Artículos de investigación
Vegetative Growth of Genipa americana L. Accessions
Crecimiento vegetativo de accesiones de Genipa americana L.
Vegetative Growth of Genipa americana L. Accessions
Colombia Forestal, vol. 25, no. 2, pp. 45-56, 2022
Proyecto Curricular de Ingeniería Forestal, Facultad del Medio Ambiente y Recursos Naturales, Universidad Distrital Francisco José de Caldas.
Received: 22 October 2021
Accepted: 01 March 2022
Abstract : Jagua (Genipa americana L.) is widely distributed throughout the Americas. It has been used since ancient times due to the pigments extracted from its fruit. This study aimed to evaluate the vegetative growth of five Jagua accessions by adjusting non-linear models to dasometric growth variables. The accessions (Porce, Chigorodó, San Carlos, San Luis, and Vigía del Fuerte in Antioquia) were collected in the central-western region of Colombia. The growth, determined through plant height and stem diameter (at 0.10 and 1.30 m), was evaluated for 262 weeks in the municipality of Amalfi. A descriptive analysis of the growth behavior of each accession was performed, and the fit of four nonlinear functional models was evaluated. An influence of the accession factor on growth was found due the different growth rates. The Weibull model was the one with the best fit and predictive capacity, which confirmed the differences between accessions.
Keywords: jagua, growth analysis, Weibull model, tropical forest, non-timber forest resources..
Resumen : La Jagua (Genipa americana L.) se encuentra ampliamente distribuida en las Américas. Se ha utilizado desde tiempos ancestrales por la calidad del pigmento extraído de su fruto. Este estudio pretendió evaluar el crecimiento vegetativo de cinco accesiones de Jagua mediante el ajuste de modelos no lineales a variables dasométricas de crecimiento. Las accesiones (Porce, Chigorodó, San Carlos, San Luis y Vigía del Fuerte en Antioquia) fueron recolectadas en la región centro-occidental de Colombia. El crecimiento, determinado a través de la altura total y diámetro estimado a 0.10 y 1.30 m del suelo, fue evaluado durante 262 semanas en el municipio de Amalfi. Se realizó un análisis descriptivo del comportamiento del crecimiento de cada accesión y se evaluó el ajuste de cuatro modelos funcionales no lineales. Se constató una influencia del factor de adhesión sobre el crecimiento como consecuencia de las diferentes tasas de crecimiento. El modelo de Weibull fue el de mejor ajuste y capacidad predictiva, lo cual confirmó las diferencias entre accesiones.
Palabras clave: jagua, análisis de crecimiento, modelo de Weibull, bosque tropical, productos forestales no maderables..
INTRODUCTION
The jagua (Genipa americana L.) is a neotropical plant belonging to the Rubiaceae family. It is native to the Amazon basin and grows naturally from tropical to subtropical forests in Latin America (Brauch et al., 2016; Francis, 2000; Náthia-Neves & Meireles, 2018). The jagua has a straight stem, dark green leaves, golden yellow flowers, and a fruit in the shape of a green ovoid berry, which turns greyish when it ripens and has a light brown pulp that envelops the center of the seed (Moura et al., 2016). In Colombia, this species is distributed in the departments of Antioquia, Quindío, Risaralda, Amazonas, Cundinamarca, and Boyacá, where it is called jagua or huito (Pinto-Ruiz et al., 2018). Said species is used both for its wood characteristics and its fruit -which has various medicinal, nutritional, and cosmetic attributes- thus leading to an extractive activity without any care for conservation or knowledge about the species (Santos et al., 2011; Silva et al., 2018). Jagua trees are fast-growing and a good option of economic importance for small farmers. Nevertheless, even with all the knowledge about the productive potential of G. americana in tropical regions, the available information is scarce, especially regarding exploration, production, and initial growth studies (Paiva et al., 2019; Santos et al., 2011). Therefore, the develop- ment of evaluation studies of genetical diversity can yield valuable information for both plant improvement and commercial production programs (Jesus et al., 2019). The wide geographic distribution of G. americana, mainly in different forests in wet tropical and subtropical regions from Brazil to Mexico, implies a plant with high plasticity and adaptability (Gonçalves et al., 2013; Santiago & Paoli, 2007). In addition, the different responses reported for this plant through various environmental conditions suggest a variation of G. americana biotypes as it adapts to the specific requirements of the site where it grows (Gonçalves et al., 2013; Petit & Montagnini, 2004; Santiago & Paoli, 2007). Consequently, the evaluation of biotypes of the same species collected in contrasting environments would be expected to obtain a differential response of genotypes under particular environmental evaluation conditions. In the case of G. americana, studies evaluating the physiological efficiency both indirectly (Barbosa et al., 2007; Mielke et al., 2003) and directly (Petit & Montagnini, 2004; Santiago & Paoli, 2007; Santiago et al., 2018; Silva et al., 2018) have been reported. However, this type of work is still scarce for this species. Growth analysis has been based on the descriptive examination of variables or functional polynomial expressions (Paine et al., 2012). Thus, understanding the functioning of agricultural systems, as complex as they are, requires constructing models of the system’s efficiency based on environmental parameters, soil components, and interactions between components (Arredondo & Castañeda-Sánchez, 2020). Therefore, this study aims to evaluate the growth of the five origins of G. americana in the vegetative stage by adjusting non-linear models to growth variables.
MATERIALS AND METHODS
Location
This study was conducted in the village of El Encanto (6° 78´ 26.6¨ N; 75° 09´ 09.3 W, and an elevation of 1000 masl), in the municipality of Amalfi, department of Antioquia, Colombia, which is located in a tropical wet forest life zone (T-wf), with an average annual rainfall of 1968 mm and a bimodal distribution, in which there is a rainy season (March-April) and a drought season (August-September), with an average yearly temperature of 24.2 °C and a relative humidity of 74.6%.
Characteristics of the study site
The properties of the soil where the study was conducted were as follows. The textural class was sandy clay, and the composition was: pH: 5.1; MO 3.1%; P: 2 mg kg-1.soil; S: 5 mg.kg-1.soil; Ca: 0.75 cmolc.kg-1; Mg: 0.30 cmolc.kg-1; K: 0.08 cmolc.kg-1; CICE: 1.8 cmolc.kg-1; Fe: 101 mg.kg-1; Mn: 3 mg.kg-1; and Cu: 1 mg.kg-1; Zn: 1 mg.kg-1. The type of landscape in this area is mountainous, with ridges, rows, beams, hills, and intramontane valleys, with lithological materials such as quartz diorite, an intrusive igneous rock corresponding to the Antioquia batholith (the study was located under this material with hill-type slopes). Lower hills with little slopes (12-25%) are towards the center of the Porce river; in the more distal parts of the nearby valley, there are hills with steeper slopes (25-50%) and underdeveloped soils (Jaramillo, 1989). Table 1 summarizes the annual mean environmental variables registered for the evaluation period between 2014 and 2019.

Experimental conditions. The treatments consisted of five (5) origins of G. americana L., called Vigía del Fuerte, Porce (Amalfi), Rafael, San Luis, and Chigorodó (Figure 1). Table 2 lists the main environmental characteristics of the five regions or origins of the evaluated genotypes.


The germination of seeds was carried out in the sand, with daily irrigation for 45 days until the seedlings were between 2 and 3 cm high. The seedlings were transplanted into bags with a substrate distributed in equal proportions of sand, soil, and organic matter, and they were kept under shade conditions until they reached a height between 30 and 40 cm. Sowing was carried out in June 2015 within 7 x 7 m. Each accession of G. americana was randomly distributed in plots of 2400 m2 with 49 plants, considering the plant as the experimental unit (replication), for a total experimental area of 12 000 m2.
Evaluated variables. The total height of the plants was determined with a measuring tape if they were less than 3 m, and with a clinometer (Suunto Tandem/360PC/360R®) if they were taller. The diameter was recorded at 0.1 m from the ground (D10) using a caliper in plants with a height of less than 3 m and at 1.3 m (D130) using a measuring tape in taller plants (Diameter at Breast Height (DBH). Eight evaluations were carried out within a period of six months, namely in July and October 2015, March and August 2016, June 2017, March 2018, April 2019, and May 2020.
Statistical analysis
The growth of the trees from each origin was modeled through the behavior of the plants’ height, D10, and D130 over time. Additionally, each variable was taken as a response according to the origin factor, with its five levels, in order to evaluate significant differences (p<0.05) in their means. Growth comparisons between the different accessions were performed independently at each measurement. The growth over time was evaluated by means of nonlinear models. After the Shapiro-Wilk normality test, it was found that the residuals distribution of the analysis of variance models did not exhibit normality for plant height and diameters D10 and D130 (p = 2.2e-16). Therefore, in order to compare the variables between the different sources, the non-parametric Kruskal Kruskal-Wallis test was used; the post-hoc test used Fisher's least significant difference criterion, and the Bonferroni adjustment method was used in the agricolae package on the R software (de Mendiburu, 2021).
Functional growth analysis
The fit and predictive capacity of four nonlinear functional models, which are frequently used to represent plant growth, were evaluated. The mathematical expressions for these models are described below:




where yR, yL, yW, and yG refer to the response variables (height and diameters at 0.10 and 1.30 m) estimated using Richards (1), logistic (2), Weibull (3), and Gompertz (4) non-linear models, respectively. α is the value of the maximum growth (asymptote), b is a positive value that depends on the initial condition of the population, κ is growth rate, x is time, and c is the intercept in the y-axis (Karadavut et al., 2010). The c parameter was considered, with (Gompertz-4 and logistic-4) and without it (Gompertz-3 and logistic-3), only in the logistic and Gompertz models.
The Gompertz and logistic models were evaluated with four and three parameters; the Richards and Weibull models were adjusted with three parameters since the c parameter was not significant within them. The estimation of the parameters of the models with the best fit to the data was determined through the Akaike (AIC) and Bayesian (BIC) information criteria (Motulsky & Christopoulos, 2003).
The prediction capacity of each model under study was evaluated using the RMSPD criterion (root mean squared predictive difference of errors). If the RMSPD value is closer to zero, the model will have a better prediction (Hastie et al., 2009). All of the above was performed using R software (de Mendiburu, 2021).
RESULTS
Descriptive growth analysis
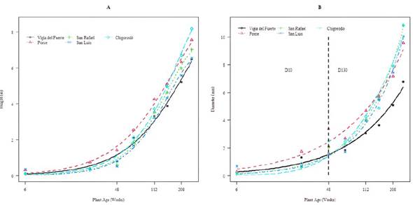
All the accessions show a stable trend in weeks 6 to 48 for plant height, whereas, for the stem diameter, these show an increasing behavior. Plants aged between 48 and 70 (all the accessions) exhibited an abrupt increase in growth rates, reaching a maximum peak at the age of 70 weeks in the plant height variable and possibly also in D10, since, at that age, the diameter was measured at 1.30 m from the ground (Figure 2). However, the growth rates in the plants of the Porce, Chigorodó, and Vigía del Fuerte accessions were higher compared to those of the others, which would explain the greater height and D10 reached by them. Plants aged between 70 and 150 weeks of all the accessions showed a decrease in the weekly growth rates, but they stabilized after 150 weeks of age. However, in the plants of the Chigorodó accession, the growth rate continued to be higher in comparison with the others, which explains that, when these plants reached an age of 262 weeks, they showed the highest significant height (8.18 m); they were followed by the Porce accession (7.56 m), San Carlos (7.02 m), San Luis (6.55 m), and Vigía del Fuerte (6.49) (Figure 2, Table 3).
At six weeks of development, the different accessions already showed significant differences (p<0.05) regarding plant height and stem diameter. With six weeks of development, the Porce accession stood out with the highest plant height and the largest trunk diameter, surpassing the other four origins (Vigía del Fuerte, San Rafael, San Luis, and Chigorodó). This behavior remained constant for these variables in the following evaluations: weeks 26, 48, 70, 112, and 208 (Table 3). On the contrary, in the last evaluation, the Vigía del Fuerte origin was the genetic material with the lowest average height (6.49 m) (Table 3). For the stem diameter variable (D10), recorded for up to 48 weeks (1 year) of development, the material from Porce stood out as the one with the largest diameter (3.37 cm), significantly surpassing the rest of the origins. From week 70 until the evaluation carried out at week 212 (4 years), it was observed that Porce and Chigorodó stood out as the origins with the highest growth in stem diameter. However, in the last evaluation, conducted five years after establishment, Chigorodó, San Rafael, and San Luis showed the highest values for this variable, significantly surpassing Porce and Vigía del Fuerte (Table 3).


Functional models of growth
Table 4 shows the magnitude taken for the adjustment criteria (BIC and AIC) and prediction (RMSPD) for the different models (Gompertz-3, logistic-4, logistic-3, and Weibull) adjusted for the height growth of the plants according to their origin. Considering the BIC and AIC information criteria, the Weibull model was the one with the lowest value for these predictors in each of the origins, so it was considered the one that best describes plant growth for all origins. Likewise, the best fit reported by the Weibull model indicates that it has a high predictive capacity, given its RMSPD<1.18 for the plant height variable of G. americana, in comparison with the other three evaluated models. The theoretical Weibull model parameters that allow estimating the growth of plants according to their origin are presented in Table 5. According to the origin, the differences found confirm the dissimilarity in plant development for the vegetative phase, thus requiring specific models.


From the parameters indicated in Table 5, the growth curves were estimated for both plant height and trunk diameter variables, as shown in Figure 3. A slow growth phase was evidenced until week 48, from which an increase in the slopes of the curves of all origins was observed, and it can be said that it corresponds to the exponential growth phase. Since the evaluations were made during the vegetative growth phase, it was not possible to observe the maximum asymptote, which has a slowdown in growth rates. It is why the typical sigmoidal curve cannot be observed. Additionally, the higher growth exhibited by the plant accessions of Chigorodó and Porce, medium in San Rafael, and low in those of Vigía del Fuerte and San Luis was confirmed.

DISCUSSION
Plant growth is a parameter used to evaluate conditions such as genotype-environment adaptation determined from height and diameter growth rates. Works carried out by Paiva et al. (2019) reported average annual increases of 10.2 cm in height and 3.10 mm in diameter for G. americana for the first year of growth. The results obtained in this study indicate that G. americana showed good development. The cultivar with the highest annual growth for the variables of plant height (42 cm. year-1) and stem diameter (7.1 mm. year-1) was Porce, while San Rafael was the one with the lowest increase (31 cm. year-1 and 7 mm. year-1).
Authors such Silva et al. (2018) and Petit & Montagnini (2004) highlighted that G. americana is a species that presents high phenotypic plasticity. This allows it to adapt and grow adequately in contrasting environments. In this sense, their growth and development behavior allows highlighting the adaptability of G. americana, starting from the flexibility in its genetic structure, which can generate changes in response to environmental conditions and thus show great variability between populations (Francis, 2000).
According to Jesus et al. (2019), although G. americana occurs in natural reserves and indigenous lands, agricultural expansion has caused a considerable loss of genetic variability in this species. It is expected that these variations are due to genotypic differences. In this regard, Silva et al. (2018) evaluated the diversity of 150 accessions from wild populations collected in only three states of Brazil, finding groups of diversity. Similar studies were conducted by Jesus et al. (2019) to evaluate the genetic diversity in the state of Sergipe (Brazil). These authors reported that the genetic similarity index (Jaccard index) between individuals was 60.4% on average, while the greatest distance of similarity obtained was observed between individuals (83.6 % ± 0.03), as well as the lowest genetic similarity between individuals (36.5 % ± 0.02). This indicates an intermediate genetic diversity, as found by Cardoso et al. (2019) in a study carried out in natural populations of G. americana in the Brazilian state of Sergipe. As previously indicated, differences were found in this study with regard to plant development for the variables of plant height and DBH during the vegetative phase according to the origin. Thus, it was necessary to adjust a growth curve for each origin (Figure 3) and thus adjust a curve for each of the evaluated populations, which indicates the variability between the origins used.
The behavior of growth curves can vary according to the organisms, the phenotype, and the environment to which species are exposed. This is the reason why it is important that the curves of the models used to evaluate whether the growth of species fit the real data trend and that its parameters allow a biological interpretation (Karadavut et al., 2008). The Weibull function is characterized by being highly flexible due to its shape and scale parameters; both parameters, according to Yang et al. (1978), have a positive numerical domain between zero and infinity. These authors have used the Weibull distribution function at the forest level to make predictions of timber yield, incorporating variables such as DBH, height, and age. They recommend its use due to its simplicity of application and straightforward interpretation. Díaz et al. (2017) conclude that the Weibull model applied to the diameter categories of Pinus cooperi is appropriate and has a good fit. Among the advantages of the Weibull distribution are its simple handling and flexibility to adopt different shapes with different degrees of bias; it can also be analytically integrated with the biological interpretation of its parameters.
Implementing models to predict growth has proven to be a valuable tool to describe plant growth accurately, continuously, and depending on the phenological stages. Hence, the Weibull model best describes and adjusts the vegetative stage of G. americana, thus allowing to complement the modeling of the life cycle of this species in future research.
CONCLUSIONS
The Chigorodó origin was the population with the highest height and DBH after five years of growth, and the model that best describes the growth behavior for the five origins of G. americana L. is Weibull’s model.
ACKNOWLEDGMENTS
The authors would like to thank ECOFLORA and Empresas Públicas de Medellín (EPM) for funding the project through the Research and Promotion of Native Species program within the framework of the EPM+REDD project in collaboration with ECOFLORA, a company interested in the knowledge and promotion of the species to produce genipina in the Porce area, Antioquia, Colombia.
REFERENCES
Arredondo, H. A. K., & Castañeda-Sánchez, D. (2020). El modelamiento en la floricultura. Revista de La Facultad de Ciencias, 9(2), 80-92. https://doi.org/10.15446/rev.fac.cienc.v9n2.86791
Barbosa, R. M. T., de Almeida, A. A. F., Mielke, M. S., Loguercio, L. L., Mangabeira, P. A. O., & Gomes, F. P. (2007). A physiological analysis of Genipa americana L.: A potential phytoremediator tree for chromium polluted watersheds. Environmental and Experimental Botany, 61(3), 264-271. https://doi.org/10.1016/J.ENVEXPBOT.2007.06.001
Brauch, J. E., Zapata-Porras, S. P., Buchweitz, M., Aschoff, J. K., & Carle, R. (2016). Jagua blue derived from Genipa americana L. fruit: A natural alternative to commonly used blue food colorants? Food Research International, 89, 391-398. https://doi.org/10.1016/J.FOODRES.2016.08.029
Cardoso, M. N., Nascimento, A. L. S., De Oliveira, L. A. R., De Assunção, D. A., Machado, C. A., De Oliveira, A. C. A., De Jesus, A. S., Lédo, A. S., Archiminio, R. S., Rabbani, A. R. C., & Silva, A. V. C. (2019). Genetic diversity in native Genipa americana (Rubiaceae) populations in Sergipe, Brazil. Genetics and Molecular Research, 18(1), 18119. https://doi.org/10.4238/gmr18119
de Mendiburu, F. (2021). Agricolae: Statistical Procedures for Agricultural Research. R package (1.3-5). Universidad La Molina.
Díaz, V. M. A., Domínguez, C. P. A., & Rodríguez, O. G. (2017). Predicción del crecimiento y producción de Pinus cooperi en el ejido El Brillante, Pueblo Nuevo, Durango. Foresta Veracruzana, 19(2), 33-40. https://www.redalyc.org/journal/497/49753656003/
Francis, J. K. (2000). Genipa americana L. jagua, Genipa. In J. K. Francis & C. A. Lowe (Eds.), Bioecología de árboles nativos y exóticos de Puerto Rico y las Indias Occidentales (pp. 231-235). U.S. Department of Agriculture, Forest Service, International Institute of Tropical Forestry.
Gonçalves, J. F. de C., Melo, E. G. de F., Ferreira, M. J., Silva, C. E. M. da, & Gomes, I. B. (2013). Crescimento, partição de biomassa e fotossíntese em plantas jovens de Genipa spruceana submetidas ao alagamento. CERNE, 19(2), 193-200. https://doi.org/10.1590/S0104-77602013000200003
Hastie, T., Tibshirani, R., & Friedman, J. (2009). The Elements of Statistical Learning. Springer New York. https://doi.org/10.1007/978-0-387-84858-7
Instituto Geográfico Agustín Codazzi (IGAC) (2007). Estudio general de suelos y zonificación de tierras: departamento de Antioquia. IGAC.
Jaramillo, D. (1989). Estudio general de suelos, erosión y uso potencial agropecuario para los proyectos hidroeléctricos Porce II y Porce III. Empresas Públicas de Medellín, Unidad de Planeación, Estudios de Impacto Ambiental.
Jesus, A. S. De. , Filho, J. G. D. S. , Teodoro, A. V., Cardoso, M. N., Nascimento, A. L. S. , Ledo, A. D. S., & Silva, A. V. C. Da. (2019). Conservation, Utilization, Genetic and Chemodiversity of Germplasm of Genipap (Genipa americana L.) in Brazil. Current Trends in Biomedical Engineering & Biosciences, 18(4), 555995. https://doi.org/10.19080/ctbeb.2019.18.555995
Karadavut, U., Kayi, S. A., Palta, Ç., & Okur, O. (2008). A Growth Curve Application to Compare Plant Heights and Dry Weights of Some Wheat Varieties. Journal of Agriculture and Environmental Sciences, 3(6), 888-892. https://www.idosi.org/aejaes/jaes3(6)/15.pdf
Karadavut, U., Palta, Ç., Kökten, K., & Bakoğlu, A. (2010). Comparative study on some non-linear growth models for describing leaf growth of maize. International Journal of Agriculture and Biology, 12, 227-230. http://www.fspublishers.org/published_papers/64545_..pdf
Mielke, M. S., Mielke, M. S., Almeida, A.-A. F. de, Gomes, F. P., Aguilar, M. A. G., & Mangabeira, P. A. O. (2003). Leaf gas exchange, chlorophyll fluorescence and growth responses of Genipa americana seedlings to soil flooding. Environmental and Experimental Botany, 50(3), 221-231. https://doi.org/10.1016/S0098-8472(03)00036-4
Motulsky, H., & Christopoulos, A. (2003). Fitting Models to Biological Data Using Linear and Nonlinear Regression. Fitting curves with GraphPad Prism. GraphPad Prism Software Inc.
Moura, S. S. M., Sampaio de Sousa, S. R., & Mendes Conde Júnior, A. (2016). Genipa americana: prospecção tecnológica. Jornal Interdisciplinar de Biociências, 1(2), 5. https://revistas.ufpi.br/index.php/jibi/article/view/5174
Náthia-Neves, G., & Meireles, M. A. A. (2018). Genipap: A New Perspective on Natural Colorants for the Food Industry. Food and Public Health, 8, 21-33. https://doi.org/10.5923/j.fph.20180801.04
Paine, C. E. T., Marthews, T. R., Vogt, D. R., Purves, D., Rees, M., Hector, A., & Turnbull, L. A. (2012). How to fit nonlinear plant growth models and calculate growth rates: an update for ecologists. Methods in Ecology and Evolution, 3(2), 245-256. https://doi.org/10.1111/j.2041-210X.2011.00155.x
Paiva, N. de J., Braga, S. S. R., Santana, A. da S. J., & Canto, L. do J. (2019). Crescimento e sobrevivência de Genipa americana L. no município de Macaíba (Rio Grande do Norte - Brasil). Revista Brasileira de Meio Ambiente, 7(3), 088-093. https://doi.org/10.5281/zenodo.3595073
Petit, B., & Montagnini, F. (2004). Growth equations and rotation ages of ten native tree species in mixed and pure plantations in the humid neotropics. Forest Ecology and Management, 199(23), 243-257. https://doi.org/10.1016/J.FORECO.2004.05.039
Pinto-Ruiz, R., Urbina-Cruz, F. M., & Jiménez-Trujillo, T. J. A. (2018). Genipa americana L. In G. J. M. Palma & I. C. González-Rebeles (Eds.). Recursos arbóreos y arbustivos tropicales para una ganadería bovina sustentable (pp. 63-65). Universidad de Colima http://ww.ucol.mx/content/publicacionesenlinea/adjuntos/Recursos-arboreos-y-arbustivos-tropicales_462.pdf
Pinto, R. R., Urbina, C. F. M., & Jiménes, T. J. A. (2018). Genipa americana L. In G. J. M. Palma & I. C. González-Rebeles (Eds.). Recursos arbóreos y arbustivos tropicales para una ganadería bovina sustentable (pp. 63-65). Universidad de Colima. Colima, México. http://ww.ucol.mx/content/publicacionesenlinea/adjuntos/Recursos-arboreos-y-arbustivos-tropicales_462.pdf
Santiago, E. F., & Paoli, A. A. S. (2007). Respostas morfológicas em Guibourtia hymenifolia (Moric.) J. Leonard (Fabaceae) e Genipa americana L. (Rubiaceae), submetidas ao estresse por deficiência nutricional e alagamento do substrato. Revista Brasileira de Botânica, 30(1), 131-140. https://doi.org/10.1590/S0100-84042007000100013
Santiago, R., Silva, N. H., Silva, F. P., Martins, M. C. B., Vasconcelos, T. L. de, Yano-Melo, A. M., Pereira, E. C., Santiago, R., Silva, N. H., Silva, F. P., Martins, M. C. B., Vasconcelos, T. L. de, Yano-Melo, A. M., & Pereira, E. C. (2018). Interactions of the lichen Cladonia salzmannii Nyl. with soil, microbiota, mycorrhizae and Genipa americana. Journal of Soil Science and Plant Nutrition, 18(3), 833-850. http://dx.doi.org/10.4067/S0718-95162018005002402
Santos, A. R. F. dos, Silva-Mann, R., & Ferreira, R. A. (2011). Restrição hídrica em sementes de Jenipapo (Genipa americana L.). Revista Árvore, 35(2), 213-220. https://doi.org/10.1590/S0100-67622011000200006
Silva, A. V. C. da, Soares, A. N. R., Cardoso, M. N., Melo, M. F. de V., Muniz, E. N., & Ledo, A. D. S. (2018). Evaluation of Substrates for Jenipapo (Genipa americana L.) Seedlings Production. Journal of Agricultural Science, 10(2), 352. https://doi.org/10.5539/jas.v10n2p352
Yang, R. C., Kozak, A., & Smith, J. H. G. (1978). The potential of Weibull-type functions as flexible growth curves. Canadian Journal of Forest Research, 8(4), 424-431. https://doi.org/10.1139/x78-062
Notes
Author notes
*Autor para correspondencia: lcanog@agrosavia.co