Artículos
El Desempeño Exportador y la Innovación como una Estrategia de Crecimiento para la PYME en México
The Export Performance and Innovation as a Strategy for Mexican SMES
El Desempeño Exportador y la Innovación como una Estrategia de Crecimiento para la PYME en México
Revista mexicana de economía y finanzas, vol. 11, núm. 2, pp. 21-38, 2016
Instituto Mexicano de Ejecutivos de Finanzas, A. C.
Recepción: 23 Septiembre 2015
Aprobación: 26 Abril 2016
Resumen: El objetivo de esta investigación es determinar si existe relación entre la innovación y el desempeño competitivo de las empresas manufactureras mexicanas de exportación, especialmente las PYME.1 Para tal fin, se utilizó un diseño mixto con un estudio longitudinal de los años de 2007 a 2010 y con un trabajo de campo a través de una encuesta aplicada a una muestra de 402 empresas. Se generó un modelo de regresión logística múltiple para determinar la relación entre las variables mencionadas. Los principales hallazgos muestran que la competitividad e incremento de la Investigación, Desarrollo e Innovación (I + D + i) en la PYME exportadora depende de la relación de los vínculos generados entre las ventas, la población empleada, la estabilidad laboral y el nivel de formación académica del personal hacia un uso intensivo de la mano de obra o economías de escala. Lo anterior, implica la importancia que tiene el capital humano en estas empresas, por lo que se puede concluir que un elemento importante para impulsar la innovación en este sector es la capacidad de su capital humano. Clasificación JEL: F13, O14, O31.
Palabras clave: PYME, Exportaciones, Innovación, I + D.
Abstract: The objective of this research is to determine whether there is a relationship between innovation and competitive performance in Mexican manufacturing export enterprises, especially SMEs. To this end, we used a mixed research with a longitudinal study of the years 2007 to 2010 and field work through a survey of a sample of 402 companies. A model of multiple logistic regressions to determine the relationship between these variables was generated. The main findings show that competitiveness and increase R & D + i in the exporting SME depends on the ratio of the generated links between sales, the employed population, job stability and the level of academic training of staff to intensive of labor or economies of scale. This implies the importance of human capital in these companies, and it can be concluded that an important boost innovation in this sort of firms is given by the capability of its human capital. JEL Classification : F13, O14, O31.
Key Words: SME, Exporting, Innovation, R&D.
1. Introducción
1.1. Medición de la innovación y la internacionalización
La innovación adquiere diferentes características en diferentes contextos (Freeman 1987, Lundvall 1992, Nelson 1993), por lo que es imprescindible tener presente el contexto de referencia cuando se quiere medir la innovación (Milesi y Aggio, 2008). El vínculo entre innovación e internacionalización de empresas incluye la innovación tecnológica, esto es, la obtención de productos y procesos nuevos o significativamente mejorados. Los gastos en investigación y desarrollo se consideran como insumos del proceso innovador (Manual de Oslo 2006). En algunos casos, el concepto se amplía para incorporar los gastos en bienes de capital (adquisición de tecnología incorporada) o las transferencias de conocimiento en forma de modelos o patentes (adquisición de tecnología desincorporada). Es decir, que los especialistas conciben la innovación generada por las actividades que se destinan a I + D como atributos únicos de los productos y procesos, la adquisición de bienes de capital o la adquisición de patentes y modelos. En estudios recientes en los que sí se integra el concepto de habilidades propias del personal ocupado, el que hace referencia a la calificación o nivel de preparación del personal (Milesi y Aggio, 2008), presenta dos especificidades. Por un lado, la PYME2 y, por el otro, el vínculo entre el desempeño exportador y la innovación. Para la definición y medición de la innovación, las siguientes características tienen repercusiones importantes:
La innovación adquiere un carácter cualitativamente diferente en términos de las fuentes, de insumos, de tipos de resultados y de regularidad en el tiempo (RICYT, 2001; Arocena y Sutz, 2002; Milesi y Aggio, 2008).
La mayoría de las empresas manufactureras mexicanas se desempeñan en sectores intensivos en I + D (Palacios, 2013).
La PYME presentan especificidades y lógicas de funcionamiento que las distinguen de otros tipos de empresas (Walsh y White, 1981; Storey, 1994).
Así también en el Manual de Oslo encontramos que:
(···) una innovación de producto se corresponde con la introducción de un bien o de un servicio nuevo, o significativamente mejorado, en cuanto a sus características o en cuanto al uso al que se destina. Esta definición incluye la mejora significativa de las características técnicas, de los componentes y los materiales, de la informática integrada, de la facilidad de uso u otras características funcionales. Una innovación de proceso es la introducción de un nuevo, o significativamente mejorado, proceso de producción o de distribución. Ello implica cambios significativos en las técnicas, los materiales y/o los programas informáticos (Manual de Oslo: 58-59).
Partiendo de la premisa de que los gastos que eroga una empresa en innovación son difíciles de medir como lo menciona el Manual de Oslo sobre la recogida e interpretación de datos en esta materia (Manual de Oslo, 2006).
1.2. Objetivo
Determinar la importancia de la innovación (I + D + i) en las empresas exportadoras mexicanas que han destacado en su desempeño comercial al exterior.
1.3. Hipótesis
H1. La innovación ejerce un impacto importante sobre el crecimiento de las exportaciones de la industria manufacturera, especialmente en las PYME.
1.4. Metodología
El método utilizado en esta investigación ha sido el deductivo. En primer lugar, la innovación en la industria manufacturera mexicana remarca los esfuerzos en materia de I + D experimental, y se convierte hoy en día en un instrumento básico para el fomento de la productividad y la competitividad de los países, al incidir de manera directa en el desarrollo económico de las naciones. El Instituto Nacional de Estadística de México, INEGI, proporciona información de las empresas que producen en México dentro los Módulos de Innovación Tecnológica (MIT) 2008, 2006 y 2001. De esta información se desprende que el 90% de las empresas son de capital nacional, cerca del 50% son empresas exportadoras. El 77% de las empresas que forman parte de MIT eran pequeñas y medianas. Además, en su mayoría pertenecen al sector manufacturero y dentro de éste, destacan las ramas de alimentos, bebidas y tabaco, del carbón, petróleo, energía nuclear, químicos y productos de caucho y plástico. Así como la rama de fabricación de maquinaria, equipo, instrumentos y equipo de transporte que constituye el eje motor del sector manufacturero (Palacios, 2013). Sin embargo, no existen datos estadísticos disponibles sobre los orígenes del fondo de innovación que estas empresas gastan en I + D.
Para poder determinar los orígenes del gasto de I + D se diseñó un instrumento de recolección de datos con base en el estudio realizado por Darío Milesi y Carlos Aggio (2008), en el que especifican los factores que afectan la competitividad de las pequeñas y medianas empresas exportadoras en América Latina. Este artículo está dividido en dos secciones: En la primera sección, se presenta el análisis cualitativo realizado a partir de los datos recolectados por medio de un cuestionario que fue aplicado a empresas exportadoras. Para realizar este análisis, se evaluó un conjunto de condiciones y actividades previas. Éstas consistieron en: 1) disponibilidad de bases con flujos de comercio exterior de cada empresa, 2) desarrollo de criterios para identificar a las PYME exportadoras, 3) desarrollo de un mecanismo que permitiera discriminar desempeños exportadores de las empresas (por ejemplo, identificar el éxito), 4) desarrollo de criterios muestrales, 5) elaboración del cuestionario, 6) definición de un criterio y de un mecanismo para recolectar las encuestas y 7) elaboración de una técnica de recolección por encuestadores.
Una vez recopilada la información, en la segunda sección se realiza un análisis por medio de un modelo regresión binaria. Se asume la existencia de determinantes definidos por orígenes del gasto de I + D, crecimiento exportador, continuidad y diversificación de mercados al exterior como una manifestación del mecanismo propulsor de la innovación (vector).
1.4.1 Recolección de datos
Debido a la inexistencia de bases de datos estadísticas en este tema concreto, diseñamos una encuesta ex profeso como un instrumento de recolección de datos de la Industria Manufacturera Mexicana. Dicha encuesta fue aplicada a 402 empresas que desarrollaron o no actividades de exportación en el lapso comprendido entre 2007 a 2010. De los datos obtenidos se obtuvo la siguiente distribución: 29 empresas de productos alimenticios, bebidas y tabaco; 217 empresas pertenecientes a las industrias de textiles, prendas de vestir y del cuero; 53 empresas representativas de las industrias de la madera y productos derivados de ésta; 6 empresas de las industrias del papel y productos de papel, imprentas y editoriales; 38 empresas de las industrias de sustancias químicas, productos derivados del petróleo y del carbón, del hule y del plástico; 11 empresas de las industrias de productos minerales no metálicos, excluidos los derivados del petróleo y del carbón; una sola empresa perteneciente a la industria metálica básica; 22 empresas de las industrias de productos metálicos, maquinaria, equipo, instrumentos quirúrgicos y de precisión; 9 empresas de las industrias de otras manufacturas, y 16 empresas que no indicaron su actividad o eran de servicios. Los datos de encuesta constituyeron 402 empresas, de las cuales 7 son empresas grandes, 359 son pequeñas y medianas, y 36 fueron microempresas. Y solamente 325 empresas realizaron exportaciones dentro del período de 2007 al 2010.
De acuerdo con su cobertura geográfica, las actividades de recolección de datos se dividieron en dos grandes grupos: por un lado, las actividades para las cuales se recopiló información en el territorio del estado de Puebla (México), mediante una serie de entrevistas telefónicas o visitas programadas por intermediación de la delegación estatal de la Secretaría de Economía (SE) y, por otra parte, la asistencia a encuentros y foros empresariales, como la Semana PYME organizada por la Secretaría de Economía, llevada a cabo en Puebla, en el Distrito Federal y en el Estado de México, respectivamente. También fue importante asistir a la feria internacional "Exintex", efectuada en la ciudad de Puebla (México) y organizada por la Cámara Nacional de la Industria Textil y Confección, con sede en dicha ciudad.
Sin embargo, con el objeto de depurar la información recopilada3 se realizaron tareas esenciales como la comprobación de la congruencia de sus datos mediante un análisis de atipicidades y tratamiento de respuestas carentes o nulas.
1.4.2 Procesamiento de la información
Se utilizaron los datos recolectados por la encuesta con el fin de determinar el papel de la innovación dentro de crecimiento en las ventas, las exportaciones y el empleo por una empresa exportadora en su relación con el nivel de importancia que ocupa la innovación, el tamaño de empresa y el éxito exportador mediante una regresión múltiple binaria, se analizaron los datos recabados por la encuesta. Para tal propósito, las respuestas recabadas por cada cuestionario fueron codificadas y con la ayuda de un programa estadístico informático (SPSS, versión 20) se procesaron los datos mediante un modelo de elección discreta múltiple binaria.
2. Definición del éxito exportador
Para la identificación del éxito exportador, se tomó como base el trabajo de Milesi y Aggio (2008) donde desarrollaron un índice compuesto del desempeño exportador a partir de cuatro variables donde califica a cada empresa con un puntaje en función de la evolución de su capacidad exportadora. Sin embargo, la falta de confianza por parte de las empresas nos presentó la imposibilidad de recolección de montos específicos en las exportaciones totales y por cada año del período analizado. Pero mediante manejo de porcentajes y su signo (+ o -) se obtuvo la tasa de crecimiento medio de ventas al exterior por empresa.
Se añade posteriormente la variable del porcentaje de las exportaciones por empresa y año hacia cada mercado. Con las cuales se construyeron los cuatro indicadores (Milesi y Aggio 2008) que sintetizan el desempeño exportador de la empresa en el período 2007-2010. Cada uno de estos indicadores4 responde a las siguientes definiciones:
a) Continuidad exportadora (CE): califica a cada empresa con un puntaje según la cantidad de años que exportó en el período 2007-2010. El sistema de puntajes refleja que la mayor continuidad es un rasgo de éxito exportador, porque implica que la empresa ha tenido la capacidad de mantener en el tiempo su presencia en mercados externos.
b) Diversificación de mercados (DM): asigna a cada empresa un puntaje según la cantidad de países a los que haya realizado exportaciones en el período. A mayor número de mercados abastecidos, mayor es el puntaje que obtiene, asumiendo que exportar a una mayor cantidad de mercados es otro rasgo de éxito exportador.
c) Condiciones de acceso a los mercados (CAM): asigna a cada empresa un puntaje según la proporción de sus exportaciones promedio que se destinan a mercados con los que se hayan firmado tratados de libre comercio de alcance generalizado y en aplicación total, o se hayan conformado uniones aduaneras. Este indicador considera que el éxito exportador está asociado a la capacidad de exportar a mercados donde no se tiene acceso preferencial. Esto implica que aun en situación de desventaja frente a competidores de países favorecidos, la empresa logra vender exitosamente en esos mercados.
d) Dinamismo exportador (DE): éste califica a cada empresa con un puntaje en función de la evolución de la tasa promedio de crecimiento exportador.
Dentro de los parámetros establecidos por un modelo de regresión binaria. Los componentes, anteriores, se centran en un rango de variación es de 0 a 1, y son determinados en la tabla siguiente:

2.1. Desempeño Exportador de las Empresas
Los resultados de la Tabla 2, agruparon a las empresas dentro de los criterios de Éxito Exportador, antes explicados. La continuidad exportadora determinó la existencia del 94% de las empresas con suficiente experiencia adquirida con motivo de haber realizado ventas foráneas durante los años de 2007 al 2010. Entendiendo que este conocimiento acumulado debe ser visto como un proceso dinámico de la innovación dado que se origina por el aprendizaje de cada año exportando y las interacciones que vive el ente exportador con los agentes que son parte sustantiva del proceso de exportación. De la encuesta que aplicamos a las PYMES para medir su dinamismo exportador se desprenden los siguientes resultados: a) el 79% de las empresas encuestadas obtuvieron un registro promedio en sus tasa de crecimiento de sus exportaciones inferior a la media (18%), b) el 18% de las empresas encuestadas obtuvieron un desempeño notable o superior a la media y un 3% de ellas no registraron un crecimiento o no exportaron en dicho periodo.

La diversificación de mercados, asignó puntajes según la cantidad de regiones a las que haya realizado exportaciones en 2007 al 2010, teniendo que:
Se comprobó que la variable de "condiciones de acceso a los mercados" muestra una alta concentración de los exportadores. Es decir, aquellos solamente destinan sus exportaciones a mercados con los que se hayan firmado tratados de libre comercio que está asociado con un acceso preferencial. Esto implica la casi nula disposición del empresario hacia mercados donde no existen condiciones administrativas, fiscales o comerciales que les ayuden en su aprendizaje a reducir la incertidumbre.
2.2. Empresas exportadoras exitosas (EE)
Entonces, para realizar una valoración de estos elementos en sus propiedades dinámicas y estáticas5 sobre el desempeño exportador, la regla para la obtención del Índice de Éxito Exportador (IEE) es resultado del producto de + puntajes obtenidos de los cuatro elementos (Tabla 1) y por porcentajes proporcionados por Milesi y Aggio (2008) en su estudio exploratorio concerniente a las PYME exportadoras latinoamericanas. En lo que ataña al Éxito Exportador está compuesto por los elementos dinámicos, son CE (35%), y DE (15%); asimismo de los elementos estáticos que constituyen el DM (35%) y el CAM (15%). El IEE representa el cien por ciento, como se muestra en la fórmula siguiente:
A continuación se presentan las principales empresas que lograron obtener un índice de éxito exportador superior o igual al 50% de los cuatro componentes que califican elementos dinámicos y estáticos del desarrollo exportador. El análisis se basó en 325 encuestas que aportó como dato la existencia de 156 empresas exitosas exportadoras, dentro de las cuales las pequeñas empresas constituyen arriba de 80% de la muestra.

3. Determinantes del impacto de innovación en la empresa exportadora
Es difícil la tarea de elección sobre qué modelo utilizar si se intenta aumentar la precisión de la relación estadística de más de una variable independiente con una dependiente. Inicialmente, la regresión múltiple nos brinda la opción de manejar la información disponible para determinar una ecuación de estimación confiable, (Levin y Rubin, 2004). En conjunto los métodos causales, apoyan mediante la inferencia básica en la construcción de pronósticos en los cuales la variable pronosticada se deriva del nivel de otras variables relacionadas. Es en la medida que puedan describirse y relacionarse variables independientes con la explicada donde los modelos causales pueden ser bastante buenos para anticipar cambios mayores en el tiempo y pronosticar de manera precisa sobre un periodo de mediano a largo plazo (Ballou, Ronald H. 2004, 296).
La naturaleza cuantitativa y cualitativa de las variables axiológicas por la innovación y el desempeño exportador estimula el uso de modelos estadísticos causales como principales herramientas de relación. Existen una variedad de formas: a) estadísticos, es el caso de los modelos de regresión y econométrica; y b) descriptivos, como los modelos de entrada-salida, ciclo de vida y simulación por computadora. Donde cada modelo deriva su validez a partir de los patrones de información histórica que establecen la asociación entre las variables para predicción y la variable que se pronosticará o se relacionará.
Es el llamado Know how o best practice que nos ayuda a decidir si la aplicación es exitosa o no, y a discriminar entre modelos rivales (Charemza y Deadman, 1999; Hendry, 2000; Guerrero de Lizardi, 2008, p. 58). Un problema de la modelación en esta categoría de modelos causales es que con frecuencia resultado de encontrar verdaderas variables causales. Con base en el grado de sofisticación, utilidad potencial y análisis del tipo de información disponible para la recolección e interpretación de datos sobre Innovación por el Manual de Oslo (2006) guía y reducen el tiempo para elección y adquisición de datos para las variables conducentes que consumen todo el tiempo o la mayor parte del periodo de la investigación, en el que se encuentra que tales variables dirigen a la variable explicada. Los modelos basados en técnicas de regresión y económicos pueden experimentar un error de pronóstico importante debido a estos problemas (Ballou, Ronald, 2004). Donde las variables causales que guían a la variable de pronóstico en el tiempo son incluso más difíciles de encontrar, son resueltas por el Manual de Oslo.
La investigación adoptó una escala ordinal para medir el impacto innovador; por lo tanto, el examen de los determinantes secundarios sólo se puede realizar usando una técnica de elección múltiple o de regresión logística.6 Este tipo de modelo implica un proceso de tres pasos; el primero es la descripción de la ecuación de regresión logística múltiple, el segundo paso es la examinación del error estándar de la regresión y el último proceso, es el análisis de la correlación de la ecuación de regresión que describe los datos observados.
En este caso, se propone el uso del modelo Logit Multinomial (Gachino, 2010) ordenado de la siguiente manera: determinantes de la innovación definidos por los recursos humanos (NP); determinantes definidos por el dinamismo tecnológico y científico (DTE: certificaciones, C; logro de patentes, LP; antigüedad o experiencia, E); determinantes del rendimiento de proveeduría explicado por la variable de Importaciones (M), y el gasto en innovación (GI). Y por último, el impacto de efectos colaterales en innovación (vector EFI). Para una empresa dada, por tamaño de empresa y por empresas con éxito las variables utilizadas se miden y se definen, como se muestra en la Tabla 4:

Entre tanto la relación entre la ocurrencia innovadora de sus determinantes y los efectos colaterales se pueden formular así:
ei un término de perturbación estocástica supone que es independiente y normalmente está distribuido a través de observaciones.
3.1. Factores determinantes de la ocurrencia en innovación
En el análisis de la ecuación de regresión, los factores observados que influyen en el rendimiento productivo mediante la gestión de políticas (por ejemplo, la capacidad laboral de asimilación tecnológica, preferencia por las importaciones, gastos en innovación, experiencia o conocimiento, y desempeño comercial) cambian continuamente y esto afecta su desempeño empresarial. Encontramos que los factores que dirigen la innovación en el contexto de la empresa, y las innovaciones significativas que mejoran los beneficios de la empresa poseen un valor que redunda en su productividad.
Los resultados del modelo de la regresión logística7 en los contrastes de Razón de Verosimilitud contenidos en la Tabla 5 (Lindsey, 1996) proporcionan una interpretación de los valores de la función de verosimilitud normalizada (con respecto a su máximo), los cuales indican que si la significancia es menor al alfa asumido α = 0.05, la evidencia se califica como Positiva (0.05-0.37), Fuerte (0.007-0.05) o Muy Fuerte (<0.007).

Además de la Razón de Verosimilitud, otros indicadores tienen una importancia capital en el modelo. En especial, la seguridad laboral (SL) -consistente en el personal empleado bajo contrato y no eventual por la unidad económica-, el número de certificaciones logradas por la empresa (C), la experiencia (de por lo menos 10 años de actividad en el sector de exportaciones, (E), la continuidad en las exportaciones (CE) y la diversidad de mercado (DM). Conjuntamente, el tamaño de empresa (TE) y la tasa promedio de crecimiento de la población empleada (TP) en el período de análisis también implican una fuerte significación, y ofrecen un panorama inicial sobre el papel que juegan los recursos humanos como impulsores de la innovación. Además, no hay que omitir que la generación de patentes es la manifestación tangible de la innovación, pero debido a la casi nula frecuencia de este indicador en la muestra, quedó eliminado del modelo. Sin embargo, este primer resultado no refleja los factores determinantes de la innovación. Por tal motivo, para determinar los factores del modelo directamente relacionados con la innovación, recurrimos al análisis de coeficientes y sus resultados estadísticos.
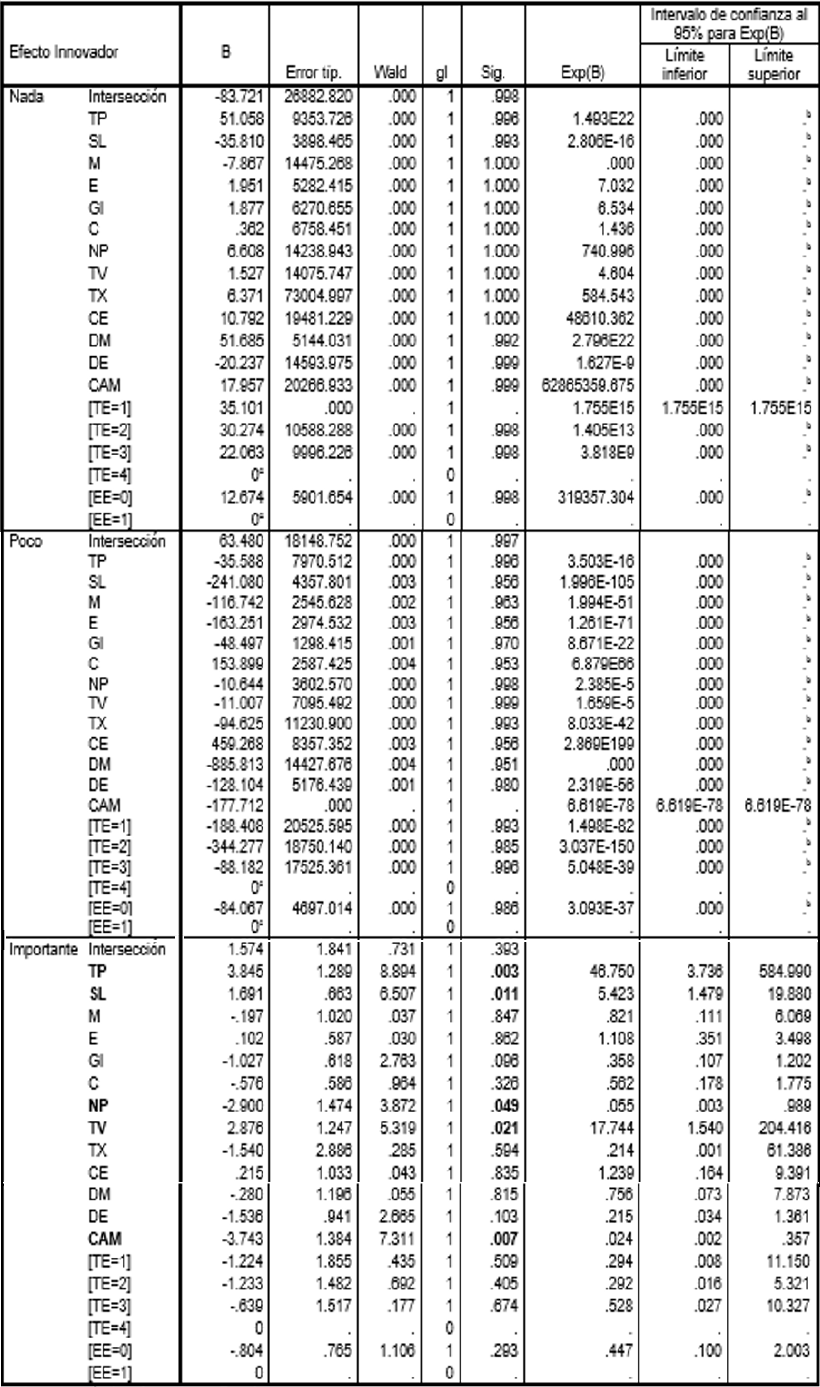
La tabla 6 presenta para las variables de la ecuación sus coeficientes estimados (B) y errores típicos de B (E.T), los resultados del Estadístico de Wald, los grados de libertad (gl) y los p-valores para la determinación de la significancia del coeficiente estimado (Sig.). Y la razón de las ventajas estimada (exp (B)) para un intervalo de confianza del 95%. Es a partir de estos que observamos dentro de la categoría de "Importante" una fuerte significancia de las covariables TP, SL, NP, TV y CAM, y la no significancia de la constante o intersección y de los niveles de los factores TE y EE. En cuanto que las categorías como "Poco" y "Nada" no reflejaron ninguna variable que obtuviera una significación dentro de sus ecuaciones de regresión.8 Finalmente, la categoría de referencia utilizada fue "Regular" en el uso de la ventaja de la innovación como alternativa elegida por los empresarios y que refleja a las decisiones individuales de la muestra encuestada.

Por lo tanto se halló la ecuación de probabilidad de que una empresa exportadora manufacturera mexicana posea una ventaja competitiva "Importante" hacia la capacidad para la innovación dados los valores de su tamaño de empresa, tasa de crecimiento medio en ventas, en población empleada, en las exportaciones, el porcentaje del personal empleado bajo contrato y con estudios universitarios concluidos o superiores, su gasto en innovación, su antigüedad empresarial así también su certificación como variables determinantes del desempeño exportador.
La ecuación del modelo de regresión logística multinominal cuando el empresario califica a la innovación como "importante" (ver tabla 6), se estima como:
Modelo 1: Efecto Innovador, Efi
3.2. Interpretación
Hasta este punto nos hemos referido al conjunto de los coeficientes de la ecuación globalmente. Sin embargo, no todas las variables y factores influyen en la variable dependiente cuando esta es importante. Para ser más precisos, debemos decir que únicamente las variables TP, SL, NP, TV y CAM mostraron tanto una significación como un coeficiente fuerte dentro de la ecuación de la regresión. Frente a estos hallazgos, la variable dependiente de una capacidad innovadora "importante" posee una relación estadística con el crecimiento medio de la población empleada y del porcentaje del personal laborando bajo un contrato, y esto se vincula únicamente con el objetivo de responder al incremento en la demanda manifestado mediante la variable de crecimiento en venta. Esta estrategia pasiva-positiva (Comisión de las Comunidades Europeas, 1995) donde las empresas son arrastradas al escenario internacional por las estrategias de las grandes empresas, a través de fórmulas contractuales, por ejemplo, la subcontratación o la industria del ensamble. Denotada con el comportamiento negativo y el fuertecoeficiente de la variable Nivel de Profesionalización o porcentaje de trabajadores con estudios universitarios o superiores concluidos que va al contrario. Las empresas exportadoras mexicanas, particularmente las Pymes, no están localizadas en el camino de fuerte dinamismo económico y tecnológico que brindan un gran potencial de crecimiento y requiere un alto nivel de I + D.
Un dato curioso es el manifestado por la variable de Condiciones de Acceso a Mercados Extranjeros, característica propia del desempeño exportador a pesar que la variable de tasa de crecimiento en ventas de exportaciones no fue significativa en la ecuación dejando como interrogante si las facilidades y preferencias arancelarias ha discriminado la capacidad innovadora de la Pyme exportadora. Y deducimos que la estrategia de internacionalización de una empresa basada en la adaptación o la flexibilidad de su organización (Joffre, 1986) hacia el encadenamiento productivo, y no son un camino hacia la innovación. El conjunto de variables; la seguridad laboral, tasa de personal empleado y nivel de profesionalización (SL, TP y NP respectivamente) al aumentar también los niveles de invención, deberían aumentar significativamente, al grado de ubicar a las empresas dentro de una estrategia flexible con capacidad de innovación, que en el particular caso de nuestra muestra no sucede.
En cuanto a las ecuaciones de probabilidad cuando el efecto innovador es Nada y Poco (ver tabla 6) los resultados sobre las covariables mostraron que ninguna variable posee relevancia significativa en ella, lo que conduce a nuevas hipótesis sobre la ausencia de variables que estimulen la innovación. Estas características se relacionan con un tipo de empresa que se encuentra atrapada a mitad de una estrategia competitiva (Porter, 1989), ya sea ensayando esquemas de sobrevivencia o transitando por una pérdida de competitividad (declive económico).
Los resultados revelaron una orientación empresarial de dirigir los productos exportados, primordialmente, hacia mercados con las mejores condiciones de acceso derivada de los tratados de libre comercio con los que cuenta México, siendo coincidente este hallazgo con lo encontrado por Saavedra, et al., 2012, donde señalan que el 80% de las exportaciones de la Pequeña Empresa industrial se destina a Estados Unidos y Canadá. Esto es reflejo de la aún poca diversificación que vive la industria mexicana (Palacios, 2013). Las variables de tasa media de crecimiento en las ventas y en la población empleada fueron elementos relacionados con I + D y constituyen un testimonio de la curva de aprendizaje que viven los empresarios a partir del vínculo entre ambas variables. El desempeño innovador es fruto del nivel de profesionalización del personal y por lo tanto de una seguridad laboral.
4. Conclusiones
La regresión múltiple admite la posibilidad de trabajar con variables dependientes discretas y nos refleja decisiones individuales en las que el conjunto de elección está formado por alternativas separadas y mutuamente excluyentes. Las alternativas separadas mutuamente excluyentes de la variable dependiente pueden constituir segmentos en los que se clasifica a los individuos según los valores de las variables independientes que los determinan (Valderrey, 2010: 375). Adoptar este concepto nos ofreció extender sobre la problemática que gira alrededor de la Innovación (Manual de Oslo, 2006) en cuanto a la implementación de ésta como una estrategia empresarial dentro del entorno internacional. Ofreciendo un valoración estadística estructurada en el rol que guarda la innovación abarcando desde el tamaño de empresa, su antigüedad, su gasto en innovación, su nivel de profesionalización laboral, sus compras de insumos no locales, su crecimiento en ventas, población empleada y exportaciones por unidad económica.
Las principales conclusiones fueron: a) En la medida que aumenta la probabilidad por un efecto innovador "importante" en el empresario la tasa de crecimiento por emplear más trabajadores aumenta y b) como consecuencia del aumento en el crecimiento de ventas, c) es también en esa misma dirección, el aumento del porcentaje del personal bajo un contrato laboral lo que significa una orientación a mantener y conservar una estabilidad competitiva, c) sin embargo, se observa una disminución del porcentaje del personal con estudios superiores, esta última afirmación como resultado posiblemente de aumento del tamaño de la empresa en el incremento de trabajadores. Y también se observó, la disminución de la decisión de los empresarios a elegir sus mercados extranjeros a exportar basado en las condiciones de acceso preferencial que reciben sus productos al ser importados en dichos mercados. De esta manera la especialización internacional de las PYMES exportadoras mexicanas se vincula con el objetivo únicamente de incrementar su demanda de un determinado producto y de igual forma el grado de ocupación productiva ejemplificado con la fuerza laboral empleada.
La flexibilidad que ofrece las empresas de menores dimensiones como ventaja especifica en los procesos de internacionalización, está relacionada con la capacidad para la innovación (Cooper et al, 1986) y el talento para aprovechar las oportunidades que ofrecen los mercados externos y adaptarse rápidamente a los cambios en los determinantes de la demanda (OCDE, 1995). En el especial caso de las Pymes mexicanas no pueden escapar a la tiranía de las economías de escala sin entrar en la confrontación con la gran empresa con la que pueden estar directamente o no, relacionadas. Es por lo tanto producto de la curva de aprendizaje que vive el exportador mexicano en el camino de sus acciones de I + D + i de tipo importante. Y son a partir de los resultados empíricos logrados que reflejan una gestión empresarial exportadora pobre en la dirección de estrategias con mayor valor agregado dado que la innovación es una etapa temprana en el camino de I + D de una industria o empresa.
Bibliografía
Alonso, J. A. (1994). El proceso de internacionalización de la empresa. Información comercial española, 725, pp. 127-143.
Arocena, R., Sutz, J. (2002). Innovation Systems and Developing Countries. Druid. Working Paper, 02 (05). Dinamarca: University of Aalborg. Disponible en http://www.druid.dk/wp/pdf_files/02-05.pdf. Consultado en 11 de septiembre de 2011.
Ballou, R. H. (2004). Logística administración de la cadena de suministro. México. Pearson Educación.
Barkema, H.G., Bell, J.H., and Pennings, J. M. (1996). Foreign Entry, Cultural Barriers and Learning. Strategic Management Journal, 17, Pp. 151-166.
Cantwell, J. A. (1989). Technological Innovation and Multinational Corporations, Oxford: Blackwell.
Charemza, W. W., D. F. Deadman. (1999). New Direction in Econometric Practice. Edward Elgar. Gran Bretaña.
Comisión de las comunidades europeas. (1995). Actividades en favor de las Pymes y del artesano. Oficina de publicaciones oficiales de las comunidades europeas, Luxemburgo.
Cooper, A. C., Willard, G. E., y Woo, C. Y. (1986). Un nuevo análisis del concepto de nicho. En Mintzber, H. y Quinn, J. B. (1993): El Proceso Estratégico. Conceptos, Contextos y Casos. Prentice Hall, 2. Edición. Mexico.
Díaz de Rada, V. (1994). Alternativas metodológicas al análisis de regresión lineal. Cuadernos de economía, 22(64), pp. 321-345.
Freeman, C. (1987). Technology, Policy and Economic Performance: Lessons From Japan, London: Frances Printer.
Guerrero de Lizardi, C. (2008). Introducciónn a la econometría aplicada , México. Trillas.
Golovko, E.,Velentini. (2011). Exploring the Complementarity Between Innovation and Export for Smes Growth. Journal of international business Studies, 42. Academy of international business, pp 362-380.
Grossman, G., Helpman, E. (1991). Innovation and Growth in The Global Economy. Cambridge, Mass. The Mit Press.
Hendry, D. F. (2000) Econometrics: Alchemy or Science?, Gran Bretaña. Oxford University Press.
Hirsch, S. (1965). The United States Electronics Industry in International Trade. National Institute of Economic Review, (24), pp. 92-97.
Hirsch, S. (1967). Location of Industry and International Competitiveness, Oxford: Clarendon Press.
Hosmer, D., Jr. Stanley L. (2004). Applied Logistic Regression. Second Edition. New York. John Wiley & Sons Press. ISBN. 0471654027, 9780471654025.
Jofre, P. (1986). Le rôle de la taille no doit pas etre surestime. Revue Francaise de Gestion, Enero-Febrero, pp. 68-76.
Johanson, J., Vahlne, J. E. (1977). The Internationalization Process of Firm. A Model of Knowledge Development and Increasing Foreing Market Commitment. Journal of Management Studies, pp. 302-322.
Johanson, J. , Vahlne, J. E. (1990). The Mechanism of Internationalization. International Marketing Review, 7, pp. 4-24.
Johanson, J. , and Vahlne, J. E. (2009). The Uppsala Internationalization Process Model Revisited: From Liability of Foreignness to Liability of Outsidership. Journal of International Business Studies, 40, pp. 1411-1431.
Johanson, J. , Vahlne, J. E. , y Wiedersheim-Paul, F. (1975). Las asociaciones de adición de valor: una nueva respuesta empresarial. Harvard-Deusto Business Review, 38, pp. 41-50.
Johanson, J. , Vahlne, J. E. , and Wiedersheim-Paul, F. (1994). The Economics of Technical Change. Cambridge Journal of Economics 18, pp. 463-514.
Levin, R., Rubin, D. (2004). Estadística para administración y economía. México. Pearson Educación.
Lindsey, J. K. (1996). Parametric Statiscal Inference. Clarendon Press. Oxford.
Lundvall, B. (1992). National Systems of Innovation. Towards A Theory of Innovations and Interactive Learning. London: Pinter, 100.
Meza, L., Mora, A. (2005). Trade and Private R&D in Mexico. Economía Mexicana. Revista Nueva Época 14 (2), pp. 157-183.
Milesi, D., y Aggio, C. (2008). Éxito exportador, innovación e impacto social: un estudio exploratorio de Pyme exportadoras latinoamericanas. Fundes y el BID (a través del Fondo Fiduciario para el Comercio y la reducción de la Pobreza). Disponible en http://www.iadb.org y http://fundes.org. Consultado 28 de abril de 2012.
Milesi, D. , Yoguel, G. (2007). Innovación y desempeño exportador a nivel de empresa. Documento de Trabajo de la Investigación, Buenos Aires.
Milesi, D, Moori Koenig, V., Yoguel, G. (2007). El éxito exportador de las Pyme de Argentina, Chile y Colombia. Cochabamba, Bolivia: FUNDES.
Nelson, R. (1993). National Innovation System a Comparative Analysis. New York: Oxford University Press.
OCDE. (1995). Las pequeñas y medianas empresas: tecnología y competitividad. Ediciones Mundi-Prensa. Madrid. España.
OCDE. (1997). Manual de Oslo. The Measurement of Scientific and Technological Activities: Proposed Guidelines for Collecting and Interpreting Technological Innovation Data.
OCDE. (2006). Manual de Oslo. Guía para la recogida e Interpretación de datos sobre innovación. La medida de las actividades científicas y tecnológicas. Tercera edición. Traducción al español. Eurostat y OCDE.
Palacios, P. (2012). Programa de fomento al comercio exterior, IMMEX y la inadvertencia de la Pyme. Ponencia presentada en el séptimo congreso internacional sobre comercio internacional de las micro, pequeñas y medianas empresas del siglo XXI, del 4 al 23 de enero de 2012. ISBN 13: 978-84-694-6030-6. Universidad de Málaga: EDUMET.net.
Palacios, P. (2013). Desempeño exportador e innovador de la Pyme mexicana como estrategias de internacionalización. Tesis doctoral de Economía de la Empresa, Universidad Autónoma de Madrid. España.
Pavitt, K. J. R. (1987). International Patterns of Technological Accumulation. En N. Hood and J. E. Vahlne (Eds.). Strategies in Global Competition. London: Croom Helm.
Porter, M. E. (1989). Estrategia competitiva: técnicas para el análisis de sectores industriales y de la competencia. México: CECSA.
Jaramillo, H., Lugones, G., y Salazar, M. (2001). Manual de Bogotá. Normalización de Indicadores de Innovación Tecnológica en América Latina y el Caribe. Red Iberoamericana de Indicadores de Ciencia y Tecnología. Organización de Estados Americanos. Descargado de: http://www.uis.unesco.org/Library/Documents/Bogota%20Manual_Spa.pdf.
Rubio L., E. (2004). La internacionalización de la Pyme europea: génesis y evolución de políticas de apoyo a la cooperación empresarial en el marco de la Unión Europea. Granada: Universidad de Granada.
Saavedra, M., Tapia, B. y Milla, S. (2013). Perfil de la Mipyme industrial en México. México: Un estudio empírico. México: Universidad Nacional Autónoma de México, Facultad de Contaduría y Administración.
Steiner, P. O. and Dorfman, R. (1957). The Economic Status of the Aged. Berkeley, University Of California Press, United States Of America.
Storey, D. (1994). Understanding the Small Business Sector. London: Routledge.
Valderrey S., P. (2010) SPSS 17 Extracción del conocimiento a partir del análisis de datos. Madrid, España. Ra-Ma.
Walsh, J. and White, J. (1981). A Small Business is not a Little Big Business. Harvard Business Review, 101, pp. 118-135.
Notas
Notas de autor
* Autor para correspondencia. Lago Erie 11, Club de Golf Mayorazgo, Puebla, Puebla, México Tel. (52) 222 2132205. Correo Electrónico: pablo.palacios@correo.buap.mx