Sección general
Globalización económica y cohesión social en América Latina
Economic Globalization and Social Cohesion in Latin America
Globalización económica y cohesión social en América Latina
Intersticios sociales, núm. 22, pp. 297-327, 2021
El Colegio de Jalisco A.C.
Recepción: 18 Octubre 2019
Aprobación: 20 Abril 2020
Resumen: El actual proceso de globalización económica ha sido señalado por sus detractores como el origen de los bajos niveles de desarrollo que se registran en la región de América Latina, pese a que históricamente esta región ha presentado grandes niveles de desigualdad en casi todos los indicadores de bienestar social. Por otro lado, existe una corriente de pensamiento, con una clara tendencia neoliberal, que propone que la globalización tiene efectos positivos para el crecimiento y la convergencia entre los países y sus regiones, reduce la pobreza y sirve como incentivo para el diseño de principios democráticos, tales como el imperio de la ley o el respeto a los derechos humanos. Partiendo de esta visión, es posible determinar que la globalización puede ser un fenómeno que motive la distribución del ingreso debido a la disponibilidad de mayores oportunidades económicas, políticas y sociales que pueden conducir a la prosperidad y reducir las disparidades, desigualdades y pobreza. En este sentido, el presente artículo tiene la finalidad de analizar el impacto que tiene el actual proceso de globalización sobre la construcción de la cohesión social en América Latina, a través de un análisis correlacional entre las variables obtenidas con base en los datos del Globalisation Index y diversos indicadores de cohesión social definidos por la Comisión Económica para América Latina y el Caribe.
Palabras clave: globalización, cohesión social, calidad de vida, bienestar social.
Abstract: The current process of economic globalization has been identified by its detractors as the cause of the low levels of development registered in Latin America, despite the fact that throughout its history this region has presented high levels of inequality in almost all indicators of social welfare. But another current approach -one with a clear neoliberal tendency- proposes that globalization has positive effects for the growth and convergence among countries and their regions, reduces poverty, and incentivizes the design of democratic principles, such as the rule of law and respect for human rights. Based on this vision, it is possible to determine that globalization can be a phenomenon that motivates income distribution due to the availability of greater economic, political, and social opportunities, and that this can reduce disparities, inequalities, and poverty and lead to prosperity. In this light, the aim of this article is to analyze the impact of the current globalization process on the construction of social cohesion in Latin America, through a correlation analysis of variables obtained from data in the Globalization Index and diverse indicators of social cohesion defined by the Economic Commission for Latin America and the Caribbean.
Keywords: globalization, social cohesion, quality of life, social welfare.
Introducción
La cohesión social es un término prácticamente reciente, que surge de la necesidad de procurar un consenso en la sociedad para afianzar el sentimiento de pertenencia. Esto por medio de la interacción entre los individuos para hacer frente a una situación en particular o ser parte de un proyecto común. En ese sentido, es pertinente resaltar que la cohesión social en América Latina se puede considerar como un término nuevo ante la ausencia de un consenso a nivel social, debido a las condiciones políticas, culturales y económicas de cada uno de sus países, aunado a la presencia histórica durante casi todo el siglo XX de regímenes políticos autoritarios, los cuales, con sus estrategias políticas, destruyeron sistemáticamente los lazos comunitarios, afectando de manera muy clara los parámetros de generación de redes de cohesión social en la región.
Las dictaduras militares, los continuos golpes de Estado y los presidencialismos autoritarios formaron parte de esta complejidad que inhibió la generación de los procesos de equidad social, y por tanto de cohesión social en los países del continente. Esta situación dio un giro ante el auge de la implementación de políticas públicas de carácter neoliberal, las cuales facilitaron una transformación económica y política que permitió la integración de la región al actual proceso de globalización económica. Dicho proceso globalizador se centraba, en su vertiente filosófica, en crear las condiciones para un empoderamiento social, a través de políticas públicas redistributivas y un crecimiento económico, que produciría las condiciones de corresponsabilidad social entre la ciudadanía, generando capital social para después consolidar una cohesión social. Sin embargo, a pesar de que la participación ciudadana escaló posiciones en las últimas cuatro décadas, en la actualidad aún existen ciertos grupos, en especial los más vulnerables, que se encuentran marginados. Es por esto que la cohesión social tiene como objetivo crear los mecanismos necesarios para acrecentar la inclusión de la sociedad e incentivar la participación ciudadana para dirimir las brechas sociales y económicas existentes. No obstante, existen movimientos y corrientes políticas que proponen que el actual proceso de globalización impide o inhibe esta cohesión social.
Parte de los movimientos antiglobalización señalan que esta incrementa las desigualdades de ingreso a nivel global y dentro de los mismos países, por lo que proponen implementar otro tipo de estrategia de desarrollo.1 Por otro lado, hay quienes consideran que una mayor integración de los países a la globalización permitirá mayores beneficios brutos. El hecho es que el debate queda abierto, ya que la mayoría de los opositores a la globalización tienen argumentos tan racionales como aquellos expuestos por los defensores.
En este sentido, el presente artículo tiene la finalidad de analizar el impacto que tiene el actual proceso de globalización sobre la construcción de la cohesión social en América Latina. Para lograr dicho objetivo, se utilizará como hilo conductor la hipótesis de que la globalización tiene un efecto en la cohesión social, por lo tanto, a mayor integración de un país en la globalización, habrá un cambio en los indicadores de cohesión social. Para ello, el trabajo se ha estructurado de la siguiente manera. En la primera sección se analizará brevemente el concepto de globalización. En la segunda parte se abordará el concepto de cohesión social, y se desarrollará la idea de que este concepto es un elemento que coadyuvará a eliminar las brechas sociales en los países que se eligieron como muestra en este trabajo. En un tercer momento se presenta la vitrina metodológica elegida y los resultados obtenidos con base en los datos del Globalisation Index,2 organismo que divide al elemento en tres dimensiones: la globalización social, la globalización política y la globalización económica, y con la utilización de los indicadores de cohesión social definidos por la Comisión Económica para América Latina y el Caribe (CEPAL),3 los cuales se utilizaron para relacionar la globalización con la cohesión social. Por último se encuentran las conclusiones.
Globalización económica
Durante las últimas cuatro décadas, la economía mundial ha experimentado diferentes transformaciones que se manifiestan en una creciente interdependencia de las actividades económicas, un aumento considerable del número de actores que participan en el sistema internacional y en un cambio en las políticas económicas nacionales con tendencia hacia la apertura comercial y financiera, pero también hacia una inminente modificación en los sistemas de gobierno. Este fenómeno, denominado globalización económica, ha ido transformando el entorno estratégico en el que se desenvuelve la mayoría de los países, por lo que estos han puesto en práctica políticas públicas que les permitan afrontar los retos y las oportunidades de una era global.
La globalización se ha convertido en uno de los temas más estudiados en las ciencias sociales debido a su naturaleza transformadora del entorno, especialmente del comercio, las finanzas, el empleo, la tecnología, las comunicaciones, las formas de vida y de gobernar. El concepto de globalización muchas veces es difuso, ya que no hay una definición precisa, por el contrario, existen varias interpretaciones las cuales no siempre coinciden en la apreciación de lo que se considera más definitivo y definidor del fenómeno. Por tanto, es un término elusivo y alusivo, pues alude a un conjunto de manifestaciones, a la vez que elude su especificación.
De acuerdo con el Fondo Monetario Internacional,
[…] la globalización es un proceso histórico, del resultado de la innovación humana y el progreso tecnológico. Se refiere a la creciente integración de las economías de todo el mundo, especialmente a través del comercio y los flujos financieros […] desplazamiento de personas (mano de obra) y la transferencia de conocimientos (tecnología) a través de las fronteras internacionales [asimismo] abarca aspectos culturales, políticos y ambientales.4
Para Pieterse, la globalización es una chispa de conflicto, ya que es un fenómeno que trasciende las fronteras económicas, políticas, sociales y gubernamentales, trastocando la ideología popular y generando nuevos paradigmas para los Estados.5 De acuerdo con Croucher la globalización “es un conjunto de cambios relacionados entre sí, que aumenta la interdependencia de los países, presentándose de manera no limitativa, en los ámbitos económico, tecnológico, cultural y político”.6
Por otro lado, Woods argumenta que es preciso distinguir los cambios cualitativos y cuantitativos que ha provocado la globalización, a fin de comprender su impacto en la sociedad.7 De este modo, las variaciones cualitativas se presentan como cambios en la política internacional, es decir, son modificaciones en las formas en que las personas y los grupos piensan y se identifican, así como en la manera en que Estados, empresas y otros actores perciben y persiguen sus intereses. Referente a los cambios cuantitativos, la autora sostiene que la globalización se refiere al aumento del intercambio comercial, el flujo de personas y capitales, asimismo a las transferencias de tecnologías. Los cambios mencionados se han convertido en el pilar fundamental de la globalización, que se ha denominado transnacionalismo e interdependencia.
Es precisamente en los términos económicos que la globalización toma mayor relevancia por sus efectos y trascendencia en la sociedad. De tal manera que es posible entender la globalización como el proceso de integración de las economías y las sociedades a medida que caen las barreras para la circulación de ideas, personas, servicios y capitales.
En los distintos países latinoamericanos, este proceso global ha tenido diferentes efectos en sus economías y sociedades, solo que actualmente se ven afectados, en mayor medida que en el pasado, por eventos y acontecimientos internacionales. Aunque en términos de asignación de recursos e incremento del crecimiento potencial una globalización bien gobernada es netamente beneficiosa, no todos los sectores dentro de cada país obtienen los mismos beneficios. Aquellos grupos que se adapten con mayor rapidez a los cambios serán los que se beneficien en mayor medida de la globalización, siendo los trabajadores más cualificados y el capital los que obtienen mayores ganancias. Por otra parte, aquellos individuos que no posean esa habilidad de adaptación (los menos cualificados y vulnerables) estarán en desventaja y, por tanto, desligados de los potenciales beneficios de la globalización.
Por tanto, la globalización trae consigo retos y oportunidades para los países, siendo los menos desarrollados los que ven limitadas sus posibilidades de crecimiento. Dentro de las oportunidades, la teoría económica clásica propone que la expansión de la economía global conlleva a la prosperidad a través de la división del trabajo y la especialización de acuerdo con la ventaja comparativa en cada país. Este principio motiva el intercambio internacional, donde los países menos desarrollados podrían beneficiarse del mercado global al tener acceso a bienes de capital barato y nuevas tecnologías. Por otro lado, el principal reto que plantea la globalización se manifiesta en una disminución en la habilidad de los gobiernos para establecer políticas regulatorias y redistributivas, lo que en última instancia limita el bienestar social. Esta situación se ve empeorada en la mayoría de los países en vías de desarrollo que no cuentan con instituciones fuertes y eficientes, capaces de gestionar la globalización, como es el caso de muchos países latinoamericanos.
En este sentido, partiendo de una globalización positiva, es posible determinar que esta beneficie la cohesión social debido a la disponibilidad de mayores oportunidades económicas, políticas y sociales, que pueden conducir a la prosperidad y reducir las disparidades, desigualdades y pobreza. Por el contrario, una posibilidad es que la globalización no tenga efecto alguno sobre la cohesión social debido a la integración mundial. Como se mencionó, el impacto de la globalización en la cohesión social puede estar condicionado al hecho de si el país o la región gana en el proceso de globalización o pierde. Si el país se beneficia de la globalización (ganador), puede mejorar la cohesión social, por otro lado, si el país no se beneficia de la globalización (perdedor), puede ser perjudicial para la cohesión social.
Hoy en día han surgido diferentes opiniones sobre cómo debe ser abordada la globalización por los gobiernos y el papel que deben tener las instituciones internacionales en la gestión de esta. Los críticos señalan que este fenómeno incrementa las desigualdades sociales y económicas a nivel mundial, pero también en el ámbito nacional, por lo que es necesario frenarlo e implementar otro tipo de estrategia de desarrollo. No obstante, hay quienes consideran que es a través de una mayor integración en la globalización que los países en vías de desarrollo podrán aprovechar este proceso.
Por ejemplo, autores como Eichengreen,8 Bhagwati,9 Potůček,10 Healy, Arunachalam y Mizukami,11 así como Sala-i-Martin12 consideran que la globalización tiene efectos positivos para el crecimiento y la convergencia entre los países y sus regiones, reduce la pobreza y sirve como incentivo para el diseño de principios democráticos, tales como el imperio de la ley o el respeto a los derechos humanos. Por su parte, críticos como Amin,13 Stiglitz,14 Milanovic15 y Boariniet, Causa, Fleurbaey, Grimalda y Woolard16 sugieren que la globalización económica debilita la soberanía de los países, además de generar grandes desigualdades entre ellos, creando ganadores y perdedores, sin la respectiva ayuda supranacional o ejecución de políticas públicas nacionales que minimicen los daños a los perdedores.
Específicamente, existe evidencia empírica que sugiere diferentes impactos de la globalización en la cohesión social. Hannigan conceptualiza la relación entre cultura, cohesión social y globalización a través de las tipografías sociales de espacio, región, red y flujos.17 Para el autor, los flujos muestran el movimiento internacional de personas, de información, de tecnología, de bienes y servicios. El estudio concluye que las identidades sociales no están vinculadas al Estado-nación ni están determinadas por el entorno cultural comercial creado por la economía global, sino que se encuentran constantemente en desarrollo. Por su parte, Snower menciona lo difícil que será lograr mejores rendimientos económicos y cohesión social de forma simultánea, debido a los retos que impone la globalización después de la eliminación de los obstáculos comerciales y la gran afluencia de inversión extranjera directa.18
Un resultado importante es que los países desarrollados obtienen mayores beneficios en la fabricación de productos que requieren mano de obra calificada, lo que genera una mayor demanda de este tipo de insumo en lugares como Estados Unidos y Europa, en detrimento de la mano de obra menos calificada, abundante en los países en vías de desarrollo. No obstante, este efecto también se presenta en los países desarrollados, que han visto una pérdida de competitividad en algunos sectores, generando un aumento persistente de las desigualdades salariales y del desempleo, teniendo como resultados un daño significativo en la cohesión social.
Asghar, Shazia y Muhammad proponen que la globalización puede mejorar o reducir la cohesión social.19 Lo explican a través de un diagrama de flujo, en el que se especifican diferentes resultados, producto de la globalización, en las relaciones intraestatales. Bajo este diagrama, se visualiza que los ganadores (ricos) se volverán más ricos, mientras que los perdedores (pobres) se empobrecerán aún más, ampliando la brecha entre estos dos segmentos de la sociedad. Asimismo, los autores sugieren que puede haber un aumento en las disparidades intraestatales, tanto económicas como sociales, debido a que los ganadores tendrán un mayor nivel de ingresos en comparación con los perdedores, así como un estatus social más alto; por su parte, los perdedores tendrán mayores deficiencias, incluso miseria. El resultado de estas fuerzas es una reducción de la cohesión social. Sin embargo, la globalización puede mejorar la cohesión social si los resultados de esta se distribuyen equitativamente, de este modo, mejorará la prosperidad general de la economía, las disparidades se minimizarán y la pobreza se reducirá, por lo que habrá un mayor grado de cohesión social.
Sin duda, el debate continúa, no obstante, lo importante es tener presente que existe una parte significativa de países y, en especial, sectores enteros de la sociedad que se quedan fuera de este proceso, el cual debería ser incluyente, pero en realidad resulta ser elitista, ya que solo participan en ella algunos países, en especial de la Organización para la Cooperación y Desarrollo Económico (OCDE) y algunas economías emergentes del sureste asiático y América Latina. Por tanto, es importante considerar gran parte de las aristas de los beneficios y retos que tienen los elementos de la globalización para fomentar la cohesión social.
La cohesión social en contexto
De acuerdo con la CEPAL, la cohesión social tiene como meta:
[…] buscar la manera de potenciar la riqueza simbólica del multiculturalismo, las promesas de la sociedad de la información y la difusión del imaginario democrático, con el fin de avanzar hacia sistemas capaces de crear nuevos mecanismos de inclusión social y participación ciudadana.20
En ese sentido, ante el auge de la globalización, se pretende que el impulso del desarrollo económico y formas de gobierno más representativas no repercutan de manera negativa sobre los grupos más vulnerables al no poder acceder a todo aquello que representa la globalización.
Así mismo, la cohesión social busca difundir la cultura democrática con la finalidad de procurar la participación social en la vida política, y que esto influya en los mecanismos de inclusión. De acuerdo con Nari, el término de cohesión social tiene:
[…] su origen en las obras de Émile Durkheim, quien trataba de responder, desde un enfoque sociológico, a la pregunta de ¿cómo se producen nuevas formas de integración social en un contexto en el que el capitalismo y la modernidad eliminan las formas comunitarias tradicionales en las que ésta se llevaba a cabo?21
La respuesta a este planteamiento parece un tanto complicada, ya que podría darse la incorporación de todos para mejorar su situación y satisfacer sus necesidades de forma conjunta. Empero, la ausencia de valores y de un sentimiento de pertenencia conllevan al egoísmo ya oponerse a toda colectividad. Lo anterior supone:
[…] que Durkheim utiliza el concepto como parte de una solución propia a la pregunta heredada de la filosofía social clásica sobre las condiciones o factores que favorecen o impiden la unión entre los individuos que conforman una sociedad.22
Por tanto, lo que se busca con la cohesión social es que los diferentes grupos de la sociedad sean incluidos a través del consenso y ocupen un papel relevante en la vida pública, a fin de generar sinergias entre los individuos y procurar su estabilidad y desarrollo.
En este sentido, la cohesión social cobró un mayor auge en la década de los noventa del siglo XX, desde entonces este concepto logró influir en las políticas públicas, mismas que se enfocaron al impulso y desarrollo social. Esto no quiere decir concretamente que previo a esta década no se crearán políticas orientadas al sector social. De acuerdo con Vera, existen al menos dos variantes por los que este término cobra importancia en el terreno político.23 La primera se presenta en lo que se ha denominado como el mundo desarrollado, debido principalmente a la conformación de la Unión Europea y los debates sobre el multiculturalismo en América del Norte y Nueva Zelanda. La segunda variante se presenta en los países en vías de desarrollo, a causa de los efectos poco favorables de las políticas neoliberales implementadas en América Latina.
Ante este escenario, la cohesión social sería el mecanismo “de integración y bienestar con la plena pertenencia social de los individuos”,24 es decir, que la inclusión y pertenencia, o igualdad y pertenencia, son los ejes sobre los que ha girado la noción de cohesión social en sociedades ordenadas bajo la égida del Estado de bienestar. En consecuencia, la cohesión social ha resultado un tanto compleja de observarse en la práctica en América Latina, ya que persiste la desigualdad social, los niveles de pobreza aún se mantienen altos y la vida tradicional se ha visto afectada por la influencia de la globalización.
Por lo anterior, la cohesión social:
[…] suele evocar un anhelo de comunidad ante un escenario de globalización y transformaciones profundas, que muchos asocian con una mayor fragmentación social y una pérdida de lazos estables. La reflexión crítica opone la idea de cohesión a la de corrosión de la legitimidad y gobernabilidad de los Estados, la excesiva racionalización económica.25
De igual forma, se observa una tendencia hacia el individualismo en detrimento de lo público. Es por ello que la idea de cohesión social es la de recuperar esos valores de pertenencia, solidaridad y trabajo conjunto que ha caracterizado, principalmente, a sociedades tradicionales latinoamericanas para el impulso de su desarrollo.
Asimismo, un concepto que coadyuva a la consolidación de la cohesión social es el de capital social. Este puede ser entendido como:
[…] patrimonio simbólico de la sociedad en términos de la capacidad de manejo de normas, redes y lazos sociales de confianza, que permiten reforzar la acción colectiva y sentar bases de reciprocidad en el trato, que se extienden progresivamente al conjunto de la sociedad.26
Lo anterior conlleva al afianzamiento de una sociedad más cohesionada por lo que representa, es decir, el capital social se refiere a las consecuencias positivas para el individuo y la comunidad que resultan de la participación en grupos sociales.27
En virtud de ello, Bourdieu define el capital social como:
[…] la totalidad de los recursos potenciales o actuales asociados a la posesión de una red duradera de relaciones más o menos institucionalizadas de conocimiento y reconocimiento mutuos, basados en la pertenencia a un grupo.28
Lo anterior supone que la participación de los individuos puede traer una serie de beneficios que satisfacen los intereses de toda la colectividad, la cual proviene de ese capital social, mismo que puede ser económico o simbólico.
Un segundo concepto asociado a la cohesión social es el de la integración social. En este sentido, la CEPAL sostiene que:
[…] la de integración social, es el proceso dinámico y multifactorial que posibilita a las personas participar del nivel mínimo de bienestar que es consistente con el desarrollo alcanzado en un determinado país.29
La integración de la sociedad se ve reflejada por medio de su participación y reconocimiento para influir en la toma de decisiones de la colectividad. No obstante, la participación social ha adquirido diferentes matices. Por ejemplo, aparece una connotación muy técnica en la sociología que estudia los lazos sociales en las sociedades modernas, mientras que en la ciencia política el concepto se encuentra relacionado con los trabajos sobre participación política. Así mismo, también se presenta en la discusión sobre el desarrollo comunitario y en el análisis de la gestión pública, referido en este campo a la necesidad de la participación organizada de los ciudadanos en el diseño, la ejecución y el monitoreo de programas gubernamentales de diferente índole.30
Así, las dos nociones sobre las que versa el concepto de cohesión social se refieren al papel relevante que ocupa la sociedad para afianzar el desarrollo del grupo al que pertenece. Esto por medio de su participación activa en lo relacionado a la colectividad para acrecentar el capital social y lograr el beneficio común. Dicha participación debe ser incentivada y facilitada por la misma ciudadanía y los gobiernos, respectivamente, con la idea de disminuir la brecha social existente, principalmente en las naciones en vías de desarrollo.
Enfoques de la cohesión social
Existen diferentes enfoques teóricos y empíricos que intentan conceptualizar la cohesión social, los cuales ofrecen una visión particular y original de los elementos constitutivos del concepto y las dimensiones que comprende. Así, es posible encontrar los enfoques teóricos normativo, histórico y sociológico. Mientras que las perspectivas empíricas se basan en los modelos de la Unión Europea y del gobierno de Canadá para implementar una política pública de cohesión social.
Respecto al enfoque normativo, la cohesión social es un modelo deseable de sociedad que reúne ciertos atributos, cuya presencia o ausencia señala el grado de integración social de la misma. En este marco, los arreglos político-institucionales cobran relevancia al estructurar un tipo de sociedad ideal, que se traduce en la existencia de un sistema democrático con capacidad para distribuir recursos y oportunidades que garanticen equidad, bienestar e inclusión social. En este esquema, los lazos sociales se orientan a la participación como herramienta que promueve los valores cívicos, la tolerancia y el respeto por los derechos humanos. Así, problemas como la desigualdad, la exclusión y la discriminación ponen en riesgo la unidad de la sociedad.31
Por su parte, en el enfoque histórico se agrupan los desarrollos teóricos latinoamericanos, como los de Sorj y Martuccelli32 o de Tironi y Pérez,33 cuya preocupación está centrada en identificar los elementos que mantienen unida a la sociedad de la región. Estos autores rechazan la idea de una sociedad ideal cohesionada y ponen el acento en las diferencias de los procesos históricos que van modelando diferentes ideales de cohesión social.34 El enfoque sociológico enfatiza las maneras en que las personas se mantienen unidas, rechaza la idea de un modelo de sociedad ideal y prioriza los vínculos sociales y los valores compartidos sobre la perspectiva institucional.
Pero el concepto de cohesión social no solo ha sido estructurado desde una visión teórica. Desde la década de los noventa, diferentes regiones y países en el mundo han intentado generar su propio concepto de cohesión social. Una de estas regiones es la Unión Europea. Este enfoque europeo de cohesión social tiene sus bases en el establecimiento de la propia Unión y en la puesta en marcha del Tratado de Maastricht en 1993, que se consolidaría años más tarde con la firma del Tratado de Ámsterdam35 en 1997, cuyo objetivo era incentivar políticas públicas para combatir la exclusión social a través del empleo, la libre circulación de ciudadanos, la justicia, la política exterior y de seguridad común.36 A pesar de que dicho tratado intenta homogeneizar la sociedad europea, aún existen diferencias muy marcadas y desequilibrios entre los Estados miembros.37 Es por ello que una de las prioridades de la Unión Europea se centró en procurar dirimir esas diferencias y disminuir la brecha social existente, con la finalidad de crear las condiciones para el fortalecimiento de un Estado. Dicha unión, por supuesto, aparte de la integración económica y política, contempla la integración social, por lo que se fortaleció toda acción para incentivar la participación ciudadana y crear las políticas adecuadas que afianzaran la igualdad de la sociedad dentro del bloque europeo.
En este sentido, la Unión Europea define la cohesión social como:
[…] la capacidad de una sociedad de asegurar el bienestar de todos sus miembros, minimizando disparidades y evitando la polarización. Una sociedad cohesionada consiste en una comunidad de individuos libres que se apoyan en la búsqueda de estos objetivos comunes bajo medios democráticos.38
La Unión Europea ha identificado que las principales dificultades para alcanzar la cohesión social comunitaria se encuentran en el aspecto socioeconómico (el desempleo, la pobreza, la desigualdad en el ingreso, las disparidades regionales y la exclusión social), el cual se presenta como resultado del contexto de cambios sociales mundiales, como la globalización y la competitividad internacional.39
Lo anterior pone de manifiesto que la cohesión social puede verse entorpecida aun en las sociedades más desarrolladas ante la volatilidad de los cambios originados en la arena internacional. Es por ello que depende de las autoridades gubernamentales y de la sociedad dar impulso a la cohesión social, para disminuir la brecha de la desigualdad, la exclusión y la marginación de algunos grupos de la sociedad.
Otro enfoque empírico es el desarrollado por el gobierno de Canadá, el cual difiere del modelo europeo para dar un mayor impulso a la cohesión de la sociedad. Al igual que en la Unión Europea, el enfoque de cohesión social alentado por el gobierno canadiense surge en la segunda mitad de la década de los noventa, en el contexto del impulso estatal a la investigación aplicada para el desarrollo de políticas públicas. De acuerdo con Jeannotte, el interés del gobierno era apuntalar el diseño de políticas sociales transversales,40 es decir, aquellas acciones en las que intervienen distintas dependencias de manera coordinada para implementar estrategias que, por su dimensión sobre los valores, los comportamientos y las orientaciones, buscan restablecer o generar formas de armonización cívica, cultural y social de los ciudadanos. Ante la pretendida separación de Quebec, se apostó por el multiculturalismo, a fin de que la cohesión social se basara en la “construcción permanente de una comunidad de valores y desafíos compartidos y de igualdad de oportunidades, sobre la base de un sentido de esperanza, confianza y reciprocidad”.41
En este sentido, el gobierno canadiense identificó las principales limitaciones de los actuales enfoques teóricos para interpretar los fenómenos sociales que restringen la cohesión social, y estructuró un plan de acción institucional para resolver los problemas sociales. El enfoque canadiense propone que la cohesión social está siendo desafiada por los diferentes cambios en la política económica, como la liberalización del comercio, la flexibilización del mercado laboral y, sobre todo, el debilitamiento del Estado benefactor. Para Mora, estos cambios “tienen un impacto negativo en la inclusión social, el bienestar individual, el desarrollo cultural, la formación de identidad y el ejercicio de los derechos ciudadanos”.42
No obstante, esto se trató de perfeccionar, ya que:
[…] los valores compartidos podrían resultar contraproducentes porque conllevaban el riesgo de políticas que excluyen la diversidad en aras de la homogeneidad en los valores compartidos. El problema de fondo era la idea de que en una sociedad subyace un núcleo básico de valores compartidos universales común a todos los individuos, con independencia de sus adscripciones culturales particulares.43
Este ajuste ha permitido afianzar el papel de la cohesión social en la sociedad canadiense, misma que se considera una de las más desarrolladas del mundo.
En términos generales, estos enfoques resaltan los elementos que se deben contener para consolidar la cohesión social, con base en las particularidades y características de cada región, aunque difícilmente se pueden homogeneizar para ser implementadas en otras, como Latinoamérica. Esta región cuenta con un contexto y características particulares, sin embargo, la marginación, la exclusión social y el subdesarrollo parecen interferir para dirimir la exclusión de ciertos grupos, disminuir la desigualdad y, por tanto, limitar la cohesión social. Sin embargo, ¿qué tan cierto es esto?
A continuación, se desarrolla una metodología que permite esbozar y determinar el papel que ha tenido el fenómeno de globalización sobre la cohesión social en la región latinoamericana.
Metodología
Este estudio desarrolla dos hipótesis, en la principal, se propone que la globalización tiene un efecto en la cohesión social, por lo tanto, a mayor integración de un país en la globalización, habrá un cambio en los indicadores de cohesión social y, en la segunda, se indica que no hay correlación entre la globalización y cada uno de los indicadores de cohesión social. De manera que, para someter a prueba la hipótesis, se realizó un análisis de regresión lineal (Figura 1), por lo que fue necesario hacer operativas ambas variables a través de indicadores definidos por organismos internacionales.

En primer lugar, para determinar el indicador de globalización, se tomó como base el Globalisation Index,44 organismo que divide al elemento en tres dimensiones: a) la globalización social; b) la globalización política, y c) la globalización económica. Lo anterior permite analizar un conjunto de países latinoamericanos a través de un enfoque similar al de la clasificación de la OCDE.45
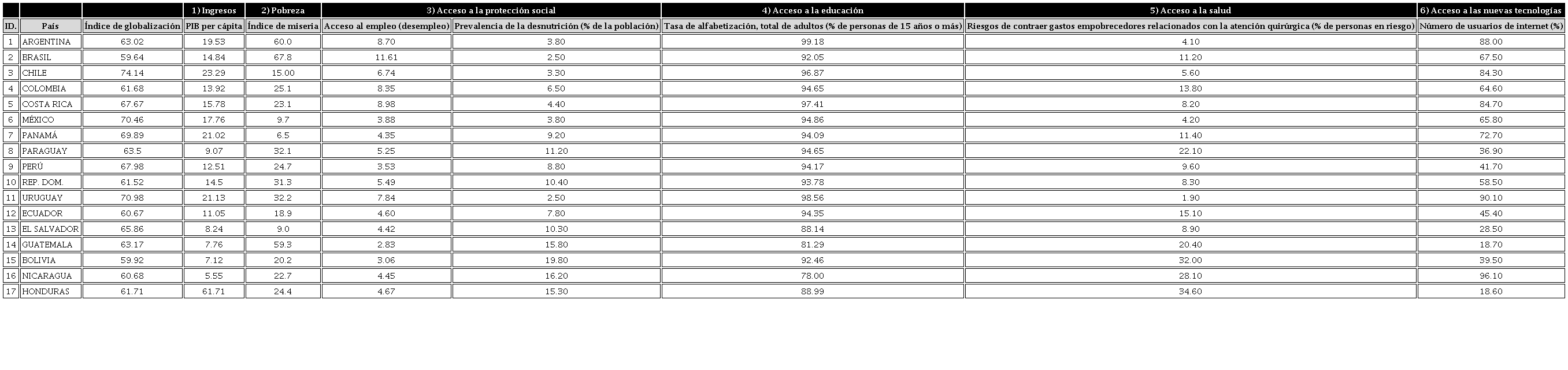
En segundo lugar, para poder relacionar la globalización con la cohesión social, también fue necesario identificar y hacer operativos los indicadores de la cohesión social (Tabla 1), por lo cual se tomaron los indicadores de cohesión social definidos por la CEPAL.46

Selección de la muestra
El análisis está orientado a países de América Latina, tomando como elemento de estudio a diecisiete países vinculados a la OCDE, como Chile y México, que son países miembros de la Organización; Colombia y Costa Rica, que están en proceso de adhesión; Perú, en donde la OCDE está llevando a cabo un Programa País; Brasil, en donde se implementa un programa de cooperación como Socio Clave; así como varios países más que son miembros del Centro de Desarrollo de la OCDE que, por su conformación, en cuanto a desarrollo económico y social, número de habitantes y extensión territorial, son afines con el grupo de esta organización (Tabla 2).

Técnica de recolección de información
Cohesión social

Globalización

De esta forma, a partir de los elementos expuestos, se realizó un análisis correlacional entre ambas variables, teniendo los siguientes resultados.
Resultados
Análisis de regresión lineal simple
El modelo de regresión lineal simple tiene la siguiente expresión:
β0 y β1 son los parámetros del modelo; ε es una variable aleatoria, llamada error, que explica la variabilidad y que no se puede explicar con la relación lineal entre x y y.
Por lo tanto, a través de esta función se validó el grado de asociación de todos los factores definidos de la hipótesis H1(a) a la hipótesis H1(f), con el índice de globalización de forma individual (correlación lineal), utilizando los datos de la Tabla 5.

Los resultados obtenidos (Tabla 6) permitieron identificar un coeficiente de correlación (simple) de Pearson superior a 0, lo cual indica que hay una correlación estadísticamente significativa entre el índice de globalización con los indicadores de cohesión social, como el PIB, la desnutrición y la salud, mientras que no hay tal significancia entre la globalización y el resto de las variables.

Así mismo, las Gráficas 1 al 6 representan la relación entre las variables. Como se puede observar, solo en tres de ellas hay un buen ajuste. Este ajuste es estadísticamente significativo por las pruebas de hipótesis que se realizaron: la que tiene que ver con la estadística F y la que tiene que ver con la estadística t (2 colas) (Tabla 7). En la primera, en solo tres variables, el p-valor (p-value) es menor a 0.05 (PIB, desnutrición y salud). Por tanto, dados estos valores, lo que la globalización explica mejor es el PIB, después la salud y por último la desnutrición.








En cuanto al valor R², es importante mencionar que este es una medida estadística, la cual evalúa qué tan fuerte es la relación lineal entre un par de variables. En este contexto, es posible decir qué tan bueno es el índice de globalización para explicar (de manera lineal) cada uno de estos indicadores (sin ser aquel necesariamente la causa de estos).
Para la estadística t, la prueba dice que la asociación entre variables es estadísticamente significativa, si el valor absoluto de t es mayor al valor crítico de t. Las asociaciones que muestran esta situación son las mismas que las de arriba (y con la misma fuerza). En otras palabras, se comprueba mediante dos pruebas de hipótesis que solo las asociaciones entre la globalización y el PIB, la desnutrición y la salud son significativas (Tabla 7).
Conclusión
A lo largo de este artículo se resaltó una serie de elementos y características que vinculan a la globalización con la cohesión social, a la cual, después de la discusión teórica de ambos conceptos, se aplicó un análisis de regresión lineal utilizando como variables los utilizados por el Globalisation Index,47 el cual la divide en tres dimensiones: la globalización social, la globalización política y la globalización económica; para después hacerlas operativas en seis indicadores de cohesión social, los cuales son: a) ingresos; b) pobreza; c) acceso a la protección social; d) acceso a la educación; e) acceso a la salud, y f) acceso a las nuevas tecnologías. Mismos indicadores que se aplicaron a un total de diecisiete países, que pertenecen como miembros o forman parte del Centro de Desarrollo de la OCDE para América Latina.
Después de la aplicación de la fórmula del modelo de regresión lineal, se comprobó que tres indicadores pueden explicarse significativamente a partir de la globalización, como lo son el PIB, la desnutrición y la salud, por lo tanto, hay una correlación (asociación) significativa entre la globalización y estas variables, mientras que no hay tal significancia entre la globalización y el resto de las variables presentadas.
Lo anterior sugiere que existen al menos dos aristas de los efectos de la globalización en la región de América Latina. Por un lado, los efectos positivos que se demuestran a través del análisis presentado en este trabajo, los cuales indican que sin la implementación de políticas económicas y sociales de carácter liberal,48 la cohesión social en la región pudiera estar en peores condiciones. Por otro lado, sin duda, existen aún grandes retos sociales por resolver, como el incremento de la pobreza, la desigualdad, la falta de oportunidades y la inequidad, que han supuesto un obstáculo para el impulso de la cohesión social en los países de América Latina. Sin embargo, estos problemas han sido originados no tanto por el fenómeno global, sino más bien por la ineficacia de las políticas públicas de los gobiernos latinoamericanos. En este sentido, los gobiernos de la región, así como la sociedad civil podrían revertir algunos de estos problemas con una eficiente estrategia para incorporar los elementos de la globalización dentro de los esquemas de las políticas públicas de la región, con los que, con enfoques de transversalidad, transparencia, participación social, se lograría crear estrategias para enfocar y delimitar los problemas sociales, y a partir de ahí empezar a eliminar brechas sociales. Por su parte, los gobiernos, a través de sus instituciones, deben crear canales idóneos para garantizar el derecho de todos por igual, la inclusión de todos los grupos en la sociedad sin entorpecer sus costumbres y particularidades que los hacen diferentes del resto de la sociedad.
Las condiciones actuales de globalización ponen de manifiesto que para hacer efectiva la cohesión social, es necesaria la participación de los gobiernos con el propósito de aprovechar los beneficios del proceso global y que este tenga un impacto positivo en la sociedad, principalmente en los indicadores del PIB, la desnutrición y la salud, como se ha podido evidenciar con esta investigación. Es importante mencionar que aquellos indicadores con los que se obtuvo un valor significativo negativo o nulo, también permiten identificar que la globalización no precisamente se asocia a todos los factores de la cohesión social, por lo cual, podría llegarse a una percepción negativa de la misma, sin embargo, el efecto en tres indicadores señala la necesidad de la democratización en la toma de decisiones, la cual debe ser una meta para los países latinoamericanos, a fin de que todos puedan acceder a la toma de decisiones en los diferentes niveles de gobierno sin excluir a nadie. Esto es indispensable para el apuntalamiento del desarrollo social en América Latina, mismo que conllevará a afianzar la cohesión social en la región.
Referencias
Barry Eichengreen, La globalización del capital, historia del Sistema Monetario Internacional (Madrid: Antonio Bosh Editor, 1996).
Bernardo Sorj y Danilo Martuccelli, El Desafío Latinoamericano, Cohesión Social y Democracia (São Paulo-Santiago de Chile: Fundación Fernando Henrique Cardoso-Corporación de Estudios para Latinoamérica, 2008).
Branko Milanovic, Global Inequality: A New Approach for the Age of Globalization (Cambridge: Harvard University Press, 2016).
CEPAL, Cohesión social inclusión y sentido de pertenencia en América Latina y el Caribe (Chile: ONU, 2007), 13.
Consejo de Europa, Concerted development of social cohesion indicators. Methodological guide (Bruselas: Consejo de Europa, 2005), 9, disponible en http://www.coe.int/T/E/social_cohesion/social_policies/03.Strategy_for_Social_Cohesio/.
Comunidad Europea, Tratado de Ámsterdam (Berlín: Comunidades Europeas, 1997).
Dennis J. Snower, “Challenges to social cohesion and approaches to policy reform”. En Societal cohesion and the globalizing economy: what does the future hold? (París: OCDE, 1997), 39-60.
Eidgenössische Technische Hochschule Zürich (ETHZ)-KOF, “KOF Globalisation Index”, ETHzürich, disponible en https://www.kof.ethz.ch/en/forecasts-and-indicators/indicators/kof-globalisation-index.html (fecha de acceso: 19 de abril de 2020).
Ernest Healy, Dharma Arunachalam y Tetsuo Mizukami, “Social Cohesion and the Challenge of Globalization”. En Creating Social Cohesion in an Interdependent World, editado por Ernest Healy, Dharma Arunachalam y Tetsuo Mizukami (New York: Palgrave Macmillan, 2016), 3-32.
Eugenio Tironi y Sebastián Pérez B., “La cohesión social latinoamericana. A modo de conclusión”. En Redes, Estado y mercados: soportes de la cohesión social latinoamericana, editado por E. Tironi Barrios y C. Cox D. (Santiago de Chile: Uqbar Editores, 2008), 377-407.
Jagdish Bhagwati, In Defense of Globalization (Nueva York: Oxford University Press, 2004).
Jaime Vera, “Núcleo y dimensiones analíticas de la cohesión social. Enfoques contemporáneos”, conferencia pronunciada en el Congreso Latinoamericano de FLACSO-México, Ciudad de México , 26 y 27 de junio de 2014.
Jan Nederveen Pieterse, Globalization and Culture: Global Mélange (Lanham: Rowman and Littlefield, 2015).
John Hannigan, “Culture, Globalization, and Social Cohesion: Towards a Deterritorialized, Global Fluids Model”, Canadian Journal of Communication 27.2 (2002): 277-287.
Joseph Stiglitz, Cómo hacer que funcione la globalización (Madrid: Taurus, 2006).
M. Sharon Jeannotte, “Social Cohesion: Insights from Canadian Research. Strategic Research and Analysis (SRA-827)”, conferencia presentada en Conference on Social Cohesion, Hong Kong, China, 29 de noviembre de 2003.
Martin Potůček, “Economic globalization and the role of the EU social policy as challenge (not only) for Central and Eastern Europe”, Social Work & Society 16.2 (2018): 1-9.
Minor Mora, Cohesión social: balance conceptual y propuesta teórico metodológica (Ciudad de México: CONEVAL, 2015), 16.
Nabila Asghar, Shazia Qureshi y Muhammad Nadeem, “Globalization: A Surreptitious Threat to Intra State Social Cohesion”, Journal of Pakistan Vision 16.2 (2015): 117-141.
Naciones Unidas y CEPAL, “Estadísticas e indicadores”, CEPALSTAT, https://estadisticas.cepal.org/cepalstat/web_cepalstat/estadisticasIndicadores.asp?idioma=e (fecha de acceso: 19 de abril de 2020).
Ngaire Woods, The Political Economy of Globalization (Londres: Palgrave, 2000), 3-6.
OCDE, “Apoyar a los países de Latinoamérica y el Caribe (LAC) en sus esfuerzos de reforma”, OECD, disponible en http://www.oecd.org/centrodemexico/inicio/paises-miembros-en-america-latina-y-asociados.htm (fecha de acceso: 19 de abril de 2020).
Patricia Nari, “Ciudades des-tramadas: Políticas locales de Cohesión Social Urbana. Un estudio comparado de políticas públicas locales en territorios excluidos y aportes de diseño” (Tesis doctoral, Universidad Politécnica de Valencia, 2015), 18.
Personal del Fondo Monetario Internacional (FMI), “La globalización: ¿Amenaza u oportunidad?”, IMF, abril de 2020, http://www.imf.org/external/np/exr/ib/2000/esl/041200s.htm.
Pierre Bourdieu, “Las formas del capital. Capital económico, capital cultural y capital social”. En Poder, derecho y clases sociales, 2a. ed. (Bilbao: Desclée de Brouwer, 2001), 148.v
Romina Boarini, Orsetta Causa, Marc Fleurbaey, Gianluca Grimalda e Ingrid Woolard, “Reducing inequalities and strengthening social cohesion through inclusive growth: a roadmap for action”, Economics: The Open-Access, Open-Assessment E-Journal 12.63 (2018): 1-26.
Samir Amin, Capitalism in the Age of Globalization: The Management of Contemporary Society (Londres: Zed Books, 1997).
Sheila Croucher, Globalization and Belonging: The Politics of Identity in a Changing World, 2a. ed. (Nueva York: Rowman and Littlefield, 2018), 14.
Xavier Sala-i-Martin, Globalización y reducción de la pobreza (Madrid: FAES, 2006).
Notas