Estudios
¿Conocían los lógicos medievales el sistema S5 de Lewis? Una respuesta desde el octágono modal medieval
Did Medieval Logicians know the S5 Lewis Modal System? An answer from the Medieval Modal Octagon
¿Conocían los lógicos medievales el sistema S5 de Lewis? Una respuesta desde el octágono modal medieval
Revista de Filosofía Open Insight, vol. XI, núm. 21, pp. 87-112, 2020
Centro de Investigación Social Avanzada

Recepción: 16 Septiembre 2019
Aprobación: 12 Diciembre 2019
Resumen: En este ensayo abordamos el octágono modal medieval y encontramos que dos oraciones ahí presentes admiten conversión simple, que se expresa como equivalencia. Dichas equivalencias pueden demostrarse en el sistema modal S5 de C. I. Lewis. Comenzamos mostrando la relevancia de S5, luego mostramos teoremas típicos de diferentes lógicas modales (K,T, S4, B y S5) y luego abordamos la argumentación medieval. Esta argumentación requiere formularse en S5, lo que nos permite una respuesta, en algún sentido afirmativa, a la pregunta inicial.
Palabras clave: lógica medieval, modalidad, octágono modal, sistema S5 de Lewis.
Abstract: We address in this essay the medieval modal octagon and find that two sentences there admit simple conversion, which is expressed as equivalence.Those equivalences can be proved in the S5 Lewis Modal System. We begin by showing the relevance of S5, then we show typical theorems of different modal logics (K,T, S4, B and S5) and then we address the medieval argumentation. This argument requires to be formulated in S5, which allows us to give an, in some sense, affirmative answer to our initial question.
Keywords: Lewis S5 modal system, Medieval Logic, Modality, Modal Octagon.
0. Introducción
La pregunta del título no es una pregunta retórica, aunque la respuesta sea obvia. El sistema modal S5 se formuló en el siglo pasado y ningún medieval, por longevo que haya sido, habría podido llegar a conocerlo. Por otra parte, la respuesta desde el octágono no es una respuesta negativa, así que debo explicar al lector en qué consiste nuestra pregunta y nuestra respuesta. Presupongo en el lector algunos conocimientos: sabe algo de la lógica en la Edad Media y conoce la lógica modal contemporánea. Sabrá, entonces, la dificultad de ambas cosas, la lógica medieval y su lenguaje técnico con poco recurso al simbolismo, y la lógica contemporánea con tanto recurso al simbolismo; en ambas está presente el aspecto formal de la lógica y en ambas es difícil traducir de una lógica a otra.
¿Qué pasaría si el teorema de Pitágoras hubiera sido descubierto por otra persona, digamos, por Arquímedes? Pues tendría otro nombre, pero seguiría estando «ahí». El sistema modal S5 permite varias cosas, como por ejemplo entender que si Pedro está repicando no puede estar en la procesión, lo que nos lleva a notar que si está en la procesión no puede estar repicando. Esta es una verdad de Perogrullo, pero si el amable lector me pidiera una demostración tendría yo que recurrir al Sistema S5 de C. I. Lewis para formular la prueba. Si le pidiéramos al medieval una demostración no podría recurrir al Sistema S5 de C. I. Lewis, y no obstante, sí podría ofrecer una demostración. Parto del octágono medieval (hay otras vías) porque me parece más sencillo: si cuantificamos la oración de Perogrullo tendríamos «Nadie que esté en la procesión puede estar repicando» que equivale a «Nadie que esté repicando puede estar en la procesión», y ya estamos en el corazón del problema. El cómo puede hacerlo, es decir, justificar esa inferencia, es el tema principal de este ensayo.
1. Lógica modal y sistemas modales
La lógica modal alética (la lógica de las nociones de posibilidad y necesidad) ha tenido un desarrollo considerable en la segunda mitad del siglo xx, especialmente en la llamada «Semántica de los mundos posibles». Un mundo posible se puede entender así: supongamos una situación donde son verdaderas tres proposiciones cualesquiera. Pues bien, podemos considerar todas las variantes de dichas proposiciones de tal manera que en ninguna de ellas encontremos una proposición y su negación.Tenemos, pues, ocho variantes, ocho situaciones posibles; a cada una de ellas le llamaremos mundo posible y en donde tres proposiciones son verdaderas, o verdaderas en ese mundo posible. Los inicios de la lógica modal en el siglo XX fueron sintácticos y presentados axiomáticamente por Clarence Irving Lewis, luego se desarrolló una semántica por parte de autores como Jaakko Hintikka, Saul Kripke y otros.
Dicha semántica se ha aplicado a diferentes áreas de la filosofía donde se estudian las nociones deónticas (deber, permisión), epistémicas (saber, creer), temporales y otras a las que pueden llamarse también lógicas «modales», en sentido amplio; en sentido estricto «modales» se refiere a los sistemas de lógica modal alética. Existen varios sistemas modales denominados SK, ST, S4 y S5, que presentan una relación de inclusión, pues SK está contenido en ST, ST en S4 y S4 está contenido en S5. Diremos brevemente: dado un mundo m donde tenemos una proposición necesaria (una proposición con el operador de la necesidad), el Sistema K puede transmitir dicha proposición al mundo siguiente al que tiene acceso quitando el operador de la necesidad; el Sistema T quita el operador en ese mismo mundo; el Sistema S4 transmite la necesidad al mundo siguiente y el Sistema S5 puede transmitirla al mundo siguiente y a un mundo anterior, si lo hay. Hay más sistemas, pero estos son los principales. Más adelante los explicaremos en detalle.
Los sistemas modales permiten diferentes cosas en diferentes áreas, por ejemplo, en ética y filosofía de la religión. Algunos argumentos sobre la contingencia del acto libre y algunas versiones del argumento ontológico de la existencia de Dios recurren a la lógica modal para expresar la fuerza de sus planteamientos. Una persona puede realizar algunas acciones mediante libre albedrío, y si esto es así, también puede omitirlas, lo cual quiere decir que dicha acción tiene que ser contingente o, como dice Henry von Wright, “…la realización y omisión de acciones son contingencias lógicas” (von Wright, 1985: 73); si negamos esto la acción sería necesaria o imposible, y entonces no sería una acción libre. Cuando relacionamos esto con la libertad, podemos afirmar que dicho acto, la acción libre, tiene que ser contingente, es decir, es necesario que pueda realizarse y pueda no realizarse. El sistema modal S5 puede mostrar que la necesidad, aunque suene paradójico, es un atributo modal de la contingencia, es decir, que una proposición contingente no puede ser de otro modo, tiene que ser contingente.1
El argumento ontológico de la existencia de Dios se puede presentar reformulado en versiones modales,2 en alguna de ellas se tiene una premisa afirmando que si una proposición puede ser necesaria, entonces lo es. Podría uno pensar en una falacia: el paso de la posibilidad a la necesidad (como en el caso de la proposición contingente: si es contingente, es necesario que lo sea), pero no hay falacia. Se arguye así: una proposición posible es verdadera en algún mundo posible, así que la proposición que puede ser necesaria es necesaria en algún mundo posible. Si lo es, los diferentes sistemas modales pueden «transmitir» la verdad de esa proposición a otros mundos, y no solo eso, también pueden transmitir la necesidad de tal manera que la proposición necesaria es necesaria (no solo verdadera) en todo mundo posible. Los sistemas modales, como hemos dicho, se caracterizan por la manera en que «transmiten» la necesidad a otros mundos. El sistema S5 de Lewis permite transmitir una proposición necesaria a cualquier mundo posible, y por lo tanto, al mundo real también. El sistema que nos sirve para tratar cabalmente nuestros dos ejemplos es el sistema S5 de C. I. Lewis, el más potente de los sistemas modales.
Estos sistemas modales y su semántica pueden ser considerados como uno de los logros más importantes de la filosofía contemporánea, y han tenido muchas repercusiones en las llamadas lógica epistémica, lógica deóntica, lógica temporal y otras que constituyen las lógicas «modales», en sentido amplio. En 1951 G. H. von Wright escribía un ensayo que “recibió su impulso de la observación de ciertas analogías entre los conceptos modales y cuantificadores” y equiparaba como “estructuralmente idénticas” las nociones «todo», «algo» y «nada» con «necesario», «posible» e «imposible» respectivamente, pero trata además modalidades epistémicas y deónticas. (von Wright, 1971: 7). Pues bien, varios siglos antes, los pensadores medievales ya reconocían estas analogías entre cuantificación y modalidad. Decía Tomás de Aquino que lo necesario tiene similitud con el cuantificador universal afirmativo, pues lo que es necesario siempre es; lo imposible con el cuantificador universal negativo pues lo que es imposible nunca existe.3 La posibilidad la equipara al cuantificador particular. Reconoce cuatro modos: posible, necesario, imposible y contingente.
2. La lógica medieval y la lógica modal
La lógica medieval ha sido estudiada con mucha atención desde hace más de medio siglo y estamos lejos de quienes pensaban que los medievales se contentaban con repetir humildemente la lección de Aristóteles, o que la lógica no había dado un paso adelante desde el Estagirita. De hecho, los medievales llevaron la lógica a extremos insospechados asimilando la lógica aristotélica y la lógica megárico-estoica; incluso reconocieron y desarrollaron las «analogías formales» entre las lógicas modales epistémicas4, temporales y otras, como podemos constatarlo en Guillermo de Ockham cuando dice que hay más modos que los mencionados arriba, pues así como una proposición es modal cuando lleva un modo, así también las proposiciones conocidas, desconocidas, proferidas, concebidas, creídas, escritas, opinadas, dudadas, y otras bien pueden también llamarse modales.5 Y tiene razón, esas expresiones funcionan como operadores modales (en el sentido amplio de la palabra).
Encontramos también desarrollos y expansiones del famoso cuadrado de oposición en los octágonos de Jean Buridan, en el siglo XIV. Contamos con octágonos con predicado cuantificado, octágonos que combinan cuantificación y modalidad y octágonos para relaciones de genitivo.6 Dichos octágonos preservan las relaciones entre las proposiciones del cuadrado tradicional, a saber: contrarias, subcontrarias, subalternas y contradictorias, pero los octágonos no pueden «reducirse» al cuadrado tradicional pues presentan una relación entre proposiciones que no se encuentra en el cuadrado y los medievales llamaban a esas proposiciones proposiciones disparatae; se trata de proposiciones lógicamente independientes que no se implican ni se contradicen y que están en el centro del octágono.7 Es importante señalar que los lógicos medievales encontraron cosas que no se encuentran en Aristóteles; aparte de esa relación de independencia lógica encontramos también la «presencia» del sistema S5, es decir, teoremas que nosotros probamos en S5, precisamente en el octágono modal y las relaciones de conversión. Expondremos en detalle los sistemas modales.
3. Los diversos sistemas modales y la relación de accesibilidad
Comenzaremos exponiendo (3.1) los teoremas típicos de dichos sistemas, pues ilustran la manera en que se transmite el operador de la necesidad y luego (3.2) presentamos el octágono modal de oposición y equivalencia del cual obtenemos un par tesis medievales, los teoremas de conversión simple para la proposición universal negativa y la particular afirmativa. Mostramos la prueba medieval para los teoremas y una versión contemporánea de los mismos. Sin embargo, los teoremas son inválidos en estas versiones. Existe una equivalencia admitida por los medievales y que les sirve para probar sus teoremas. Dicha equivalencia es inválida para nosotros a menos que (4) hagamos explícito un presupuesto medieval, y con esto los teoremas admiten su cabal expresión y prueba en el sistema S5 de Lewis. Los autores medievales corresponden a dos lógicos del siglo catorce, Alberto de Sajonia y Jean Buridan. Presentamos una técnica nuestra8 de exposición basada en la relación de accesibilidad entre mundos posibles. Presuponemos en el lector cierto dominio de la lógica modal proposicional y cuantificación.
3.1. Los sistemas modales
La relación de accesibilidad es como sigue: tomemos dos mundos posibles, m1 y m2. Pues bien: m1 es accesible a m2 si lo que es posible en m1 es verdadero en m2. Podemos expresar esto en el siguiente esquema

Cuando en un mundo posible hay una proposición necesaria, tenemos varias opciones: eliminar el operador de la necesidad, y tendremos entonces la proposición asertórica sin más en dicho mundo, o «transmitir», pasar esa proposición al mundo inmediato siguiente sin el operador modal, o transmitir la proposición incluyendo el operador de la necesidad (que a su vez puede transmitirse o no al mundo siguiente), o transmitir la proposición (con operador o sin él) al mundo inmediato anterior. Estas estrategias nos definirán los diferentes sistemas modales.
3.1.1. El sistema K
El sistema K es el más débil, pero contiene toda la lógica elemental (y varios teoremas, como el de la distribución de la necesidad), pues si una fórmula es teorema de la lógica puede derivarse en este sistema. Si A es teorema entonces A es necesario. Si una fórmula es necesaria en un mundo, es verdadera en el mundo siguiente:

3.1.2. El sistema T
La fórmula típica de T es la siguiente, expresada con una variable proposicional y el operador de la necesidad. Una fórmula que es necesaria en un mundo, es verdadera sin más en ese mundo.

La relación reflexiva, típica de T podemos expresarla así:

Notemos de paso que no vale lo mismo para el operador de la posibilidad, pues la relación de accesibilidad la hemos establecido entre una proposición posible y su asertórica en otro mundo. «Asertórica» en este contexto quiere decir una proposición sin operador modal. Si una proposición es posible en un mundo, de ahí no se sigue que sea verdadera sin más en dicho mundo, aunque valga la conversa, si es verdadera, es posible en dicho mundo, pero no nos hace falta para nuestros fines.
Una fórmula modal es válida si su negación es imposible, es decir, contradictoria, según el Principio de No Contradicción. Si negamos la fórmula típica de T obtenemos un mundo contradictorio. La negación de la fórmula, digamos en m1:

nos conduce al antecedente y la negación del consecuente, todo en m1 por la relación reflexiva obtenemos

3.1.3. La fórmula típica de S4
La fórmula típica de S4 establece que si una proposición es necesaria, es necesario que sea necesaria. Transmite el operador de la necesidad a mundos siguientes:

Las equivalencias entre los operadores modales resultan imprescindibles para continuar, son éstas:

Si negamos la fórmula típica de S4 obtenemos antecedente y negación del consecuente:

Pero, dada la equivalencia del consecuente, tenemos:

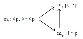
El consecuente nos lleva a la relación de accesibilidad, a un mundo 2 donde es verdadero ~▯p, que a su vez equivale a ◊~p lo cual nos conduce a un mundo 3 donde es verdadero ~p y puesto que en el mundo 1 p es necesario, es verdadero en el mundo 3, lo cual nos conduce a un mundo contradictorio. Comencemos siempre la relación de accesibilidad con las proposiciones con el operador de la posibilidad. Graficamos así

m1: ▯p, ◊~ ▯p y Am1m2: ~ ▯p, pues lo que es posible en m1 (◊~ ▯p) es verdadero en m2 (~ ▯p, que equivale a ◊~p), lo cual nos conduce a m3 (~p) puesto que p es necesaria en m1, es verdadera en m3 (puede entenderse también así: la formula necesaria en cierto mundo pasa al mundo siguiente con el operador y de ahí al siguiente ya sin el operador –como en K).
La relación de accesibilidad es transitiva: Am1m2, Am2m3, Am1m3
La transitividad define al sistema S4 de Lewis. Quizá sea más expresivo este modelo

3.1.4. La fórmula típica de S5
La fórmula típica de S5 establece que si una proposición es posible, es necesario que sea posible. La fórmula necesaria puede ir «hacia atrás», a mundos anteriores conservando el operador. De hecho refuerza esta intuición: una proposición necesaria es necesaria en todo mundo posible, y una proposición posible en un mundo lo es en todo mundo posible:

Con su negación obtenemos antecedente (◊p) y negación del consecuente (~▯◊p, que equivale a ◊~◊p). El antecedente nos remite a un mundo 2 donde p es verdadera; la negación del consecuente nos remite a un mundo 3 donde es verdadero ~◊p, que equivale a ▯~p y que por ser necesaria es verdadera en todo mundo posible, por lo tanto lo es en el mundo 2 y obtenemos así el mundo contradictorio.

Donde tenemos que Am1m2, Am2m3, Am3m2 la relación es simétrica, la dirección de una de las flechas va en sentido inverso, «de regreso» de un mundo a otro, como se ve en esta gráfica alternativa a la anterior:

3.1.5. La fórmula típica de SB
La fórmula típica de SB establece que si una fórmula es verdadera, es necesario que pueda ser verdadera. Su punto de partida es una proposición asertórica, es decir, verdadera en el mundo real.

Su negación nos da antecedente verdadero y consecuente falso; el consecuente equivale a ◊~◊p que nos remite a un mundo 2 donde vale ~◊p, que a su vez equivale a ▯~p y que al ser una proposición necesaria es verdadera en todo mundo posible, especialmente en el mundo 1 y así obtenemos nuestro mundo contradictorio.

La relación es simétrica, Am1m2 y Am2m1 pero menos compleja que en S5, pues abarca solamente dos mundos, el real y uno posible. Sabemos que m1 es el mundo real porque es el mundo de partida y tiene una fórmula asertórica, llamada también deinesse. La fórmula típica de B tiene como antecedente una fórmula asertórica; en S5 el antecedente es modal.
Hemos visto que las relaciones de accesibilidad son reflexivas en ST, transitivas en S4 y simétricas en SB y S5:

3.2. El octágono modal medieval y la conversión simple
La conversión consiste en cambiar el orden de los términos de una proposición categórica, como las proposiciones del cuadrado de oposición. Jean Buridan propone tres octágonos de oposición, uno para proposiciones con sujeto y predicado cuantificados, uno para relaciones y otro para proposiciones que combinan cuantificación y modalidad. Ejemplos de proposiciones de cada octágono son «Todo A es algún B», «Todo A posiblemente es B» y «De todo A algún B es C» respectivamente.
El octágono modal queda expresado en la figura de abajo, traducido a nuestro simbolismo y simplificando un poco, pues de hecho Buridan presenta cada extremo constando de nueve proposiciones equivalentes combinando las equivalencias entre conectivas, cuantificadores y modalidad. Utilizamos las letras medievales A, E, I y O para compactar una expresión. Tendremos dos letras, una para indicar el cuantificador de la proposición y otra para el modo. «AA» quiere decir la proposición con cuantificador universal afirmativo y modo «universal», esto es, necesario. «AE» cuantificador universal y el modo necesario seguido de la negación, corresponde al modo «universal» negativo, y así de los demás.

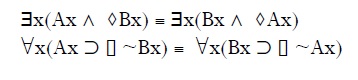
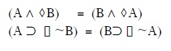
El extremo inferior izquierdo II y el extremo superior derecho AE, la particular afirmativa y la universal negativa respectivamente, admiten conversión simple pasando B al lugar de A y A al de B:

Tomemos dos ejemplos:
«Algún francés puede ser filósofo» equivale a «Algún filosofo puede ser francés»
y
«Ningún hombre puede ser un oso» equivale a «Ningún oso puede ser un hombre».
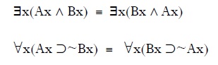
Las equivalencias parecen intuitivamente verdaderas, y sus respectivas asertóricas son válidas y tienen esta forma:

3.2.1. La conversión simple de proposiciones asertóricas y modales
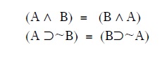
Podemos omitir los cuantificadores para mostrar su validez, pues ejemplifican teoremas de la lógica proposicional.

Sin embargo las conversiones modales son inválidas, y no es por los cuantificadores.

Comencemos con la particular afirmativa:

Recordemos que la equivalencia consta de dos implicaciones

En la primera implicación podemos pasar de A a ◊A sin problemas, pero no podemos concluir B a partir de ◊B; lo misma aplica para la segunda implicación donde no podemos pasar de ◊A a A sin más. El «teorema» pues, tal y como está expresado, no es válido. En términos de mundos posibles lo expresamos así: de un mundo posible al mundo real no vale la inferencia.
El segundo también es inválido:

Pues las implicaciones

tienen este problema: supongamos, por prueba del condicional (A ⊃ ▯~B) para probar (B ⊃ ▯~A), y por la misma regla tendremos B para probar ▯~A; B puede admitir el operador de la posibilidad ◊B, que es equivalente a ~▯~B, que es la negación del consecuente, lo que nos lleva a negar el antecedente A, pero la conclusión a probar es ▯~A. El problema es que no podemos pasar de ~A a ▯~A sin más. Lo mismo se aplica a la implicación inversa: no podemos pasar de ~B a ▯~B. En términos de mundos posibles: pasar de falso en el mundo real a falso en todo mundo posible no es buena inferencia.
3.3. La conversión medieval
3.3.1. La conversión de la universal negativa
Jean Buridan y Alberto de Sajonia insisten en que los teoremas son válidos, e incluso ofrecen una prueba. Alberto dice que una universal negativa con los términos traspuestos es buena inferencia y lo prueba así:
[…] pues se sigue correctamente «todo A es necesario que no sea B; luego todo B es necesario que no sea A», pues del opuesto del consecuente, a saber, «algún B puede ser A», se sigue el opuesto del antecedente, a saber, «algún A puede ser B», por la primera regla; luego, la primera consecuencia es buena.9
Simplificando el teorema, pues los cuantificadores no son relevantes ahora, la prueba de Alberto es así:

Pues si negamos la conclusión obtenemos ~ (B ⊃ ▯~A), que equivale al antecedente B y la negación del consecuente, ~▯~A,que equivale a ◊A, lo que nos da (B ∧◊ A). Ahora bien, y este es el paso importante, esta proposición equivale a (A∧ ◊ B), que contradice al antecedente. No se puede negar la conclusión sin caer encontradicción.
La siguiente prueba muestra el paso problemático, el paso 4, la conversión de 3, que trastoca el lugar del modo: de una parte de la conjunción lo pasa a la otra: B ∧ ◊A, ◊B ∧ A y por conmutación tenemos A ∧ ◊B

Hemos visto que esa «conversión» presenta problemas, no es válida según nuestra formalización. Si la aceptamos, cometemos cierta petición de principio: validamos la conversión modal de la universal negativa basándonos en la conversión modal de la particular afirmativa. Pero vayamos a esa regla 1 de Albertuccio.
Al comienzo del capítulo 5 establece quince reglas y cinco presupuestos: las equivalencias entre necesidad y posibilidad con ayuda de la negación, equivalencias entre expresiones como «imposible» y «no es posible», equivalencias entre modos dentro de proposiciones, las relaciones de contradicción entre proposiciones modales10 y la restricción en proposiciones modales.
3.3.2. La restricción y la ampliación modal
Alberto de Sajonia establece la ampliación modal así: en una proposición modal donde el modo está dentro de la proposición “el sujeto se amplía para suponer en lugar de aquellos que son, o pueden ser”.11La ampliación consiste en, valga la redundancia, ampliar la referencia del sujeto no solo a lo actual sino también a lo pasado, futuro o posible. Nos interesa la ampliación hacia lo posible. La operación inversa es la restricción.
Explica la restricción así: hay una diferencia entre decir «B puede ser A», y «lo que es B puede ser A». En el primer caso B se puede referir a lo que es, o fue, o será, o puede ser; así tendremos:
«lo que puede ser B puede ser A», o «lo que fue B puede ser A», o «lo que será B puede ser A».
El sujeto —la referencia del sujeto— está «ampliado» pues puede referirse a lo posible, a lo pasado o a lo futuro.12 En el segundo caso el sujeto —puesto entre [ ]— está restringido a lo que es, al presente. Puede restringirse a otros tiempos
«[lo que fue B] puede ser A»
La cuarta regla establece la ampliación modal de los sujetos —puesto entre corchetes— así:
B puede ser A
hay que entenderla como y de hecho implica:
[lo que es B o puede ser B] puede ser A
A la operación inversa la llamaré «restricción», lo que es.
Pero la primera regla, usada en el paso 4 de la prueba anterior, no se refiere a la conversión de la particular afirmativa, se refiere a la equivalencia entre «imposible» y «no es posible». La regla en cuestión es la décima regla que dice así: “«De toda proposición afirmativa de posible se sigue una particular afirmativa de posible, con los términos transpuestos»; por ejemplo «B puede ser A, luego algún A puede ser B»” y ofrece esta prueba:
Es claro, pues si B puede ser A, significaría a un determinado B; llamémosle «C»; entonces se sigue expositoriamente: «este C puede ser B, este mismo C puede ser A, luego lo que puede ser A es o puede ser B»; de lo que se sigue: «luego A puede ser B».13
Tratemos de reconstruir su prueba, aunque no nos resulte tan concisa como la de Alberto; la introducción de «C» nos recuerda que la fórmula original está particularmente cuantificada. Recordemos que se trata de proposiciones modales divisas, esto es, con un operador modal dentro de una proposición, en este caso cuantificada. El octágono trata con estas proposiciones. La conversión simple de la particular afirmativa se expresa, ya lo hemos visto, así

Probamos solo una parte de la equivalencia pues las pruebas son simétricas y añadimos la lectura medieval entre paréntesis:

El paso de 8 a 9 es el que presenta problemas, pues pasa sin más de lo posible a lo actual.Volveremos ahí.
4. Lo presupuesto en las equivalencias medievales de ampliación y conversión
4.1. La universal negativa es implicación necesaria
Hasta aquí los teoremas medievales han resultado inválidos, pero hemos podido detectar en donde está el problema, en qué pasos de cada prueba hay algo «sospechoso». La universal negativa presenta menos problemas pues nos remite a la conversión de la particular afirmativa. Por otra parte, es posible su validación sin recurrir a ella. En efecto, en nuestra versión simplificada omitiendo los cuantifica-dores

las partes de la equivalencia son implicaciones materiales, pero notamos que para Alberto de Sajonia y otros una verdadera implicación es necesaria14, es decir, tiene esta forma

donde la flecha indica la llamada implicación estricta, que se define así

Recordemos que si la negación de una fórmula modal conduce a un mundo contradictorio, la fórmula original es teorema de algún sistema modal.Veamos la conversión de la universal negativa ahora expresada con implicación estricta.
En m1 tenemos antecedente y negación de consecuente, es decir: (A
▯~B) y ~(B
▯~A) que equivale a ◊(B ∧◊A), así que en nuestro mundo inicial m1 tenemos dos proposiciones: (A
▯~B), ◊ (B∧ ◊ A). Debemos comenzar siempre con las proposiciones de posible pues «abren» un mundo que puede ser llenado con las proposiciones necesarias. Así, por la relación de accesibilidad obtenemos m2 donde (B∧◊A) es verdadera, y de ◊A obtenemos m3 donde A es verdadera. Por el sistema S4 enviamos (A
▯~B) de m1 a m3 sin el operador de la necesidad, es decir, (A ⊃ ▯~B), así que en m3 obtenemos ▯~B por modus ponens.15 Ahora bien, por S5 enviamos ~B hacia m2, «de regreso», con lo que obtenemos nuestro mundo contradictorio, q.e.d.; la fórmula es válida en S5.
Aquí su modelo:

La conversión modal de la universal negativa vale para todo mundo posible y el teorema es válido en el sistema S5 de Lewis. Pero debemos validar la conversión modal de la particular afirmativa, así que vayamos al siguiente presupuesto.
4.2. Lo presupuesto en la ampliación y restricción modal
Buridan es explícito cuando dice que el restringir arbitrariamente el sujeto de las proposiciones modales a lo que es, puede conducir a falsedades. Las proposiciones «el creador necesariamente es Dios», «El anciano puede ser niño», «El Anticristo puede existir» son falsas si el sujeto refiere solo a lo que es, si se restringen al mundo real, pero las expresiones no exigen esa restricción, que es arbitraria. La primera es falsa cuando Dios no ha creado todavía, la segunda porque el anciano no puede ser niño.16
Buridan parece aceptar algo más fuerte: proposiciones como «B puede ser A» y «B tiene que ser A» son equivalentes a «Lo que es o puede ser B puede ser A» y «Lo que es o puede ser B tiene que ser A».Admite pues las equivalencias que podrían validar nuestras inferencias.17
La primera equivalencia corresponde a los pasos 3 y 4 de la Prueba 1: (B∧ ◊ A) ≡ (A∧ ◊ B) y es un teorema de ampliación y restricción a la vez, pues B está restringido al mundo real en una parte de la equivalencia y es posible en la otra parte; lo mismo vale para A. Cada parte de la equivalencia es una proposición asertórica con una parte modal y el problema que hemos visto es el paso de la parte modal a la parte asertórica. Estrictamente hablando tenemos una relación de una proposición asertórica a otra asertórica, es decir, seguimos en el mundo real. Pero las partes modales de las proposiciones sugieren que se trata de relaciones entre mundos posibles: lo que es B y puede ser A en un mundo posible puede ser B y de hecho es A en otro mundo posible. Las universales negativas expresan claramente esto: Si A no puede ser B en ningún mundo posible, tampoco B puede ser A en ningún mundo. El presupuesto es: la equivalencia es entre proposiciones posibles, no asertóricas. Las proposiciones deben estar flanqueadas por el operador de la posibilidad.
Notemos que en las partes de la equivalencia (B∧ ◊ A) y (A∧ ◊ B) lo que es posible en una es verdadero en la otra, si «nombramos» esas partes m1 y m2 respectivamente, tenemos la relación de accesibilidad, lo que es posible en m1 es verdadero en m2 y viceversa. Las proposiciones asertóricas con parte modal se convierten en modales si les añadimos el operador de la posibilidad; «desaparece» la restricción de las proposiciones, por decirlo así, ya no están «ancladas» en el mundo real. El operador indica que la equivalencia no es entre proposiciones asertóricas sino entre proposiciones modales; se trata no de relaciones en el mundo real sino de relaciones entre un mundo posible (llamémosle m1) y otro mundo posible (llamémosle m2). Con esto evitamos el error de pasar de la posibilidad a la actualidad, de un mundo posible al mundo real, que era lo que hacía inválido al teorema. Esto queda expresado así:

Y nos preguntamos ahora si es un teorema modal y a cuál sistemapertenece. Procedemos con una parte de la equivalencia (laotra es simétrica): ◊ (B∧ ◊ A) ⊃ ◊(A∧ ◊ B). Negándola obtenemos elantecedente y la negación del consecuente ~◊ (A∧ ◊ B), que a su vezequivale a ▯(A⊃▯~B). El antecedente nos conduce a m2 dondees verdadero B y ◊A, y ◊ A nos conduce a m3 donde A es verdadero.Enviamos en S4 la fórmula (A⊃▯~B) a m3 donde por modus ponens obtenemos ▯~B. El sistema S5 nos permite enviar ▯~B al mundoanterior, sin el operador modal, y ya tenemos nuestro mundo contradictorio,la fórmula es válida en S5. Su modelo:

El otro teorema corresponde a los pasos 8 y 9 de la Prueba 2 y al que añadimos el operador de la posibilidad, es también teorema de reducción y ampliación entre mundos posibles:

Si es válido, la prueba donde se usa puede validarse también. La primera de las implicaciones es sencilla: de A obtenemos ◊ A y de ◊B obtenemos fácilmente B ∨ ◊B.
La segunda prueba es complicada y su modelo también, va así. En m1 obtenemos antecedente y negación de consecuente: ◊ (◊ A ∧ (B ∨ ◊B)) y ~◊ (A ∧ ◊B), el cual equivale a ▯(A ⊃~ ◊B). El antecedente accede a m2 que contiene ◊A y (B ∨ ◊B), este último equivale a (~B⊃ ◊ B); ◊A nos conduce a m3 que contiene a A. La fórmula necesaria de m1 puede llegar a m3 sin el operador de la necesidad, en S4; por modus ponens obtenemos ~◊B, que puede regresara m2 como ~B por S5 (pues equivale a ▯~B), ahí por modus ponens obtenemos ◊B. El operador de la posibilidad nos remite aun mundo m4 donde B es verdadero. Pero en m3 tenemos ~◊B, de donde podemos, por el sistema K, obtener ~B en m4 y ya tenemos nuestro mundo contradictorio, el teorema es válido en S5; se puede identificar por la flechita en sentido inverso.

Las pruebas 1 y 2 pueden ser aceptadas, pues hemos visto que los pasos que nos parecían sospechosos pueden justificarse y expresarse como teoremas modales del sistema S5 de Lewis. Dichos teoremas corresponden a la conversión simple de los extremos AE y II del octágono modal medieval. Su estudio puede darnos algunas sorpresas. Con esto terminamos nuestra exposición de los teoremas de conversión modal simple de proposiciones particulares y universales.
5 .Algunas reflexiones
No estoy seguro de que mi estrategia para validar los teoremas medievales de conversión modal escape a la siguiente objeción: ha sido una estrategia ad hoc. Entiendo también que puede plantear otros problemas, como este: una implicación estricta cuantificada, ¿Dónde debe llevar el operador de la necesidad, antes o después del cuantificador universal? Esto nos conduce directamente a las fórmulas Barcan, que en S5 son equivalentes; y el que sean equivalentes pone en entredicho la distinción entre proposicionales modales de dicto y proposiciones modales de re. Pero esto es tema de otro estudio.
He tratado de justificar la intromisión de los operadores modales en unos teoremas que sin ellos resultarían inválidos. Es sintomático que para validar la conversión simple de las particulares afirmativas haya recurrido al cuantificador modal «particular» y para las universales negativas haya recurrido al cuantificador modal «universal», haciendo eco de la tradición modal medieval que equipara el cuantificador universal con la necesidad y el particular con la posibilidad. Sin ellos los teoremas son inválidos, pero son inválidos para nosotros, pues los medievales ofrecen pruebas que son a veces difíciles de seguir. Las herramientas simbólicas contemporáneas y la semántica de los mundos posibles han sido nuestras guías para entender y validar dichos teoremas, pero falta mucho por hacer. Nos hemos preguntado si los medievales conocían el sistema S5 de Lewis pues se mueven dentro de un contexto modal complejo y similar al sistema S5; hemos visto que algunos de sus teoremas se comprenden cabalmente ahí. La respuesta obvia es: no lo conocieron y no pudieron haberlo conocido. Con todo, podemos también preguntarnos si Lewis conoció a los medievales. Creo que la respuesta obvia es: no los conoció, pero pudo haberlos conocido.
Referencias
Aquino, T. de, (2019). “De propositionibus modalibus”, disponible en http://docu-mentacatholicaomnia.eu/03d/1225-1274,_Thomas_Aquinas,_De_Propositionibus_Modalibus._(Dubiae_Authenticitatis),_LT.pdf, (Consultado el 2 de agosto de 2019)
Boh, I. (1997). “Modal Developments within the Medieval Logical Corpus”, en Seminarios de Filosofía, n. 10, Pontificia Universidad Católica de Chile, pp. 45-163.
Buridan, J. (2017) Summulae de dialectica, disponible en: http://individual.utoronto.ca/pking/resources/buridan/Summulae_de_dialectica.txt (Consultado el 15 de agosto de 2017).
Campos, J. (2010). “Libertad y contingencia: un enfoque modal”, en Revista de filosofía, n. 64, 2010-1, Universidad del Zulia, pp. 49-66.
Campos, J. (2018). “Los octágonos medievales y las oraciones disparatae”, en Revista Española de Filosofía Medieval, n. 25, pp.143-155.
Girle, R. (2000). Modal Logics and Philosophy, Montreal: McGill University Press.
Plantinga, A. (1978). The Nature of Necessity, Oxford: Clarendon Press.
Priest, G. (2001). An Introduction to Non-Classical Logic, Cambridge: Cambridge University Press.
Read S. (2012).“John Buridan’s Theory of Consequence and His Octagons of Opposition”, en J-Y. Béziau and D. Jacquette (eds.), Around and Beyond the Square of Opposition, Basel: Birkhäuser, pp. 93-110.
Sajonia, A. de, (1988). Perutilis logica. Edición bilingüe, traducción e introducción de Ángel Muñoz García. México: UNAM.
Von Wright H. G. (1985). Sobre la libertad humana. Traducción de Antonio Canales. Barcelona: Paidós.
Von Wright H. G. (1971). Ensayo de lógica modal. Traduccón de Atilio Demarchi. Buenos Aires: Rueda Editor.
Notas