Artículos de investigación y revisión
The Importance of Health and Social Protection Assets in the Economic Welfare of Households in Mexico
La importancia de los activos de salud y protección social en el bienestar económico de los hogares en México
The Importance of Health and Social Protection Assets in the Economic Welfare of Households in Mexico
Revista mexicana de economía y finanzas, vol. 18, no. 4, e843, 2023
Instituto Mexicano de Ejecutivos de Finanzas, A. C.
Received: 10 February 2023
Accepted: 08 June 2023
Abstract:
This paper seeks determines how the possession of health and social protection assets affects the probability of a household belonging to a given quintile of a proposed asset ownership index. An ordered logistic regression model was constructed. As a dependent variable, the quintile of each household was used according to the index. This research is based on 48 explanatory variables from the 2020 National Income and Expenses Survey. It confirms that health and social protection assets are relevant in the location of households in a quintile according to its socioeconomic condition. Estimated marginal effects and predictions for every quintile, show that the effect of the assets varies according to the quintile. Ownership of specific assets increase the likelihood of belonging to the higher quintiles. The possession of a voluntary pension fund is the most relevant asset. The empirical results obtained may contribute to design more efficient inequality-reducing public policies by promoting its acquisition and thereby encouraging social mobility. Main limitations of this research are related with the small number of health and social-protection related variables in the survey.
JEL Classification:E64, C12, C30, C38, C43, I0.
Keywords: Social mobility, health and social protection, income inequality, asset index, econometric methods.
Resumen:
Este artículo busca determina cómo la posesión de activos de salud y protección social afecta la probabilidad de pertenencia de un hogar a un determinado quintil de un índice de activos propuesto. Se construyó un modelo de regresión logística ordenada. Como variable dependiente se usó el quintil de cada hogar según el índice propuesto. Se usaron 48 variables explicativas de la Encuesta Nacional de Ingreso y Gasto de los Hogares 2020. Se confirma que los activos de salud y protección social son relevantes en la ubicación de los hogares en un quintil según su condición socioeconómica. Los efectos marginales estimados y las predicciones para cada quintil muestran que el efecto de los activos varía según el quintil y que determinados activos aumentan la probabilidad de pertenecer a los quintiles más altos. La posesión de un fondo de pensiones voluntario es el activo más relevante. Los resultados empíricos obtenidos pueden contribuir al diseño políticas públicas más eficientes para reducir la desigualdad al promover su adquisición e incentivar la movilidad social. Las principales limitaciones de esta investigación se relacionan con el número reducido de variables de salud y protección social en la encuesta.
Clasificación JEL:E64, C12, C30, C38, C43, I0.
Palabras clave: Social mobility, health and social protection, income inequality, asset index, econometric methods.
1. Introduction
Among the Sustainable Development Goals established by the United Nations towards 2030, the number 10th goal aims for reducing inequalities, which highlights the relevance of this social and economic problem. As referred by the United Nations Development Programme (2019), inequalities in human development weaken social cohesion and hurt economies since people are prevented from reaching their full potential.
Outcome inequality and inequality of opportunities are the two perspectives from which economic inequality can be analyzed. The former referring to differences in wealth distribution or economic conditions (i.e., income, education, health, or nutrition), whereas the later concerns with the circumstances affecting one’s potential outcomes that are beyond the person’s control (Alfonso, et al., 2015). In particular, income inequality refers to a consumption opportunity expressed in monetary terms for any economic agent (Barr, 2004). For households and individuals, the same opportunity depends on wages, salaries, profits, interest payments and rents for a given time interval. (Case and Fair, 2000). Income inequality is relevant for at least two reasons. First, it indicates labor market success or failure; second, it determines the living conditions of households. The latter reflects income as generating capabilities of households to determine the resources and welfare for individuals.
A common measure for income inequality is the Gini coefficient that compares the cumulative proportion of the population and the cumulative proportion of income they receive. A value of zero indicates perfect equality, and values closer to one indicate higher levels of inequality. In 2018, the lowest level of this indicator from a list of 36 countries calculated by the OECD was obtained by the Slovak Republic (0.236) and the highest was Costa Rica (0.479). Mexico was the second highest with 0.418 in the Gini Coefficient (Fig. 1).

While income is a popular variable to measure economic inequality, a more comprehensive assessment of the differences in human development must also consider other aspects such as disadvantages in health and education, or the dignity and human rights conditions (Programa de las Naciones Unidas para el Desarrollo (PNUD), 2016).
Health and social-protection aspects are part of the dimensions considered when evaluating the welfare of individuals in inequality-related studies, particularly from the capabilities approach, that is, the freedoms to make life choices (Anand et al., 2005; Sen, 1980). Social protection must guarantee the right to health, medical care, protection of livelihoods and social services necessary for individual and collective well-being (Consejo Nacional de Evaluación de la Política de Desarrollo Social, 2019).
The multidimension approach can be found in different wellbeing measures, such as the United Nations Human Development Index, that considers health as one of its three pillars; the OECD Better Life Index that includes Health as one of the 11 topics to compare well-being across countries (OECD, 2020); or the World Economic Forum’s Global Social Mobility Index (GSMI) that evaluates ten pillars determinants for social mobility, including health and social protection among them (World Economic Forum, 2020).
The disparities in health and social protection can be analyzed through their impact on social mobility, considered as one of the aspects of study in the framework of inequality of opportunities that evaluates the effect that circumstances of origin have on the destiny of the individuals (Solís, 2018). Social mobility can be defined as the ability for an individual or a family to change their socio-economic status related to a certain welfare indicator, usually educational, occupational, or economic. It can be measure as intragenerational when analyzed within one person’s lifetime, or intergenerational when comparing across generations (World Economic Forum, 2020).
The relationship between social mobility and inequality has been stated by many studies. Countries with greater inequality experience less mobility between generations, when parents pass to their children their economic advantages and disadvantages (Corak, 2013). According to Yang & Zhou (2022, p. 1) “Inequality takes a static snapshot of the distribution of wealth at a point in time, and social mobility describes the dynamic evolution of the distribution”.
In Mexico, inequality has set obstacles for the ascendent social mobility. The results of the 2017 Social Mobility Survey show that 49% of the population born in the lowest quintile according to a welfare index, remain in the same level their entire life. On the other hand, 57% of the individuals born in the wealthiest households remain in the highest quintile (Orozco-Corona, et al., 2019). Mexico ranks 58 in the Global Social Mobility Index, out of the 82 countries evaluated.
Public policies regarding increase and inclusive social protection are important in promoting social mobility (Campos-Matos & Kawachi, 2015). There are two main objectives of social protection, according to Vélez-Grajales and Huerta-Wong (2018): social security through consumption smoothing during the life cycle (i.e., unemployment benefit); and social assistance through re-distribution of income. These authors proposed the creation of a universal social protection system that serves as a minimum floor of welfare, and thus reducing the current level of inequality.
Health and social mobility have a bidirectional causal relationship: individuals with a better health endowment can experience more social mobility opportunities, and changes between social strata can affect health achievement (Campos-Matos & Kawachi, 2015). Ill health produces both intra and intergenerational mobility restrictions, highlighting the importance of public investment in this matter in cushioning income losses when health issues appear (World Economic Forum, 2020).
Similarly, the relevance of having social security systems relies on the reduction of the negative consequences of economic shocks (Chávez-Juárez, et al., 2017). “These social safety nets contribute to lowering disparities in living standards across specific regions or groups and provide support for job transition to be less damaging to people’s long-term prospects” (World Economic Forum, 2020, p. 17).
Social protection is measured in the pillar number 9 of the GSMI, and it scored the second lowest average among the ten pillars (58.2 out of 100), underlying the deficiencies in the social security coverage and the challenges faced worldwide. It is also mentioned in this report that there is an opportunity for Mexico to improve on this aspect by increasing the social protection coverage in a more effective way.
Social mobility from its economic dimension is commonly measured through changes in the income level. However, given the limitations imposed by the lack of intertemporal income information reliable to evaluate intergenerational social mobility particularly in developing countries, an alternative measure of economic welfare in different studies has used asset indexes (Behrman & Vélez-Grajales, 2015; Torche, 2020; Vélez-Grajales, Vélez-Grajales, & Stabridis, 2015; Vélez-Grajales, et al., 2018). Asset indexes reflect the multidimension approach as they include assets from different aspects of life of the individuals, including health and social protection.
Despite the frequent use of asset indexes in social mobility studies, little has been published analyzing the impact of the individual assets on the overall socioeconomic position of the household in a particular region or country. Studies using wealth indexes distributed in quintiles are more frequently related to health issues (Mohanty, 2009; Rutstein & Staveteig, 2014) but lacking focus on social mobility.
1.1. Health and social protection in Mexico
The situation in Mexico related to the access to health and social protection services is worrisome. According to the 2020 poverty evaluation report in Mexico published by the National Council for the Evaluation of Social Development policy (Consejo Nacional de Evaluación de la Política de Desarrollo Social - CONEVAL-), in 2020, 28.2% of the population reported restrictions on the access to health services, compared to 16.2% in 2018. Additionally, only 52% of the entire population had access to social protection, compared to the 53.5% accounted in 2018.
Although the Political Constitution of Mexico guarantees access to health and to social protection as part of the social rights of all citizens, and thus the State’s obligation to provide them through governmental policies, social programs, or legal reforms, challenges in the coverage of both health and social protection remain. The access to social security depends on the working conditions: formal employees would have part-employee, part-employer financed social security benefits, while informal employees would have no benefits.
Prior to 2019, the “Seguro Popular” program was in place as a public medical insurance available for all citizens whose labor status excluded them from the social security institutions providing social protection services to formal employees. The percentage of the population covered by public medical insurance by the end of 2018 was above 81% (Meneses Navarro, et al., 2022). However, the 2019 reform made on the General Health Law introduced the INSABI, replacing “Seguro Popular” and the changes in the implementation and design of this program caused a reduction in the healthcare coverage: from 46% to 31% of people reporting affiliation to Seguro Popular or Insabi (INEGI, 2020).
The results of the National Household Income and Expenditure Survey (ENIGH for its acronym in Spanish) conducted in 2016, 2018 and 2020 show similar results in terms of access to medical affiliation, health care services through the Seguro Popular or Insabi and other social-protection related benefits (Figure 2). Less than half of the population interviewed in these surveys report access to these services.

The COVID-19 pandemic impacted the health systems in many countries in Latin America. On one hand, the resources available in many health care institutions shifted to the COVID-19 patients, causing that around 19% of the people seeking for attention, did not receive it (CEPAL, 2022 as cited in CONEVAL, 2022). On the other hand, the percentage of households facing catastrophic health expenditure increased considerably: in Mexico, it almost doubled changing from 2.1% to 3.9% (CONEVAL, 2022). The effect of the healthcare inequalities in Mexico were also observed in the non-COVID excess deaths during 2020, that were associated to social security coverage at the municipal level (Antonio-Villa, et al., 2022).
Moreover, the possession of a voluntary pension fund is an even less frequent asset among Mexican families, and the trend over the last three ENIGH surveys show a decline in the proportion of families reporting having one (Table 1). Approximately 23% of the households interviewed have declared having a pension fund derived from their labor benefits, but a very small fraction of the families has decided to open a voluntary pension fund, which would bring benefits especially to those individuals lacking formal employment social-protection benefits.

According to Meneses Navarro et al. (2022), the current situation of the Mexican health system is still fragmented in many institutions that persist inequalities among those who receive social protection derived from their formal-labor status and those who rely solely on the services available for the general population. Therefore, making the necessary adjustments to the rules of operation, services provided and monetary resources destined to healthcare as a percentage of GDP on the healthcare system would not only reduce inequality but also increase the probabilities for individuals to achieve better life conditions.
Considering the above mentioned, there is a relationship between health and social protection and inequality, and particularly with social mobility. The ranking position of households in different quintiles according to their socioeconomic status might be affected by the possession of these type of assets. Therefore, understanding the relevance of each particular asset offers the possibility of promoting those with the highest impact on belonging to a superior socioeconomic level. The objective of the present study is, thus, to determine the importance of health and social security related assets on the quintile distribution of the Mexican households in 2020.
The structure of the present study is as follows: section 2 presents the method selected for the analysis, section 3 shows the results and sections 4 and 5 presents the discussion and conclusions reached, as well as the limitations encountered and further analysis proposals.
2. Methodology
2.1 Data description
The ENIGH for the 2020 period was used as a source of information. The ENIGH is a biannual household survey carried out by the National Institute of Statistics and Geography (INEGI for its acronym in Spanish) with national and state representation. It is important to emphasize that in 2020 a change in methodology was made in the survey by what the results with respect to previous surveys are not strictly comparable. The objective of the survey is to provide a statistical overview of the behavior of household income and expenses, in terms of their amount, origin and distribution. Additionally, it contains information on occupational, sociodemographic and access to food characteristics of household members, as well as characteristics of the housing infrastructure and household equipment. (INEGI, 2020).
A combination of quantitative and qualitative variables representing the ownership of different types of assets, services and monthly expenses were included, 48 in total, selected based on seven of the ten pillars of the GSMI. Including the following dimensions and variables (Table 2).
It was decided to use the ENIGH due to the continuity of the survey as well as the inclusion of relevant variables for the elaboration of the asset index and the logistic model. It is a suitable basis as a proxy for the measurement of economic welfare.
2.2 Asset index proposed
Asset indexes can be a valid predictor of the manifestation of poverty, as well as an approximation of long-term wealth with a lower degree of error than the measurement of expenditures (Sahn & Stifel, 2000). In developing countries, the use of asset indexes has become popular given their reduced measurement problems and the availability of information obtained from national representation surveys periodically prepared. One problem encountered in the use of these indexes is their limitations of measuring short-term socioeconomic status, derived that the accumulation of household assets occurs gradually during time, and it is unlikely to change at the same pace as income or consumption do in some periods (Poirier, et al., 2020).
A popular model for the construction of these kind of indexes is the one of Filmer-Pritchett (2001) that uses principal components analysis (PCA) and is based on household assets and household characteristics. The value of the first principal component is the latent variable that represents the possession of household assets.
The assets included in these indexes include consumer durable goods (such as washing machine, refrigerator, automobile), household features (such as water heater, electricity service, internet access) and financial assets (such as bank account, credit card or checking account) (Behrman & Vélez-Grajales, 2015; Torche, 2020). Torche & Spilerman (2010) had also included the parents’ and respondents’ occupation status.
An asset index is useful to rank households in ordered groups such as quintiles and evaluating the distribution as an economic indicator. The position occupied might impose constraints to upward social mobility. However, it is worth identifying which assets are most relevant in belonging to each group to evaluate if public programs or policies can be undertaken to assure all households own those assets. This analysis can be done on the entire collection of assets included in an index, or on a specific segment such as the health and social-protection areas.
Following the methodology presented in DelaTorre & Rodriguez (2021), an asset index obtained from a mixed principal components analysis is used; this index is calculated using the information from the 2020 ENIGH. The mixed principal components methodology allows the use of categorical and numerical variables offering a better interpretation that the traditional principal components analysis. The value of the index is calculated as the weighted average of the first 39 factor coordinates, weighted by the proportion of total inertia explained by each dimension, following the equation 1:
where is the household i index value, is the value of the k factor coordinate selected, and is the proportion of the total inertia explained by that coordinates. This index was then adjusted to a [0,100] range, and households were ranked in quintiles according to their asset index value.
2.3 Ordered logistic regression
The logistic regression model is based on the algorithm developed by Walker and Duncan (1967), seeking to determine the probability of occurrence of event Y given the values of X for every individual. The specification of the model is presented in equation 2.
where is the conditional probability of . An extension of classical binary logistic regression is the multinomial version, where the dependent variable is of the nominal polytomous type. The formulation of the model would be defined by the following equations:
where:
The parameters are estimated by maximizing the likelihood function of the data with respect to the model parameters. Following the model proposed in equations 3 through 5, the specific model used in this study to determine the probability of a household belonging to a specific quintile is denoted by equation 9:
where Y is the quintile position in the Asset Index of each household (the dependent variable with 5 categories, each category represented by j); is the ith predictor variable (each one of the 48 assets included in the Asset Index). The parameters estimated are and .
Using the results of the regression, the calculation of the marginal effects was carried out to determine the change in the probability that a household belongs to a particular quintile when the possession of the different assets is changed. The marginal effects at a specific value (commonly the mean) express the effect of in P(y=1) conditional on the presence of specific features (Mood, 2010).
The purpose of this study is to examine how the possession of health and social-protection assets impact the probability of a family to belong to a certain quintile of an asset index proposed. An ordered logistic regression model was created, using as a dependent variable the number of quintile for each household according to their asset index value. The explanatory variables are 48 variables included in the index calculation. The selection of the ordered logistic regression method over other recent methodologies based on Machine Learning is based on the interpretability of the logistic model as well as its ability to identify changes in the probabilities of the dependent variable attributable to changes in possession (or non-possession) of assets defined in the set of explanatory variables. Additionally, the performance of the model will be evaluated using statistics such as pseudo-R2, AIC, BIC and the confusion matrix.
3. Results
3.1 Asset Index
The asset index estimated for 2020 showed a high level of skewness indicating high inequality in the asset distribution among Mexican households. Considering that the index value ranges from 0 to 100, it is remarkable that the mean of this index was 7.61 (Table 3)

The density distribution of the asset index clearly shows the high concentration of assets in a small number of households (Figure 3).

When the households are segmented by quintiles according to their income, it is observed that the average possession of assets increases according to the increase in quintile. However, the average index level in each segment is relatively low, even in the highest quintiles. Only in the quintiles 3 to 5 are there households with index values higher than 40. Only 0.04% of the households included in the ENIGH survey owns 30% or more of the assets comprised in the index (Table 4, Figure 4).


3.2 Ordered logistic regression
The complete results of the ordered logistic regression are presented in Table 5. Because of how the model is constructed, the estimated coefficients are expressed as the influence on the log-odds, that is, the logarithm of the odds, the probability of the outcome of being less than or equal to a particular category. Positive coefficient values show which assets would have a positive impact on the odds of being in a higher quintile, and negative coefficient would represent the opposite effect.
According to the results obtained, the variables with the most important positive impact are disposal of electricity power through private power plant, compared to the public service; preschool education compared to no education; having domestic service compared to not having this service; having a student loan compared to not having one and having a medical expenses insurance policy, compared to not having one.
The variables affecting the most the probabilities of belonging to higher quintiles are related to the availability of electricity power by different means other than public service and private power plant, and the level of education of the household head when it its complete or incomplete elementary school or incomplete middle school, compared to no instruction.
Considering only the assets related to health and social protection, all five variables have positive coefficients, thus positively influencing the increase in the log odds of being in a higher quintile. However, the impact of every asset is different (Table 5).


The Pseudo R2, AIC, BIC and Accuracy are used as model evaluation statistics. In the model proposed it results a Pseudo R2 of 95.22%. Additionally, Akaike's information criteria and Bayesian information criteria were considered as evaluation metrics. As it is an ordered classification model, the table of false positives and false negatives was calculated, as well as the Accuracy of the model to select the best model (Table 6).

The accuracy of the model shows that 97% of the households were correctly classified in the quintile to which they belong using the ordered logistic model. This makes it possible to adequately assess the effect of each household asset on their probability of belonging to each quintile of the proposed asset index.
Converting the log-odds into odds ratios (OR) is useful to obtain the results in an easier-to-interpret scale. The OR represent the quotient between the cumulative odds of belonging to a less or equal category compared to the cumulative odds of belonging to a higher category (in binary logistic regressions, the odds ratio would represent the number of successes per failures). The OR for the event is , that is the exponential of the coefficient for each explanatory variable.
The values greater than 1 in the OR can be interpreted as the number of times it is more likely to belong to a higher category when the possession of the asset changes (from no possession to possessing the asset in most cases or increasing the value when referred to monetary assets), keeping the rest of the variables constant. Analyzing the odds ratios of social and health protection variables, in descending order, the variables increasing the probabilities are the possession of medical expenses insurance, having a retirement fund, having a health care affiliation, and finally the amount of monthly expenses destined by households to health (see Table 7).

The values of the odds ratios are consistent with the positive and negative signs of the coefficients estimated on Table 5. The assets whose coefficients are negative present values less than 1 on their odds ratios, implying that the change in the possession of that asset reduces the likeliness of belonging to a higher quintile. For the health and social protection assets analyzed, all of them show values greater than 1. A deeper analysis comes with the estimation of the marginal effects, that is, the partial effects of a small change on the explanatory variable.
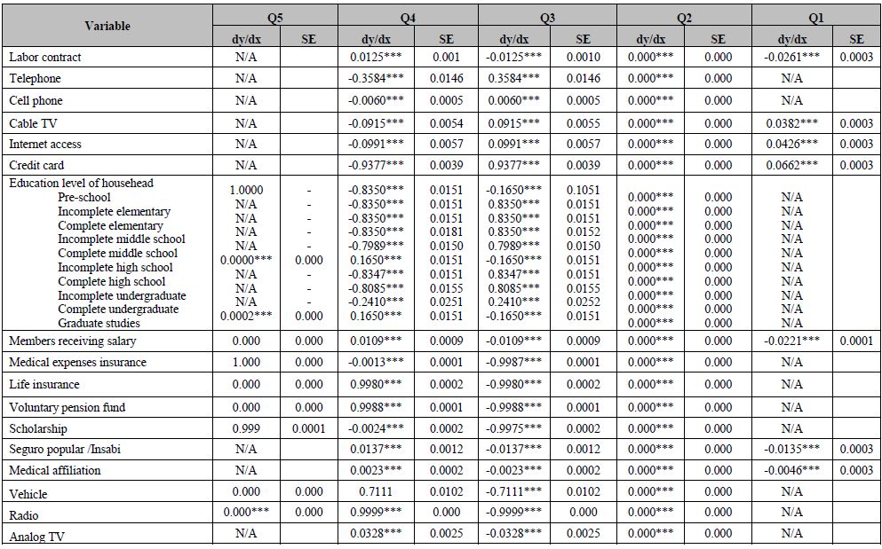
The analysis of the marginal effects for each of the five-quintile levels shows interesting results when considering the complete set of variables. The values obtained in this calculations show the change in the probability of belonging to that quintile when there is a change in the possession of the asset. Assets that present positive values in the marginal effects increase the probability that a household belongs to that quintile. Assets that present negative values, contrary, decrease that probability of belonging. The full results of the margin effects are presented in Appendix A.
Comparing the results between quintiles, a coincidence is observed in almost all the assets that increase the probability of belonging to quintiles 1, 2 and 3 (households with the lowest levels of the asset index), but they are different from those that increase the probability of belonging to quintiles 4 and 5. Quintile 4 is considered to be the one of particular interest since it is the one in which there is a notable change in the number and type of assets that influence the location of the household in that level.
For most of the assets in Quintile 5 it was not possible to estimate the marginal effects, and many of the values that were estimated lack statistical significance. Among the variables that increase considerably (in some cases in 100%) the probability of locating a household in the highest quintile are the possession of medical expenses insurance and having a scholarship compared to not having any of these assets. On the other extreme of the distribution, the marginal effects on the prediction of the quintile 1 for many assets were not available, because it is highly unlikely that possessing a certain asset would increase the probabilities of belonging to the lowest quintile, given that asset accumulation is considered as a mean to climb in the socioeconomic ladder.
Most of the household equipment assets have a positive impact in belonging to the quintile 4, the only exemptions being solar heater, gas heater, telephone (fixed line), internet access, cable TV and cell phone. Surprisingly, possessing a medical expenses insurance turned to affect negatively the likeliness of belonging to quintile 4, compared to not having this kind of insurance.
3.3 Impact of health and social-protection assets
Analyzing only the variables related with health and social protection, these two dimensions are determinants in the differentiation of two groups of the Mexican population: those who have limited access to these assets (or services) would belong to the three lowest levels, while those who possess them belong to the two upper positions (Table 8).

The major changes in probabilities of belonging to a particular quintile occur in quintile number 4. The values in the highest quintile are low, indicating that the households belonging to quintile 5 possess most of the assets included in the index, and therefore each particular asset has a low individual impact. The amount destined by the households to health expenses show little impact in belonging to any quintile. None of the assets analyzed have an impact in belonging to quintile 2.
Similar studies aiming to determine the relevant assets affecting conditions like health or socioeconomic status have found that education and marital status were among the most important determinants of poverty status or health inequalities (Akinbode & Hamzat, 2017; Wamani, et al., 2004); however, there are no studies that focus specifically on the assets used to construct the index and estimate the relative importance of each one of them.
The marginal effects and predictions for every quintile made clear that the relevance of these assets vary according to the quintile. The main leap happens from quintile 3 to quintile 4, that is, possessing variables such as voluntary pension funds and medical affiliation mark a difference between the low asset level quintiles (1,2 and 3) and the high asset level ones (4 and 5). In consequence, marginal effects are also consistent with the logistic estimation in the sense that possessing specific types of assets increase the likelihood for social mobility of households.
According to the OECD report on social mobility (OECD, 2018), there is persistence on both sides of the distribution, that is, most of those who start at the lower levels remain in the same position years later, just as those who belong to the higher classes tend to remain at the same level. These phenomena are known as the “sticky floor” and the “sticky ceiling”. In contrast, the middle class is the one that can present greater mobility in terms of income, since only 30% remained at the same level nine years later, understanding the middle class as individuals who are in quintiles 2, 3 and 4, that is, those who are not located in the lowest part of the distribution, nor the group that is at the top.
The voluntary pension fund and having access to Seguro Popular or INSABI are the assets that offers greater probabilities for a household to belong to the fourth quintile, and possessing a medical expenses insurance is determinant in belonging to the fifth quintile. However, in many developing countries the access to a pension fund or to a medical expenses insurance is limited due to economic factors. Therefore, it is necessary to strengthen public social security schemes through public policies focused on the most vulnerable groups of the population. It should be noted that one the most significant variables (the voluntary pension fund) is linked to private protection schemes. Likewise, it should be noted that public health insurance schemes do have a significant impact on households belonging to higher quintiles. This implies that it is a priority to strengthen public social protection schemes that make it possible to reduce the inequality of conditions in which individuals develop.
4. Conclusions
Economic inequality and social mobility are two phenomena widely studied from different points of view. There are plenty of studies analyzing social mobility in which household goods and services are considered in the development of socioeconomic status metrics, such as indexes created using Principal Components Analysis (Filmer & Pritchett, 2001; Poirier et al., 2020). Health and social protection assets are included in some of these indexes, particularly after the World Economic Forum has published the Global Social Mobility Index in which health and social protection are considered among the social mobility drivers in a country (World Economic Forum, 2020). A study conducted by Singh and Muniyoor (2022) show that health, education access and equity of education are of great importance in the improvement of social mobility, but no specific variables are defined in these fields.
The main contribution of this article relies not on the determination of an asset index nor on the evaluation of social mobility, but on the assessment of the relevance that specific assets related to health and social protection has on the position that a household takes in the socioeconomic quintile distribution. Identifying the relevant assets may contribute to more efficient inequality-reducing public policies that promote the possession of those relevant assets.
Using an ordered logistic regression where the dependent variable was the quintile position of each household on a ranking based on an asset index and the explanatory variables were the full list of assets considered in the asset index, we confirm greater possibilities in mobility in the middle quintiles, particularly to belong to quintile 4, when families have access to health and social protection.
Different variables can be used to measure the accessibility to these factors, but based on the data provided by the 2020 National Income and Expenses Surveys (Encuesta Nacional de Ingreso y Gasto de los Hogares, ENIGH), the analysis was focused on the possession of medical expenses insurance coverage, affiliation to medical care (any type) or specifically affiliation to “Seguro Popular” or “Insabi” -the federal government health care program-, having a voluntary pension fund account and the average monthly amount destined to health services.
The results of the odds ratios of the logistic regression showed that possessing a medical expenses insurance and having a retirement fund created voluntarily are the variables with the highest impact on belonging to higher quintiles. These two elements require the individual’s decision and allocation of own resources, which in many cases is a limitation considering the elevated costs of medical expenses insurance policies. Therefore, should these results be used by policy makers to promote social mobility, efforts should focus on increasing the number of households with voluntary pension fund accounts, since this is the most important asset influencing the probabilities of belonging to the 4th quintile, and it is not as economically demanding for families as the purchase of a medical-expenses insurance policy.
According to the marginal effects results, the second most important variable determinant in belonging to the quintile number 4 is the affiliation to Seguro Popular or Insabi. Contrasting this result with the proportion of healthcare coverage provided by this free-of-charge public service, it is recommended that adequate adjustments are made in order to increase the number of families with access to health services regardless of their labor situation. Not only will this increase benefit the living conditions of the families, but also can help reduce inequality by promoting access to higher socioeconomic levels.
The scope of the research relies on the identification of relevant assets, but this information can later be used in further investigations applied to inequality reduction or promotion of social mobility. Main limitations of the present document are related with the small number of health and social-protection related variables obtained from the ENIGH survey. The inclusion of additional variables is recommended for a better assessment of their impact in the quintile distribution of households. Therefore, the pending agenda undoubtedly must consider the limitation above mentioned.
References
Akinbode, S. O., & Hamzat, S. G. (2017). Women Asset Ownership and Household Poverty in Rural Nigeria. Journal of Studies in Social Sciences, 16 (1), 45-64. Retrieve from https://infinitypress.info/index.php/jsss/article/view/1462
Alfonso, H., LaFleur, M., & Alarcón, D. (2015). Concepts of inequality. Development Issues 1, Development Policy and Analysis Division of UN/DESA, retrieved from https://www.un.org/development/desa/dpad/wp-content/uploads/sites/45/publication/dsp_policy_01.pdf
Anand, P., Hunter, G., & Smith, R. (2005). Capabilities and Wellbeing: evidence based on the Sen-Nussbaum approach to welfare. Social Indicators Research, 74(1), 9-55. https://doi.org/10.1007/s11205-005-6518-z
Antonio-Villa, N. E., Fermín-Martínez, C. A., Aburto, J. M., Fernández-Chirino, L., Ramírez-García, D., Pisanty-Alatorre, J., . . . Bello-Chavolla, O. Y. (2022). Sociodemographic inequalities and excess non-COVID-19 mortality during the COVID-19 pandemic: A data-driven analysis of 1,069,174 death certificates in Mexico. International Journal of Epidemiology, 51(6), 1711-1721. doi:https://doi.org/10.1093/ije/dyac184
Barr, N. (2004), Economics of the welfare state. New York: Oxford University Press.
Behrman, J., & Vélez-Grajales, V. (2015). Patrones de movilidad intergeneracional para escolaridad, ocupación y riqueza en el hogar: el caso de México. In H. W. Vélez-Grajales, México, ¿el motor inmóvil? (pp. 299-346). Ciudad de México: CEEY Centro de Estudios Espinosa Yglesias, A.C. Retrieved from: https://ideas.repec.org/b/auk/ceeybk/y2015p1-693.html
Campos-Matos, I., & Kawachi, I. (2015). Social mobility and health in European countries: Does welfare regime type matter? Social Science & Medicine, 142, 241-248. https://doi.org/10.1093/eurpub/ckv167.021
Chávez-Juárez, F., Badillo Salas, R. Y., & Hernández Sistos, V. (2017). Social mobility, economic growth and socioeconomic inequality in an economy without informality and with social protection. Working paper, Centro de Estudios Espinosa Yglesias. Retrieved from https://ceey.org.mx/wp-content/uploads/descargables/dt-004-2017_si.pdf
Case, K. & Fair, R. (2000), Principles of economics. Upper Saddle River: Pearson Education
Consejo Nacional de Evaluación de la Política de Desarrollo Social (CONEVAL). (2021). Pobreza en México. Ciudad de México: CONEVAL.
Consejo Nacional de Evaluación de la Política de Desarrollo Social. (2019). Metodología para la Medición Multidimensional de la Pobreza en México (terceraedición). Ciudad de México: CONEVAL .
Consejo Nacional de Evaluación de la Política de Desarrollo Social. (2022). Informe de evaluación de la política de desarrollo social 2022. Ciudad de México: CONEVAL .
Corak, M. (2013). Income inequality, equality of opportunity, and intergenerational mobility. Journal of Economic Perspectives, 27(3), 79-102. https://doi.org/10.2139/ssrn.2314815
Filmer, D., & Pritchett, L. (1998). The effect of household wealth on educational attainment around the world: Demographic and health survey evidence. World Bank. https://doi.org/10.1596/1813-9450-1980
Filmer, D., & Pritchett, L. H. (2001). Estimating wealth effects without expenditure data-or tears: an application to educational enrollments in states of India. Demography, 38, 115-132. https://doi.org/10.2307/3088292
Harttgen, K., & Vollmer, S. (2013). Using an asset index to simulate household income. Economics Letters, (121), 257-262. https://doi.org/10.1016/j.econlet.2013.08.014
Instituto Nacional de Estadística y Geografía. (2017). Encuesta Nacional de Ingresos y Gastos de los Hogares 2016: ENIGH: nueva serie. México.
Instituto Nacional de Estadística y Geografía. (2019). Encuesta Nacional de Ingresos y Gastos de los Hogares 2018: ENIGH: nueva serie: diseño conceptual. México.
Instituto Nacional de Estadística y Geografía. (2020). Encuesta Nacional de Ingresos y Gastos de los Hogares 2020: ENIGH: Nota Técnica. México.
Meneses Navarro, S., Pelcastre-Villafuerte, B. E., Becerril-Montekio, V., & Serván-Mori, E. (2022). Overcoming the health systems' segmentation to achieve universal health coverage in Mexico. The International Journal of Health Planning and Management, 37. https://doi.org/10.1002/hpm.3538
Mohanty, S. K. (2009). Alternative wealth indices and health estimates in India. Genus, 65(2), 113-137. Retrieved from http://www.jstor.org/stable/genus.65.2.113
Mood, C. (2010). Logistic regression: Why we cannot do what we think we can do, and what we can do about it. European Sociological Review, 26(1), 67-82. https://doi.org/10.1093/esr/jcp006
Nambiar, S. (2013). Capabilities, conversion factors and institutions. Progress in Development Studies, 13(3), 221-230. https://doi.org/10.1177/1464993413486547
Novak, M., Ahlgren, C., & Hammarstrom, A. (2012). Social and health-related correlates of intergenerational and intragenerational social mobility among Swedish men and women. Public Health, 126(4), 349-357. https://doi.org/10.1016/j.puhe.2012.01.012
OECD. (2018). A broken social elevator? How to promote social mobility. Paris: OECD Publishing.
OECD. (2020). How's Life? 2020: Measuring Well-being. Paris: OECD Publishing .
Orozco-Corona, M. E., Espinosa-Montiel, R., Fonseca-Godínez, C., & Vélez-Grajales, R. (2019). Informe Movilidad Social En México 2019: Hacia La Igualdad Regional de Oportunidades. Ciudad de México: Centro de Estudios Espinosa Yglesias. Retrieved from https://ideas.repec.org/b/auk/ceeybk/y2019p1-83.html
Poirier, M. J., Grépin, K. A., & Grignon, M. (2020). Approaches and alternatives to the wealth index to measure socioeconomic status using survey data: a critical interpretive synthesis. Social Indicators Research , 148(1), 1-46. https://doi.org/10.1007/s11205-019-02187-9
Programa de las Naciones Unidas para el Desarrollo (PNUD). (2016). Informe sobre Desarrollo Humano México 2016, Desigualdad y movilidad. México: PNUD.
Roche, J. M. (2013). Estratificación social en Venezuela: revelando la estructura latente a la desigualdad en “capacidades”. In M. Parra de Niño, & V. Zubillaga, Hacer sociología en Venezuela juntos con Alberto Gruson. Caracas: Universidad Católica Andrés Bello. Retrieved from https://www.ophi.org.uk/wp-content/uploads/EstratificacionSocial_JMR.pdf
Rutstein, Shea, and Staveteig, Sarah. (2014). Making the Demographic and Health Surveys Wealth Index Comparable. DHS Methodological Reports No. 9. Rockville, Maryland, USA: ICF International.
Sahn, D. E., & Stifel, D. C. (2000). Poverty comparisons over time and across countries in Africa. World Development, 28(12), 2123-2155. https://doi.org/10.1016/s0305-750x(00)00075-9
Sen, A. (1980). Equality of what? The Tanner lecture on human values, 1, 197-220.
Sen, A. (1985a). Commodities and capabilities. North Holland, Amsterdam. https://doi.org/10.2307/2232999
Sen, A. (1985b). Well-being, agency and freedom: The Dewey lectures1984. The Journal of Philosophy, 82(4), 169-221. https://doi.org/10.2307/2026184
Solís, P. (2018). Barreras estructurales a la movilidad social intergeneracional en México. México: CEPAL. Retrieved from https://repositorio.cepal.org/bitstream/handle/113%2062/43768/1/S1800693_es.pdf
Torche, F. (2020). Changes in Intergenerational Mobility in Mexico: A Cohort Analysis. Working paper, Centro de Estudios Espinosa Yglesias. Retrieved from https://ceey.org.mx/wp-content/uploads/2020/04/03-Torche-2020.pdf
Torche, F., & Spilerman, S. (2010). Influencias intergeneracionales de la riqueza en México. In J. Serrano Espinosa, & F. Torche, Movilidad Social en México, población, desarrollo y crecimiento (pp. 229-274). México: Centro de Estudios Espinosa Yglesias, A.C. Retrieved from https://ceey.org.mx/wp-content/uploads/2018/06/Movilidad-Social-en-M%C3%A9xico.-Poblaci%C3%B3n-desarrollo-y-crecimiento.pdf
United Nations Development Programme. (2019). Beyond income, beyond averages, beyond today: Inequalities in human development in the 21st century. New York: UNDP. https://doi.org/10.18356/838f78fd-en
Vélez-Grajales, R., & Huerta-Wong, J. E. (2018). Sistema de protección social universal: un instrumento de política pública para alcanzar mayor movilidad social en México. In J. Galindo, México Contemporáneo: aspectos económicos, políticos y sociales (pp. 297-322). Xalapa, Veracruz: Universidad Veracruzana.
Vélez-Grajales, R., Stabridis Arana, O., & Minor Campa, E. (2018). Still Looking for The Land of Opportunity: Regional Differences in Social Mobility in Mexico. Sobre México. Temas de Economía, 1, 54-69. Retrieved from http://ri.ibero.mx/handle/ibero/4778
Vélez-Grajales, R., Vélez-Grajales, V., & Stabridis, O. (2015). Construcción de un índice de riqueza intergeneracional a partir de la encuesta ESRU de movilidad social en México. Retrieved from Centro de Estudios Espinosa Yglesias: http://www.ceey.org.mx/sites/default/files/adjuntos/dt-002-2015_si.pdf.
Wamani, H., Tylleskar, T., Astrom, A. N., Tumwine, J. K., & Peterson, S. (2004). Mothers' education but not fathers' education, household assets or land ownership is the best predictor of child health inequalities in rural Uganda. International Journal of Equity in Health, 3, 9. https://doi.org/10.1186/1475-9276-3-9
World Economic Forum. (2020). The global social mobility report 2020. Switzerland.
Yang, X., & Zhou, P. (2022). Wealth Inequality and Social Mobility: A Simulation-Based Modelling Approach. Cardiff Economics Working Papers E2022/3, Cardiff University, Cardiff Business School, Economics Section. https://doi.org/10.1016/j.jebo.2022.02.012
Appendix A



Notes
Author notes
*Corresponding author: lotorre@up.edu.mx