Artículos originales
Mecanismos de desarrollo de la atención selectiva en población infantil*
The development mechanisms of selective attention in child population
Mecanismos de desarrollo de la atención selectiva en población infantil*
CES Psicología, vol. 12, núm. 3, pp. 105-118, 2019
Universidad CES
Recepción: 05 Marzo 2019
Aprobación: 03 Septiembre 2019
Resumen: La atención selectiva es la función cognitiva que orienta la atención hacia los objetos o estímulos que resultan relevantes evitando la distracción frente a aquellos que son irrelevantes. En general, la literatura indica que el desempeño de la atención selectiva mejora notablemente con la edad, sin embargo, las diferencias vinculadas a esta variable no se cumplen para todas las condiciones de cantidad de estímulos distractores ni para todos los grupos de edad. Asimismo, aún no se ha explorado la contribución del control inhibitorio y la velocidad de procesamiento a esta mejora progresiva. Por este motivo, y debido a la escasez de estudios en población infantil, se propuso analizar la contribución relativa de la velocidad de procesamiento y de la inhibición al desempeño en una tarea de atención selectiva y búsqueda visual en esta etapa evolutiva. Para ello, se administró una tarea de búsqueda de conjunciones y una tarea simple de velocidad de respuesta a 295 niños de 6 a 13 años de edad. Los resultados permitieron plantear dos conclusiones principales: por un lado, que la atención selectiva mejora consistentemente durante la niñez y, por otro lado, que no existe un mecanismo general y exclusivo capaz de explicar estas diferencias durante esta etapa vital. Así, tanto la velocidad de procesamiento como el control inhibitorio contribuyen al desarrollo de la atención selectiva y ambos mecanismos cognitivos actúan de manera complementaria más que excluyente.
Palabras clave: Atención selectiva, Inhibición cognitiva, Control inhibitorio, Velocidad de procesamiento, Niños.
Abstract: Selective attention allows directs attention to relevant objects or stimuli, while avoiding distraction from those that are irrelevant. The literature indicates that performance in CVS tasks improves markedly with age. However, age-related differences are not met neither for every number of distractor conditions nor for all age groups. In addition, the contribution of inhibitory control and processing speed to this progressive improvement has not yet been explored. For this reason, and due to the scarcity of studies using CVS paradigm to evaluate selective attention in children, the present study aimed to analyze the relative contribution of processing speed and inhibition to performance during this evolutionary period in a selective attention and CVS task. To do this, a CVS and a simple response speed task were administered to 295 children aged 6-13 years old. Results offered two conclusions: first, selective attention improves during childhood; second, there is no general and exclusive mechanism capable of explaining these differences during this period. Thus, both processing speed and inhibitory control contribute to development of selective attention, and they seem to be more complementary mechanisms than excluding ones.
Keywords: Selective Attention, Cognitive Inhibition, Inhibitory Control, Processing Speed, Children.
Introducción
La atención selectiva es la función cognitiva que orienta la atención hacia los objetos o estímulos que resultan relevantes evitando la distracción frente a aquellos que son irrelevantes. Este proceso es de vital importancia para la vida diaria dado que guía la búsqueda de los elementos del mundo que resultan vitales para el logro de nuestros objetivos inmediatos. Identificar una señalización de tránsito entre varios carteles de publicidad que se encuentran en el camino, localizar el lápiz que necesitamos entre un conjunto de lápices similares dejados sobre el escritorio, detectar el rostro de la madre entre varias personas; todas estas actividades dependen en gran medida de los procesos atencionales y de la búsqueda visual. Uno de los procedimientos experimentales más ampliamente utilizados en la evaluación de estos procesos atencionales es el denominado paradigma de Búsqueda Visual Conjunta (BVC) o paradigma de búsqueda de conjunciones (ver Introzzi, Zamora, Aydmune, Canet Juric, & López, 2017; Woods et al., 2013). En este paradigma, se solicita la búsqueda e identificación de un estímulo objetivo o target que se presenta mezclado entre un número variable de estímulos distractores o no target. Lo característico de este procedimiento, es que el target y los estímulos distractores comparten al menos una característica o atributo visual y que la persona está obligada a emitir una respuesta indicando la ausencia o presencia del mismo. El patrón típico de desempeño en la búsqueda de conjunciones se caracteriza por la regresión lineal de los Tiempos de Reacción (TR) sobre la cantidad de elementos presentes en la escena visual (función de búsqueda) y por una pendiente de búsqueda claramente positiva que presenta un incremento por cada distractor añadido (Treisman & Gelade, 1980). La evidencia obtenida a través del paradigma de BVC (Lobaugh, Cole, & Rovet, 1998; Plude, Enns, & Brodeur, 1994; Trick & Enns, 1998) y de otros procedimientos tradicionales (Klenberg, Korkman, & Lahti-Nuuttila, 2001; Zhan et al., 2010) muestra que la atención selectiva experimenta un progresivo y notable incremento durante la infancia que continúa hasta alcanzar su punto máximo de desarrollo durante la adolescencia e inicio de la adultez. En la infancia, los estudios han permitido mostrar la existencia de una correlación positiva entre la edad y el desempeño en distintos tipos de tareas de evaluación de atención selectiva (Introzzi et al., 2016; Jiménez et al., 2012; Richard’s, Introzzi, Zamora, & Vernucci, 2017). Frente a esta evidencia, una de las preguntas de mayor interés y relevancia para la psicología evolutiva es a qué se debe o cómo se explica la clara mejora en la atención selectiva que se observa durante el desarrollo infantil. Algunas de las teorías evolutivas que derivan de los enfoques basados en el procesamiento de la información han propuesto mecanismos cognitivos de carácter general; básicamente, asumen que estos mecanismos son generales porque los consideran responsables de los cambios que se presentan durante el desarrollo en distintos dominios cognitivos y porque además proponen un único mecanismo para explicar el patrón de desarrollo en forma de U invertida registrado en el curso vital (ver Belmont, 1996; Dempster, 1992; Hasher, Lustig, & Zacks, 2007; Hasher & Zacks, 1988; Kail & Salthouse, 1994; Rabbit, 2017).
Entre las propuestas más difundidas destinadas a explicar el cambio que se genera en el rendimiento cognitivo como resultado de la acción de mecanismos generales se destacan la de Salthouse y Kail (Kail, 1991, 1995, 1997; Kail & Salthouse, 1994; Salthouse, 1993) y la de Hasher y colaboradores (Hasher et al., 2007; Lustig, Hasher, & Tonev, 2006; Zacks, Hasher, & Li, 2000).
Según Salthouse y Kail el incremento en la velocidad de procesamiento es el principal mecanismo responsable del cambio cognitivo asociado a la edad; los niños requieren más tiempo que los adultos para completar las tareas, independientemente del grado de complejidad que éstas presenten. Además de lo anterior, lo más llamativo es que la trayectoria o patrón de desarrollo resulta equivalente para distintos tipos de tareas cognitivas, desde aquellas que requieren mayor esfuerzo cognitivo hasta las más sencillas y simples. En otras palabras, las funciones de crecimiento serían las mismas para todos los procesos cognitivos, aún en niños menores de 8 años (ver Canfield, Smith, Brezsnyak, & Snow, 1997; Kail & Bisanz, 1992; Kail, 1991; Zelazo, Kearsley, & Stack, 1995). Para estos autores, el incremento en la velocidad de procesamiento permite que queden disponibles otros recursos cognitivos para resolver las tareas, lo que impacta fuertemente en el desempeño. En síntesis, el aumento de este parámetro permite superar las limitaciones propias del sistema de procesamiento de la información, reclutando más y mejores recursos para la resolución de las distintas tareas. Además, según Salthouse y Kail, es probable que este incremento en la velocidad se explique por cambios madurativos asociados al sistema nervioso central, específicamente al proceso de mielinización cerebral.
Otra de las propuestas reconocidas es la de Hasher y colaboradores (2007), para quienes el principal mecanismo cognitivo que explica las diferencias asociadas a la edad en el rendimiento cognitivo es la inhibición. Este mecanismo es el que nos permite focalizar la atención en nuestros objetivos y controlar la interferencia generada por los estímulos distractores. Básicamente, como se asume que el sistema cognitivo presenta una capacidad limitada de procesamiento, el control inhibitorio resulta esencial pues interviene permitiendo el acceso solo de los contendidos relevantes al foco atencional. Es decir, el funcionamiento eficiente de la inhibición mantiene fuera del foco atencional los contenidos que resultan irrelevantes para el logro de nuestros objetivos, lo que presenta un claro impacto en el sistema cognitivo pues no solo contribuye a disminuir la cantidad de errores sino también a aumentar la velocidad de procesamiento. En definitiva, este enfoque postula a la inhibición como el principal mecanismo cognitivo capaz de explicar las diferencias encontradas en el desempeño de tareas cognitivas en el curso vital. De este modo, se propone que las variaciones en la memoria de trabajo, la atención e incluso en la velocidad de procesamiento entre individuos y entre distintos grupos de edad, dependen en gran parte de los cambios que experimentan los procesos inhibitorios debido al desarrollo o como consecuencia de diferencias individuales (ver Hasher & Zacks, 1988; Hasher et al., 2007).
En síntesis, la inhibición y la velocidad de procesamiento son dos de los principales mecanismos cognitivos propuestos para explicar las diferencias registradas en el desempeño de tareas cognitivas complejas a lo largo del curso vital. Posiblemente, el peso relativo de estos mecanismos no sea el mismo en distintas etapas del desarrollo, y la inhibición y la velocidad de procesamiento asuman relaciones de complementariedad. Algunos estudios (Christ, White, Mandernach, & Keys, 2001; Hommel, Li, & Li, 2004; Spanak, Ridderinkhof, & van der Molen, 2004) han reportado evidencia que muestra que las diferencias en el desempeño en tareas cognitivas complejas entre niños y jóvenes dependen en gran medida de la velocidad de procesamiento mientras que las encontradas entre jóvenes y adultos mayores se explican principalmente por la progresiva disminución de la eficiencia inhibitoria. Por otra parte, como ya se mencionó, existen enfoques que explican los principales cambios cognitivos en el curso vital apelando de manera exclusiva a un único mecanismo: la inhibición (Dempster, 1992; Diamond, 1990; Gerstadt, Hong, & Diamond, 2004; Harnishfeger, 1995) o la velocidad de procesamiento (Kail, 1991, 1995, 1997; Kail & Salthouse, 1994; Salthouse, 1993). No obstante, los estudios destinados a analizar esta cuestión son escasos e insuficientes y sus resultados aún no son concluyentes.
En función de lo anterior, este estudio pretende realizar un aporte a dicha discusión. Para ello, propone analizar la contribución relativa de la velocidad de procesamiento y de la inhibición al desempeño en una tarea de atención selectiva en niños de 6 a 13 años de edad.
Método
Diseño
Se implementó un diseño no experimental, transversal correlacional-causal (Hernández Sampieri, Fernández Collado, & Baptista Lucio, 2015).
Participantes
Se trabajó con una muestra no probabilística intencional, conformada por 295 niños, de ambos sexos (167 niñas y 128 niños), de 6 a 13 años de edad (M= 9.7, DE =2.12, 6 años n= 28, 7 años n= 34, 8 años n= 35, 9 años n= 23, 10 años n= 51, 11 años n= 43, 12 años n= 68, 13 años n= 13), alumnos de 1º a 6º año de educación primaria de dos instituciones educativas de gestión pública de la ciudad de Mar del Plata (Argentina). La selección de los participantes contempló los siguientes criterios de inclusión: alumnos no repitentes; que no estuvieran en tratamiento psicológico y/o psiquiátrico; que presentaran un desarrollo típico -sin déficits o alteraciones, sin antecedentes del trastorno del aprendizaje, ni del desarrollo-; y con visión y audición normales o corregidas (condiciones necesarias para llevar a cabo las actividades propuestas).
Instrumentos
Tarea de Búsqueda Visual Conjunta (BVC). Para evaluar la atención selectiva se utilizó una tarea de búsqueda visual que forma parte de la batería de Tareas de Autorregulación Cognitiva- -TAC- (Introzzi & Canet -Juric, 2012). La tarea se construyó con base en el paradigma experimental de BVC de Treisman y Gelade (1980), y por eso fue denominada de tal manera. La actividad consiste en identificar la presencia o la ausencia de un estímulo target -cuadrado azul- entre un conjunto variable de estímulos distractores -cuadrados rojos y círculos azules-. Todos los estímulos distractores comparten una característica visual con el target (forma o color), lo que garantiza el efecto de interferencia y la participación de la atención selectiva. La tarea está compuesta por un bloque de 10 ensayos de práctica, seguido de tres bloques experimentales de 40 ensayos cada uno. En cada bloque, los ensayos se distribuyen de manera equivalente en cuatro condiciones según el número de estímulos distractores: 4, 8, 16 y 32. Por ende, la tarea en conjunto presenta 30 ensayos por cada una de las condiciones vinculadas al número de estímulos distractores (condición Cantidad de distractores). Además, en el 50 % de los ensayos el target está presente y en el resto está ausente, lo que demanda una respuesta positiva y negativa, respectivamente. En cada ensayo, el participante debe responder lo más rápido y preciso posible presionando una tecla, según si el target está presente o ausente. Una vez que el participante emite su respuesta, aparece el siguiente ensayo. El desempeño en la tarea se analiza a través de dos medidas principales, una expresada en el Tiempo de respuesta (TR) y otra en porcentaje de respuestas correctas (precisión de respuestas). De este modo, se obtienen dos índices para cada una de las condiciones de cantidad de estímulos distractores (4, 8, 16 y 32). El desempeño típico en esta tarea corresponde a un incremento en los TR medios y a una disminución de la precisión de respuesta en función de la cantidad de estímulos distractores. Básicamente, a medida que se incrementa la cantidad de estímulos distractores, se registra una importante disminución en el desempeño (Treisman & Gelade, 1980; Treisman & Sato, 1990).
Tarea simple de velocidad de respuesta. Para evaluar la velocidad de procesamiento se administró una tarea simple de velocidad de respuesta de la TAC (Introzzi & Canet-Juric, 2012). En esta tarea, se presentan los mismos estímulos que en la tarea de búsqueda visual: círculos rojos, cuadrados azules y cuadrados rojos. El participante debe presionar lo más rápido posible la tecla “Z” del teclado si el cuadrado azul está presente en la pantalla y la tecla “M” si aparece un cuadrado rojo o un círculo azul. La tarea está integrada por una fase inicial de práctica de 10 ensayos y la fase experimental durante la que se registran los dos principales índices de desempeño: Tiempo y precisión de respuesta. En el 50% de los ensayos se presenta el cuadrado azul y en el otro 50% los estímulos distractores. De estos últimos, cinco son cuadrados rojos y cinco son círculos azules. El principal criterio que se tuvo en cuenta en el diseño de esta tarea fue su equivalencia en la mayoría de sus aspectos respecto a la tarea de BVC. Por ello, se utilizaron los mismos estímulos e intervalos, la misma proporción de ensayos con y sin target, las mismas teclas de respuesta y la posibilidad de aparición de los estímulos en distintas localizaciones de la pantalla. El objetivo fue reducir al máximo la intervención de la búsqueda visual y la atención selectiva eliminando la interferencia generada por los estímulos distractores -pues se presenta un único estímulo en pantalla- pero dejando intactas el resto de las condiciones de la tarea. Esto permitió evaluar la velocidad de procesamiento con una mínima intervención del mecanismo inhibitorio.
Índice de control inhibitorio. Para evaluar el mecanismo de control inhibitorio se calcularon las diferencias de desempeño entre la Tarea simple de velocidad de respuesta y la condición de 4 estímulos distractores de la tarea de BVC. De este modo, se obtuvieron dos índices: uno que expresa la diferencia en términos del porcentaje de aciertos y otro en función de los TR. Estas diferencias constituyen las medidas más frecuentemente utilizadas para evaluar el efecto de interferencia y el funcionamiento inhibitorio (e.g., Crone, Jennings, & van der Molen, 2003; Mullane, Corkum, Klein, & McLaughlin, 2003).
La tarea de BVC ha presentado evidencias de validez interna y externa (convergente), así como de confiabilidad, en niños a partir de los 6 años de edad (Richard´s et al., 2017). Por su parte, la tarea simple de velocidad de respuesta ha mostrado evidencias de validez interna y confiabilidad, en niños de 6 a 15 años de edad (Introzzi et al., 2016).
Procedimiento y aspectos éticos
Una vez presentado y aprobado el proyecto en las instituciones educativas, se informó a los padres/tutores de los niños sobre el estudio y se obtuvieron los respectivos consentimientos informados. Asimismo, los niños fueron informados (con términos apropiados a la edad) sobre el estudio y las actividades que este involucraba; y se obtuvieron sus asentimientos para formar parte de la investigación. Todas las actividades llevadas a cabo por los participantes se realizaron en las instituciones educativas a las que asistían los niños, en un aula destinada a tal fin y a cargo de investigadores acreditados para ello. Las tareas se propusieron en una única sesión de 15 minutos. Una vez recolectados los datos, se agruparon según la edad de los participantes, conformándose los siguientes grupos etarios: (1) Niños de 6 y 7 años de edad, n= 62; (2) niños de 8 y 9 años, n = 58; (3) niños de 10 y 11 años, n=94; y (4) niños de 12 y 13 años, n = 81.
Para la implementación de esta investigación se tomaron en cuenta los lineamientos de la ley 11.044 de la Provincia de Buenos Aires (Argentina), la American Psychological Association, la Convención Internacional sobre los Derechos del Niño, la Ley Nacional Nº 26061, la Ley Provincial Nº 13298 de la Promoción y Protección Integral de los Derechos del Niño, así como los lineamientos del CONICET para el comportamiento ético en las Ciencias sociales y Humanidades (2857/06).
Plan de análisis de datos
Modelo 1. Efectos de la Edad y la Cantidad de estímulos distractores en el desempeño de la tarea de BVC sin inclusión de covariables (Anova mixto con un factor inter-sujeto y un factor intra-sujeto con medidas repetidas)
En primer lugar, para comparar si existían diferencias asociadas a la edad en las distintas condiciones de la tarea de BVC se aplicaron ANOVAs mixtos con un factor inter-sujeto y un factor intra-sujeto con medidas repetidas. Así, el diseño involucró dos factores -Edad y Cantidad de estímulos distractores- con medidas repetidas en este factor -considerando el TR y la precisión de respuesta en las distintas condiciones de estímulos distractores (4, 8, 16 y 32 distractores)-. Los índices de desempeño expresados en precisión y velocidad se analizaron por separado. De este modo, se definió como factor inter-sujetos la Edad con cuatro categorías o grupos de edad (Grupo 1, 2, 3 y 4) y como factor intra-sujetos la Cantidad de estímulos distractores (con cuatro niveles correspondientes a las condiciones de 4, 8, 16 y 32 distractores de la tarea de búsqueda visual). Este modelo permitió evaluar el supuesto de las diferencias en la atención selectiva asociadas a la edad1.
Modelo 2. Efectos de la Edad y la Cantidad de estímulos distractores en la tarea de BVC con inclusión de covariables (Ancova mixto con covariables)
En segundo lugar, para explorar la contribución de la velocidad de procesamiento y del control inhibitorio sobre el desempeño en las distintas condiciones de la tarea de BVC, también se utilizó un modelo de dos factores -Edad y Cantidad de distractores con medidas repetidas en Cantidad de distractores (velocidad y precisión de respuesta en 4, 8, 16 y 32 distractores), pero con inclusión de covariables. Las covariables fueron las medidas de TR y precisión de repuesta de la tarea de velocidad de respuesta y las medidas de TR y precisión del índice de control inhibitorio. La comparación del Modelo 1 -sin inclusión de covariables- y del Modelo 2-con inclusión de covariables- permitió analizar la contribución de ambos mecanismos a los cambios vinculados con la edad en el desempeño de la tarea de BVC. Se supuso que, al incluir las covariables se perdería la significación de la interacción entre la Edad y la Cantidad de estímulos distractores o, de conservarse la significación, disminuiría la proporción de variancia explicada de la interacción obtenida en el Modelo 1. Este resultado, indicaría que aquellas variables que se controlaron tendrían una cierta participación en la explicación de las diferencias de rendimiento observadas a través de la edad y las condiciones de la tarea.
Resultados
Modelo 1
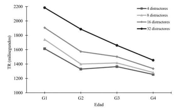
La Tabla 1 muestra los estadísticos descriptivos discriminados por grupo de edad para los índices de desempeño en las distintas condiciones de cantidad de distractores de la tarea de BVC. Los datos permiten observar una tendencia al aumento de la precisión y disminución de los TR a través de los grupos de edad y la cantidad de distractores en la tarea. Los resultados obtenidos en los índices derivados de los TR, mostraron efectos principales de la Edad, F(3, 291)= 29.394, p< .001, η2p= 0.233, de la Cantidad de distractores, F(2.29, 666.57)= 136.783, p< .001, η2p= 0.32, y de interacción de la Edad x Cantidad de distractores, F(6.87, 666.57)= 7.247, p< .001, η2p= 0.070. En relación con el efecto de interacción, las comparaciones por pares indican que, en las condiciones de 4 y 8 distractores, el desempeño del Grupo 1 difiere de manera significativa con respecto al desempeño de los tres grupos restantes. En la condición de 16 distractores, a lo anterior se le suma una diferencia del rendimiento del grupo 4 con respecto a los tres restantes. Finalmente, en la condición de 32 distractores todos los grupos difieren entre sí (ver Tabla 2).


Respecto a las medidas basadas en la precisión de respuesta, también se presentaron efectos principales de la Edad, F(3, 291)= 25.298, p< .001, η2p= 0.207, de la Cantidad de distractores, F(2.37, 688.56)= 235.063, p< .001, η2p= 0.447, y de interacción Edad x Cantidad de distractores, F(7.1, 688.56)= 137.484, p< .001, η2p= 0.030. Respecto a esto último, las comparaciones por pares indican que, en las condiciones de 4 y 8 distractores, es el grupo 1 el que difiere de manera significativa con respecto a los otros 3 grupos; mientras que en las condiciones de 16 y 32 distractores a ello se le suma una diferencia significativa de desempeño entre el grupo 2 y el 4 (ver Tabla 2).
En su conjunto, estos resultados sugieren que existen diferencias en el desempeño de la tarea de BVC (tanto respecto a la precisión como al TR) como efecto de la edad, de las condiciones de la tarea y de interacción entre las mismas.
Modelo 2
Inclusión de la velocidad de respuesta como covariable. En relación a los índices de desempeño expresados en TR, la inclusión del TR medio en la tarea de tiempo de respuesta simple como covariable, muestra que se mantiene la significación de la interacción entre la Edad y la Cantidad de distractores obtenido en el Modelo 1. Sin embargo, se presenta una disminución de la proporción de la varianza explicada del 7% al 5,2%, F(6.87,664.75)= 5.354, p< .001, η2p= 0.052. Las comparaciones por pares sugieren ausencia de diferencias significativas en cuanto al desempeño de los 4 grupos entre sí, en las condiciones con 4 y 8 distractores. Por su parte, en las condiciones de 16 distractores se observa que el grupo 1 difiere respecto de los grupos 3 y 4; mientras que en la condición de 32 distractores se le suma una diferencia significativa entre los grupos 2 y 4 (ver Tabla 2).
Respecto a los índices de desempeño expresados en porcentaje de respuestas correctas (precisión), al considerar la precisión en las distintas condiciones según la cantidad de estímulos distractores y la precisión de respuesta en la tarea de simple de velocidad de respuesta como covariable, también se mantiene el efecto significativo de interacción. En este caso, se mantiene el porcentaje de la variancia explicado, F(7.09, 685.12)= 3.057, p< .05, η2p= 0.031- y las diferencias de rendimiento entre los grupos en las distintas condiciones (ver Tabla 2).
Inclusión del control inhibitorio como covariable. En relación con las medidas de desempeño expresadas en TR, al incluir el índice de control inhibitorio como covariable también se mantuvo el efecto de interacción entre la Edad y la Cantidad de distractores. Sin embargo, al igual que para para el control de la velocidad de respuesta se registró una disminución en la proporción de varianza explicada respecto de la ausencia de control de covariables (Modelo 1), F(7.06, 682.13)= 6.940, p< .001, η2p= 0.067. Específicamente, se identificó una reducción del 7% (Modelo 1) al 6.7% (Modelo2). Las comparaciones por pares indican que en la condición de 4 distractores el grupo 1 difiere con respecto a los tres restantes y lo mismo se aplica al grupo 4; en la condición de 8 distractores sólo el grupo 1 difiere respecto de los tres restantes; con 16 distractores todos los grupos difieren entre sí excepto el 2 y el 3; y en la condición de 32 distractores todos los grupos difieren entre sí (ver Tabla 2).
En relación a la inclusión de la medida de precisión como covariable, y considerando también la precisión como índice de desempeño la tarea de BVC, aunque se mantuvo el efecto de interacción obtenido en el Modelo 1, no disminuyó la proporción de varianza explicada, aumentó levemente un 0.5%, F(7, 678.62)= 3.531, p= .001, η2p= 0.035. Las diferencias entre los grupos en las distintas condiciones de la tarea se mantuvieron (ver Tabla 2). En su conjunto, los resultados obtenidos de la comparación entre los Modelos 1 y 2 muestran lo siguiente: (1) En el Modelo 2, se mantuvieron todos los efectos de interacción entre la edad y el desempeño en las distintas condiciones de cantidad de distractores de la tarea de BVC. (2) Solo se registró una disminución en la proporción de la varianza explicada del Modelo 2 respecto al Modelo 1 al utilizar como medidas de desempeño los TR. No se registraron cambios cuando se utilizaron medidas de precisión de respuesta. (3) Aunque al incluir la velocidad de respuesta y el control inhibitorio como covariables se registró una disminución en la proporción de varianza explicada del Modelo 1 respecto al Modelo 2 esta diferencia no fue sustancial (ver Figura 1 y 2). (4) En general, al comparar el efecto de ambas covariables en relación con las diferencias de desempeño en las diferencias por grupo de edad en las distintas condiciones de cantidad de distractores, se observa que la velocidad de procesamiento presenta una contribución de mayor peso respecto al control inhibitorio.


Discusión y conclusiones
Este estudio ha permitido obtener evidencia consistente acerca de dos cuestiones de especial interés en el ámbito del desarrollo: los cambios asociados a la edad en la atención selectiva en población infantil y la contribución relativa de la velocidad de procesamiento y el control inhibitorio a estos cambios.
Respecto a los cambios asociados a la edad, los análisis efectuados muestran que el desempeño en la tarea de búsqueda de conjunciones mejora notablemente con la edad. Esta evidencia coincide con los resultados de estudios que han utilizado este paradigma (búsqueda de conjunciones) como principal método de evaluación de la atención selectiva (Lobaugh et al., 1998; Plude et al., 1994; Trick & Enns, 1998). Asimismo, las mejoras de desempeño atribuidas a la edad fueron consistentes en los principales índices de desempeño - expresados en TR y porcentaje de respuestas correctas-. De esta forma, al mismo tiempo que los TR disminuyeron en función de la edad, es decir, que los niños se volvieron más rápidos en la ejecución de respuesta, presentaron un incremento notorio de su precisión. Sin embargo, las diferencias vinculadas a la edad no se cumplen para todas las condiciones de cantidad de distractores ni para todos los grupos de edad. De manera general y en relación a los TR como medida de desempeño, la condición que mejor discrimina entre los distintos grupos de edad es la de 32 distractores. Así, en la condición de 32 distractores se observa con claridad que a medida que aumenta la edad se presenta una clara mejoría en la atención selectiva, lo que se manifiesta a través de una evidente disminución en los TR. Por otra parte, en relación con la precisión de la respuesta, también se registra esta tendencia general que muestra que en las condiciones de mayor cantidad de distractores las diferencias de desempeño asociadas a la edad se hacen más evidentes. En síntesis, lo anterior corrobora que la atención selectiva mejora con la edad y que esta mejora continúa al menos hasta el inicio de la adolescencia.
Respecto a la contribución de la velocidad de procesamiento a los cambios que experimenta la atención selectiva durante la infancia, el conjunto de los análisis efectuados permitió observar que, al controlar la velocidad de procesamiento las diferencias asociadas a la edad en la atención selectiva se mantienen. Sin embargo, la proporción de la varianza explicada por la edad disminuye levemente. Este hallazgo se repite tanto cuando se incluyen los TR como la precisión de respuesta. En líneas generales, esto implica que una pequeña parte de los cambios que experimentan los niños en la atención selectiva se explican por la velocidad de procesamiento. No obstante, esta participación no parece ser de tanto peso como la que le atribuyen algunos enfoques tradicionales vinculados al desarrollo cognitivo (ver Kail, 1991, 1995, 1997; Kail & Salthouse, 1994; Salthouse, 1993). Por otra parte, Hommel et al. (2004) a través del mismo paradigma utilizado en este trabajo, encontraron resultados similares. Específicamente mostraron que, al controlar la velocidad de procesamiento, se mantenían las diferencias asociadas a la edad a lo largo de todo el curso vital. Además, en líneas generales encontraron que las diferencias entre los adultos jóvenes y adultos mayores se hacían más evidentes en las condiciones con mayor cantidad de distractores, mientras que, en niños, la mera presencia de distractores posibilitaba observar diferencias significativas de desempeño. En este estudio Hommel et al (2004), mostraron que mientras mayor es la demanda de atención selectiva, mayores son las diferencias de desempeño entre los distintos grupos de edad.
Al igual que para la velocidad de procesamiento, los hallazgos de la presente investigación muestran la contribución del control inhibitorio a la atención selectiva, en especial, cuando se consideran los índices de desempeño expresados en TR. En líneas generales, aunque el incremento de la eficiencia inhibitoria contribuye al desarrollo de la atención selectiva, éste no parece ser el único mecanismo involucrado en los cambios. Este resultado, coincide parcialmente con enfoques como el propuesto por Hasher y colaboradores (ver Hasher & Zacks, 1988; Hasher et al., 2007). Sin embargo, la principal diferencia respecto a éstos últimos es que, tal como ha mostrado la evidencia aportada por otros estudios (Hommel et al., 2004) la contribución del control inhibitorio no parece tener un rol único y protagónico en la mejora que experimentan los niños en la tarea de búsqueda de conjunciones. Finalmente, en relación con la condición principal de esta tarea, la cantidad de distractores, la evidencia vuelve a mostrar que cuanto mayor es la cantidad de distractores en la escena visual, mayores son las diferencias entre los distintos grupos de edad. Estos resultados constituyen un aporte de interés debido a dos factores principales; en primer lugar, la escasez de estudios que han utilizado este paradigma para evaluar la atención selectiva en población infantil y, en segundo lugar, el reporte y análisis de las condiciones de distractores donde los niños presentan diferencias asociadas a la edad.
En síntesis, de este estudio se derivan dos conclusiones principales; por un lado, que la atención selectiva mejora consistentemente durante la infancia y por otro que no existe un mecanismo general y exclusivo capaz de explicar estas diferencias durante esta etapa vital. Así, se considera que tanto la velocidad de procesamiento como el control inhibitorio, contribuyen a este desarrollo y más que mecanismos excluyentes parecen mantener relaciones de complementariedad. Esta idea resulta contraria a aquellas posturas o enfoques del desarrollo que plantean la existencia de un único mecanismo de carácter general para explicar los principales cambios cognitivos que se presentan durante el desarrollo del curso vital.
Referencias
Belmont, J. (1996). Commentary: The “inverted-U” shapedness of mental development. Journal of Russian & East European Psychology, 34(6), 12-15. doi: https://doi.org/10.2753/RPO1061-0405340612
Canfield, R. L., Smith, E. G., Brezsnyak, M. P., & Snow, K. L. (1997). Information processing through the first year of life: A longitudinal study using the visual expectation paradigm. Monographs of the Society for Research in Child Development, 62(2), 1-145. doi: https://doi.org/10.2307/1166196
Christ, S. E., White, D. A., Mandernach, T. B., & Keys, B. A. (2001). Inhibitory control across the life-span. Developmental Neuropsychology, 20(3), 653-669. doi: https://doi.org/10.1207/S15326942DN2 003_7
Crone, E. A., Jennings, J. R., & van der Molen, M. W. (2003). Sensitivity to interference and response contingencies in attention deficit/hyperactivity disorder. Journal of Child Psychology and Psychiatry, 44(2), 214-226. doi: https://doi.org/10.1111/1469-7610.00115
Dempster, F. N. (1992). The rise and fall of the inhibitory mechanism: Toward a unified theory of cognitive development and aging. Developmental Review, 12(1), 45-75. doi: https://doi.org/10.1016/0273-2297(92)90003-K
Diamond, A. (1990). The developmental and neural bases of memory functions as indexed by the AB and delayed response tasks in human infants and infant monkeys. Annals of the New York Academy of Sciences, 608(1), 267-317. doi: https://doi.org/10.1111/j.1749-6632.1990.tb48900.x
Gerstadt, C. L., Hong, Y. J., & Diamond, A. (1994). The relationship between cognition and action: Performance of children 3 1⁄2-7 years old on a Stroop-like day-night test. Cognition, 53(2), 129-153. doi: https://doi.org/10.1016/0010-0277(94)90068-X
Harnishfeger, K. K. (1995). The development of cognitive inhibition: Theories, definitions, and research evidence. En F. N. Dempster (Ed.), Interference and inhibition in cognition (pp. 175-204). Londres, Reino Unido: Academic Press. doi: https://doi.org/10.1016/B978-012208930-5/50007-6
Hasher L., & Zacks R. (1988). Working memory, comprehension, and aging: A review and a new view. En G. H. Bower (Ed.), The psychology of learning and motivation: Advances in research and theory. Vol. 22 (pp. 193-225). New York, EE.UU.: Academic Press. doi: https://doi.org/10.1016/S0079-7421(08)60041-9
Hasher, L., Lustig, C., & Zacks, R. (2007). Inhibitory mechanisms and the control of attention. En A. Conway, C. Jarrold, M. Kane, A. Miyake, & J. Towse (Eds.), Variation in working memory (pp. 227-249). New York, EE. UU.: Oxford University Press.
Hernández Sampieri, R., Fernández Collado, C., & Baptista Lucio, P. (2015). Metodología de la investigación. (6ta ed.) México DF, México: Mc Graw Hill.
Hommel, B., Li, K. Z. H., & Li, S.-C. (2004). Visual search across the life span. Developmental Psychology, 40(4), 545-558. doi: https://doi.org/10.1037/0012-1649.40.4.545
Introzzi, I., & Canet-Juric, L. (2012). TAC: Tareas de Autorregulación Cognitiva [Software y manual de usuario]. (Solicitud de depósito en custodia de obra inédita en Dirección Nacional del derecho de autor. Expediente N° 5068904).
Introzzi, I., Zamora, E., Aydmune, Y., Canet-Juric, L., & López, S. (2017). El rol de la inhibición en la Teoría de Integración de las Características. Cuadernos de Neuropsicología, 11(3), 135-150. Disponible en: https://www.cnps.cl/index.php/cnps/article/view/304
Introzzi, I., Richard`s M., Garcia Coni, A., Aydmune, Y., Comesaña, A., Canet Juric, L., & Galli, J. I. (2016). El desarrollo de la inhibición perceptual en niños y adolescentes a través del paradigma de búsqueda visual conjunta. Revista Argentina de Neuropsicología, 29, 1-15. Disponible en: http://www.revneuropsi.com.ar/numeros-anteriores
Jiménez, J. E., Hernández, S., García, E., Díaz, A., Rodríguez, C., & Martín, R. (2012). Test de atención D2: Datos normativos y desarrollo evolutivo de la atención en educación primaria. European Journal of Education and Psychology, 5(1), 93-106. Disponible en: https://www.redalyc.org/articulo.oa?id=129324775008
Kail, R. (1991). Developmental change in speed of processing during childhood and adolescence. Psychological Bulletin, 109(3), 490-501. doi: https://doi.org/10.1037/0033-2909.109.3.490
Kail, R. (1995). Processing speed, memory and cognition. En F.V. Weinert & W. Schneider (Eds.), Memory performances and competencies: Issues in growth and development (pp. 71-88). Mahwah, NJ, EE.UU.: Erlbaum.
Kail, R. (1997). Phonological skill and articulation time independently contribute to the development of memory span. Journal of Experimental Psychology, 67(1), 57-68. doi: https://doi.org/10.1006/jecp.1997.2393
Kail, R., & Bisanz, J. (1992). The information-processing perspective on cognitive development in childhood and adolescence. En R. J. Sternberg & C. A. Berg (Eds.), Intellectual development (pp. 229-260). Cambridge, Reino Unido: Cambridge University Press.
Kail, R., & Salthouse, T. A. (1994). Processing speed as a mental capacity. Acta Psychologica, 86(2-3), 199-225. doi: https://doi.org/10.1016/0001-6918(94)90003-5
Klenberg, L., Korkman, M., & Lahti-Nuuttila, P. (2001). Differential development of attention and executive functions in 3-to 12-year-old Finnish children. Developmental Neuropsychology, 20(1), 407-428. doi: https://doi.org/10.1207/S15326942DN2001_6
Lobaugh, N. J., Cole, S., & Rovet, J. F. (1998). Visual search for features and conjunctions in development. Canadian Journal of Experimental Psychology, 52(4), 201-211. doi: https://doi.org/10.1037/h0087293
Lustig, C., Hasher, L., & Tonev, S. (2006). Distraction as a determinant of processing speed. Psychonomic Bulletin & Review, 13(4), 619-625. doi: https://doi.org/10.3758/BF03193972
Mullane, J. C., Corkum, P. V., Klein, R. M., & McLaughlin, E. (2009). Interference control in children with and without ADHD: a systematic review of Flanker and Simon task performance. Child Neuropsychology, 15(4), 321-342. doi: https://doi.org/10.1080/09297040802348028
Plude, D. J., Enns, J. T., & Brodeur, D. (1994). The development of selective attention: A life-span overview. Acta Psychologica, 86(2-3), 227-272. doi: https://doi.org/10.1016/0001-6918(94)90004-3
Rabbitt, P. (2017). Speed of visual search in old age: 1950 to 2016. The Journals of Gerontology: Series B, 72(1), 51-60. doi: https://doi.org/10.1093/geronb/gbw097
Richard’s, M., Introzzi, I., Zamora, E., & Vernucci, S. (2017) Analysis of internal and external validity criteria for a computerized visual search task: A pilot study. Applied Neuropsychology: Child, 6(2), 1-9. doi: https://doi.org/10.1080/21622965.2015.1083433
Salthouse, T. A. (1993). Speed mediation of adult age differences in cognition. Developmental Psychology, 29(4), 722-738. doi: https://doi.org/10.1037/0012-1649.29.4.722
Span, M., Ridderinkhof, K., & van der Molen, M. W. (2004). Age-related changes in the efficiency of cognitive processing across the life span. Acta Psychologica, 17(2), 155-183. doi: https://doi.org/10.1016/j.actpsy.2004.05.005
Notas