Artículos originales
Impacto de las técnicas de mínima intervención en el índice de masa corporal de pre escolares con caries de la infancia temprana, seguimiento 1 año
Impact of minimal intervention techniques on the body mass index of preschoolers with early childhood caries, 1-year follow-up
Impacto de las técnicas de mínima intervención en el índice de masa corporal de pre escolares con caries de la infancia temprana, seguimiento 1 año
Revista Estomatológica Herediana, vol. 32, núm. 1, pp. 7-20, 2022
Universidad Peruana Cayetano Heredia

Recepción: 27 Enero 2020
Aprobación: 03 Noviembre 2021
Resumen: Objetivo: Determinar el impacto de las Técnicas de Mínima Intervención (TMI) en el índice de masa corporal (IMC) de pre-escolares con caries de la primera infancia (CPI). Material y Métodos: Estudio de intervención, relacional y longitudinal. De una población de 100 pre escolares de ambos sexos y de 3 a 5 años se obtuvo una muestra aleatoria de 31, que cumplieron los criterios de inclusión. Se registró las medidas antropométricas: talla-peso e IMC al inicio, 6 y 12 meses. En el examen bucal de tejidos blandos se observó cambios de color y gingivitis; en los tejidos duros alteraciones de estructura, cronología, secuencia de erupción y se aplicó el índice ceo-d; las evaluaciones clínicas fueron al inicio y a los 12 meses. Se aplicaron las TMI preventivas: flúor en barniz, microinvasivas: sellantes ionoméricos y mínimamente invasivas: Técnica de Restauración Atraumática (TRA). Resultados: Las variaciones globales e individuales del IMC al inicio y 12 meses después de aplicar las TMI fueron altamente significativas (p<0,001). En la evaluación final los hallazgos clínicos evidencian cambios positivos y significativos del color de mucosas y grados de gingivitis. El 98% de pre-escolares presentaron CPI e índice ceo-d en promedio 6,5% al inicio y 1,7% después del tratamiento, hipomineralización 45,2%, retraso de erupción 25,8%, alteración en la secuencia y cronología de erupción 29%. Conclusiones: El aumento progresivo global e individual del IMC se relaciona directamente con la aplicación de las TMI, efectivas para recuperar la salud bucal en pre-escolares con CPI a través del tiempo.
Palabras clave: técnicas de mínima intervención, índice de masa corporal, caries de la primera infancia, pre-escolares.
Abstract: Objective: To determine the impact of Minimal Intervention Techniques (MIT) on the body mass index (BMI) of preschool children with early childhood caries (CIT). Material and Methods: Intervention, relational and longitudinal study. A random sample of 31 was obtained from a population of 100 pre-school children of both sexes and ages 3 to 5 who met the inclusion criteria. Anthropometric measurements were recorded: height- weight and BMI at the beginning, 6 and 12 months. The soft tissue oral examination revealed color changes and gingivitis; in hard tissues alterations of structure, chronology, sequence of eruption and the ceo-d index was applied; clinical evaluations were at baseline and at 12 months. Preventive MITs were applied: fluoride in varnish, microinvasive: ionomeric sealants and minimally invasive: Atraumatic Restoration Technique (ART). Results: The global and individual variations of the BMI at the beginning and 12 months after applying the IMR were highly significant (p <0.001). In finally evaluation, the clinical findings show positive and significant changes in mucosal color and degrees of gingivitis. 98% of preschool children presented CIT and ceo-d index on average 6.5% at the beginning and 1.7% after treatment, hypomineralization 45.2%, eruption delay 25.8%, alteration in the sequence and eruption chronology 29%. Conclusions: The progressive global and individual increase of the BMI is directly related to the application of the IMR; effective to regain oral health in preschool children with CIT over time.
Keywords: Minimal intervention, body mass index, early childhood caries, preschool.
INTRODUCCIÓN
La evaluación del crecimiento y el desarrollo implica mediciones exactas del peso y la talla para el cálculo del índice de masa corporal (IMC), que determina el bajo peso o sobrepeso (1).
Si las condiciones de salud bucal son deficientes por la presencia de caries de la primera infancia (CPI) en pre escolares, es probable que exista repercusiones desfavorables en el estado nutricional. En décadas pasadas varios estudios relacionaron la presencia de caries dental, deficiencias nutricionales, menor crecimiento y desarrollo con repercusión en la salud bucal y general en niños pequeños (2,3,4).
El abordaje contemporáneo de la caries dental involucra la determinación del riesgo de caries en el paciente pediátrico, para identificar los factores de riesgo y/o protección personalizados que intervienen en el desarrollo de la enfermedad. Las evidencias demuestran que los protocolos de evaluación más usados son CAMBRA (5), y Caries Care International (6).
Recientemente, se ha producido un cambio de paradigma en el manejo contemporáneo y conservador de la caries dental aplicando un conjunto de técnicas denominadas Técnicas de Mínima Intervención (TMI): preventivas, microinvasivas y restauradoras a edades tempranas en los diferentes niveles de salud (7).
El tratamiento restaurativo quirúrgico convencional que preconiza la eliminación completa de la dentina cariada resulta muy radical, complica el tratamiento y el éxito a largo plazo, por tanto, queda destituido por enfoques más biológicos y menos invasivos dando énfasis a la alteración de la biopelícula y al menor consumo de azúcares libres, para detener las lesiones cariosas.
Las TMI tienen un abordaje conservador e intervienen en la promoción-prevención, diagnóstico preciso, limitación del daño (microinvasión), restauración y control de la salud bucal; constituyen así la nueva filosofía de tratamiento en odontopediatría (8,9, 10).
El abordaje moderno de la caries con TMI fue aceptado el 2002 por la FDI, se fundamenta en cuatro principios: 1) no perjudicar al paciente, 2) preservar los tejidos sanos, 3) estimular la capacidad reparadora (respuesta biológica) 4) ofrecer máximo confort al paciente y tiene como estrategias: controlar la enfermedad mediante la reducción de la biopelícula, remineralizar las lesiones iniciales de caries, intervenir con técnicas microinvasivas y/o restauradoras mínimamente invasivas, reparar las restauraciones defectuosas (no reemplazar) (11).
La probabilidad de éxito de las TMI aumenta si la caries dental no se considera como enfermedad infecciosa, actualmente se define como una enfermedad multifactorial, mediada por la presencia de biopelícula (componente bacteriano) y modulada por el azúcar (componente conductual), que resulta de la desmineralización y remineralización fásica de los tejidos dentales duros, determinada por factores biológicos y psicosociales, vinculada al entorno de un individuo. Eliminar la biopelícula de las superficies dentales con cepillo y pasta fluorada dos veces al día (1100 ppm de NaF), controlar la ingesta y la frecuencia de azúcares; son acciones indispensables en la prevención y control de la caries dental (12).
En resumen, las TMI son generadoras de prácticas que el odontopediatra debe implementar en la atención de pre escolares con las premisas de educar, prevenir, identificar, interceptar y controlar (7).
Los principales enfoques restauradores mínimamente invasivos en el manejo de CPI son la técnica de remoción selectiva de caries y la técnica de restauración atraumática (TRA). Ambos, muestran evidencias crecientes de mejores resultados en comparación con la remoción completa de caries (9,10). Por lo tanto, es posible aplicar una odontología más conservadora y superar las técnicas radicales del pasado (13).
El propósito del estudio fue determinar el impacto de las técnicas de mínima intervención en el IMC de pre escolares que presentan caries de la primera infancia y realizar controles hasta los 12 meses después del tratamiento.
MATERIAL Y MÉTODOS
Estudio de intervención, relacional y longitudinal. De una población de 100 pre escolares de 3 a 5 años, de ambos sexos y procedentes de una escuela pública urbano marginal (I.E.E. “El Altiplano en Ciudad de Dios -Yura a 17 km de la ciudad de Arequipa), se obtuvo una muestra aleatoria de 31 niños: 7 de 3 años, 16 de 4 años y 8 de 5 años; 16 del sexo femenino y 15 del masculino; que cumplieron loscriterios de inclusión: IMC en el percentil 25 o pordebajo según las tablas de la OMS https://www.who.int/childgrowth/es/, consumo habitual de alimentosen su escuela del programa nacional de alimentaciónescolar Kali Warma, reforzado por alimentos deAldeas Infantiles SOS Perú, presentar caries de lainfancia temprana y de caries alto (5, 6). Para elcálculo de la muestra el nivel de confianza fue 95%,el error 5%, valor d=1.5 y σ 10
Se obtuvo el consentimiento de los padres y el dictamen de ética No. 2017-07 de la Universidad Católica de Santa María (UCSM). Tres odontopediatras fueron calibradas por una investigadora seniors de la Facultad de Odontología de la Universidad de Sao Paulo Brasil, con Kappa intra-especialista de 0,9 e inter-especialista de 1.
Los pre escolares fueron atendidos en el centro comunitario Ciudad de Dios de la UCSM. La ficha clínica incluyó las características socio demográficas de los padres y en el examen clínico general de los pre escolares se registró las medidas antropométricas peso/talla (con balanza electrónica de alta precisión) para determinar el IMC, que se obtiene de dividir el peso en kilogramos por la altura elevada al cuadrado expresada en metros, al inicio (línea base) y 12 meses después del tratamiento con las técnicas de mínima intervención (línea de salida).
Durante el examen clínico de la cavidad bucal se observó cambios de color en las mucosas, encía, lengua y en los tejidos duros hipoplasia, hipomineralización, alteración en la cronología y secuencia de erupción. Se aplicó el índice ceo-d de Knutson y Palmer (14), usado por la OMS y el índice PUFA (pulpitis, úlcera, fístula absceso) para la patología pulpar (15), todos los registros clínicos fueron al inicio y al final del estudio después de aplicar las TMI.
Se realizó actividades de promoción y prevención dirigidas a los padres y sus correspondientes hijos sobre buenos hábitos de salud bucal, cepillado dental y alimentación saludable; que forman parte del primer nivel de salud. Los padres fueron instruidos sobre la importancia de buenos hábitos de salud bucal, la técnica de cepillado dental, uso de pastas dentales con alta concentración de flúor (1100 ppm de NaF), cantidad de pasta dispensada sobre el cepillo según edad y el control de azúcares durante el consumo de alimentos.
El diagnóstico preciso de la CPI y la limitación del daño que corresponden al segundo nivel de salud, incluyó tratamientos microinvasivos como la aplicación de flúor barniz (clinpro 3M®) y los sellantes ionoméricos (ketac molar easy mix 3M®); según técnicas estandarizadas por el Ministerio de Salud del Perú (16). El tratamiento restaurador mínimamente invasivo que forma parte del tercer nivel de salud, consistió en la remoción selectiva de caries y el Tratamiento de Restauración Atraumática (TRA), según protocolo de Frencken (17). Los procedimientos clínicos se aplicaron en los 31 pre escolares según las condiciones de diagnóstico establecidas. Hubo necesidad de realizar terapias pulpares y exodoncias en pocos casos.
Se usó el paquete estadístico SPSS versión 23, se calculó las variaciones globales del IMC al inicio, 6 y 12 meses (prueba de Friedman), los valores individuales del peso y talla según los percentiles del IMC (t-Student) y las variaciones del IMC en relación a los tratamientos con las TMI (t-Student y ANOVA de dos vías).
RESULTADOS
A través del estudio se demuestra el impacto de las TMI en el IMC de pre-escolares con CPI, al aplicar las técnicas preventivas, microinvasivas y restauradoras en los 31 pre-escolares, medidos en cortes de tiempo hasta los12 meses después del tratamiento.
Las características socio económicas de las familias demuestran que la mayoría de pre escolares viven con ambos padres en casas de material precario y servicios básicos, los padres tienen mayor grado de instrucción comparados con las madres y trabajo independiente técnico, las madres son en mayoría amas de casa, el ingreso económico mensual en todos los casos fue inferior al mínimo mensual para el Perú: S/1674 (tabla 1).
Según las tablas del Center for Disease Control and Prevention (CDC- https://www.cdc.gov/growthcharts/), las variaciones globales evidencian cambios altamente significativos en el peso (p<0,001) y poco significativos en la talla (p=0,087), que puede deberse a una condición genética de los padres. Los cambios globales del IMC inicial y final según las tablas de la OMS (https://www.who.int/childgrowth/es/) fueron altamente significativos (p<0,001) (tabla 2).
Los valores individuales en el peso y talla inicial, 6 y 12 meses son altamente significativos (p<0,000 y p<0,001 respectivamente), los valores individuales del IMC inicial y final son altamente significativa (p<0,001); el grupo control estuvo conformado por 119 pre-escolares (tabla 3).
Los hallazgos clínicos en los tejidos blandos bucales al final del tratamiento con TMI evidencian cambios positivos y significativos respecto al color de la mucosa de rosa pálido moderado al inicio en 41,9% a un rosa pálido leve al final en 29%; la gingivitis de moderado al inicio en 29% a sano al final en 74,2% (se usó el índice de Löes & Silness) y la lengua saburral severa al inicio en 58,1% a leve al final en 58,1% (tabla 4).
Respecto a los hallazgos en los tejidos duros bucales, el 98% de los pre-escolares tiene caries de la primera infancia y riesgo de caries alto en el 93,5%, el promedio con lesiones de caries al inicio fue 6,58% que disminuyó al final a 1,74%; según la evaluación del índice ceo-d por la OMS una puntuación de más de 6,6 corresponde a muy alto. Respecto a los defectos del desarrollo del esmalte: la hipomineralización fue frecuente en el 45,2%, el retraso de erupción 25,8%, la alteración en la cronología y secuencia de erupción el 29% (tabla 5).
El índice ceo-d de Knutson y Palmer (12), demuestra la historia pasada y presente de la enfermedad, el índice ceo-d global al inicio y final del estudio no registra cambios de valor y es en media: 6,87. Las diferencias se observan en sus componentes: dientes cariados en promedio 6,58 al inicio y 1,74 al final, dientes por extraer en promedio 0,26 al inicio y 0,39 al final, dientes obturados en promedio 0,03 al inicio y 4,74 al final. La principal diferencia se observa en el componente obturado debido al tratamiento con TMI (tabla 6).
La permanencia de los sellantes ionoméricos en los pre escolares al inicio fue 100%, a los 3 meses 78,7% y a los 12 meses 53,9%. Su aplicación constituye un tratamiento microinvasivo que remineraliza los tejidos dentales por la liberación de flúor y detiene la progresión de la lesión inicial de caries porque ofrece un sellado marginal satisfactorio (tabla 7 y gráfico 1).
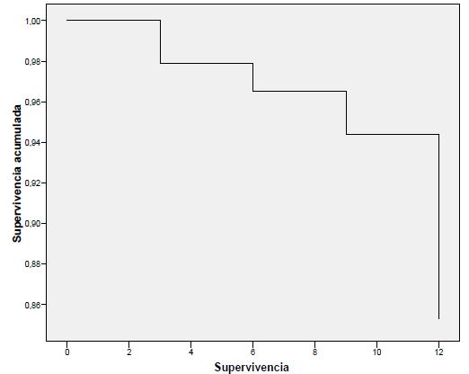
La efectividad de la TRA se evidencia por la sobrevida de los ionómeros de vidrio de alta viscocidad, en el presente estudio de un total de 143 molares: transcurridos 3 meses el 97,9% permaneció en la cavidad bucal, 6 meses el 96,5%, 9 meses el 94,4% y finalmente a los 12 meses el 85,3%. El tiempo promedio de permanencia de los ionómeros fue 11,2 meses; considerado como un valor alto y satisfactorio (tabla 8 y gráfico 2).
Si comparamos la efectividad de la TRA en cavidades de una superfície (oclusal) versus cavidades compuestas (ocluso-proximal), mejor tasa de sobrevida se evidencia en cavidades de una superfície: 91,7% en oclusal y 64,7% en ocluso proximal. A pesar que las propiedades físicas de los ionómeros han mejorado por la incorporación de partículas de zirconio, la sobrecarga oclusal y la extensión de las cavidades limitan su tiempo de vida en boca.











DISCUSIÓN
Los odontopediatras somos responsables de la promoción, prevención, limitación del daño y recuperación de la salud bucal en los niños; debemos establecer alianzas con los padres para motivar las prácticas de buenos hábitos en salud bucal, que incluyen la instrucción del cepillado dental, limitar el consumo de azúcar en la dieta y explicar la importancia de la exposición al azúcar después de los 2 años de vida (19). En los pacientes pediátricos debemos planificar controles periódicos, aplicar fluorterapia, sellantes ionoméricos y seleccionar técnicas restaurativas de mínima intervención como la TRA; para prevenir y controlar la CPI, acciones incluidas en el primer, segundo y tercer nivel de salud.
Las guías de salud bucal y alimentación explican que una buena nutrición permite tener no sólo dientes sanos, sino también encías y boca saludable, sin patologías y en funcionalidad; por otra parte, una dentición en buen estado permite masticar bien los alimentos y contribuye a una buena salud general (18).
En la presente investigación se demostró el impacto de las TMI en el IMC de pre escolares con CIP, al aplicar técnicas preventivas, microinvasivas y restauradoras en los 31 pre escolares, medidos en cortes de tiempo hasta los 12 meses después del tratamiento.
Los resultados evidencian una relación directa entre las variaciones globales e individuales del IMC en pre escolares con CPI después de aplicar las técnicas de mínima intervención; resultados que coinciden con un estudio en el cual se determinó que el tratamiento de la CPI en pre escolares aumenta las tasas de crecimiento y la calidad de vida, se demostró que en presencia de caries severa los pre escolares pesan menos que los controles, después del tratamiento de los dientes cariados hubo un aumento de peso más rápido y mejoras en su calidad de vida (19).
Una revisión sistemática sugiere la relación entre la caries dental y el bajo peso corporal; resultados similares a la presente investigación. Sin embargo, explica que la caries dental puede estar asociada a un IMC alto y bajo, por diferentes factores involucrados durante la progresión de caries en niños con estratos socioeconómicos altos y bajos (20).
Otro estudio en niños de 1 a 5 años, demuestra que condiciones de mal nutrición puede aumentar la susceptibilidad a la caries dental a través de 3 probables mecanismos: defectos en la formación de los dientes (odontogénesis), retraso en la erupción de los dientes y alteraciones en las glándulas salivales. Así, los trastornos nutricionales ejercen un efecto significativo sobre la formación dentaria debido a la interferencia en el desarrollo celular, contribuyendo a la formación de un esmalte hipoplásico, que es más susceptible a la caries (21).
El índice ceo-d global al inicio y final del estudio fue en media 6,87 que se evalúa como muy alto según la OMS y el 98% de los pre escolares presentaron CPI. El estudio mencionado en el ítem anterior sobre estado nutricional y salud bucal en niños de 1 a 5 años, el índice ceo-d en media fue 4,57; valor inferior comparado a los resultados de la presente investigación (21).
Se ha demostrado que el consumo frecuente de azúcar (líquidos azucarados en el biberón), es el principal factor de riesgo de la CPI en niños menores de seis años, otros factores de riesgo que también intervienen son: el cepillado de dientes deficiente, fluorterapia inadecuada, limitación a la atención dental, factores socioeconómicos y educativos de la familia. Otros estudios también han documentado una asociación entre la CIP y malnutrición infantil en países de ingresos bajos y medios, planteando la hipótesis de una asociación bidireccional entre desnutrición y CPI, con consecuencias en la boca como hipoplasia en esmalte, infecciones dentales crónicas, dolor bucal e ingesta nutricional deficiente (22,23).
Así mismo, se ha demostrado que la CPI tiene impacto significativo en la calidad de vida de los niños y sus cuidadores, que incluye síntomas de dolor, limitación funcional, alteración psicológica, angustia de los padres y carga financiera. Además, la experiencia de caries dental en la vida temprana es un fuerte predictor de caries dental en la edad adulta. Se espera que las intervenciones preventivas a edad temprana afecten positivamente en la salud bucal, por lo tanto, se necesitan intervenciones a edad temprana para manejar la enfermedad en sus primeras etapas y aplicar medidas preventivas efectivas para mantener la función, mejorar la salud bucal y la calidad de vida en la edad adulta (24). Los tratamientos preventivos y/o recuperativos de la investigación con TMI en pre escolares con CPI, tuvieron el mismo enfoque de intervenir a edades tempranas para el control de la enfermedad y lograr cambios positivos en el estado de la salud bucal.
Recientemente, en la cumbre global de Bangkok el año 2019, los expertos formularon las siguientes recomendaciones para el abordaje de la CPI: el manejo del proceso de la enfermedad comienza al año de vida y depende de las necesidades individuales según el primer, segundo o tercer nivel de salud; se debe aplicar la educación basada en evidencias y el sistema basado en riesgo de caries, porque permiten cambiar la atención quirúrgica convencional por la mínimamente invasiva; el enfoque preventivo incluye: cepillar los dientes dos veces al día con pasta dental fluorada (al menos de 1000 ppm de NaF) y usar la cantidad de pasta apropiada según edad, evitar el consumo de azúcar en niños menores de dos años y limitar el consumo de azúcar en mayores de dos años; es necesario más investigación sobre el manejo preventivo de la CPI y la calidad de vida relacionada con la salud bucal (25).
Por otra parte, las guías y políticas de manejo para la CPI están orientadas a la determinación del riesgo de caries de forma personalizada, eliminar o limitar los factores de riesgo e identificar y conservar los factores de protección; directivas que se aplicaron en el presente estudio.
En el manejo contemporáneo de la CPI es conveniente establecer un control y monitoreo de los pacientes según el riesgo de caries, realizar un diagnóstico precoz y limitar el daño, que implica el control e inactivación de caries con fluorterapia u otros agentes remineralizantes y aplicar técnicas microinvasivas como los sellantes ionoméricos. Acciones incluidas en el primer y segundo nivel de salud.
Una de las TMI microinvasivas que se aplicó en el estudio son los sellantes ionoméricos, realizados en 141 molares con controles clínicos a los 3, 6, 9 y 12 meses, se evaluó su retención y permanencia considerando los criterios establecidos por García Godoy (26).
Los resultados a los 12 meses evidencianque están completamente presentes en boca el 53,9%. Según el análisis de sobrevida el tiempo de permanencia promedio de los sellantes ionoméricos fue 8,96 meses (la evaluación de la permanencia de los sellantes ionoméricos durante 1 año fue sustentado para la obtención del título de especialista de una de las investigadoras).
Un estudio consideró que los sellantes de ionómero de vidrio se recomiendan cuando existe caries en fosas y fisuras restringidas al esmalte; en dientes libres de caries con morfología de fosas y fisuras profundas y en pacientes evaluados con riesgo de caries alto. La evaluación de los sellantes ionoméricos realizados con la técnica TRA en comunidades con alta experiencia de caries durante un año de acompañamiento mostró índices de retención por debajo del 50% en los primeros molares recién erupcionados (27), los resultados del estudio fueron superiores durante el mismo tiempo de seguimiento.
Otro estudio incluido en una revisión sistemática, demostró que la de retención para los sellantes ionoméricos de alta viscosidad fue 58% versus la tasa de retención completa o parcial de los sellantes resinosos de 42%; aplicados para prevenir la caries dental en dientes permanentes (28), los resultados sobre la retención de los sellantes con ionómero de vidrio de alta viscocidad, fueron similares en los molares deciduos y en ciertos casos en molares permanentes de pre escolares durante un año de seguimiento.
Es adecuado planificar y ejecutar el tratamiento de la CPI con las TMI restauradoras mínimamente invasivas como la remoción selectiva de caries y la TRA, sumado al control permanente de los factores de riesgo en el medio bucal. Acciones que corresponden al tercer nivel de salud (29).
La TRA involucra tratamientos preventivos y restauradores (30), es una técnica eficaz y económica para prevenir y controlar el desarrollo de lesiones cariosas, conserva más tejido dental que el tratamiento convencional, con menor molestia y ansiedad en los pacientes, generalmente no requiere el uso de anestesia local (31). El éxito de la TRA está relacionada con el conocimiento de la técnica clínica, su aplicación paso a paso, la correcta manipulación del ionómero de vidrio de alta viscosidad, su inserción en la cavidad, la presión digital y su protección con vaselina sólida; para obtener el mejor rendimiento clínico que se pueda ofrecer al paciente.
En el presente estudio se controló la correcta preparación del ionómero de vidrio de alta iscosidad y la técnica de aplicación clínica estandarizada por Frencken, con la calibración recibida por la investigadora seniors de la USP y se obtuvo el 85,3% de tasa de permanencia de TRA después de 12 meses. Una evaluación clínica de dos cementos de ionómero de vidrio utilizando TRA obtuvo resultados satisfactorios con tasa de permanencia de 74% después de 1 año (32).
La tasa de permanencia de TRA en cavidades compuestas a los 12 meses fue 64,7 %; se logró mejor resultado en comparación con otro estudio similar: 39% de tasa de supervivencia a los 12 meses (33), (la evaluación de la TRA y la permanencia de los ionómeros de vidrio durante un año fue sustentado para la obtención del título de especialista de otra investigadora).
Durante los últimos 25 años, el enfoque TRA se ha convertido en un activo importante en la salud bucal mundial, tanto en niños como adultos sin acceso o acceso inadecuado a la atención de la salud bucal. Se ha sugerido a la TRA como la medida preventiva más lógica y apropiada para el manejo de la CPI, no solo para los niños de comunidades desfavorecidas, sino también para aquellos que asisten a centros de práctica privada. Si bien, la prevención es la base esencial de la salud bucal, el enfoque TRA es una piedra angular importante en la construcción de la salud bucal mundial. (34) Por el enfoque holístico de la TRA, las investigadoras consideramos ésta técnica como una estrategia ideal para el manejo de la CPI en pre escolares.
Un estudio en niños de edad pre escolar evaluó la tasa de permanencia y rentabilidad de las restauraciones realizadas con TRA, comparada con la técnica convencional (remoción de caries con alta rotación) durante 18 meses de seguimiento. Se llegó a la conclusión que los dientes temporales restaurados con TRA tuvieron mejor tasa de permanencia a los 6, 12 y 18 meses y la CPI más baja en comparación con la técnica convencional (35). Si analizamos los resultados respecto a la aplicación de la TRA en los molares de los pre escolares durante la investigación, coincidimos con las ventajas de la técnica y su efectividad para controlar y detener la CPI.
Recientemente, un estudio comparó la TRA con la restauración terapéutica provisional (RTP) en niños de difícil manejo durante la atención en la consulta odontológica. Se llegó a la conclusión que la TRA y la RTP son enfoques de tratamiento adecuados y similares para el manejo de la caries dental tanto en dientes temporales como permanentes y se realizan utilizando el mismo material (ionómero de vidrio de alta viscosidad). La TRA está indicada en situaciones de difícil acceso a la atención odontológica y la RTP para el tratamiento de pacientes en clínicas dentales con el fin de controlar la progresión de la caries y determinadas características de salud y/o comportamiento del paciente. Las ventajas de la TRA son indiscutibles, se puede usar tanto en salud pública como en la consulta privada, reduce los costos de tratamiento y permite brindar una atención odontológica accesible en lugares distantes como los pre escolares del distrito de Yura a 17 km de la ciudad de Arequipa.
CONCLUSIONES
El aumento progresivo global e individual del IMC se relaciona directamente con la aplicación de las técnicas de mínima intervención para el tratamiento de la caries de la primera infancia que incluye las TMI preventivas, microinvasivas y restauradoras efectivas para recuperar la salud bucal en pre escolares a través del tiempo y constituyen la nueva filosofía de tratamiento odontopediátrico.
Agradecimientos
A la Dra. Daniela Prócida Raggio, Profesora Asociada de la Disciplina de Odontopediatría de USP y Profesora del Programa de Post Graduación en Ciencias Odontológicas de la Universidad de Sao Paulo Brasil.
Al Sr. Rector de la UCSM Dr. Manuel Briceño Ortega, por su apoyo con la movilidad del equipo investigador hacia el distrito de Yura y de los pre escolares hacia el Centro de Salud de la UCSM.
REFERENCIAS BIBLIOGRÁFICAS
1. Hartman C, Shamir R. Evaluación clínica básica de la malnutrición pediátrica. Ann Nestlé. 2009; 67:55–64. DOI: 10.1159/000278700
2. Sheetal A, Hiremath V, Patil A, Sajjansetty S, Kumar S. La desnutrición y su resultado oral - Una revisión. J Clin Diagn Res. 2013; 7 (1): 178-180.
3. Słotwińska S, Słotwiński r. Respuesta del hospedador, obesidad y salud bucal. Cent Eur J Immunol. 2015; 40 (2): 201-205.
4. Psoter WJ, Reid BC, Katz RV. Desnutrición y caries dental: una revisión de la literatura. PMC. 2005;39 (6): 441-447.
5. Ramos-Gomez F, Man-Wai Ng. Into the Future: Keeping Healthy Teeth Caries Free: Pediatric CAMBRA Protocols. J Calif Dent Assoc. 2011; 39(10): 723–733.
6. Caries Care International. What is cariescare international? Caries Care International; 2019. (Citado el 15 de setiembre del 2021) Disponible en: https://cariescareinternational.com/
7. Santamaria RM, Innes NPT, Machiulskiene V, Evans DJP, Splieth CH. Caries management strategies for primary molars: 1-Yr randomized control trial results. J Dent Res. 2014; 93 (11): 1062-1069. doi: 10.1177/0022034514550717
8. Serpa E, Clementino M, Granville-Garcia A, Rosenblatt A. The effect of atraumatic restorative treatment on adhesive restorations for dental caries in deciduous molars. 2017;35(2):167-173. doi: 10.4103/JISPPD. JISPPD_98_16
9. Stafuzza T, Lourenco L, Rios D, Cruvinel T, Andrade M, Marchini T. Clinical and Radiographic Success of Selective Caries Removal to Firm Dentin in Primary Teeth: 18-Month Follow-Up. Case Rep Dent. 2018; 2018: 9213681.doi: 10.1155/2018/9213681
10. Pugach M, Strother J, Querido C, Frito D, Gansky S, Marshall S. y Marshall G. Dentin caries zones. Mineral, structure and properties. J Dent Res. 2009; 88(1): 71–76. doi: 10.1177/0022034508327552
11. Jingarwar MM, Bajwa NK, Pathak A. Minimal intervention dentistry – a new frontier in clinical dentistry. J Clin Diagn Res. 2014; 8(7): ZE04–ZE08.
12. Frencken J, Peters M, Manton D, Leal S. Minimal Intervention Dentistry (MID) for managing dental caries – a review. Int Dent J. 2012;62(5):223-43. doi:
13. Frencken JE, Leal SC, Navarro MF. Twenty-five-year atraumatic restorative treatment (ART) approach: A comprehensive overview. Clin Oral Investig. 2012; 16: 1337-46.
14. Knutson JW. An index of the prevalence of dental caries in school children. Public Health Rep 1944; 59(8): 253-263.
15. Monse B. An index of clinical consequences of untreated dental caries. Community Dent Oral Epidemiol. 2010; 38: 77–82.
16. Ministerio de Salud del Perú. Guía técnica: práctica de restauración atraumática. Lima, Perú: Ministerio de Salud del Perú; 2006.
17. Frencken J, Coelho S, Fidela . Twenty-five-year atraumatic restorative treatment (ART) approach: a comprehensive overview. Clin Oral Invest. 2012;16:1337–1346. DOI 10.1007/s00784-012-0783-4
18. López ML.'Salud Bucal y alimentación: papel de la nutrición en la salud bucodental. Madrid; 2012.
19. Sheiham A. Dental caries affects body weight, growth and quality of life in pre-school children. Br Dent J. 2006;201(10):625-6. doi: 10.1038/sj.bdj.4814259
20. Hooley M, Skouteris H, Boganin C, et al. Body mass index and dental caries in children and adolescents: a systematic review of literature published 2004 to 2011. Syst Rev. 2012;1:57. doi: 10.1186/2046-4053-1-57
21. Vieira KA, Rosa-Júnior LS, Souza MAV, Santos NB, Florêncio TMMT, Bussadori SK. Chronic malnutrition and oral health status in children aged 1 to 5 years: An observational study. Medicine (Baltimore). 2020;99(18): e19595. doi: 10.1097/MD.0000000000019595.
22. Athavale P, Khadka N, Roy S, et al. Early childhood junk food consumption, severe dental caries, and undernutrition: A Mixed-Methods Study from Mumbai, India. Int J Environ Res Public Health. 2020;17(22):8629. doi: 10.3390/ijerph17228629
23. World Health Organization. Guideline sugars intake for adults and children. Ginebra: World Health Organization; 2015.
24. Arrow P, McPhee R, Atkinson D, et al. Minimally invasive dentistry based on atraumatic restorative treatment to manage early childhood caries in rural and remote aboriginal communities: Protocol for a randomized controlled trial. JMIR Res Protoc. 2018; 7(7): e10322. doi:10.2196/10322
25. Pitts, N, Baez, R, Diaz-Guallory C. et al. Early Childhood Caries: IAPD Bangkok Declaration. Int J Paediatr Dent. 2019; 29: 384-386.
26. Gonzáles R, Gonzáles G. Odontología micro y mínimamente invasiva, selladores. Caracas: Universidad Central de Venezuela; 2013
27. Vieira A, Zanella N, Bresciani E, et al. Evaluation of glass ionomer sealants placed according to the ART approach in a community with high caries experience:1-year follow-up. J Appl Oral Sci. 2006;14(4):270-5. doi: 10.1590/s1678-7757200600040001
28. Ahovuo-Saloranta A, Forss H, Walsh T, Nordblad A, Mäkelä M, Worthington H. Pit and fissure sealants for preventing dental decay in permanent teeth. Cochrane Database Syst Rev. 2017;7(7):CD001830. doi: 10.1002/14651858
29. Luengo JA, Martínez SM, Carlos ML, Toscano GI. Retención y efecto anticariogénico de los selladores en molares primarios. Ensayo clínico controlado. Revista de Odontopediatría Latinoamericana. 2014; 4(1): 29-40
30. Molina G, Cabral R, Frencken J. The ART approach: clinical aspects reviewed. J Appl Oral Sci. 2009;17 Suppl(spe):89-98. doi: 10.1590/s1678-77572009000700016
31. Arun S, Bhumika, Sreekumaran N. Does atraumatic restorative treatment reduce dental anxiety in children? A systematic review and meta-analysis. Eur J Dent. 2015; 9(2): 304-309. doi: 10.4103/1305-7456.156841
32. Asociación Brasilera de Odontopediatría. Manual de Referencia para procedimientos en Odontopediatría. Sao Paulo: Asociación Brasilera de Odontopediatría; 2014. (Citado el 15 de setiembre del 2021) Disponible en : https://backup.revistaodontopediatria.org/publicaciones/manuales/referencia-para-procedimientos-en-odontopediatria-2da-edicion/Manual-de-Referencia-para-Procedimientos-en-Odontopediatria-2da-edicion.pdf
33. da Franca C, Colares V, Van Amerogen E. Two-year evaluation of the atraumatic restorative treatment approach in primary molars class I and II restorations. Int J Paediatr Dent. 2011;21(4):249-53. doi:10.1111/j.1365-263X.2011.01125.x
34. Frencken JE, Leal SC, Navarro MF. Twenty-five- year atraumatic restorative treatment (ART) approach: a comprehensive overview. Clin Oral Invest. 2012; 16: 1337–1346. DOI: 10.1007/s00784-012-0783-4
35. Shilpashree KB, Chaithra V, Bhat A, Krishnamurthy A. Survival rate and cost-effectiveness of conventional and atraumatic restorative treatment restorations among Anganwadi Preschool Children in Bengaluru City: A follow-up study. Indian J Community Med. 2021;46(2):226-231. doi: 10.4103/ijcm.IJCM_226_20
Notas
Notas de autor
Correspondencia: Zaida Moya-de-Calderón Dirección: Calle Alfonso Ugarte 209 Yanahuara. Arequipa, Perú. Correo electrónico: zmoya@ucsm.edu.pe
Declaración de intereses
Enlace alternativo
https://revistas.upch.edu.pe/index.php/REH/article/view/4178/4732 (pdf)