Artículo de investigación
Diversidad de hormigas en potreros y cañaduzales en bosque seco del valle del río Cauca
Ant Diversity in Pastures and Sugarcane FIelds in the Dry Forest of the Cauca River Valley
Diversidad de hormigas en potreros y cañaduzales en bosque seco del valle del río Cauca
Colombia Forestal, vol. 28, no. 1, e21903, 2025
Proyecto Curricular de Ingeniería Forestal, Facultad del Medio Ambiente y Recursos Naturales, Universidad Distrital Francisco José de Caldas.
Received: 20 February 2024
Accepted: 08 August 2024
Resumen: Este estudio evaluó si la diversidad de hormigas se relaciona con el tipo hábitat, la intensificación (IT) y la cercanía al bosque en matrices de caña de azúcar y potreros en bosques secos tropicales (bs-T) del valle geográfico del río Cauca. Se analizó la mirmecofauna de seis matrices (tres de potrero y tres de caña) y se registraron medidas de seis variables de hábitat. Se encontraron diferencias significativas en la riqueza y la composición de hormigas entre los hábitats, así como una tendencia a la disminución de la riqueza con el IT. Además, se halló que, a medida que aumenta la distancia desde el bosque hacia el interior de las matrices, la riqueza promedio disminuye. Se concluye que el manejo de los agroecosistemas influye en la diversidad y la presencia de comunidades de hormigas, y, por lo tanto, es necesario favorecer su complejidad (heterogeneidad) para propiciar su conservación.
Palabras clave: Formicidae, intensificación agrícola, matriz antropogénica, perturbación.
Abstract: This study evaluated whether ant diversity is related to habitat type, intensification (IT), and proximity to the forest in sugarcane and pasture matrices in tropical dry forests (bs-T) of the geographical Cauca River valley. The myrmecofauna of six matrices (three pastures and three sugarcane fields) was analyzed, recording measurements of six habitat variables. Significant differences were found in ant richness and composition between the habitats, as well as a trend of decreasing richness with IT. Moreover, it was found that, as the distance from the forest to the interior of the matrices increases, the average richness decreases. It is concluded that agroecosystem management influences the diversity and presence of ant communities, and, therefore, that it is necessary to favor their complexity (heterogeneity) in order to promote their conservation.
Keywords: Formicidae, agricultural intensification, anthropogenic matrix, disturbance.
Highlight
Los cañaduzales y los potreros del bosque seco tropical (bs-T) sostienen una alta diversidad de hormigas
La riqueza de hormigas fue mayor en potreros arbolados que en cañaduzales de bs-T.
La composición de hormigas difiere entre los potreros y los cañaduzales del bs-T.
La riqueza de hormigas tiende a disminuir con la intensificación agrícola.
La distancia desde el bosque hacia las matrices tiene un efecto sobre la riqueza de hormigas.
INTRODUCCIÓN
El bosque seco tropical (bs-T) es una zona de vida situada en el cinturón tropical que se caracteriza por presentar al menos ocho meses de sequía durante el año y temperaturas iguales o superiores a los 24 °C, mientras que las alturas fluctúan desde el nivel del mar hasta los 1200 msnm (León, 2005; Achury et al., 2008). Estas zonas se caracterizan por presentar una biodiversidad única de plantas y animales con un alto grado de endemismo (IAvH, 2014). Además, su flora y fauna presentan adecuaciones fisiológicas y morfológicas características, lo que les permite soportar la fuerte estacionalidad y los largos periodos de sequía (IAvH, 2014).
En Colombia, el bs-T está sujeto a la continua intervención humana, que durante años viene deteriorando su estado y ha propiciado la disminución acelerada de la biodiversidad silvestre (Ceccon et al., 2006; Delgado et al., 2014). De las seis regiones donde se encuentra el bs-T, el valle geográfico del río Cauca (VGRC) es una de las más intervenidas, pues gran parte de su vegetación arbórea ha venido en disminución gracias al establecimiento de la industria ganadera y agrícola (CVC, 1990). En la actualidad, el monocultivo de caña de azúcar predomina en el paisaje, y la cobertura boscosa no pasa del 2 % (Arcila-Cardona et al., 2008). En este contexto, Uribe (2021) evidenció un aumento del 97 % en los últimos 100 años en la expansión de siembra de caña. Por otro lado, la intensificación de la ganadería fue una de las actividades económicas más importantes que intervino (y sigue interviniendo) los suelos del VGRC, lo cual ha generado cambios ambientales abruptos a través del tiempo, entre los que se encuentran la deforestación, la compactación del suelo y la alteración en los ensamblajes de especies silvestres (Flórez-Malagón et al., 2008).
En general, la intensificación y la expansión de las prácticas agrícolas y ganaderas en el VGRC han ocasionado la pérdida significativa de hábitats naturales (Delgado et al., 2014; Rivera-Pedroza et al., 2019). Estas matrices rodean los fragmentos de bosque que persisten, y actúan como una barrera que limita el desplazamiento de los organismos (Smith-Ramírez et al., 2005). Además, esta modificación del hábitat ocasiona una homogeneización del paisaje que afecta directamente la diversidad asociada, en contraste con los hábitats heterogéneos, que ofrecen más posibles nichos (Tapia-Ramírez et al., 2010). Adicionalmente, la calidad o estado de la matriz es un factor importante que condiciona el comportamiento y el desplazamiento de las comunidades silvestres (Armbrecht, 2008). Por ejemplo, se ha documentado que las matrices que presentan un manejo agroecológico -es decir, que no utilizan agroquímicos ni manejos intensivos de suelo y albergan más de una especie vegetal- propician el establecimiento de una fauna entomológica similar a la que se observa en bosques. En cambio, las matrices con manejo basado en esquemas convencionales, como los monocultivos, con frecuentes quemas y aplicaciones de agroquímicos, no presentan este patrón, como lo mencionan Griffon et al. (2010). Estos autores afirman que las matrices de alta calidad favorecen la migración entomológica y, por ende, evitan en mayor medida la extinción de metapoblaciones.
En el contexto de la crisis biológica relacionada con el manejo antropogénico de los sistemas productivos, se pueden utilizar grupos indicadores de la biota silvestre para examinar los impactos de los diferentes usos del suelo, pero también de la intensificación agrícola y del efecto de la cercanía de bosques a dichos agroecosistemas. Uno de dichos grupos lo constituyen las hormigas (Hymenoptera: Formicidae), ya que su gran abundancia, su ubicuidad y los papeles ecológicos que desempeñan generan un impacto en la estructura y la dinámica de los ecosistemas (Hölldobler & Wilson, 1990; Armbrecht, 2016). Además, mantienen servicios ecosistémicos en las redes tróficas al presentar diversidad de hábitos alimenticios y variedad de asociaciones con otros organismos (Armbrecht, 2016; Fernández et al., 2019).
Por lo anterior, este grupo se considera representativo para el estudio de la pérdida de biodiversidad, pues es un modelo útil para estudios sobre la calidad de hábitat (Arenas et al., 2015; (Armbrecht, 2016). Además, presenta un grado alto de especialización y una importancia funcional en diversos ambientes, lo que permite conocer el estado ecológico de diferentes ecosistemas (Hoffmann & Andersen, 2003; ). Por ello, se han realizado varios estudios en Colombia y el mundo para evaluar la perturbación de hábitat a través de las hormigas como indicadoras (Hoffmann & Andersen, 2003; Ramírez et al., 2012; Rivera-Pedroza et al., 2019). Debido a lo anterior, al ser un buen modelo de estudio de calidad de hábitat, y teniendo en cuenta la relevancia que tiene la evaluación de la calidad de las matrices agropecuarias en la diversidad de especies, el objetivo general de este trabajo es evaluar la diversidad de hormigas en potreros y cañaduzales adyacentes a fragmentos de bs-T. Como objetivos específicos, se plantea 1) evaluar la riqueza y la composición de hormigas en potreros y cañaduzales situados en el VGRC, 2) generar un índice de intensificación con las variables de hábitat medidas en las matrices estudiadas y 3) establecer la relación entre la riqueza de hormigas y el aumento de la distancia desde el borde de bosque (20 a 120 m).
MATERIALES Y MÉTODOS
Se muestrearon seis matrices antropogénicas situadas en la cuenca media del VGRC en el suroccidente colombiano, entre los departamentos de Cauca y Valle del Cauca (de sur a norte, 3° 6' 34.5996"N, -76° 31' 35.6988"W y 3° 6' 34.5996"N, -76° 31' 35.6988"W). Cada matriz productiva colindaba con un fragmento de bosque. Todos los bosques estaban situados en la zona de vida de bs-T, a una altura alrededor de los 1000 msnm, y reportaban una temperatura promedio mayor a 24 °C (CVC, 1990) y una precipitación de régimen bimodal, entre 1000 y 2000 mm anuales (Armbrecht, 1996). Las seis matrices muestreadas presentan dos tipos de manejo: tres correspondientes a caña de azúcar, i.e., San Julián, Colindres, El Medio (en adelante, cañas 1, 2 y 3 respectivamente); y tres a potrero, i.e., El Hatico, El Vínculo y Las Pilas (en adelante, potreros 1, 2 y 3). Los tres cañaduzales se caracterizan por presentar una estructura homogénea de monocultivo, sin asociaciones vegetales adicionales. Por otro lado, en los potreros se evidencian estructuras distintas: El Hatico y El Vínculo presentan un manejo de potrero arbolado, y, en contraste, Las Pilas es un potrero abierto con pocos árboles aislados.
La colecta de especímenes de hormigas se llevó a cabo siguiendo a Armbrecht (1996). Se realizó un total de 12 muestreos, dos por cada uno de los sitios. Cada muestreo consistió en dos transectos al interior de la matriz, los cuales estaban divididos por 10 estaciones cada uno (es decir, 20 estaciones en total), y en cada una de estas estaciones se utilizaron seis métodos de muestreo, a saber: 1) cebo hipogeo, 2) cebo epigeo, 3) cebo arbóreo, 4) trampa de caída o pitfall, 5) cernido de hojarasca y extracción con sacos mini-winkler y 6) captura manual. El primer muestreo se realizó entre julio y agosto del 2021, y el segundo entre enero y marzo del 2022. Ambos muestreos se llevaron a cabo en estación seca con transición a estación húmeda.
Además, se tomaron medidas de seis variables de hábitat: 1) temperatura (T °C), 2) humedad relativa (HR), 3) cobertura vegetal (CV), 4) espesor de hojarasca (HOJ), 5) diversidad de estratos foliares (DEF) y 6) volumen total de vegetación (VVT).
Las hormigas recolectadas se preservaron en alcohol al 70 %. El proceso de identificación se realizó hasta el máximo nivel posible, i.e., especie o morfoespecie. El procesamiento de muestras fue de abril del 2022 hasta junio del 2023. La identificación se realizó con ayuda de las claves de Fernández <italic>et al.</italic> (2019), con recursos de internet como Antweb y Antwiki, y en colaboración con especialistas.
Los análisis estadísticos se realizaron en el software R (Versión 4.3.1; R Core Team, 2023) y se elaboraron bases de datos con datos de incidencia de especies (Fernández <italic>et al.</italic>, 2019). Se realizaron curvas de refracción y extrapolación con base en la diversidad verdadera qD mediante el paquete iNEXT (Hsieh <italic>et al.</italic>, 2016). En estas se visualizaron las diversidades q=0 (conocida como la riqueza de especies), q=1 (exponencial del índice de Shannon, que corresponde al número efectivo de especies comunes), y q=2 (inverso del índice de Simpson, que refleja el número efectivo de especies dominantes) (Chao et al., 2014, Hsieh <italic>et al.</italic>, 2016).
Para evaluar si había diferencias en la riqueza de hormigas entre los dos tipos de hábitat (caña y potrero), se utilizó un modelo lineal generalizado mixto (MLGM, con distribución Poisson) y se utilizaron las librerías lme4 y car (Ceriani, 2019). Además, se empleó un análisis de redundancia (RDA) para evaluar la relación entre la riqueza y el muestreo, el sitio, el hábitat y el transecto. Para la composición, se realizó un análisis multivariado no paramétrico de similitud (ANOSIM; distancia Jaccard, permutaciones=999) y un ordenamiento de escalamiento no métrico multidimensional (NMDS), con el fin de observar disimilitudes entre los tipos de hábitat (Xia et al., 2018; Fernández et al., 2019). Para determinar qué especies eran indicadoras para cada hábitat, se estimó el índice de valor IndVal (Borcard et al., 2011). Para los anteriores análisis se utilizaron las librerías indicspecies, vegan y dplyr (Borcard et al., 2011; Oksanen, 2015; Calderón & Moreno, 2019).
Respecto al segundo objetivo, se calculó un índice de intensificación (IT) basado en lo propuesto por Mas y Dietsch (2003); se ponderó cada variable de hábitat por igual, oscilando entre 1.0 (máxima intensificación) y 0.0 (mínima intensificación). Para esto, en cada variable de hábitat se ordenaron los valores de todas las matrices, de manera que se visualizaran la mayor y la menor intensificación según su naturaleza. Así, se ponderó el valor mínimo y máximo de intensificación y, a partir de esto, se realizó el cálculo de cada matriz por separado (VARIABLE POR MATRIZ = Promedio ((punto - mínimo de intensificación) / (máximo de intensificación - mínimo de intensificación))). Finalmente, para hallar el índice de intensificación, se sumaron los índices de todas las variables por cada matriz.
Así, cada una de las seis matrices pudieron tener un valor máximo de 6.0 (sumatoria de los índices por variable) y un valor mínimo de 0.0 (Meneses & Armbrecht, 2018). En este caso, debido a que las matrices presentaban diferencias estructurales (e.g., la caña crecía o era cosechada), los muestreos fueron analizados individualmente para construir los índices de intensificación. Posteriormente, se graficó el IT respecto a la riqueza por cada sitio, en aras de evaluar si había alguna relación entre estas variables. Finalmente, se realizó un análisis de correlación de Spearman (Rho) entre las variables (Tomás-Sábado, 2010).
En cuanto al último objetivo, se realizó un análisis descriptivo de la riqueza a medida que aumentaba la distancia desde el bosque, empleando la media de especies por estación para cada sitio. Como punto de referencia, se utilizó la riqueza promedio de la estación 1 del bosque aledaño a cada matriz, ubicado a 20 m del borde del bosque (Bautista-Giraldo, datos no publicados). Adicionalmente, se empleó un MLGM (distribución Poisson) para evaluar la sobredispersión de los datos y, posteriormente, se realizó un análisis de varianza (ANOVA), con el fin de estimar si había un efecto de la distancia con respecto al bosque en la riqueza de hormigas (Ceriani, 2019). Finalmente, se realizaron comparaciones múltiples (ajuste Bonferroni) para identificar qué tratamientos (en este caso, distancia y sitio de muestreo) produjeron un mayor efecto en la riqueza (Domínguez & Castaño, 2016).
RESULTADOS
En total se separaron ocho subfamilias y 44 géneros, de los cuales fueron representativos Pheidole (19.77 %), Wasmannia (16.81 %), Solenopsis (16.33 %) y Camponotus (8.4 %). Respecto a los dos tipos de hábitat (potrero y caña de azúcar), en el primero se evidenció el mismo número de subfamilias y 40 géneros, con Pheidole (17.08 %), Crematogaster (13.37 %), Wasmannia (13.31 %) y Solenopsis (12.75 %) en mayor proporción. Además, se distinguieron 17 géneros exclusivos del hábitat potrero (38.6 %). Para el segundo tipo de hábitat (caña), se determinaron siete subfamilias y 27 géneros, con Pheidole (23.05 %), Wasmannia (21.08 %), Solenopsis (20.71 %) y Camponotus (10.05 %) en mayor proporción, donde el 14.8 % de los géneros era exclusivo.
Por otra parte, de 2909 eventos de captura, en total se separaron 147 morfoespecies, de las cuales 126 se identificaron a nivel de especie. De las anteriores, el 85.7 % estuvo presente en potrero y el 48.9 % en caña de azúcar, y se compartieron 34.7 % especies entre los hábitats. Al comparar las dos matrices antropogénicas (potrero y caña de azúcar), se encontró, en promedio, una mayor riqueza de especies para el potrero (75.66) que en la caña (40.66).
Respecto a las curvas de rarefacción y extrapolación basadas en cobertura de muestra, para los dos tipos de hábitat se evidenciaron diferencias significativas en las diversidades q=0, q=1 y q=2 (no se sobrepusieron los intervalos de confianza del 95 %). Aunque en q=0 no se estabilizaron las curvas, los intervalos de confianza no se solaparon (Figura 1a). Ambos tipos de hábitat presentaron una alta cobertura de muestreo (~98 %). El número de únicos (30) y duplicados (15), es decir, especies con una o dos incidencias en la muestra, fue mayor para el potrero que para la caña de azúcar (21 y 12 respectivamente), y, teniendo en cuenta el valor de Chao 2 (155.95 en potrero; 90.34 en caña), se predice que para el potrero se debieron encontrar aproximadamente 29 especies adicionales y, para la caña de azúcar, aproximadamente 18.
Según las curvas de rarefacción y extrapolación, los sitios con mayor diversidad para q=0, q=1 y q=2 fueron los potreros 2 y 1 respectivamente. En cuanto a q=0, no se evidenciaron diferencias significativas entre sitios. Sin embargo, se encontró que se formaron dos grupos, el primero con los potreros 2 y 1, donde los intervalos de confianza se solapan, y el segundo grupo con el potrero 3, seguido de la caña 1, la caña 3 y, por último, la caña 2. En cuanto a q=1 y q=2, se observó que las curvas se estabilizaron y continuaron con el orden de q=0. Sin embargo, los intervalos de confianza se solaparon entre las cañas (Figura 1b). La cobertura de muestreo osciló entre 94.21 % (potrero 3) y 97.32 % (caña 2). Asimismo, el número de especies efectivas observadas fue mayor en el potrero 2 (93 sp.), con el valor más alto de únicos (26). Por otro lado, el potrero 1 obtuvo el número más alto de duplicados (15).
En cuanto al MLGM, se obtuvo que la riqueza por estación entre los hábitats (x̄ caña=5.76; x̄ potrero=9.13) no fue estadísticamente diferente entre los hábitats (valor-p=0.07; Chi2=3.17; gl=1). Por otro lado, se hallaron diferencias entre los dos muestreos realizados (valor-p=0.0005; Chi2=12.08; gl=1). En cuanto al RDA, se encontró que el sitio (24 %) aportaba mayor explicación que el muestreo (1.25 %) y el transecto (0.6 %) cuando se evaluaban solamente las tres variables.
Por su parte, con el análisis estadístico para la composición de la mirmecofauna (ANOSIM), se obtuvo un estadístico de prueba diferente de 0 y un valor-p bajo (R=0.38; valor-p=0.001), lo que indica que existen diferencias significativas entre las comunidades de hormigas de los dos hábitats (Xia et al., 2018). Además, con el NMDS se visualizaron diferencias en composición, teniendo en cuenta que los dos hábitats (polígonos) se encuentran separados entre sí y que existen especies agrupadas en cada hábitat, suponiendo así que son exclusivas (Figura 2). En este análisis se obtuvo un valor de stress relativamente bajo (0.208).
Con respecto al índice IndVal, se obtuvo una lista de 49 especies indicadoras, cada una con su estadístico de prueba y valor-p. Para la caña, 13 especies fueron significativamente asociadas, y para el potrero 36 (Tabla 1). Para la caña se destacan seis especies, donde Solenopsis geminata, Pheidole bilimeki y Camponotus lindigi presentan altas incidencias. Por otro lado, se destacan 16 especies indicadoras en potrero, con mayor incidencia de Pheidole subarmata y Crematogaster abstinens.
Relación riqueza-índice de intensificación
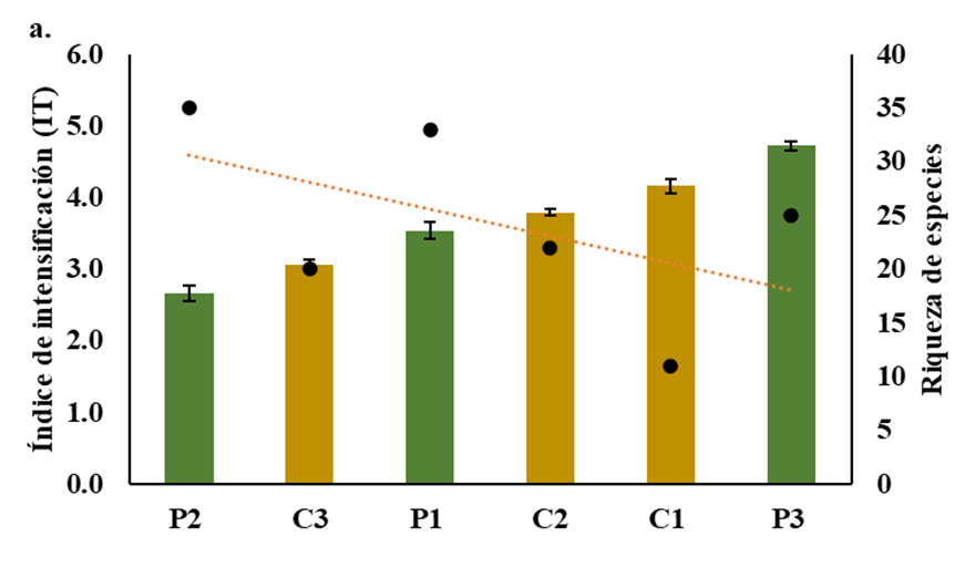
Las condiciones de hábitat mostraron amplias fluctuaciones en las variables independientes (de hábitat), lo que se vio reflejado en el cálculo del índice de intensificación de cada matriz. Dicho índice fluctuó entre 2.41 (menor intensificación) y 5.08 (mayor intensificación). Las posiciones relativas con respecto al índice de intensificación de las matrices cambiaron entre los dos muestreos (Figura 3).
Se observó una tendencia a la disminución de la riqueza a medida que el índice de intensificación aumentaba (Figura 3) -para cada muestreo y en general. Aunque esta tendencia no fue estadísticamente significativa, los coeficientes de correlación en ambos casos fueron negativos (-0.47 y -0.20 para los muestreos 1 y 2 respectivamente), y las líneas de tendencia fueron decrecientes (Figuras 3a, 3b y 3c). Además, el análisis de correlación de Spearman resultó en un coeficiente negativo (Rho=-0.2912), indicando que, a medida que aumenta la intensificación, la riqueza disminuye. Sin embargo, este coeficiente tampoco fue significativo (valor-p=0.36).
Relación riqueza-distancia desde el bosque
Se observó una tendencia de disminución de la riqueza conforme aumentaba la distancia desde el bosque (Figura 4). En el MLGM no se encontró evidencia de sobredispersión en los datos evaluados (dispersión=1.06; valor-p=0.47). Por tanto, mediante el ANOVA asociado al modelo ajustado (MLGM), se encontró un efecto estadísticamente significativo de la distancia (Chi2=36.32; gl=10; valor-p=7.405e-5) y del sitio de muestreo (Chi2=163.53; gl=5; valor-p<2.2e-16) sobre la riqueza de hormigas observada, es decir, la riqueza disminuyó con la distancia desde el bosque. Adicionalmente, con la comparación múltiple (ajuste Bonferroni), se halló que el que marcó la diferencia en la riqueza de especies fue el bosque, ya que se agrupó aparte de la riqueza promedio de todas las distancias en las matrices. Por otro lado, al retirar el bosque, y evaluando solo las matrices con la misma comparación múltiple, se encontró que los potreros arbolados más diversos, i.e., el potrero 1 (El Hatico) y el potrero 2 (El Vínculo), se separaron de las demás matrices.
DISCUSIÓN
Como primera instancia, este estudio reveló que la mirmecofauna registrada es consistente con los datos reportados para Colombia, específicamente para el bosque seco tropical de la cuenca alta del VGRC, ya que, respectivamente, se encontró el 72.7, el 41.9, y el 12.6 % de las subfamilias, géneros y especies reportadas para Colombia y el 72.7, el 69.8 y el 68.4 % para el bs-T (Ulloa-Chacón et al., 2012; Fernández et al., 2019). Lo anterior evidencia una alta representatividad de hormigas en estas matrices productivas y resalta la importancia de mejorar el manejo para la conservación de la fauna silvestre.
El primer objetivo de este trabajo, donde se esperaba que los agroecosistemas más estables y heterogéneos fueran más ricos en hormigas, fue soportado por los datos. Así, el resultado más prominente de este estudio fue que la riqueza de hormigas resultó mayor en potreros arbolados que en cañaduzales, a pesar de que el índice de intensificación en algunos potreros fue mayor (especialmente en el potrero Las Pilas). El resultado es razonable, puesto que los sistemas agrícolas con manejos ecológicos o más estables pueden alojar mayor diversidad de hormigas en comparación con los convencionales (Perfecto et al., 2009, Ramírez et al., 2010). Una razón para explicar este hallazgo es la presencia de árboles en los potreros; se sabe que la implementación de vegetación arbórea y arbustiva en un agroecosistema es beneficiosa y aumenta la riqueza y la diversidad de hormigas en contraste con los sistemas tradicionales y homogéneos (Ramírez et al., 2010; Gallego-Ropero & Salguero, 2015; Fernández et al., 2019). A partir de los resultados, además, se observa claramente cómo las dinámicas fenológicas y de manejo de cada agroecosistema inciden en las tendencias, que resultan en una mayor riqueza en potreros arbolados.
Las curvas de rarefacción y extrapolación de los dos hábitats soportan lo mencionado anteriormente, pues mostraron diferencias de diversidad, sin solapamiento entre los intervalos de confianza. Aunque se obtuvieron valores altos de cobertura de muestreo, el estimador Chao 2, si bien puede sobreestimar esta extrapolación (Basualdo, 2011), insinúa que se esperaba encontrar más especies en cada hábitat. En términos de densidad de especies, el MLGM reveló que no había diferencias significativas de riqueza de hormigas entre los hábitats (valor-p marginal), algo explicable porque los datos de riqueza, al ser por estación, revelaban la densidad de especies a escalas muy pequeñas y no la riqueza en general. No obstante, la tendencia a mayor número de especies en potreros se mantuvo.
En cuanto al RDA se encontró que, más que el hábitat per se, el sitio aportaba mayor influencia explicativa a las diferencias de riqueza encontradas (24 %), lo cual es razonable, pues los potreros 1 y 2 (El Hatico y El Vínculo) tuvieron mayor diversidad (q=0, q=1 y q=2). Por el contrario, el potrero 3 (Las Pilas) se relacionó más con los cañaduzales, debido a que El Hatico y El Vínculo se encontraban dotados cada uno de aproximadamente 60 árboles.ha-1 con más de tres décadas de edad (Armbrecht, 1996). En contraste, Las Pilas era intensivo, abierto, con árboles esporádicos o sin ellos (Bautista-Giraldo datos no publicados), siendo mucho menos heterogéneo tanto vertical como horizontalmente. Por ello, se deduce que esta homogeneidad estructural influyó en el hecho de que su baja diversidad se relacionara con los sitios de caña. Otros estudios confirman que el tipo de manejo en sistemas ganaderos afecta la fauna de hormigas asociadas, siendo necesario propiciar una mayor heterogeneidad (árboles y arbustos) en los distintos usos del suelo (Sanabria-Blandón & Ulloa-Chacón, 2011; Rivera-Pedroza et al., 2013).
Los análisis de composición y la disimilitud entre hábitats (ANOSIM) hacen hincapié en que el tipo de manejo influye en la identidad y la funcionalidad de las hormigas presentes, lo cual ha sido sugerido por otros autores (Ramírez et al., 2010; Rivera-Pedroza et al., 2013). Este es, quizás, uno de los resultados más relevantes de nuestro estudio. Además, la separación entre los hábitats (NMDS) indica que su composición, en efecto, los diferencia, y el valor de stress obtenido lo soporta (Quinn & Keough, 2002; Dexter et al., 2018).
Respecto a las especies indicadoras, aquellas con mayores incidencias se pueden relacionar con la estructura del hábitat en el que anidan. En caña, S. geminata y Ph. bilimeki se caracterizan por ser de áreas abiertas y dominantes en sistemas con alto grado de perturbación (Longino & Cox, 2009; Ramírez et al., 2010). Por su parte, C. lindigi es abundante en zonas de cultivos y es indicadora de altos grados de aridez (Luna, 2005; Pérez-Sánchez et al., 2013). En potreros, Ph. Subarmata es una especie muy dominante en el suelo de pastizales (Perfecto & Vandermeer, 2011; Ulloa-Chacón et al., 2012). En cuanto a C. abstinens, las especies de este género se consideran elementos dominantes de la fauna arbórea (Longino, 2003). Nuevamente, la cobertura arbórea tiene un papel importante, delimitando la composición de especies de los potreros en este caso. La teoría agroecológica apoya los resultados discutidos, como se ilustra a continuación.
A lo largo de los años, el sector agropecuario ha logrado expandirse a costa de cultivos de altos rendimientos fuertemente extractivos, y su éxito ha ocasionado la simplificación extrema de los sistemas actuales (Pérez, 2014). Esta intensificación y homogeneización en el manejo agrícola incrementa los riesgos ambientales que comprometen la sustentabilidad de los agroecosistemas (Wilby & Thomas, 2007; Pérez, 2014). Por consiguiente, la estructura y la heterogeneidad de un hábitat afectan considerablemente los ensamblajes de especies, por lo que favorecer la diversidad en los agroecosistemas es crucial para mantener la presencia de la fauna asociada (Jarvis et al., 2007; Ramírez et al., 2010; Cava, 2013).
Se desprende de aquí la discusión de los objetivos 2 y 3 de este trabajo respecto a la relación entre la diversidad de hormigas, el índice de intensificación y la distancia desde el bosque. Se esperaba que en ambos casos se disminuyera la riqueza, como efectivamente sucedió. Aunque no fue significativa la disminución, la tendencia negativa de riqueza de hormigas respecto al IT y el coeficiente Rho tienen sentido, pues se ha hipotetizado que la intensificación influye negativamente en la diversidad de un ecosistema, por lo que, a medida que disminuye la diversidad planeada, disminuye la diversidad asociada (Giller et al., 1997; Armbrecht, 2003). Esto ocurre porque la homogenización del paisaje reduce la disponibilidad de recursos y refugios, y altera las funciones que desempeñan los organismos en el paisaje (Giller et al., 1997). Otros factores que pueden afectar a las hormigas de bosque en agroecosistemas tienen que ver con relaciones intra- e interespecíficas, diversidad de recursos y adaptaciones ecofisiológicas (Armbrecht, 2008).
Por otro lado, se esperaba que los mayores IT correspondieran a los sitios de caña y los menores a potreros. Las Pilas (potrero 3) resultó ser la excepción, pues fue el sitio con mayor IT para ambos muestreos, por lo que no se encontró un patrón claro del IT en relación con el tipo de hábitat. Lo anterior puede deberse a que las dinámicas de manejo cambian con el tiempo. Por ejemplo, cuando ocurre el corte de la caña, el IT sube, y, cuando la caña tiene 12 meses de edad (alta y densa), este índice baja. Además, la caña de azúcar, en las zonas azucareras de Colombia, puede producir una hoja nueva cada una o dos semanas, y su duración en la plántula es corta, generando así grandes cantidades de hojarasca (Cassalett et al., 1995). Es posible que, si se hubieran incorporado variables como riqueza, altura, el DAP de los árboles, epífitas y el número de ramitas y troncos caídos, el IT hubiese sido mayor en los potreros arbolados. El estrato arbóreo en un ambiente natural constituye gran parte de su estructura, proporcionando a su vez variedad de recursos (Meneses & Armbrecht, 2018). Sin embargo, su mera presencia no es un indicativo de conservación, sino su riqueza. Por ejemplo, los árboles de diferentes especies facilitan el reclutamiento de otras especies arbustivas (Esquivel & Calle, 2002; Meneses & Armbrecht, 2018), por lo cual es necesario evaluar la incorporación de otras variables que reflejen mejor la intensificación agrícola.
Finalmente, la tendencia de disminución de la riqueza de hormigas a medida que aumenta la distancia desde el bosque es consistente con la literatura, pues también se ha encontrado en otros artrópodos, plantas y aves (Billeter et al., 2008). Se ha documentado que la propagación de especies (spillover) disminuye en los hábitats intervenidos con respecto a los naturales. Esto ocurre porque los agroecosistemas proporcionan importantes recursos alimenticios de fácil alcance, los cuales permiten el establecimiento de especies depredadores generalistas, que son dominantes y afectan la estructura de la red trófica (Rand et al., 2006; Billeter et al., 2008). Este estudio es consistente con aquellos que afirman que existe una correlación negativa entre la distancia a un área o una franja de vegetación natural y la riqueza de hormigas (Domínguez, 2011; Rivera-Pedroza et al., 2019). Los hábitats naturales o seminaturales proveen la mayor contribución de biodiversidad en paisajes agrícolas, por lo que se considera que la distancia a estos es una de las variables que más influye en la riqueza de especies de un agroecosistema intensificado (Billeter et al., 2008; Domínguez, 2011), algo que los datos de este estudio también soportan.
CONCLUSIONES
Este estudio reitera que el tipo de manejo en los agroecosistemas está influenciando de manera significativa la identidad y la diversidad de mirmecofauna asociada, por lo que es de suma importancia mejorar el estado y la complejidad de estos agroecosistemas para su conservación. Por otro lado, para lograr una óptima evaluación de la intensificación en hábitats, se deben incluir variables de estudio más acordes con la estructura de los mismos y que reflejen mejor la perturbación del sistema. Otro aspecto importante para mantener la biodiversidad asociada en agroecosistemas es la cercanía a bosques naturales, por lo que un diseño de paisajes que integre bosques sería benéfico para la diversidad y para los agricultores. Finalmente, se concluye que las matrices antropogénicas más amigables y similares a los ecosistemas naturales albergan mayor diversidad y complejidad de mirmecofauna.








Agradecimientos
Se agradece al proyecto El bosque seco en contexto. Veinticinco años después: relaciones espacio-temporales de la biodiversidad de hormigas (CI. 71239) y el programa con código: 1106-852-70306, contrato no. 491-2020, Relaciones multiescalares de la biodiversidad en gradientes altitudinales del bosque tropical, con recursos del Patrimonio Autónomo Fondo Nacional de Financiamiento para la Ciencia, la Tecnología y la Innovación Francisco José de Caldas. Se agradece a la Universidad del Valle y al Museo de Entomología (MUSENUV) por brindar la infraestructura, el espacio y demás equipos para la realización de este trabajo. Se agradece a Fernando Fernández (UNAL), Roberto José Guerrero y Emira I. García (Universidad del Magdalena) por su ayuda en la determinación a nivel de especie de algunas hormigas, así como a Wilmar Torres por su aporte a los análisis estadísticos.
REFERENCIAS
Achury, R., Chacón, P., & Arcila, A. M. (2008), Composición de hormigas e interacciones competitivas con Wasmannia auropunctata en fragmentos de Bosque seco Tropical, Revista Colombiana de Entomología, 34(2), 209-216. https://doi.org/10.25100/socolen.v34i2.9292
Arenas, A., Corredor, G., & Armbrecht, I. (2015). Hormigas y carábidos en cuatro ambientes del piedemonte del Parque Nacional Natural Farallones de Cali, Colombia. Revista Colombiana de Entomología, 41(1), 120-125. http://www.scielo.org.co/scielo.php?script=sci_arttext&pid=S0120-04882015000100018&lng=en&tlng=es
Arcila-Cardona, A., Osorio, A. M., Bermúdez, C., & Ulloa-Chacón, P. (2008). Diversidad de hormigas cazadoras asociadas a los elementos del paisaje del bosque. En E., Jiménez, F., Fernández, T. M., Arias, & F. H., Lozano-Zambrano (Eds.), Sistemática, biogeografía y conservación de las hormigas cazadoras de Colombia(pp. 531-552). Instituto de investigación de Recursos Biológicos Alexander von Humbolt.
Armbrecht, I. (1996) Análisis del ensamblaje de hormigas en fragmentos de bosque seco tropical del valle geográfico del río Cauca, Colombia.
Armbrecht, I. (2003). Habitat changes in Colombian coffee farms under increasing management intensification. Endangered Species Update, 20(4-5), 163-178. https://link.gale.com/apps/doc/A114168541/AONE?u=googlescholar&sid=googleScholar&xid=53a7794f
Armbrecht, I. (2008). El papel de la matriz rural como conector entre reservas. En Kattan, G., & Naranjo, L. (Eds.), Regiones biodiversas: herramientas para la planificación de sistemas regionales de áreas protegidas (pp. 117-128). WFF Colombia.
Armbrecht, I. (2016). Agroecología y biodiversidad. Programa Editorial de la Universidad del Valle.
Basualdo, C. (2011). Choosing the best non-parametric richness estimator for benthic macroinvertebrates databases. Revista de la Sociedad Entomológica Argentina, 70(1-2), 27-38.
Billeter, R., Liira, J., Bailey, D., Bugter, R., Arens, P., Augenstein, I., & Edwards, P. J. (2008). Indicators for biodiversity in agricultural landscapes: a pan-European study. Journal of Applied Ecology, 45, 141-150.
Borcard, D., Gillet, F., & Legendre, P. (2011). Use R!: Numerical ecology with R, 1ra ed., Springer.
Calderón, J., & Moreno, C. (2019). Diversidad beta como disimilitud: su partición en componentes de recambio y diferencias en riqueza. En C. E. Moreno (Ed.), La biodiversidad en un mundo cambiante: Fundamentos teóricos y metodológicos para su estudio, pp. 203-222. Universidad Autónoma del Estado de Hidalgo.
Cassalett, C., Torres, J., & Echeverry, C. I. (Eds.) (1995). El cultivo de la caña en la zona azucarera de Colombia. Cenicaña.
Cava, B. M. (2013). Efecto de la heterogeneidad del hábitat sobre las comunidades de artrópodos en bosques de chaco, selva paranaense y de la isla apipe grande en la provincia de Corrientes, Argentina. https://doi.org/10.35537/10915/33074
Ceccon, E., Huante, P., & Rincón, E. (2006). Abiotic factors influencing tropical dry forests regeneration. Brazilian Archives of Biology and Technology, 49(2), 305-312. https://doi.org/10.1590/S1516-89132006000300016
Ceriani, E. (2019). Aplicación de un modelo lineal generalizado mixto para datos anidados. Comunicaciones en Estadística, 12(2), 172-192. https://doi.org/10.15332/23393076/5649
Chao, A, Gotelli, N. J., Hsieh, T. C., Sander, E. L., Ma, K. H., Colwell, R. K., & Ellison, A. M. (2014). Rarefaction and extrapolation with Hill numbers: A framework for sampling and estimation in species diversity studies. Ecological Monographs, 84, 45-67. https://doi.org/10.1890/13-0133.1
Corporación Autónoma Regional del Valle del Cauca (CVC)(1990). Comparación de cobertura de bosques y humedales entre 1957 y 1986 con delimitación de las comunidades naturales críticas del valle geográfico del río Cauca (Informe 90-7). CVC.
Delgado, J., Armbrecht, I., Flórez, E., & Molina, C. H. (2014). Arañas (Arachnida: Araneae) asociadas a cuatro tipos de manejo del hábitat en la reserva natural El Hatico (Colombia). Revista Ibérica de Aracnología, 25, 59-69. http://gia.sea-socios.com/PDF/25/059-069RIA25ArachnidaColombia2.pdf
Dexter, E., Rollwagen-Bollens, G., & Bollens, S. (2018). The trouble with stress: A flexible method for the evaluation of nonmetric multidimensional scaling. Limnology and Oceanography Methods, 16(7), 434-443. https://doi.org/10.1002/lom3.10257
Domínguez, J., & Castaño, E. (2016). Diseño de experimentos: estrategias y análisis en ciencias e ingeniería. ALFAOMEGA.
Domínguez, Y. (2011). Diversidad de hormigas en remanentes de vegetación afectados por el ganado y propuesta de algunas medidas de rehabilitación (cuenca del río Cesar, Colombia). https://www.corpocesar.gov.co/files/Anexo%20Tesis%20Hormigas.pdf
Esquivel, M. J., & Calle, Z. (2002). Arboles aislados en potreros como catalizadores de la sucesión en la Cordillera Occidental Colombiana. Agroforestería en las Américas, 9, 33-34. https://repositorio.catie.ac.cr/handle/11554/5791
Fernández, F., Guerrero, R. J., & Delsinne, T. (2019). Hormigas de Colombia, Universidad Nacional de Colombia.
Flórez-Malagón, A. G., Baptiste, B. L., Gallini, S., Bolívar, I. J., & Van Ausdal, S. (2008). El poder de la carne: Historias de ganaderías en la primera mitad del siglo XX en Colombia. Pontificia Universidad Javeriana.
Gallego-Ropero, M. C., & Salguero, B. (2015). Ensamblaje de hormigas del bosque seco tropical, jardín botánico de Cali. Colombia Forestal, 18(1), 139-150. https://doi.org/10.14483/udistrital.jour.colomb.for.2015.1.a08
Giller, K. E., Beare, M. H., Lavelle, P., Izax, A. M. N., & Swift, M. J. (1997). Agriculture intensification, soil biodiversity and agroecosystem function. Applied Soil Ecology, 6(1), 3-16. https://doi.org/10.1016/S0929-1393(96)00149-7
Griffon, D., Alfonzo, D., & Hernández, M. (2010). Sobre el carácter multifuncional de la agroecología: el manejo de la matriz agrícola y la conservación de especies silvestres como sistemas metapoblacionales. Agroecología, 23-31. https://revistas.um.es/agroecologia/article/view/160531
Hoffmann, B. D., & Andersen, A. N. (2003). Responses of ants to disturbance in Australia, with particular reference to functional groups. Austral Ecology, 28(4), 444-464. https://doi.org/10.1046/j.1442-9993.2003.01301.x
Hölldobler, B., & Wilson, E. (1990) The ants. Springer.
Hsieh, T. C., Ma, K. H., & Chao, A. (2016). iNEXT: An R package for rarefaction and extrapolation of species diversity (Hill numbers). Methods in Ecology and Evolution, 7, 1451-1456. https://doi.org/10.1111/2041-210X.12613
Instituto de Investigación de Recursos Biológicos Alexander von Humboldt (IAvH) (2014). Bosques secos tropicales en Colombia. http://www.humboldt.org.co/en/research/projects/developing-projects/item/158-bosques-secos-tropicales-en-colombia
Jarvis, D. I., Padoch, C., & Cooper, H. D. (2007). La biodiversidad, la agricultura y los servicios ambientales. En Jarvis, D. I., Padoch, C., & Cooper, H. D. (Eds.), Manejo de la biodiversidad en los ecosistemas agrícolas (pp. 283-307). Biodiversity International.
León, W. (2005). Anatomía ecológica del xilema secundario de un bosque seco tropical de Venezuela. Acta Botánica Venezuelica, 28(2). http://ve.scielo.org/scielo.php?script=sci_arttext&pid=S0084-59062005000200006&lng=es&nrm=iso
Longino, J. T. (2003). The Crematogaster (Hymenoptera, Formicidae, Myrmicinae) of Costa Rica. Zootaxa, 151, 1-150. https://doi.org/10.11646/zootaxa.151.1.1
Longino, J., & Cox, D. (2009). Pheidole bilimeki Reconsidered (Hymenoptera: Formicidae). Zootaxa, 1985, 34-42. https://doi.org/10.11646/zootaxa.1985.1.3
Luna, G. O. (2005). Composición y estructura de la comunidad de hormigas a lo largo de un gradiente de intensificación agrícola en zonas de bosque tropical húmedo en la región autónoma atlántico sur, Nicaragua. https://hdl.handle.net/20.500.12032/52978
Mas, A. H., & Dietsch, T. V. (2003). An index of management intensity for coffee agroecosystems to evaluate butterfly species richness. Ecological Applications, 13(5), 1491-1501. https://doi.org/10.1890/01-5229
Meneses, O. E., & Armbrecht, I. (2018). Índice de intensificación agrícola y conservación vegetal en bosques y cafetales colombianos con diferentes estrategias de manejo. Conservación, 40(1), 161-179. https://doi.org/10.15446/caldasia.v40n1.61284
Oksanen, J. (2015). Multivariate analysis of ecological communities in R: Vegan tutorial. https://john-quensen.com/wp-content/uploads/2018/10/Oksanen-Jari-vegantutor.pdf
Pérez-Sánchez, A. J., Lattke, J. E., & Viloria, A. L. (2013). Patterns of ant (Hymenoptera: Formicidae) richness and relative abundance along an aridity gradient in Western Venezuela. Neotropical Entomology, 42, 128-136. https://doi.org/10.1007/s13744-012-0096-y
Pérez, C. (2014). Impacto de diferentes prácticas agrícolas sobre la diversidad microbiana del suelo y la sustentabilidad de un agroecosistema sojero del norte argentino.https://rdu.unc.edu.ar/handle/11086/1689
Perfecto, I., Vandermer, J. H., & Wright, A. (2009). Nature’s matrix, linking agricuture, conservation and food sovereignity. Earthscan.
Perfecto, I., & Vandermeer, J. (2011). Discovery dominance tradeoff: The Case of Pheidole Subarmata and Solenopsis Geminata (Hymenoptera: Formicidae) in Neotropical pastures. Environmental Entomology, 40(5), 999-1006. https://doi.org/10.1603/EN10190
Quinn, G. P., & Keough, M. J. (2002). Experimental design and data analysis for biologists. Cambridge University Press.
R Core Team (2023). R: A Language and Environment for Statistical Computing. R Foundation for Statistical Computing. https://www.R-project.org
Ramírez, M., Herrera, J., & Armbrecht, I. (2010). ¿Bajan de los árboles las hormigas que depredan en potreros y cafetales colombianos? Revista Colombiana de Entomología , 36(1), 106-115. http://www.scielo.org.co/scielo.php?script=sci_arttext&pid=S0120-04882010000100019&lng=en&tlng=es
Ramírez, M., Chará, J., Pardo-Locarno, L. C., Montoya-Lerma, J., Armbrecht, I., Molina, C. H., & Molina, E. (2012). Biodiversidad de hormigas hipógeas (Hymenoptera: Formicidae) en agroecosistema del Cerrito, Valle del Cauca. Livestock Research for Rural Development, 24(1), 15. http://www.lrrd.org/lrrd24/1/rami24015.htm
Rand, T. A., Tylianakis, J. M., & Tscharntke, T. (2006). Spillover edge effects: The dispersal of agriculturally subsidized insect natural enemies into adjacent natural habitats. Ecology Letters, 9, 603-614. https://doi.org/10.1111/j.1461-0248.2006.00911.x
Rivera-Pedroza, L. F., Armbrecht, I., & Calle, Z. (2013). Silvopastoral systems and ant diversity conservation in a cattle-dominated landscape of the Colombian Andes. Agriculture, Ecosystems and Environment, 181, 188-194. https://doi.org/10.1016/j.agee.2013.09.011
Rivera-Pedroza, L. F., Escobar, F., Philpott, S. M., & Armbrecht, I. (2019). The role of natural vegetation strips in sugarcane monocultures: Ant and bird functional diversity responses. Agriculture, Ecosystems and Environment, 284, 106603. https://doi.org/10.1016/j.agee.2019.106603
Sanabria-Blandón, M. C., & Ulloa-Chacón, P. (2011). Hormigas cazadoras en sistemas productivos del piedemonte amazónico colombiano: diversidad y especies indicadoras. Acta Amazónica, 41(4), 503-512. https://doi.org/10.1590/S0044-59672011000400008
Smith-Ramírez, C., Armesto, J., Valdovinos, C. (2005). Historia, biodiversidad y ecología de los bosques costeros de Chile. Editorial Universitaria Bosque Nativo.
Tapia-Ramírez, G., López-Gonzáles, C., González-Romero, A., & Hernández, S. (2012). Diversidad de roedores y su relación con la heterogeneidad ambiental en la cuenca del río Nazas, Durango, México. En Cervantes, F., & Ballesteros-Barrera, C. (Eds.), Estudios sobre la biología de roedores silvestres mexicanos (pp. 59-70). Universidad Nacional Autónoma de México.
Tomás-Sábado, J. (2010). Fundamentos de bioestadística y análisis de datos para enfermería. Universidad Autónoma de Barcelona.
Ulloa-Chacón, P., Osorio-García, A., Achury, R., & Bermúdez-Rivas, C. (2012). Hormigas (Hymenoptera: Formicidae) del Bosque seco Tropical (bs-T) de la cuenca alta del río Cauca, Colombia. Biota Colombiana, 13(2), 165-181. https://doi.org/10.15472/2ipqgq
Uribe, H. (2021). Caña de azúcar en el espléndido valle del río Cauca, Colombia: Historia ambiental, conflictos ambientales y acción colectiva. Programa Editorial de la Universidad del Valle.
Wilby, A., & Thomas, M. B. (2007). Diversidad y manejo de plagas en los agroecosistemas. En Jarvis, D. I., Padoch, C., & Cooper, H. D. (Eds.), Manejo de la biodiversidad en los ecosistemas agrícolas (pp. 283-307), Biodiversity International.
Xia, Y., Sun, J., & Chen, D. G. (2018). Statistical analysis of microbiome data with R. Springer.
Citación:
Author notes
*Autor para correspondencia: camila.arboleda@correounivalle.edu.co
Conflict of interest declaration