V., Loaiza-Marín K., Monge-Badilla C.. "Assessing public debt sustainability for Costa Rica using the fiscal reaction function". Latin American Journal of Central Banking, vol. 5, 2020, 100014. https://doi.org/10.1016/j.latcb.2020.100014.
León L., Becerra M., Tomala M.. "Ecuador: Crecimiento económico determinante de las exportaciones, consumo intermedio y PIB per cápita, período 2010-2018". Journal Business Science, vol. 1, n.° 2, 2020, 82-93.
Llaxza Marín K.. "Efecto del tipo de cambio multilateral y PBI en el comportamiento de las importaciones peruanas, en el periodo 2005-2020". Universidad Privada Antonio Guillermo Urrelo. 2021.
Londoño E.. "Función de reacción fiscal para Ecuador, 2000-2017". Universidad de Cuenca. 2019.
Martner R., Tromben V.. "La sostenibilidad de la deuda pública". Revista de la CEPAL, n.° 84, 2004, 35-48. https://repositorio.cepal.org/handle/11362/10979.
MEF. "Deuda pública". Ministerio de Economía y Finanzas del Perú. 2021a.
MEF. "Deuda pública". Ministerio de Economía y Finanzas del Perú. 2021b.
MEF. "Deuda pública". Ministerio de Economía y Finanzas del Perú. 2021c.
Meneses S.. "Impacto del crecimiento económico en la reducción de la pobreza extrema del Perú durante el periodo 2007—2014". Universidad Nacional Mayor de San Marcos. 2019.
Onofrei M., Vatamanu A. G., Bostan I., Oprea F., Paraschiv G., Lãzãrut C. M.. "The implication of fiscal principles and rules on promoting sustainable public finances in the EU countries". Sustainability, vol. 12, n.° 7, 2020, 2772. https://doi.org/10.3390/su12072772.
Rabanal J.. "Perú: Dos enfoques para analizar la sostenibilidad fiscal". Banco Central de Reserva del Perú. 2006.
Rincón Clavijo R.. "Influencia del tipo de cambio en la balanza comercial y el PIB en Colombia, 2000 a 2013". Universidad Externado de Colombia. 2015.
Notas