Sección General
Recepción: 13 Junio 2019
Aprobación: 23 Octubre 2019
Resumen: El presente trabajo aborda las facultades que otorgan las constituciones locales a los poderes ejecutivo y legislativo en las entidades federativas en México. Concretamente, se analizan las prerrogativas legislativas (creación de leyes) y de nombramiento. El objetivo es conocer si las facultades que concentran ambos órganos les permiten tener relaciones equilibradas o, si por el contrario, propician el dominio de alguno de estos poderes. Una vez que se identifican cada uno de sus facultades es posible reconocer, desde la dimensión legal, la influencia de ambos órganos tanto en el proceso legislativo como en las designaciones de su gabinete, de los jueces del poder judicial, de los procuradores y de los titulares de algunos órganos autónomos.
Palabras clave: gobernadores, congresos locales, facultades legislativas, facultades de nombramiento.
Abstract: The present work addresses the powers granted by local constitutions to the executive and legislative branches in the states in Mexico. Specifically, the legislative prerogatives (creation of laws) and appointment are analyzed. The objective is to know if the faculties that concentrate both organs allow them to have relations with balance or, if on the contrary, they favor the dominion of some of these powers in the mentioned subjects. Once each of its instruments is identified, it is possible to recognize, from the legal dimension, its influence both in the legislative process and in the appointments of its cabinet, the judges of the judicial power, the attorneys and the holders of some autonomous organs.
Keywords: governors, local congresses, legislative faculties, faculties of appointment.
Introducción
El análisis de los gobiernos a nivel subnacional en México ha sido tratado ampliamente en los últimos años. Se han abordado diversos actores y procesos para entender de mejor manera la dinámica de los sistemas políticos en las entidades federativas. Este trabajo tiene como objetivo analizar las facultades de los poderes ejecutivos y legislativos a nivel local en las 32 entidades federativas. Concretamente se abordan las facultades legislativas y de nombramiento de cada uno de estos órganos. La intención es conocer, en términos normativos, cuál de las dos instancias concentra mayor poder, ello con el fin de identificar si hay relaciones equilibradas o asimétricas, es decir, se busca determinar si los gobernadores tienen presencia o ausencia de contrapesos tanto para crear leyes como para designar funcionarios. Para la elaboración de este análisis se construyeron índices de concentración de poder de ambos órganos, a partir de las prerrogativas que les otorgan las constituciones locales.
En el caso de los ejecutivos se analizan dos variables: la primera, son sus facultades legislativas, en donde se consideran la iniciativa, el veto, el decreto, el poder de convocatoria a sesiones extraordinarias a los congresos y los poderes de emergencia, un total de cinco dimensiones; la segunda variable son sus facultades de nombramiento, específicamente las relacionadas con las designaciones de los titulares de su gabinete, de los integrantes del poder judicial y de los fiscales encargados de la procuración de justicia, es decir, tres dimensiones.
Para el caso de los congresos locales se usan las mismas variables pero con la salvedad de que cambian las dimensiones, las facultades legislativas analizadas son la iniciativa de ley a la Constitución de la República, a sus constituciones locales, la facultad para aprobar el presupuesto y la capacidad para crear nuevos municipios, en total cinco dimensiones. En el caso de sus facultades de nombramiento se analiza su intervención para nombrar a los procuradores o fiscales, a los jueces de los tribunales de justicia, a los titulares de los órganos de transparencia, a los de derechos humanos y a los de las auditorías fiscalizadoras, un total de cinco dimensiones. Cada variable y cada dimensión estarán tratadas a partir de una codificación que permita hacer cuantificables y medibles, en términos estadísticos, una comparación de los niveles de concentración de poder que tienen tanto los ejecutivos como los legislativos.
La pregunta que guía este trabajo consiste en determinar si las relaciones entre los poderes ejecutivo y legislativo a nivel local en México son asimétricas o están equilibradas. Se parte del supuesto de que los gobernadores tienen amplios márgenes de maniobra, actúan con discrecionalidad y tienen amplias competencias legales tanto para confeccionar leyes como para nombrar a su gabinete y a los encargados de la impartición y procuración de justicia. Si las legislaturas cuentan con los suficientes instrumentos legales, pueden contener la influencia de los gobernadores en estas dos áreas, con lo que podrían ejercer cierto control político hacia las acciones de los ejecutivos. La intención es verificar el supuesto propio que sostiene que los gobernadores son más fuertes y dominan a sus legislaturas.
La relación entre ejecutivos y congresos locales se puede abordar a partir de diferentes dimensiones, entre ellas se pueden considerar: 1) las facultades que cada órgano concentra (referidas al orden constitucional); 2) la posibilidad de que los gobernadores cuenten con una mayoría congresional de sus partidos políticos (gobierno unificado o dividido), y 3) el tipo de sistemas de partidos (dominantes o multipartidistas). Este trabajo se centra en la primera dimensión, concretamente en las prerrogativas para el proceso legislativo y para nombrar funcionarios. Para determinar si los gobernadores cuentan o no con el contrapeso de sus órganos legislativos es necesario conocer cuáles son las reglas que definen la relación entre ambos poderes.
El trabajo se compone de cuatro apartados, el primero aborda algunas modalidades y características en la interacción de los ejecutivos y legislativos locales en México; el segundo presenta la recopilación y análisis de las facultades que concentran los gobernadores en cada entidad federativa, de acuerdo a cada una de las constituciones locales; el tercero muestra las mismas facultades estudiadas para el ejecutivo, pero ahora con los congresos locales; por último, se elabora un análisis sobre las relaciones y variaciones en las relaciones de poder.
La relación entre gobernadores y congresos locales en México
Una de las características que ha definido las relaciones entre los ejecutivos y las legislaturas locales en México ha sido el dominio de los gobernadores. Esto se refleja en su desmedida influencia para delimitar la agenda, para crear leyes y ejecutar las políticas públicas de su preferencia.1 Un aspecto que caracterizó estas relaciones fue la ausencia de contrapesos. Fue hacia finales del siglo XX cuando las constituciones locales y los códigos electorales estatales comenzaron a reformarse con el fin de diseñar sistemas electorales más incluyentes, equilibrar las relaciones entre poderes y practicar una descentralización administrativa.2 A nivel subnacional, el cambio político y los procesos de reforma electoral, han arrojado resultados desiguales, por lo que no puede hacerse un juicio uniforme sobre el funcionamiento y rendimiento de los procesos electorales y el sistema de partidos. En el caso de los órganos ejecutivo y legislativo, si bien en la mayoría de las entidades federativas las legislaturas han comenzado a ejercer cierto contrapeso hacia las acciones de los gobernadores, esto no necesariamente se ha traducido en relaciones más equilibradas, ni tampoco en una escrupulosa vigilancia y control que obligue a los mandatarios a ser más responsables.3
Desde hace algunos años, el tema de los gobiernos subnacionales ha venido cobrando mayor relevancia, hoy conocemos mejor sus dinámicas institucionales, sus reglas de funcionamiento, así como sus prácticas políticas y administrativas. Entre los trabajos que han abordado diferentes tópicos de las entidades federativas se pueden identificar aquellos que han analizado la influencia política de los gobernadores,4 la composición y el comportamiento de los legisladores en los congresos locales,5 las reglas y los efectos de sus sistemas electorales,6 los cambios en los sistemas de partidos,7 la calidad de sus instituciones electorales,8 así como el federalismo judicial.9
En el caso de la relación entre los ejecutivos y las legislaturas locales, los gobernadores han ejercido ampliamente dos poderes: 1) los legislativos, es decir, las facultades que le permiten influir en el proceso de creación de leyes, y 2) los de gobierno, reflejados en la prerrogativa que tienen para nombrar o proponer a los miembros de su gabinete, a los altos funcionarios de la administración pública, a los jueces de los órganos judiciales y a los fiscales encargados de la procuración de justicia. Por un lado, las facultades legislativas que tienen los ejecutivos son amplias y les otorgan un margen de maniobra para incidir en el control de la agenda, en el contenido de la legislación y en la definición de las políticas públicas. Por otro lado, sus poderes de gobierno le permiten nombrar a su gabinete así como influir en la designación de los jueces y de los fiscales de los órganos de justicia, este diseño crea un problema dado que su intervención tiende a restar independencia a estas instancias.
Desde la década de los años noventa, el dominio de los gobernadores se ha visto atenuado después de que algunas legislaturas pasaron a ser controladas por mayorías opositoras. A pesar de esto, el papel proactivo de los ejecutivos no ha disminuido para sancionar leyes ni para nombrar funcionarios.10 Una de las razones que ha permitido a los congresos locales llevar a cabo su función de contrapeso en los últimos años, se debió al conjunto de reformas electorales y a los órganos de gobierno que han tenido lugar en los últimos veinticinco años.11 La primera implementó un federalismo electoral, cambió las reglas de la representación política y también modificó el acceso a recursos públicos y a medios de comunicación por parte de los partidos políticos, esto se tradujo en comicios más competitivos y con alternancia.12 La segunda reforma desconcentró algunas facultades exclusivas de los ejecutivos y otorgó mayores instrumentos a los congresos para ejercer controles y contrapesos.13 Cabe aclarar que aún con estas modificaciones, no en todos los casos se suprimió el dominio de un partido ni tampoco se contuvo la influencia de los gobernadores, aunque sí hubo Estados en donde los formatos de representación política y la interacción entre poderes cambiaron de manera significativa.
En el caso de los sistemas electorales, una tendencia generalizada en las entidades federativas fue introducir la fórmula de la representación proporcional para contrarrestar los efectos de la fórmula de mayoría que terminaba por reproducir el dominio de un partido. Desde hace más de dos décadas, se combinan ambos principios, lo que ha propiciado una creciente diversidad en la integración de las legislaturas locales mexicanas, así como también un creciente pluralismo en la distribución de las presidencias municipales y de las gubernaturas.14 Hasta antes de la década de los años noventa, los gobernadores contaban con amplias mayorías en las legislaturas locales, lo que les permitía utilizar sin contrapesos sus facultades para crear leyes y para nombrar funcionarios. Con la llegada de los gobiernos divididos en los años noventa, se ha posibilitado que los congresos puedan utilizar sus instrumentos de control político.
A nivel federal el diseño bicameral reparte funciones entre dos órganos, mientras que la cámara baja tiene influencia en la confección de leyes en las más diversas materias, el Senado actúa básicamente como cámara ratificadora de nombramientos y tratados internacionales. En el caso de los gobiernos locales, el diseño unicameral delega a un solo órgano estas funciones. A pesar de las reformas políticas en los estados, algunas prerrogativas de las legislaturas que se han mantenido inalteradas, son su participación en la creación y sanción de leyes a la Constitución de la República y la facultad para reformar sus constituciones locales.15 Dos de las funciones más importantes que llevan a cabo las legislaturas en las entidades federativas son la elaboración de leyes y el control político hacia las acciones de los gobernadores. Los contrapesos tienden a ejercerse cuando los ejecutivos locales no tienen mayoría en sus congresos, por el contrario, con un gobierno unificado su partido suele blindarlo y protegerlo.16 No obstante, hay casos en donde los gobernadores, a pesar de no contar con una mayoría congresional, pueden obtener el apoyo de la oposición partidista. Algunos mecanismos de control político que pueden utilizar los legislativos locales hacia los mandatarios son los siguientes: 1) llamar a comparecencias a funcionarios públicos; 2) ratificar algunos nombramientos; 3) crear comisiones de investigación, y 4) rechazar iniciativas presentadas por los gobernadores. De acuerdo a las constituciones locales de las entidades federativas, las facultades en materia de creación de leyes y de nombramiento tanto de los poderes ejecutivos como de los legislativos presentan algunas variantes, si bien se precisan algunos rasgos comunes, también hay casos que presentan diferentes matices.17
Poderes legislativos y de nombramiento de los ejecutivos locales
En México, los ejecutivos locales poseen una serie de poderes que pueden dividirse en facultades de gobierno, legislativas, jurisdiccionales y administrativas.18 Los primeros se refieren a sus competencias para llevar a cabo nombramientos. Los segundos tienen que ver con sus prerrogativas para presentar iniciativas,19 vetar leyes, emitir decretos, convocar a sesiones extraordinarias a los congresos, además de los poderes extraordinarios.20 El veto y el decreto son especialmente importantes, pues le permiten inhibir o promover leyes. Al igual que los ejecutivos federales, cuando los gobernadores vetan una legislación aprobada por el congreso, usan sus poderes reactivos, pues detienen una la promulgación de una nueva ley; en cambio, cuando emiten un decreto y establecen un nuevo reglamento sin la intervención de la legislatura, utilizan sus poderes proactivos.21 Los terceros tienen que ver con el manejo de los gobernadores sobre el sistema de procuración de justicia. Por último, las facultades administrativas le permiten diseñar el presupuesto y manejar los recursos públicos.
En primer término, se abordan las facultades legislativas de los gobernadores, la Tabla 1 muestra los diferentes poderes de los gobernadores en materia de creación de leyes22 en las 32 entidades federativas en México.

De acuerdo con la Tabla 1, todos los gobernadores poseen la facultad de promover iniciativas (incluida la preferente), emitir decretos y vetar leyes sancionadas por los congresos. En cuanto a la prerrogativa para convocar a sesiones extraordinarias, la mayoría de los gobernadores puede hacerlo. En los casos de Baja California, Jalisco, Michoacán y Querétaro no se especifica en sus respectivas constituciones la instancia en la que recae esta facultad. En lo que se refiere a los poderes extraordinarios, la mayoría de los gobernadores pueden utilizarlos, aunque hay nueve casos en donde no se especifica, estas entidades son Chihuahua, Durango, Guanajuato, Guerrero, Jalisco, Michoacán, Nuevo León, Oaxaca y Yucatán.
Las facultades de los gobernadores para influir en el proceso legislativo son amplias, especialmente para promover o detener leyes. Esto permite a los gobernadores utilizar sus poderes tanto proactivos como reactivos. Con estos instrumentos tienen la posibilidad de definir y controlar la agenda, a la vez que pueden implementar las políticas públicas de su preferencia.
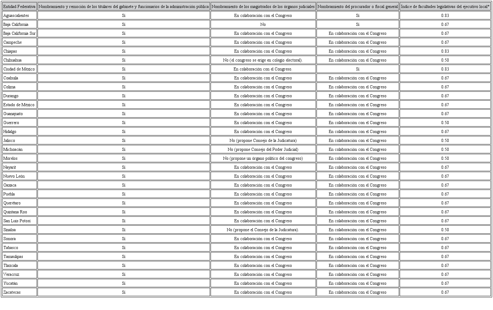
Un segundo grupo de atribuciones importantes de los gobernadores son los poderes de nombramiento, en específico los titulares de su gabinete, los magistrados de los órganos judiciales, los altos funcionarios de la administración pública y los procuradores o fiscales.23 La designación y remoción del gabinete es una prerrogativa exclusiva que han mantenido los ejecutivos locales, no es así con la selección de los magistrados de los órganos judiciales, en donde hay una mayor participación de las legislaturas, mientras que con los procuradores, no todos los congresos participan en la selección de sus titulares. Se trata de tres áreas claves de las entidades federativas que permiten a los mandatarios locales tener un mayor control sobre la administración que manejan y sobre las instancias de impartición y procuración de justicia. La Tabla 2 muestra las facultades de los ejecutivos locales en materia de nombramientos en los 32 estados.

De acuerdo con la Tabla 2, en todas las entidades federativas los gobernadores tienen la facultad exclusiva para nombrar y remover tanto a los titulares de su gabinete como a los altos funcionarios de la administración pública. Esto ha tendido a formar gabinetes de un solo partido, la formación de gobiernos de coalición en las entidades federativas no es muy frecuente, las alianzas electorales no siempre derivan en gabinetes compartidos. En lo que se refiere al nombramiento de los jueces de los órganos judiciales se presentan algunas diferencias. En la mayoría de los casos los ejecutivos proponen las ternas y los congresos ratifican. En Baja California, Chihuahua y Morelos, la prerrogativa recae en los congresos, en Jalisco, Michoacán y Sinaloa los designa la legislatura a propuesta del Consejo de la Judicatura. Estas son las únicas entidades en donde participan tanto los congresos locales como las instancias judiciales en este tipo de nombramientos. Contrario a lo que sucede con las designaciones de su gabinete, en el caso de la selección de los magistrados de los órganos judiciales no todos los gobernadores tienen la prerrogativa exclusiva. En esta materia, prácticamente todas las legislaturas pueden ejercer cierto control político hacia los ejecutivos locales.
En cuanto al nombramiento y remoción del Fiscal General o Procurador General, Aguascalientes, Baja California y la Ciudad de México son entidades en donde la facultad es exclusiva de los gobernadores y el Jefe de Gobierno, en el resto de los casos interviene los congresos para ratificar la designación. En Guerrero, Puebla y Veracruz, la legislatura envía un listado aprobado por las dos terceras partes de sus integrantes al ejecutivo, quien a su vez define una terna y la devuelve al órgano legislativo para que realice el nombramiento. En Hidalgo, el gobernador lleva a cabo una consulta previa con asociaciones de abogados y somete a consideración del congreso una terna. A pesar de que hay una participación de las legislaturas para nombrar a los titulares de los órganos de procuración de justicia, la autonomía de los procuradores queda limitada si no es que anulada. Una vez que los congresos aprueban los nombramientos de estos titulares, la prevención, la persecución y el castigo de los delitos quedan bajo los criterios e intereses de los gobernadores.
Los poderes de nombramiento de los gobernadores son variables, mientras que con su gabinete y los altos funcionarios de la administración pública su prerrogativa es exclusiva, en el caso de los titulares de los órganos de impartición y procuración de justicia hay una mayor intervención de los congresos. En esta materia, las constituciones locales les confieren la facultad a las legislaturas para intervenir en las ratificaciones. No obstante, esto no ha impedido que los gobernadores puedan ejercer influencia en las nominaciones.24
De esta forma, las constituciones locales muestran que hay gobernadores ampliamente facultados para sancionar leyes y para nombrar funcionarios, no obstante, también hay mandatarios acotados en estas dos áreas. Después de analizar estas dos facultades, la distribución de poderes de los ejecutivos es la siguiente:
De acuerdo con la Gráfica 1, las competencias de los mandatarios en materia de nombramientos y facultades legislativas tienen variaciones. La media de poder en el país es de 78.6 puntos (sobre 100 posibles), hay 13 casos por debajo de ella, es decir, que concentran menos poder, y 19 casos por encima que pueden considerarse como los mandatarios más fuertes. Lo que tenemos son cuatro grupos de ejecutivos locales que no están ampliamente facultados. Primero, están los gobernadores no tan débiles como son los casos de Sinaloa y Morelos con 75 puntos de poder; las entidades que se encuentran en segundo lugar con menos poder son Chihuahua y Guerrero con 65 puntos; el tercer grupo lo conforman Yucatán, Querétaro, Oaxaca, Nuevo León, Guanajuato, Durango y Baja California con 73.5 puntos sobre 100; mientras que los gobernadores más débiles son los de Michoacán y Jalisco con apenas 55 puntos en una escala de 100 posibles.

De la misma forma que en el caso de los ejecutivos más débiles del país con respecto a la media, existen dos configuraciones de gobernadores que se pueden considerar los más fuertes pues rebasan los 4.9 y 12.9 puntos a la media de poder. Un grupo de gobernadores fuertes lo componen Hidalgo, Estado de México, Nayarit, Puebla, Quintana Roo, San Luis Potosí, Sonora, Tabasco, Tamaulipas, Tlaxcala, Yucatán, Veracruz, Zacatecas, Baja California Sur, Campeche, Coahuila y Colima con 83.5 puntos. Mientras que los gobernadores más fuertes son los de Aguascalientes, Chiapas y Ciudad de México con 91.5 puntos de poder de los 100 posibles.
Al analizar las facultades legislativas y de nombramiento, se puede sostener que existe una tendencia hacia el fortalecimiento de los ejecutivos. Mientras que apenas 13 de ellos están por debajo de la media (lo que implica un 40.6 %), 19 gobernadores están por encima del límite central de poder (lo que implica un 59.4 %). La diferencia de más de 18 puntos porcentuales entre ambos grupos muestra que en la mayoría de los estados hay una tendencia a fortalecer a los mandatarios.
Para mostrar la fortaleza o la debilidad de los gobernadores es necesario realizar un análisis de los factores que pueden estar causando tal variación. En la Tabla 3 se presenta el modelo de correlación entre el poder de los ejecutivos locales entendido como la variable dependiente y las dos variables independientes que estarían relacionándose en cierta medida con el nivel de poder,25 esto es, los factores que pueden estar incidiendo en dicha variación.

Como se puede observar, ambas variables independientes (facultades legislativas y de nombramiento de los ejecutivos locales) son significativas en la concentración de poder por parte de los gobernadores. El modelo arroja una correlación entre variables de entre un 80.5 y un 90.5 %, esto quiere decir que hay una alta posibilidad de que entre más facultades de nombramiento y de atribuciones legislativas tenga un mandatario local, más poder concentra este, al menos en el plano formal.26 De forma inversa, entre menos facultades legislativas y de nombramiento tenga un gobernador, tendrá menos instrumentos legales para gobernar. En el caso de sus facultades legislativas con relación a su nivel de poder, estas se relacionan en poco más de un 90 %, mientras que las prerrogativas de nombramiento encuentran una relación de poco más de 80 % con su nivel de poder. Sin embargo, se debe ser cuidadoso al momento de interpretar las relaciones entre poderes, para analizar la dinámica política en las entidades federativas existen otros factores (que no fueron abordadas en este trabajo) que también definen la relación entre ambos órganos como son el tipo de sistemas de partidos, las reglas electorales y la formación de gobiernos unificados o divididos, estos elementos definen, en buena medida, si los ejecutivos locales cuentan o no con controles y contrapesos en sus ejercicios de gobierno.
Facultades legislativas, administrativas y de nombramiento de los congresos locales
Para contrastar los poderes de los ejecutivos con los de los congresos locales, se han considerado tres facultades de estos últimos: 1) las legislativas; 2) las administrativas, y 3) las de nombramiento. En el primer caso se incluyen sus prerrogativas para promover iniciativas de ley a nivel federal, para expedir las normas que regulan el funcionamiento de sus congresos y para reformar sus constituciones. En cuanto a sus competencias administrativas se toma en cuenta sus facultades para aprobar el presupuesto y para crear nuevos municipios.
Si las legislaturas controladas por la oposición hacen uso de este conjunto de competencias, pueden contener la influencia de los mandatarios para crear leyes, definir el presupuesto, así como para modificar o crear nuevas demarcaciones territoriales. La Tabla 4 muestra las facultades de los congresos en las materias ya mencionadas.

De acuerdo con la Tabla 4, las facultades legislativas y administrativas de los congresos locales son más uniformes y se pueden encontrar tendencias muy establecidas. En el caso de sus competencias para la creación de normas, prácticamente todos las legislaturas cuentan con la facultad de presentar iniciativas de ley tanto a la Constitución de la República como a sus constituciones locales. De igual forma, pueden expedir las leyes que rigen la composición y el funcionamiento interno de sus recintos legislativos. En cuanto a las prerrogativas administrativas, todos los legislativos intervienen para aprobar el presupuesto, en el caso de las facultades para crear nuevos municipios, 29 estados pueden hacerlo, las excepciones son la Ciudad de México con las Delegaciones Políticas y Tlaxcala quien puede reconocer únicamente nuevos pueblos y colonias.
En cuanto a las facultades de nombramiento de los congresos locales, ahora se aborda su intervención en la ratificación o designación de los titulares de algunos órganos autónomos como las auditorías de fiscalización, las comisiones de derechos humanos, los órganos de transparencia y los encargados de los tribunales de justicia. La Tabla 5 muestra estas prerrogativas en las 32 entidades federativas.

En el caso de las facultades de nombramiento de los congresos locales, también hay mayor uniformidad y tendencias muy establecidas. Todas las legislaturas intervienen para seleccionar a los titulares de las auditorías de fiscalización, de las comisiones de derechos humanos y de las instancias de transparencia. En este sentido, tienen amplios poderes para seleccionar a los encargados de estos órganos autónomos. En cuanto los tribunales de justicia, todos los legislativos participan en las designaciones de sus jueces. Estos instrumentos posibilitan a estos órganos ejercer cierto control en la materia. En los casos de las comisiones de derechos humanos y de los órganos de transparencia, en algunos estados los ejecutivos locales pueden proponer postulantes, pero la ratificación corresponde en todas las entidades federativas a los congresos.
Al igual que con las facultades legislativas y administrativas, los congresos locales cuentan con amplios poderes para nombrar o ratificar tanto a los titulares de los órganos autónomos como a los encargados de los tribunales de justicia. Dado que estas instancias deben funcionar con independencia, una menor injerencia de los ejecutivos en las designaciones de sus funcionarios contribuye a ello, no obstante, en muchas entidades los gobernadores siguen manteniendo una fuerte influencia en estos nombramientos. Después de analizar el conjunto de prerrogativas de las legislaturas, la Gráfica 2 muestra la distribución de poder en los 32 estados.

De acuerdo con las constituciones locales, la concentración de facultades de los congresos les ubica como un poder dominante en comparación con su contraparte ejecutiva. Si partimos de una media de poder legislativo en el país de 99.2 puntos sobre 100 posibles, tenemos que de los 32 estados analizados, solamente dos entidades (Tlaxcala y la Ciudad de México) se encuentran en ligera desventaja respecto a los otros casos, los dos comparten un nivel de 87.5 puntos de poder dado que carecen de facultades para crear nuevos municipios o demarcaciones territoriales. Aunque esta limitación no es notable, lo que resalta es que los 30 casos en donde las legislaturas están por encima de la media de poder se debe a que concentran el 100 % de facultades que se analizaron, mientras que los dos casos ya mencionados cuentan con poco más de diez puntos por debajo de la media (87.5 puntos), lo que finalmente no representa una pérdida real de poder.
De esta forma, 30 legislaturas locales presenten niveles de un 100 % de concentración de poder en materia legislativa, administrativa y facultades de nombramiento. Considerando estas prerrogativas, la correlación del poder real de los congresos se muestra la Tabla 6.

En el análisis bivariado, tanto de las facultades legislativas como las de nombramiento de los congresos locales, muestra una relación tanto positiva como significativa entre las dos variables independientes con relación a la variable dependiente. En este modelo se excluye la información de correlación de las facultades de nombramiento ya que al no presentar valores variados, estamos ante la presencia de una constante que tendría un índice significativo y de correlación perfecta.
De esto se desprende que existe una presencia fuerte entre las variables facultades legislativas y de nombramiento con el poder que concentren los congresos locales mostrando una relación lineal donde entre mayor sea el crecimiento de las variables independientes, mayor será el crecimiento de la variable dependiente. Esta relación se da en un 80.3 % en cuanto a facultades legislativas. Vale aclarar que hay una serie de factores que pueden impedir una mayor concentración de poder por parte de los congresos como lo son liderazgo de los gobernadores, la intervención de los órganos judiciales para revisar decisiones, la presión de grupos de interés, así como las prácticas informales que tienen lugar al interior de las legislaturas. De acuerdo con modelo utilizado, al menos el 19.7 % no observado en este análisis puede dar cuenta de ello.
De esta forma, puede considerarse que tanto los ejecutivos como los legislativos están ampliamente facultados en las materias analizadas, las competencias entre ambos órganos están repartidas de manera equilibrada. No obstante, desde la dimensión legal, las constituciones locales les confieren a las legislaturas una amplia autoridad para influir en el proceso legislativo, para aprobar el presupuesto, para supervisar el gasto público, así como para ejercer controles en materia de nombramientos.
A pesar de que los legislativos cuentan con estos instrumentos legales para fiscalizar a los gobernadores, en la práctica no siempre los utilizan. Por un lado, Luis Carlos Ugalde ha enumerado algunos elementos que obstaculizan una efectiva supervisión legislativa, entre ellos señala factores como los poderes partidistas de los ejecutivos,27 la falta de autoridad de los congresos y las metas y las motivaciones de los diputados.28 Por otro lado, Morgenstern, Negri y Pérez Liñán consideran que los legislativos pueden llegar a tener una participación limitada para contener la influencia de los mandatarios, ello depende del tamaño y la cohesión de la oposición en los recintos legislativos.29 No obstante, una oposición numerosa no implica necesariamente una oposición cohesionada, pero si ambos elementos se conjugan, habrá mayores posibilidades de ejercer controles y contrapesos.
Tipos de relación entre los ejecutivos y los congresos locales
Hasta ahora se ha mostrado de forma separada los niveles de concentración de poder que tienen tanto los ejecutivos como los legislativos a nivel local. Si bien esta primera medición muestra que existen congresos fuertes y gobernadores con poderes que son variantes, el contraste entre ambos arroja un resultado diferente como lo muestra la Gráfica 3.

La relación entre poderes en las 32 entidades federativas presenta diferentes tipos de relaciones. Hay casos en donde hay un equilibrio en cuanto a facultades, mientras que otros casos, se presenta claramente una asimetría en donde encontramos ya sea un predominio del legislativo sobre el ejecutivo o viceversa. De esta forma, se presentan las siguientes interacciones30 entre ambos órganos.
Poder equilibrado entre ejecutivo y legislativo (entre 1 y 15 puntos)
Si la diferencia de facultades entre ejecutivo y legislativo es de menos de 15 puntos, la tendencia es hacia un equilibrio de poderes. Aplicando este criterio, se tienen dos subgrupos, en uno están aquellos en donde las relaciones entre poderes está balanceada, aun cuando el legislativo cuenta con mayores atribuciones; mientras que el segundo, a pesar del equilibrio en las facultades repartidas, los ejecutivos tienen una ligera ventaja sobre su contraparte.
Poder equilibrado con ventaja del legislativo
El primer subgrupo, en donde hay un equilibrio entre poderes, pero con congresos locales ligeramente más facultados son los casos de Aguascalientes, Chiapas y Tlaxcala, en estos estados la diferencia entre ambos órganos es mínima. Particularmente, los gobernadores de Aguascalientes y Chiapas deben ser considerados dentro de este grupo, pero con un análisis separado, ya que son dos de las entidades en las que los ejecutivos también son fuertes (con 91.5 puntos sobre 100). Dado que las constituciones locales les otorgan a estos gobernadores poderes plenos en los temas analizados, esto les permite tener algún dominio respecto de sus legislaturas, aunque estas también están ampliamente facultadas (100/100), esto indica relaciones equilibradas.
Predominio del legislativo (+16 puntos)
Un segundo subgrupo muestra un claro dominio de las legislaturas, este es el caso de 16 entidades federativas (Baja California Sur, Campeche, Coahuila, Colima, Guanajuato, Hidalgo, Estado de México, Nayarit, Puebla, Quintana Roo, San Luis Potosí, Sonora, Tabasco, Tamaulipas, Veracruz y Zacatecas). En estos casos hay un predominio del legislativo de entre 16 y 24 puntos.
Predominio del legislativo con ejecutivo disminuido (+25 puntos)
Los casos en donde la diferencia entre ambos poderes es mayor a 25 puntos, son 12 casos (Baja California, Chihuahua, Durango, Guerrero, Jalisco, Michoacán, Morelos, Nuevo León, Oaxaca, Querétaro, Sinaloa, Yucatán). En estas entidades los congresos cuentan con mayores facultades que los gobernadores. Los casos de Michoacán y Jalisco son los más representativos, ya que la pérdida de poder de los ejecutivos es de 45 puntos. Le siguen Chihuahua y Guerrero con 35; Baja California, Durango, Nuevo León, Oaxaca y Querétaro con 26.5 puntos; y por último, Morelos y Sinaloa con 25 puntos de diferencia.
Poder equilibrado con ventaja del ejecutivo
En cuanto a las entidades federativas en donde los poderes se encuentran equilibrados aunque con ligera ventaja hacia el ejecutivo, está el caso de la Ciudad de México la cual supera apenas por cuatro puntos a la Asamblea Legislativa. La capital del país es el único caso donde su mandatario concentra más poder con 91.5 puntos sobre 100. Aunque el Jefe de Gobierno tiene mayores atribuciones que su legislatura, debe señalarse que en esta entidad la desventaja de sus legisladores radica en que no cuentan con la facultad para crear nuevas demarcaciones territoriales.31
De esta forma, en las 32 entidades federativas en México, hay tres casos (Aguascalientes, Ciudad de México y Chiapas) en donde el ejecutivo es fuerte, en relación con sus legislaturas, desde la dimensión legal. En el resto de los 29 estados los congresos locales concentran un mayor número de facultades, concretamente para crear leyes, crear municipios, así como para ratificar o nombrar a los titulares de los órganos autónomos, los magistrados, los jueces y los procuradores. Esto repercute, en alguna medida, en la atenuación de dos poderes centrales que tienen los gobernadores: los de gobierno y los de nombramiento. Si bien algunas de estas facultades están traslapadas entre ambos órganos, las instancias legislativas cuentan con los suficientes instrumentos de control en estas materias.
Conclusiones
De acuerdo con la revisión de las constituciones locales en México, las relaciones entre ejecutivos y congresos muestran tendencias que pueden propiciar una mayor concentración de poderes por parte de las legislaturas. Desagregando el análisis se puede considerar, por principio, que en el caso de los gobernadores, todos cuentan con amplias facultades para influir en el proceso legislativo, especialmente para promover o detener la creación de leyes. Con ello, estos actores pueden utilizar sus poderes tanto proactivos como reactivos dado que cuentan con las facultades de veto y decreto y pueden convocar a sesiones extraordinarias a sus congresos. Estos instrumentos le permiten definir los temas de la agenda e implementar las políticas públicas de su preferencia, aunque esto dependerá si los mandatarios cuentan con mayoría congresional de su partido. En segundo lugar, en lo que se refiere a sus facultades para nombrar a su gabinete, a los magistrados de los órganos judiciales y a los fiscales o procuradores de justicia, en todas las entidades federativas los gobernadores tienen la facultad exclusiva para nombrar y remover tanto a sus secretarios y titulares de despachos, así como a los funcionarios de la administración pública. Con ello, una tendencia ha sido a formar gabinetes compuestos por un solo partido. En cuanto al nombramiento de los jueces de los poderes judiciales, si bien en la mayoría de los casos los ejecutivos proponen las ternas y los congresos ratifican, en casos como Baja California, Chihuahua y Morelos, la prerrogativa recae en los congresos, mientras que en Jalisco, Michoacán y Sinaloa los designa la legislatura a propuesta del Consejo de la Judicatura. Estas son las únicas entidades en donde participan tanto las legislaturas como las instancias judiciales en este tipo de nombramientos. En cuanto a la designación y remoción del Fiscal o Procurador, según sea el caso, Aguascalientes, Baja California y la Ciudad de México son entidades en donde la facultad es exclusiva de los gobernadores y del Jefe de Gobierno, en el resto de los casos interviene los congresos para ratificar.
De esta forma, las facultades de los gobernadores para la selección del gabinete y funcionarios de la administración pública son exclusivas y plenas, sin embargo, para el nombramiento de los titulares de los órganos judiciales y los procuradores de justicia en la mayoría de las entidades los mandatarios tienen límites, ya que los congresos cuentan con la capacidad para incidir en la selección, dado que funcionan como cámara ratificadora. En este rubro, una variable importante que debe considerarse de nuevo es si los gobernadores cuentan o no con una mayoría congresional. Por tanto, desde la dimensión legal los ejecutivos locales con mayores poderes legislativos y de gobierno son los casos de Aguascalientes, Chiapas y la Ciudad de México.
En lo que se refiere a los congresos locales, las variables analizadas resultaron ser una constante en la mayoría de los casos: sus facultades legislativas y administrativas son casi uniformes, por lo que hay tendencias más establecidas. Para sancionar leyes prácticamente todas las legislaturas cuentan con la facultad de presentar iniciativas de ley tanto a la Constitución de la República como a sus constituciones locales. Pueden expedir las leyes que rigen la composición y el funcionamiento interno de sus recintos. En cuanto a sus prerrogativas administrativas, los 32 órganos intervienen para hacer observaciones y aprobar el presupuesto. Para la creación de nuevos municipios, 30 estados pueden hacerlo con la excepción de la Ciudad de México y Tlaxcala. Sobre sus prerrogativas en materia de nombramiento (otra constante), intervienen para ratificar a los titulares de órganos autónomos como son las auditorías de fiscalización, las comisiones de derechos humanos y los órganos de transparencia; también participan para seleccionar a los encargados de los tribunales de justicia. Como puede verse, la mayoría de los órganos legislativos cuentan con poderes amplios y plenos en materia de nombramientos y ratificaciones. Los congresos menos fuertes son la Asamblea Legislativa de la Ciudad de México (que funcionó hasta el 16 de septiembre de 2018) y Tlaxcala.
Aunque los congresos locales cuentan con instrumentos legales para ejercer cierto control hacia los gobernadores en materias de nombramiento, aprobación del presupuesto y sanción de leyes, en la práctica los mandatarios mantienen influencia en estas áreas, por lo que las legislaturas no siempre pueden hacer su función de contrapeso. No obstante, este diseño normativo ha propiciado que algunos poderes legislativos puedan ejercer vetos y contrapesos hacia los gobernadores.
Se puede concluir que en las 32 entidades federativas en México, únicamente Aguascalientes, Ciudad de México y Chiapas cuentan con un ejecutivo dominante desde la dimensión legal, en los otros 29 estados los congresos locales concentran un mayor número de facultades, específicamente para crear leyes, modificar las demarcaciones territoriales o municipios, así como para ratificar o nombrar al gabinete, a los titulares de los órganos autónomos, a los encargados de la impartición y procuración de justicia. De aquí que una tendencia es hacia un equilibrio de poderes en cuanto a facultades legislativas, mientras que el caso de los nombramientos hay límites a las prerrogativas de los ejecutivos. Si los congresos locales hacen un uso efectivo de sus instrumentos de control, pueden disputar el control de la agenda a los gobernadores y, también, pueden influir en el proceso legislativo y la definición de políticas.
Desde la dimensión normativa, los estados muestran una tendencia hacia relaciones de poder equilibradas y no tan asimétricas como podría suponerse. Otros estudios han analizado a las entidades federativas a partir de variables como los cambios en los sistemas de partidos, las reglas de los sistemas electorales, la toma de decisiones, el liderazgo de los gobernadores y la actuación de las instancias judiciales. Este trabajo se centró en las relaciones entre los ejecutivos y legislativos desde la perspectiva legal. Lo que puede desprenderse de este conjunto de estudios es que, salvo muy pocos casos, la tendencia es hacia formatos partidistas competitivos, el ejercicio de ciertos contrapesos políticos, administrativos y jurisdiccionales, además de mandatarios cuyo liderazgo se atenúa cuando se fragmenta la representación política y se reparten de manera más equilibrada las prerrogativas de ambos órganos.
Referencias
Aguilar Rodríguez, Bernardo. “Cooperación política subnacional: las relaciones Ejecutivo-Legislativo en el marco del cambio institucional”, Apuntes Electorales: revista del Instituto Electoral del Estado de México 18.60 (enero-junio de 2019): 181-226.
Carbonell, Miguel. “Reflexiones sobre el monopolio de la acción penal y la autonomía del ministerio público”. En Retos y perspectivas de la procuración de justicia en México, coordinado por Miguel Carbonell (Ciudad de México: IIJ, UNAM, 2004), 147-162.
Cárdenas Gracia, Jaime. “El Poder Judicial en transición”. En La Ciencia Política en México, coordinado por Mauricio Merino (Ciudad de México: FCE, México, 1999) 93-137.
Carpizo, Jorge. El presidencialismo mexicano (Ciudad de México: Siglo XXI Editores, 1994).
Crespo, José Antonio. Votar en los estados. Análisis comparado de las legislaciones electorales estatales en México (Michigan: Fundación Friedrich Naumann-University of Michigan, 1996), 115-308.
Gámiz Parral, Máximo. Derecho constitucional y administrativo de las entidades federativas (Ciudad de México: UNAM, 2000), 119-159.
González, Lucas I. Presidents, Governors, and the Politics of Distribution in Federal Democracies (Nueva York: Routledge, 2016).
González Ulloa, Armando. “Alternancia en las elecciones subnacionales en México: ¿síntoma de democratización?”, Estudios Políticos 40 (enero-abril de 2017): 47-69.
Gutiérrez Cuéllar, Paola C. “Poder político subnacional: fortalecimiento de los gobernadores en México, 2001-2012”. En Poderes y Democracias. La política subnacional en México, coordinado por Nicolás Loza y Irma Méndez (Ciudad de México, FLACSO-IEDF, 2016), 71-91.
Hernández Rodríguez, Rogelio. El centro dividido. La nueva autonomía de los gobernadores (Ciudad de México: El Colegio de México, 2008), 55.
Hobolt, Sara Binzer y Robert Klemmensen, “Government Responsiveness and Political Competition in Comparative Perspective”. Comparative Political Studies 41 (2008): 309-337.
Langston, Joy. “Governors and ‘Their’ Deputies: New Legislative Principals in Mexico”, Legislative Studies Quarterly 35.2 (mayo de 2010): 234-258.
López Lara, Álvaro. “Gobiernos divididos y coaliciones en las legislaturas locales de México”. En Para qué sirve el Poder Legislativo, coordinado por Ricardo Espinoza Toledo y Jeffrey Weldon (Ciudad de México: UAM-Universidad de Colima-Miguel Ángel Porrúa, 2007), 474-476.
Lujambio, Alonso. El poder compartido. Un ensayo sobre la democratización mexicana (Ciudad de México: Océano, 2000), 10-15.
Méndez de Hoyos, Irma. “Calidad de las elecciones e imparcialidad de los órganos electorales”. En Poderes y Democracias. La política subnacional en México, coordinado por Nicolás Loza y Irma Méndez (Ciudad de México, FLACSO-IEDF, 2016), 211-236.
Méndez de Hoyos, Irma y Nicolás Loza Otero (coords.), “Introducción”. En Instituciones electorales, opinión pública y poderes políticos locales en México, coordinado por Irma Méndez de Hoyos y Nicolás Loza (Ciudad de México: FLACSO, 2013), 9-24.
Morgenstern, Scott, Juan Javier Negri y Aníbal Pérez Liñán, “La oposición parlamentaria en los regímenes presidenciales: el caso latinoamericano”. En ¿Qué pasa con la representación en América Latina?, coordinado por Luisa Béjar Algazi (Ciudad de México: UNAM-Miguel Ángel Porrúa, 2009), 13-50.
Olmeda, Juan C. y Alejandra Armesto, “La recentralización y los gobernadores: ¿por qué no siempre se oponen? Analizando el caso de México”, Foro Internacional 57.227 (enero-marzo de 2017): 109-148.
Paxman, Andrew (coord.), Los gobernadores. Caciques del pasado y del presente (Ciudad de México: Grijalbo, 2018).
Pilar Hernández, María del. “Federalismo y justicia federativa”. En La reforma del Estado y la calidad de la democracia en México. Una reflexión sobre sus instituciones, coordinado por Óscar Ochoa (Ciudad de México: Miguel Ángel Porrúa, 2008) 121-148.
Reynoso, Diego. “El espacio ideológico subnacional mexicano según juicios de expertos”, Política y Gobierno 22.2 (junio-diciembre de 2015): 317-346.
Schlesinger, Joseph. “The politics of the Executive”. En Politics in the American States: A Comparative Analysis, editado por Herbert Jacob y Kenneth N. Vines (Boston: Little Brown and Company, 1965), 207-237.
Soberg, Matthew y Scott Mainwaring, “Presidencialismo y democracia en América Latina: revisión de los términos del debate”. En Presidencialismo y democracia en América Latina, compilado por Scott Mainwaring y Matthew Soberg Shugart (Buenos Aires: Paidós, 2002) 19-64.
Ugalde, Luis Carlos. Vigilando al Ejecutivo. El papel del Congreso en la supervisión del gasto público (Ciudad de México: Miguel Ángel Porrúa, 2000), 45-78.
Zepeda Lecuona, Guillermo. Crimen sin castigo. Procuración de Justicia Penal y Ministerio Público (Ciudad de México: FCE-CIDAC, 2011), 10-87.
Notas
Notas de autor