Ecología
Diversidad de mamíferos pequeños en dos sitios con diferente grado de alteración en la Sierra Sur, Oaxaca, México
Small mammal diversity in two sites with different degree of disturbance in the Sierra Sur, Oaxaca, Mexico
Diversidad de mamíferos pequeños en dos sitios con diferente grado de alteración en la Sierra Sur, Oaxaca, México
Revista mexicana de biodiversidad, vol. 86, núm. 4, 2015
Instituto de Biología
Recepción: 16 Marzo 2013
Aprobación: 24 Junio 2015
Resumen: Oaxaca es el segundo estado con mayor diversidad de mamíferos; sin embargo, las actividades antropogénicas han provocado su reducción. Los trabajos mastozoológicos que evalúen el efecto de la alteración en la Sierra Sur del estado son nulos; por lo que el objetivo fue comparar la diversidad de mamíferos pequeños en 2 sitios con diferente grado de alteración causada por los asentamientos humanos, plantaciones de café y otros cultivos. El trabajo fue realizado mensualmente desde junio de 2009 hasta mayo de 2010. En cada sitio se seleccionó 1 ha, donde se describió la vegetación y se registraron los mamíferos pequeños usando redes de niebla, trampas Sherman y observaciones visuales. En el sitio 1, con menor alteración, se capturaron 431 individuos de 21 especies; mientras que en el sitio 2, más alterado, se registraron 190 individuos de 16 especies. La diversidad de árboles y arbustos fue significativamente mayor en el sitio 1 y, aunque las diferencias en la diversidad alfa de mamíferos pequeños (marsupiales-roedores y murciélagos) no fueron significativas entre sitios, la abundancia se redujo para la mayoría de las especies.
Palabras clave: Riqueza, Diversidad alfa y beta, Marsupiales, Roedores, Murciélagos.
Abstract: Oaxaca ranks second in mammal diversity; however, human activities have led to its reduction. Mammalian studies conducted at the Sierra Sur of Oaxaca are scarce; therefore, the objective was to compare small mammal diversity in 2 sites with different degree of disturbance, caused by human settlements, coffee plantations and other crops. The study was conducted monthly from June 2009 to May 2010. At each site, 1 hectare was selected, where vegetation and small mammals were recorded using mist nets, Sherman traps, and visual observations. At site 1, less-disturbed, 431 individuals belonging to 21 species were captured; meanwhile at site 2, more-disturbed, 190 individuals belonging to 16 species were recorded. Tree and shrub diversity was significantly greater in site 1. Even differences in alpha diversity for small mammals (marsupials-rodents and bats) were not significant between sites, abundance was reduced for the most species.
Keywords: Richness, Alpha and beta diversity, Marsupial, Rodents, Bats.
Introducción
De los estados de la República Mexicana, Oaxaca se caracteriza por poseer una alta biodiversidad ( Luis-Martínez, Llorente-Bousquets, Warren y Vargas-Fernández, 2004; Navarro, García-Trejo, Peterson y Rodríguez-Contreras, 2004; Soto-Arenas y Salazar, 2004); particularmente se han registrado 192 especies de mamíferos terrestres ( Alfaro, García-García y Santos-Moreno, 2005), de las cuales el 87% pertenecen a mamíferos pequeños, caracterizados por pesar menos de 5 kg ( Romero-Almaraz, Sánchez-Hernández, García-Estrada y Owen, 2007). La mayor riqueza de especies de mamíferos pequeños está conformada por murciélagos ( García-García, Alfaro, Santos-Moreno y Soto-Centeno, 2007) y roedores ( Briones-Salas y Sánchez-Cordero, 2004). Estos grupos desempeñan un papel importante en los ecosistemas como dispersores de semillas, polinizadores y controladores de plagas ( Cocucci y Sérsic, 1998; García-Estrada, Damon, Sánchez-Hernández, Soto-Pinto e Ibarra-Núñez, 2012; Sánchez-Rojas, Sánchez-Cordero y Briones, 2004; Sperr, Caballero-Martínez, Medellín y Tschapka 2011; Williams-Guillén, Perfecto y Vandermeer, 2008).
Uno de los ecosistemas más diversos en Oaxaca son las selvas tropicales, entre ellas las selvas medianas ( Martínez-Ramos y García-Orth, 2007). Particularmente, la selva mediana subcaducifolia se localiza en las planicies del istmo de Tehuantepec en el distrito de Juchitán, en la planicie costera del golfo, en las estribaciones de la Sierra Madre del Sur en el distrito de Yautepec y en la planicie costera del Pacífico; en los distritos de Tehuantepec, Pochutla, Jamiltepec y Putla ( Torres-Colín, 2004). A pesar de la diversidad que albergan las selvas tropicales, las actividades agrícolas, ganaderas, industriales y los asentamientos humanos han disminuido la distribución original de las selvas amenazando a la fauna asociada ( Sánchez-Cordero, Illoldi-Rangel, Linaje, Sarkar y Townsend-Peterson, 2005). En la Sierra Sur de Oaxaca, el 76% de las selvas húmedas fueron modificadas por el cultivo de café ( Moguel y Toledo, 1999); no obstante, el manejo tradicional de este cultivó, taló algunos árboles del dosel y sustituyó principalmente a las plantas del sotobosque ( Moguel y Toledo, 1996). La disminución del precio del café ha provocado el abandono de algunos cafetales, pero en otros casos ha favorecido la tala de árboles, la ganadería, la plantación de otros cultivos, entre otras actividades que están reduciendo la cubierta vegetal y amenazan la biodiversidad de la región.
De manera general, se ha indicado que la tolerancia de los mamíferos pequeños a la pérdida y fragmentación del hábitat, causada por las actividades humanas, está relacionada con su capacidad para cruzar áreas abiertas hacia otros fragmentos de la vegetación ( García-Estrada, Damon, Sánchez-Hernández, Soto-Pinto e Ibarra-Núñez, 2006; García-Estrada, Romero-Almaraz y Sánchez-Hernández, 2002; Schulze, Seavy y Whitacre, 2000). Por otra parte, se ha documentado que la diversidad de especies de mamíferos pequeños en la vegetación original y los cafetales (bajo la sombra de árboles maderables y frutales naturales o introducidos) es similar ( Castro-Luna, Sosa y Castillo-Campos, 2007; Cruz-Lara, Lorenzo, Soto, Naranjo y Ramírez-Marcial, 2004; Estrada y Coates-Estrada, 2001a, 2002; Gallina, González-Romero y Manson, 2008; Numa, Verdú y Sánchez-Palomino, 2005; Pineda, Moreno, Escobar y Halffter, 2005; Sosa, Hernández-Salazar, Hernández-Conrique y Castro-Luna, 2008). Lo anterior ha sido explicado porque las plantaciones de café mantienen una alta diversidad de especies vegetales que permite el refugio y alimento de especies animales asociadas ( Cortés-Delgado y Sosa, 2014; García-Estrada et al., 2012). Asimismo, la sombra del dosel actúa como una zona de amortiguamiento ( Altieri y Smith, 1986) y facilita la conectividad reproductiva entre los individuos y entre diferentes parches del paisaje ( Arellano y Halffter, 2003; Estrada y Coates-Estrada, 2001b, 2002), aunque no pueden ser sustitutos de la vegetación primaria ( Thiollay, 1994).
Los estudios mastofaunísticos realizados en el distrito de Putla, perteneciente a la Sierra Sur, se iniciaron con Goodwin (1964) quien registró una nueva subespecie de ratón, Peromyscus mexicanus putlaensis , en la localidad de San Vicente. Posteriormente, Webb y Baker (1969) estudiaron los vertebrados terrestres del suroeste del estado y documentaron 20 especies de mamíferos pequeños. En ese mismo año, Goodwin (1969) proporcionó el listado, características generales, medidas y distribución de los mamíferos del estado depositados en el Museo de Historia Natural de Nueva York, de los cuales, 15 fueron mamíferos pequeños registrados en el distrito de Putla. Más recientemente, Sánchez-Cordero (2001) estudió la riqueza de especies de roedores y murciélagos en un gradiente altitudinal de 12 localidades en la sierra Mazateca y Mixteca, de las cuales 5 pertenecen al distrito de Putla; registró 20 especies de roedores y 17 de murciélagos. Finalmente, Briones-Salas y Sánchez-Cordero (2004) proporcionaron la lista actualizada de los mamíferos de Oaxaca, basados en información bibliográfica, revisión de museos y colecciones nacionales y extranjeras, y en colectas propias; registraron 29 especies de mamíferos pequeños para el distrito de Putla.
En el distrito de Putla no se han realizado estudios que evalúen el efecto de la alteración sobre la diversidad, por lo que el objetivo del estudio fue comparar la diversidad de especies de mamíferos pequeños en 2 sitios de selva mediana subcaducifolia con diferente grado de alteración en la Sierra Sur de Oaxaca, México. Debido a que se ha señalado que la alteración de la vegetación reduce los recursos disponibles para las especies asociadas ( Fahrig, 2003; Rathcke y Jules, 1993), se espera que la riqueza de especies y la diversidad alfa de mamíferos pequeños sea mayor en el sitio 1, con menor alteración. Asimismo, dado que se ha indicado que el efecto del disturbio depende de la vagilidad de los organismos ( Andrén, 1994; Bierregaard, Lovejoy, Kapos, Dos Santos y Hutchings, 1992; Fenton et al., 1992), se espera mayor recambio en la diversidad de especies de roedores y marsupiales que de murciélagos entre los sitios de estudio.
Materiales y métodos
El trabajo se realizó en 2 sitios con diferente grado de alteración en la localidad de El Carrizal de Galeana, municipio de Putla, Villa de Guerrero, distrito de Putla, en la Sierra Sur de Oaxaca, México. El clima del lugar es cálido subhúmedo, el más húmedo de los subhúmedos con lluvias en verano; el mes más cálido es junio, la temperatura promedio anual es de 24.2 °C; la precipitación total anual es de 2,331 mm ( Trejo, 2004). El área se caracteriza por una estación de lluvias entre junio y octubre (> 100 mm de precipitación por mes), y por un periodo de sequía, con los meses más secos marzo y abril (< 50 mm por mes; Sánchez-Cordero, 2001). En El Carrizal de Galena se encuentran diferentes tipos de vegetación: bosque de pino, bosque de pino-encino, selva mediana subcaducifolia y pastizales. Para este estudio solo se consideró la selva mediana subcaducifolia, porque ocupa la mayor superficie en la localidad. En este tipo de vegetación eligieron 2 sitios de muestreo ( fig. 1). El sitio 1, menos alterado, ubicado en el área conocida como "El Chorro" (16°52′05.5" N, 97°53′36.9" O, 860 m snm); abarca una superficie de 2 ha, tiene una pendiente promedio de 22° con dirección noreste. En el sitio 1 la única alteración fue causada por el cultivo de café en 1958, el cual sustituyó solo el sotobosque; sin embargo, el cultivo fue abandonado en 1996. Los árboles que se encuentran actualmente en el lugar son: Bursera simaruba (mulato), Casearia arguta (palo calentura), Calophyllum brasiliense (tigrillo), Byrsonima crassifolia (nanche), Clethra mexicana (palo colorado), Curatella americana (tlachicon), Inga punctata (cuajinicuil), Homalium racemosum (quebracho), Cochlospermum vitifolium (bolsa de toro), Ficus tecolutensis (amate), Croton draco (sangre de grado), entre otros.

El sitio 2, se localiza a 900 m al NE del primer sitio, en el área conocida como "Carrizal Viejo" (16°52′13.7′' N, 97°54′04.5′' O, 896 m snm); incluye 16 ha, tiene una pendiente promedio de 12° con dirección este. El sitio 2 ha tenido mayor alteración por las actividades humanas: en la segunda mitad del siglo XVI se construyó una hacienda, la cual fue abandonada en 1865. Posteriormente, la población de El Carrizal se asentó en este lugar, quienes desde 1958 cultivaron café, maíz, calabaza y frijol; el terreno fue abandonado en 1988 cuando el poblado de El Carrizal cambió su ubicación. Entre los árboles que se encuentran en el lugar están Licaria capitata (aguacatillo), Coccoloba barbadensis (hojadura), Casearia aculeata (diente de cuche), I. punctata (cuajinicuil), Acacia hindsii (cornizuelo), Dendropanax arboreus (palo de mano), Syzygium jambos (pomarosa), Psidium guajava (guayabo), Guazuma ulmifolia (cuaulote), F. tecolutensis (amate), Hymenaea curbaril (huapinol), entre otros.
El trabajo de campo se llevó a cabo durante un año, de junio de 2009 a mayo de 2010, durante 2 días cada mes. En cada sitio se eligió 1 ha para estandarizar el tamaño del área de muestreo. Para caracterizar las diferencias en la alteración de los 2 sitios, en cada hectárea se trazaron 2 unidades de muestreo de 80 m de largo x 20 m de ancho, una perpendicular a la otra. Se consideraron a todas las plantas leñosas ≥ 2.5 cm de diámetro a la altura del pecho (DAP) ( Villavicencio-Enríquez y Valdez-Hernández, 2003). De cada individuo se midió su altura, diámetro basal, DAP y cobertura. De cada especie se determinó su asociación a la vegetación primaria, secundaria o introducida ( Pennington y Sarukhán, 2005; Sánchez-Rodríguez, López-Mata, García-Moya y Cuevas-Guzmán, 2003). La determinación taxonómica se realizó con la ayuda de claves especializadas ( Pennington y Sarukhán, 2005) y mediante el cotejo de ejemplares del Herbario Nacional MEXU del Instituto de Biología de la Universidad Nacional Autónoma de México, así como del Centro Interdisciplinario de Investigación para el Desarrollo Integral Rural.
Para el registro de los mamíferos pequeños se utilizaron trampas Sherman, redes de niebla y observaciones visuales. En cada sitio se colocaron 45 trampas Sherman a lo largo de 5 transectos entre la vegetación. Cada transecto consistió de 9 trampas separadas cada 10 m. Cada trampa fue cebada con hojuelas de avena. Las trampas fueron colocadas en el atardecer y se revisaron la mañana siguiente. Asimismo, se utilizaron 4 redes de niebla de 9 m de largo por 2.5 m de alto, las cuales se colocaron en un transecto de 100 m entre la vegetación, con una separación de 25 m entre cada red. Las redes se abrieron antes de anochecer y se mantuvieron abiertas durante 5 horas. Durante el trabajo de campo se anotó el registro visual de individuos. Los roedores se marcaron a través de la ectomización de falanges ( Martoff, 1963); mientras que los murciélagos fueron marcados mediante un collar de plástico, con uno o más anillos de colores. Los ejemplares fueron liberados en el sitio de su captura, excepto uno o 2 ejemplares de algunas especies que fueron sacrificados para su determinación en el laboratorio. La determinación de especies se realizó con la ayuda de claves especializadas ( Goodwin, 1969; Hall, 1981; Medellín, Arita y Sánchez, 2007).
Para la descripción de las diferencias en la vegetación entre los 2 sitios, se evaluaron las diferencias en la abundancia de árboles y arbustos mediante una prueba de (χ 2. La altura, área basal, DAP y cobertura de árboles y arbustos, se comparó descriptivamente mediante el valor promedio, mínimo, máximo y desviación estándar. La diversidad alfa de árboles y arbustos se estimó con el índice de Shannon-Wiener y la uniformidad de la muestra; las diferencias en la diversidad se evaluaron mediante una prueba de t de Hutcheson ( Zar, 1999). La diversidad beta de las especies se calculó mediante el índice de Whittaker ( Magurran, 2004) y la similitud de especies se evaluó mediante el índice cualitativo de Sorensen y el cuantitativo de Bray-Curtis.
Las pruebas estadísticas para los mamíferos pequeños se dividieron en 2: una para los murciélagos, y la otra para marsupiales y roedores. La riqueza de especies se obtuvo mediante la suma de especies registradas. La riqueza estimada se comparó con la obtenida por el estimador paramétrico Chao 1 y el no paramétrico Chao 2. Las curvas de acumulación de especies fueron estimadas mediante el algoritmo Mao Tau. Para eliminar la influencia en el orden en el cual los días de muestreo fueron incorporados, el orden fue aleatorizado 100 veces usando el programa EstimateS ( Colwell, 2013). La evaluación de la curva de acumulación de especies en relación con el esfuerzo de muestreo fue comparada con el modelo de Clench. Las diferencias en la abundancia de especies entre los sitios se evaluaron mediante una prueba (χ 2. La diversidad alfa fue medida mediante el índice de Shannon-Wiener y la uniformidad de la muestra ( Krebs, 1998). Las diferencias en la diversidad alfa entre sitios fue evaluada mediante una prueba de t de Hutcheson ( Zar, 1999). La diversidad beta fue medida mediante el índice de Whittaker ( Magurran, 2004). La similitud de especies entre sitios fue evaluada con datos cualitativos a través del índice de Sorensen. La asociación de especies en un espacio geométrico se ordenó mediante el escalamiento multidimensional no métrico, con datos cuantitativos obtenidos con el índice cuantitativo de Bray-Curtis. Los análisis estadísticos fueron calculados mediante los programas Statistica Species Accumulation Function ( Centro de Investigación en Matemáticas, 2003) ( StatSoft, 2003), EstimateS ( Colwell, 2013), Species Diversity and Richness ( Pisces Conservation Ltd., 2002) y PAleontological STatistics ( Hammer, 2014). La lista de mamíferos pequeños sigue la propuesta de Ramírez-Pulido, González-Ruiz, Gardner y Arroyo-Cabrales (2014).
Resultados
En las 2 áreas se marcaron 761 individuos de árboles y arbustos, los cuales pertenecen a 59 especies. Se determinaron a nivel específico a 49, lo que representa 94.21% de los individuos. En el sitio 1 se marcaron 546 individuos de 48 especies. Veintitrés especies estuvieron asociadas a vegetación primaria (57.5%), 16 a vegetación secundaria (40%) y una fue introducida (2.5%). En el sitio 2 se registraron 215 individuos pertenecientes a 34 especies. Catorce especies estuvieron asociadas a vegetación primaria (46.66%), 15 a vegetación secundaria (50%) y una introducida (3.34%). Aunque los valores promedio de altura, área basal, DAP y cobertura fueron mayores en el sitio 2 que en el sitio 1 ( tabla 1), la abundancia de árboles y arbustos fue significativamente mayor en el sitio 1 ( n = 546) que en el sitio 2 ( n = 215; (χ 2 = 143.969, gl = 1, p < 0.0001). Del mismo modo, la diversidad alfa de árboles y arbustos fue significativamente mayor en el sitio 1 ( H' = 3.102; J ´ = 0.8103) que el sitio 2 ( H' = 2.923; J' = 0.8223; t = 2.012, gl = 379, p = 0.044). En el sitio 1 se registraron 24 especies exclusivas, de las cuales 11 están asociadas a vegetación primaria, 6 a vegetación secundaria, una fue introducida; mientras que en el sitio 2 se marcaron 12 especies exclusivas, de las cuales 2 estuvieron asociadas a vegetación primaria, 5 a vegetación secundaria y una especie introducida. El recambio de especies de árboles y arbustos entre los sitios fue intermedio ( βw = 0.4321). Los 2 sitios compartieron 23 especies, de las cuales 12 estuvieron asociadas a vegetación primaria y 10 a vegetación secundaria. La similitud de especies entre sitios de acuerdo con los datos cualitativos fue intermedia ( I S = 0.427), mientras que la similitud fue baja con los datos cuantitativos ( I B-C = 0.212).

Para el caso de los mamíferos pequeños, durante el trabajo de campo se capturaron 552 individuos, de los cuales se recapturaron a 66, para un total de 618 individuos, con un esfuerzo acumulado de 1,980 trampas-noche, y 19,800 m 2 de red-hora. Además, se registraron visualmente 3 ejemplares para un total de 621 individuos pertenecientes a 3 órdenes, 6 familias, 18 géneros y 24 especies, de las cuales 12 son nuevos registros para el distrito de Putla: una marmosa, 3 ratones y 8 murciélagos. De estos, 7 fueron registrados en el sitio 1, 2 en el sitio 2 y 3 en ambos sitios. El orden más abundante y diverso fue el Chiroptera (500 individuos y 18 especies), seguido de Rodentia (117 individuos y 5 especies); mientras que de Didelphimorphia solo se capturaron 4 individuos de Tlacuatzin canescens ( tabla 2).

En el sitio 1 se capturaron 431 individuos pertenecientes a 3 órdenes, 5 familias, 16 géneros y 21 especies. Sturnira parvidens ( n = 164), Heteromys pictus ( n = 50), Artibeus jamaicensis ( n = 38) y Glossophaga soricina ( n = 34) fueron las especies más abundantes. En el sitio 2 se registraron 190 individuos de 2 órdenes, 5 familias, 12 géneros y 16 especies, de las cuales H . pictus ( n = 40), Artibeus lituratus ( n = 34) y Dermanura tolteca ( n = 29) fueron las más abundantes ( tabla 2). Se registraron 475 murciélagos, de los cuales se recapturaron a 25 para un total de 500 registros pertenecientes a 2 familias, 12 géneros y 18 especies ( tabla 1). Diecisiete especies fueron encontradas en el sitio 1 (únicamente no se registró a Dermanura watsoni que fue capturada en el otro lugar) y 12 especies en el sitio 2. La riqueza de especies de murciélagos registrada en el sitio 1 es menor a la calculada por el estimador paramétrico (Chao 1 = 21.49), pero similar a la obtenida por el estimador no paramétrico (Chao 2 = 19.15); mientras que la riqueza de especies en el sitio 2 fue similar a la obtenida por ambos estimadores (Chao 1 = 12.0, Chao 2 = 12). En el sitio 1 se registraron significativamente más individuos de murciélagos ( n = 368) que en el sitio 2 ( n = 132; (χ 2= 111.392, gl = 1, p < 0.0001).
Por otra parte, se capturaron 80 roedores y marsupiales, de los cuales se recapturaron a 41 para un total de 121 registros pertenecientes a 4 familias, 6 géneros y 6 especies. Cuatro especies fueron capturadas tanto en el sitio 1 como en el sitio 2. La riqueza de especies registrada en ambos sitios es similar a la calculada por el estimador paramétrico Chao 2 (4.0, 4.0; respectivamente) y no paramétrico Chao 1 (4.0, 4.0; respectivamente). En el sitio 1 se registraron más individuos de roedores y marsupiales ( n = 63) que en el sitio 2 ( n = 58), pero las diferencias no fueron significativas (χ 2= 111.392, gl = 1, p = 0.649).
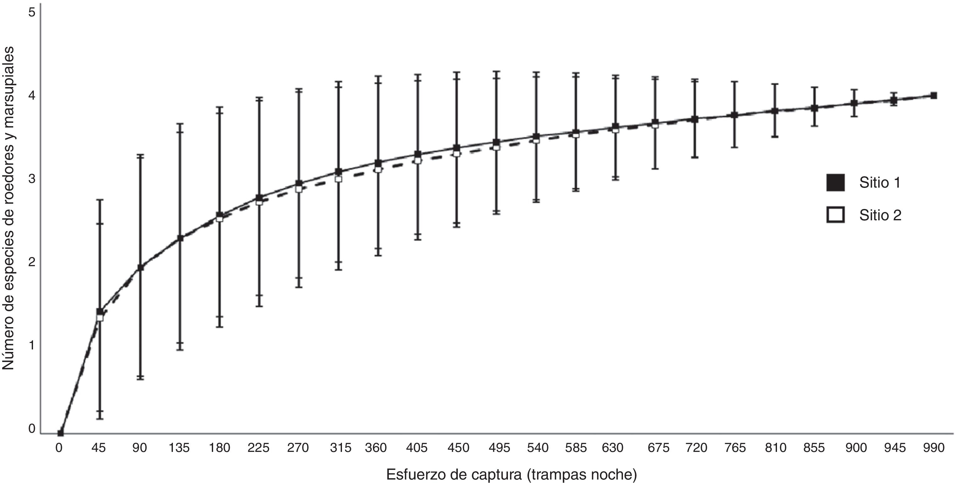
La curva de acumulación de especies de murciélagos estuvo cerca de alcanzar la asíntota en los 2 sitios ( fig. 2); no obstante, el modelo de Clench estimó que falta por registrar una especie en el sitio 1 y 2 especies en el sitio 2 ( a = 6.508, b = 0.346, r = 0.998 en el sitio 1; a = 3.181, b = 0.216, r = 0.999 en el sitio 2). En el caso de los roedores y marsupiales, la curva de acumulación de especies alcanzó la asíntota en ambos sitios ( fig. 3), lo cual fue confirmado por la estimación del modelo de Clench ( a = 1.445, b = 0.318, r = 0.999 en el sitio 1; a = 1.402, b = 0.308, r = 0.999 en el sitio 2). La diversidad alfa de especies de murciélagos fue mayor en el sitio 2 ( H' = 2.060, J' = 0.829) que en el sitio 1 ( H' = 2.014, J' = 0.711), pero las diferencias no fueron significativas ( t = 0.477, gl = 341, p = 0.633). Del mismo modo, la diversidad alfa de especies de roedores y marsupiales fue mayor en el sitio 2 ( H' = 0.822, J' = 0.593) que en el sitio 1 ( H' = 0.686, J' = 0.495); sin embargo, las diferencias no fueron significativas ( t = 0.850, gl = 121, p = 0.397). En el sitio 1 se capturaron 6 especies exclusivas de murciélagos ( Anoura geoffroyi , Choeroniscus godmani , Glossophaga morenoi , Centurio senex , Vampyressa thyone y Sturnira hondurensis ) y uno en el sitio 2 ( D. watsoni ). La diversidad beta fue baja β W= 0.241. Por otra parte, en el sitio 1 se registraron 2 especies exclusivas de roedores y marsupiales ( T. canescens y Sigmodon zanjonensis ), y también 2 especies exclusivas en el sitio 2 ( Sciurus aureogaster y Oryzomys alfaroi ). El recambio de especies fue intermedio β W= 0.50. De las 18 especies registradas, 11 fueron capturadas en ambos sitios, la similitud de especies de murciélagos fue alta I S= 0.758. Para el caso de los roedores y marsupiales, de las 6 especies, 2 especies fueron registradas en ambos sitios, la similitud de especies fue intermedia I S= 0.50. El ordenamiento de las especies de mamíferos pequeños mostró 3 grupos: el primero formado por 8 especies capturadas ocasional y exclusivamente en el sitio 1, localizadas en la parte izquierda de la figura. El segundo grupo fue formado por 13 especies capturadas en ambos sitios y ubicadas en el centro del gráfico. Finalmente, el tercer grupo estuvo compuesto por 3 especies capturadas ocasional y exclusivamente en el sitio 2, localizadas en el extremo derecho de la gráfica ( fig. 4).



Discusión
Este estudio evalúa por primera vez la diversidad de mamíferos pequeños en 2 sitios con diferente grado de alteración en el distrito de Putla, en la Sierra Sur de Oaxaca. En el sitio 1, con menor alteración, se registró mayor riqueza, abundancia y diversidad alfa de especies de árboles y arbustos, así como de especies asociadas a vegetación primaria. Los valores más altos pueden explicarse porque en este sitio la única modificación en la estructura de la vegetación fue la plantación de café mediante el sistema de policultivo tradicional, la cual solamente eliminó el sotobosque, mientras que los árboles fueron mantenidos para proporcionar sombra ( Moguel y Toledo, 1996), lo que reafirma el menor efecto que ha tenido la alteración por las actividades humanas. Sin embargo, cabe destacar que en el sitio 2, con más eventos de alteración, los árboles y arbustos tuvieron mayor altura, diámetro basal, DAP y cobertura. Lo anterior puede explicarse porque la mayoría de los individuos marcados son adultos y pocos individuos jóvenes, lo que indica que el efecto de la alteración no fue tan severo en este lugar.
La diversidad beta de especies de árboles y arbustos fue intermedia, lo que refleja las diferencias en el efecto de la alteración por las actividades humanas. No obstante, ambos sitios tuvieron 12 especies de vegetación primaria compartidas, lo cual indica que a pesar del mayor disturbio por los asentamientos humanos y cultivos agrícolas, este no fue tan severo considerando que el poblado tenía aproximadamente 100 habitantes, que el manejo de café afectó principalmente el sotobosque y que el abandono desde hace 25 años ha favorecido el proceso de regeneración de la vegetación. La riqueza de especies de mamíferos pequeños en los 2 sitios de estudio estuvo constituida por 24 especies. Esta riqueza representa el 83% de las especies documentadas por Briones-Salas y Sánchez-Cordero (2004) para el distrito. El menor número de especies obtenido puede explicarse porque el estudio de los autores se basó en información bibliográfica, revisión de colecciones nacionales y extranjeras, y en colectas propias obtenidas de un área mayor. No obstante, en este trabajo se capturaron 12 nuevos registros para el distrito, lo que indica la subestimación de la diversidad mastofaunística de esta área debido a la falta de estudios.
Contrario a lo esperado, la diversidad alfa de murciélagos fue similar entre los 2 sitios. El registro de los murciélagos en el sitio 2 puede explicarse por la presencia de árboles y arbustos asociados a la vegetación secundaria, de los cuales los géneros Coccoloba , Conostegia , Guazuma y Syzygium se ha registrado que sus frutos forman parte de la dieta de los murciélagos (Galindo-González, 1998; García-Estrada et al., 2012; Vargas-Contreras, Medellín, Escalona-Segura e Interián-Sosa, 2009). La diversidad alfa de murciélagos similar entre sitios con diferente grado de alteración ha sido registrada en diferentes tipos de vegetación ( Castro-Luna et al., 2007; Barragán, Lorenzo, Morón, Briones-Salas y López, 2010). Lo anterior sugiere la capacidad de algunas especies de murciélagos para forrajear y utilizar recursos de los diferentes elementos del paisaje.
Del mismo modo, contrario a lo esperado, la diversidad alfa de especies de ratones y marsupiales fue similar entre los 2 sitios. Esto sugiere que las alteraciones por los asentamientos humanos y la siembra de diferentes cultivos en el sitio 2 solo modificó principalmente el sotobosque y han permitido su regeneración parcial. La recuperación de la vegetación ha favorecido que los individuos obtengan refugio y alimento en este sitio, principalmente de H. pictus y Peromyscus beatae , confirmado por el número de recapturas. La diversidad similar de roedores ha sido registrada en diferentes manejos de cafetales ( Gallina et al., 2008) y en sitios con diferente grado de alteración ( Cimé-Pool, Hernández-Betancourt y Chablé-Santos, 2007; García-Estrada et al., 2002; Medellín y Equihua, 1998; Vázquez, Medellín y Cameron, 2000). Aunque la diversidad fue similar entre sitios, las abundancias se redujeron.
La similitud de especies de murciélagos entre los sitios fue de 75%, lo que se puede explicar por el registro de especies de los géneros Artibeus , Dermanura , Sturnira y Desmodus . Los 3 primeros pertenecen a especies consideradas de hábitos generalistas, de amplia distribución, con la capacidad de adaptarse a las alteraciones de sus hábitats y forrajear entre la vegetación original, plantaciones de café, cultivos agrícolas y parches de vegetación secundaria con diferentes etapas de sucesión ( Barragán et al., 2010; Castro-Luna et al., 2007; García-Estrada et al., 2006) y aprovechar los recursos de los diferentes tipos de vegetación ( García-Estrada et al., 2012). Por otra parte, Desmodus rotundus fue una especie ocasional en ambos sitios, lo cual puede explicarse porque en los alrededores el ganado es poco y es encerrado sin protección y favorece la alimentación del murciélago vampiro; probablemente los 2 lugares son usados como sitio de paso durante su forrajeo. Cabe destacar que a pesar de la separación de 900 m entre las 2 áreas, la recaptura de los individuos sucedió en el mismo lugar; solo un individuo de Dermanura phaeotis , capturado en el sitio 1, fue recapturado en el sitio 2 después de 5 meses. El registro de árboles de los géneros Acacia , Annona , Bursera , Inga , Calophyllum , Cordia e Hymenaea en el sitio 1 parece favorecer la presencia de los murciélagos debido a que se ha documentado que forman parte de su dieta ( Álvarez y Sánchez-Casas, 1999; Flores-Martínez, Ortega e Ibarra-Manríquez, 2000; García-Estrada et al., 2012; Sánchez-Casas y Álvarez, 2000). Mientras tanto, en el sitio 2, la presencia de árboles y arbustos de los géneros Coccoloba , Conostegia y Syzygium también se ha registrado que constituyen la dieta de los murciélagos ( Galindo-González, 1998; García-Estrada et al., 2012; Vargas-Contreras et al., 2009).
El recambio de especies de murciélagos entre los 2 sitios es debido principalmente al registro ocasional de 7 especies en el sitio 1. De estas, A. geoffroyi , C. godmani , C. senex y V. thyone se ha sugerido que están asociadas a la vegetación primaria con dieta especializada ( Álvarez y Sánchez-Casas, 1997; Galindo-González, 2004; García-Estrada et al., 2006), mientras que de C . subrufa , G . morenoi y S . hondurensis se ha registrado que forrajean tanto en la vegetación primaria, cafetales y parches de la vegetación secundaria en diferentes estados de regeneración ( García-Estrada et al., 2006; Sosa et al., 2008). Por su parte, en el sitio 2 se registró exclusivamente a D. watsoni , la cual se ha registrado tanto en lugares conservados como alterados ( Medellín, Equihua y Amin, 2000); no obstante, esta especie se encuentra en la categoría de especies sujetas a protección especial, de acuerdo con la Norma Oficial Mexicana 059-ECOL-2010 ( Semarnat, 2010), lo que resalta la importancia del lugar para su conservación.
La similitud intermedia de roedores puede explicarse porque en ambos sitios se capturaron a H. pictus y P. beatae . H. pictus fue el ratón más abundante y más recapturado en ambos sitios. Se ha registrado como una especie de hábitos que vive en áreas conservadas y alteradas ( Barragán et al., 2010; Domínguez y Ceballos, 2005). En ambos sitios se registró a C. barbadensis y G. ulmifolia , de las cuales se ha documentado que sus frutos son consumidos por esta especie de roedor ( Briones-Salas y Sánchez-Cordero, 1999). Por otra parte, P . beatae es una especie endémica de México, registrada en bosques húmedos y subhúmedos ( Schmidly, Bradley y Cato, 1988), bosques tropicales perennifolios ( Álvarez, 1961), con suelos rocosos ( Hall y Dalquest, 1963) y aunque se conoce poco de su biología, la captura en ambos lugares sugiere que el sitio 2 proporciona los recursos para su presencia. La diversidad beta de roedores y marsupiales fue intermedia. El recambio de especies ocurrió por el registro ocasional de T. canescens y S. zanjonensis en el sitio 1, y de S. aureogaster y O. alfaroi en el sitio 2. Tanto S . zanjonensis como O . alfaroi han sido capturados en sitios conservados como alterados ( Baker, Webb y Stern, 1971; Gallina et al., 2008; Monge, 2008), pero el registro de un individuo parece sugerir que es transeúnte. S. aureogaster se registró visualmente durante la mañana forrajeando entre las ramas de los árboles, por lo que no se capturó en las trampas colocadas en el suelo; no obstante, se ha registrado en sitios conservados como alterados ( Sánchez-Hernández y Romero-Almaraz, 1995). T. canescens también se ha capturado en lugares conservados como en vegetación alterada y cultivos ( Ceballos y Miranda, 2000), con una variación en la densidad de 0.4 a 4.5 individuos por hectárea ( Ceballos, 1990); sin embargo, su número bajo en el sitio 1 puede deberse a que no se colocaron trampas sobre los troncos de árboles y arbustos como ha sido documentado en Morelos ( Sánchez-Hernández y Romero-Almaraz, 1995).
El ordenamiento de los mamíferos pequeños separó a las 11 especies capturadas exclusivamente en cada uno de los sitios y agrupó a 13 especies, las cuales fueron registradas en ambos lugares. La asociación de especies a través del escalamiento multidimensional no métrico, con datos cuantitativos, permitió observar las relaciones entre el total de las especies y no entre pares como sucede en gráficos como los dendrogramas. Además, la figura permite establecer asociaciones entre los sitios de captura y sus abundancias. Trece especies se ubican en el centro de la figura y, particularmente 6 que se encuentran en el centro y la parte superior ( S. parvidens , H. pictus , A. jamaicensis , A. lituratus , G. soricina y D. tolteca ) son consideradas que pueden forrajear tanto en sitios conservados como en lugares alterados.
Aunque las actividades humanas afectaron la diversidad de la vegetación entre los sitios, la diversidad de los mamíferos pequeños fue similar. Lo anterior podría deberse a que el poblado tenía aproximadamente 100 individuos y después cambió su ubicación; además, que el manejo de los cafetales afectó principalmente la vegetación del sotobosque y que el abandono desde hace 25 años ha iniciado el proceso de regeneración de la selva mediana subcaducifolia. No obstante, la principal modificación se reflejó en la abundancia de las especies tanto de la vegetación como de los mamíferos pequeños. Es necesario realizar mayor número de estudios que permitan conocer más aspectos de la biología de las especies y el efecto de las actividades antropogénicas en particular para el distrito de Putla y, en general, en la Sierra Sur del estado.
Agradecimientos
A la Universidad del Mar por el apoyo económico durante la mayor parte del estudio, a través de la clave de unidad programática 2IE0904. A la Lic. María Soledad Hernández-Valdez del Instituto Nacional de Estadística y Geografía, por las ortofotos proporcionadas. A Edith Galván Ochoa por el manejo de la información de las ortofotos. A Antonio García-Méndez por el apoyo en el trabajo de campo. A los habitantes de la localidad El Carrizal de Galeana por las facilidades para la realización del trabajo, en particular a la familia Peña.
Referencias
A.M. Alfaro, J.L. García-García, A. Santos-Moreno. The false vampire bat, Vampyrum spectrum, in Oaxaca, Mexico. Bat Research News. 2005; 46:145p
M. Altieri, L. Smith. The dynamics of colonizing arthropod communities at the interface of abandoned, organic and commercial apple orchards and adjacent woodlands. Agriculture, Ecosystems and Environment. 1986; 16:29p
T. Álvarez. Taxonomic status of some mice of the Peromyscus boylii group in Eastern Mexico, with description of a new subspecies. University of Kansas Publications, Museum of Natural History. 1961; 14:111p
T. Álvarez, N. Sánchez-Casas. Notas sobre la alimentación de Musonycteris y Choeroniscus (Mammalia: Phyllostomidae) en México. Revista Mexicana de Mastozoología. 1997; 2:113p
T. Álvarez, N. Sánchez-Casas. Diferenciación alimentaria entre los sexos de Glossophaga soricina (Chiroptera: Phyllostomidae) en México. Revista de Biología Tropical. 1999; 47:1129p
H. Andrén. Effects on habitat fragmentation on birds and mammals in landscapes with different proportions of suitable habitat: a review. Oikos. 1994; 71:355p
L. Arellano, G. Halffter. Gamma diversity: derived from a determinant of alpha diversity and beta diversity. An analysis of three tropical landscapes. Acta Zoológica Mexicana. 2003; 90:27p
R.H. Baker, R.G. Webb, E. Stern. Amphibians, reptiles and mammals from North-central Chiapas. Anales del Instituto de Biología, Universidad Nacional Autónoma de México, Serie Zoología. 1971; 42:77p
F. Barragán, C. Lorenzo, A. Morón, M.A. Briones-Salas, S. López. Bat and rodent diversity in a fragmented landscape on the Isthmus of Tehuantepec, Oaxaca, Mexico. Tropical Conservation Science. 2010; 3:1p
R.O. Bierregaard Jr., T.E. Lovejoy, V. Kapos, A.A. dos Santos, R.W. Hutchings. The biological dynamics of tropical rainforest fragments. Bioscience. 1992; 42:859p
M. Briones-Salas, V. Sánchez-Cordero. Dietary value of fruits and seeds to spiny pocket mice (Liomys pictus) in a tropical deciduous forest in Mexico. Neotropical Fauna and Environment. 1999; 34:65p
M. Briones-Salas, V. Sánchez-Cordero. Mamíferos. Biodiversidad de Oaxaca. México, D.F: Instituto de Biología, UNAM, Fondo Oaxaqueño para la Conservación de la Naturaleza, World Wildlife Fundation; 2004. 423p
A.A. Castro-Luna, V.J. Sosa, G. Castillo-Campos. Bat diversity and abundance associated with the degree of secondary succession in a tropical forest mosaic in Southeastern Mexico. Animal Conservation. 2007; 10:219p
G. Ceballos. Comparative natural history of small mammals from tropical forest in Western Mexico. Journal of Mammalogy. 1990; 71:263p
G. Ceballos, A. Miranda. Guía de campo de los mamíferos de la costa de Jalisco, México. México, D.F: Fundación Ecológica Cuixmala, Universidad Nacional Autónoma de México; 2000.
Centro de Investigación en Matemáticas, A.C. (2003). Species accumulation functions. Version Beta. [consultado 13 Feb 2015]. Disponible en: http://www.cimat.mx/infogeneral/cimat/Software.
J.A. Cimé-Pool, S.F. Hernández-Betancourt, J.B. Chablé-Santos. Comunidad de pequeños roedores en dos agroecosistemas del estado de Yucatán, México. Revista Mexicana de Mastozoología. 2007; 11:57p
A.A. Cocucci, A.N. Sérsic. Evidence of rodent pollination in Cajophora coronate (Loasaceae). Plant Systematics and Evolution. 1998; 211:113p
Colwell, R.K. (2013). EstimateS: statistical estimation of species richness and shared species from samples. Version 9.1.0. [consultado 20 Feb 2015]. Disponible en: purl.ocl.org/estimatesi.
N. Cortés-Delgado, V.J. Sosa. Do bats roost and forage in shade coffee plantations?. A perspective from the frugivorous bat Sturnira hondurensis. Biotropica. 2014; 46:624p
L.E. Cruz-Lara, C. Lorenzo, L. Soto, E. Naranjo, N. Ramírez-Marcial. Diversidad de mamíferos en cafetales y selva mediana de las cañadas de la selva Lacandona, Chiapas, México. Acta Zoológica Mexicana (nueva serie). 2004; 20:63p
Y. Domínguez, G. Ceballos. Liomys pictus (Thomas, 1893). Los mamíferos silvestres de México. México, D.F.: Comisión Nacional para el Conocimiento y Uso de la Biodiversidad, Fondo de Cultura Económica; 2005. 629p
A. Estrada, R. Coates-Estrada. Bats in continuous forest, forest fragments and in an agricultural mosaic habitat-island at Los Tuxtlas, Mexico. Biological Conservation. 2002; 103:237p
A. Estrada, R. Coates-Estrada. Bat species richness in live fences and in corridors of residual rain forest vegetation at Los Tuxtlas, Mexico. Ecography. 2001; 24:94p
A. Estrada, R. Coates-Estrada. Species composition and reproductive phenology of bats in a tropical landscape at Los Tuxtlas, Mexico. Journal of Tropical Ecology. 2001; 17:627p
L. Fahrig. Effects on habitat fragmentation on biodiversity. Annual Review of Ecology, Evolution and Systematics. 2003; 34:487p
M.B. Fenton, L. Acharya, D. Audet, M.B.C. Hickey, C. Merriman, M.K. Obrist. Phyllostomid bats (Chiroptera: Phyllostomidae) as indicators of habitat disruption in the Neotropics. Biotropica. 1992; 24:440p
J.J. Flores-Martínez, J. Ortega, G. Ibarra-Manríquez. El hábito alimentario del murciélago zapotero (Artibeus jamaicensis) en Yucatán. Revista Mexicana de Mastozoología. 2000; 4:22p
J. Galindo-González. Dispersión de semillas por murciélagos: su importancia en la conservación y regeneración del bosque tropical. Acta Zoológica Mexicana (nueva serie). 1998; 73:57p
J. Galindo-González. Clasificación de los murciélagos de la región de Los Tuxtlas, Veracruz, respecto a su respuesta a la fragmentación del hábitat. Acta Zoológica Mexicana (nueva serie). 2004; 20:230p
S. Gallina, A. González-Romero, R.H. Manson. Mamíferos pequeños y medianos. Agroecosistemas cafetaleros de Veracruz: biodiversidad, manejo y conservación. México, D.F: Instituto de Ecología, Instituto Nacional de Ecología; 2008. 161p
C. García-Estrada, M.L. Romero-Almaraz, C. Sánchez-Hernández. Comparison of rodent communities in sites with different degrees of disturbance in deciduous forest of Southeastern Morelos, Mexico. Acta Zoológica Mexicana (nueva serie). 2002; 85:153p
C. García-Estrada, A. Damon, C. Sánchez-Hernández, L. Soto-Pinto, G. Ibarra-Núñez. Bat diversity in montane rainforest and shaded coffee under different management regimes in Southeastern Chiapas, Mexico. Biological Conservation. 2006; 132:351p
C. García-Estrada, A. Damon, C. Sánchez-Hernández, L. Soto-Pinto, G. Ibarra-Núñez. Diets of frugivorous bats in montane rain forest and coffee plantations in Southeastern Chiapas, Mexico. Biotropica. 2012; 44:394p
J.L. García-García, A.E. Alfaro, A. Santos-Moreno, A. Soto-Centeno. Noteworthy records of Eptesicus brasiliensis (Vespertilionidae) from Oaxaca, Mexico. Bat Research News. 2007; 48:5p
G.G. Goodwin. A new species and a new subspecies of Peromyscus from Oaxaca, Mexico. American Museum Novitates. 1964; 2183:1p
G.G. Goodwin. Mammals from the state of Oaxaca, Mexico, in the American Museum of Natural History. Bulletin of the American Museum of Natural History. 1969; 141:1p
R.E. Hall. The mammals of North America. New York: John Wiley y Sons; 1981.
R.E. Hall, W.W. Dalquest. The mammals of Veracruz. University of Kansas Publications, Museum of Natural History. 1963; 14:165p
Hammer, Ø. (2014). Past. Paleontological statistics. Version 3.02a. Natural History Museum, University of Oslo. [consultado 17 Feb 2015]. Disponible en: http://folk.uio.no/ohammer/past
C.J. Krebs. Ecological methodology. 2a ed.. San Francisco: Benjamin Cummings; 1998.
A. Luis-Martínez, J. Llorente-Bousquets, A.D. Warren, I. Vargas-Fernández. Lepidópteros: Papilionoideos y Hesperioideos. Biodiversidad de Oaxaca. México, D.F: Instituto de Biología, UNAM, Fondo Oaxaqueño para la Conservación de la Naturaleza, World Wildlife Fundation; 2004. 335p
A.E. Magurran. Measuring biological diversity. Oxford: Blackwell Publishing; 2004.
M. Martínez-Ramos, X. García-Orth. Sucesión ecológica y restauración de las selvas húmedas. Boletín de la Sociedad Botánica de México. 2007; 80:69p
B.S. Martoff. Territoriality in the green frog, Rana clamitans. Ecology. 1963; 34:165p
R.A. Medellín, H.T. Arita, O. Sánchez. Identificación de los murciélagos de México, clave de campo. 2a ed.. México, D.F: Instituto de Ecología, Universidad Nacional Autónoma de México; 2007.
R.A. Medellín, M. Equihua. Mammal species richness and habitat use in rainforest and abandoned agricultural fields in Chiapas, Mexico. Journal of Applied Ecology. 1998; 35:13p
R.A. Medellín, M. Equihua, M.A. Amin. Bat diversity and abundance as indicators of disturbance in Neotropical rainforest. Conservation Biology. 2000; 14:1666p
P. Moguel, V.M. Toledo. El café en México, ecología, cultura indígena y sustentabilidad. Ciencias. 1996; 43:40p
P. Moguel, V.M. Toledo. Biodiversity conservation in traditional coffee systems of Mexico. Conservation Biology. 1999; 13:1p
J. Monge. Estructura poblacional y actividad reproductiva de la rata de campo (Sigmodon hirsutus) durante un ciclo de producción de maní (Arachis hypogaea) en Costa Rica. Agronomía Costarricense. 2008; 32:161p
A.G. Navarro, E.A. García-Trejo, A.T. Peterson, V. Rodríguez-Contreras. Aves. Biodiversidad de Oaxaca. México, D.F: Instituto de Biología, UNAM, Fondo Oaxaqueño para la Conservación de la Naturaleza, World Wildlife Fundation; 2004. 391p
C. Numa, J.R. Verdú, P. Sánchez-Palomino. Phyllostomid bat diversity in a variegated coffee landscape. Biological Conservation. 2005; 122:151p
T.D. Pennington, J. Sarukhán. Manual para la identificación de campo de los principales árboles tropicales de México. México, D.F: Instituto Nacional de Investigaciones Forestales; Secretaría de Agricultura y Ganadería, México; Organización de las Naciones Unidas para la Agricultura y la Alimentación; 2005.
E. Pineda, C. Moreno, F. Escobar, G. Halffter. Frog, bat and dung beetle diversity in the cloud forest and coffee agroecosystems of Veracruz, Mexico. Conservation Biology. 2005; 19:400p
Pisces Conservation Ltd. (2002). Species diversity and richness. Version 3.02. [consultado 10 Feb 2015] Disponible en: http://pisces-conservation.com
J. Ramírez-Pulido, N. González-Ruiz, A.L. Gardner, J. Arroyo-Cabrales. List of recent land mammals of Mexico, 2014. Special Publications Museum of Texas Tech University. 2014; 63:1p
B.J. Rathcke, E.S. Jules. Habitat fragmentation and plant-pollinator interactions. Current Science. 1993; 65:273p
M.L. Romero-Almaraz, C. Sánchez-Hernández, C. García-Estrada, R.D. Owen. Mamíferos pequeños. Manual de técnicas de captura, preparación, preservación y estudio. 2a ed.. México, D.F: Universidad Nacional Autónoma de México; 2007.
N. Sánchez-Casas, T. Álvarez. Palinofagía de los murciélagos del género Glossophaga (Mammalia: Chiroptera) en México. Acta Zoológica Mexicana (nueva serie). 2000; 81:23p
V. Sánchez-Cordero. Elevation gradients of diversity for rodents and bats in Oaxaca, Mexico. Global Ecology and Biogeography. 2001; 10:63p
V. Sánchez-Cordero, P. Illoldi-Rangel, M. Linaje, S. Sarkar, A. Townsend-Peterson. Deforestation and extant distributions of Mexican endemic mammals. Biological Conservation. 2005; 126:465p
C. Sánchez-Hernández, M.L. Romero-Almaraz. Mastofauna silvestre del área de reserva Sierra de Huautla (con énfasis en la región noreste). Cuernavaca: Universidad Autónoma del Estado de Morelos; 1995.
E.V. Sánchez-Rodríguez, L. López-Mata, E. García-Moya, R. Cuevas-Guzmán. Estructura, composición florística y diversidad de especies leñosas de un bosque mesófilo de montaña en la Sierra de Manantlán, Jalisco. Boletín de la Sociedad Botánica de México. 2003; 73:17p
G. Sánchez-Rojas, V. Sánchez-Cordero, M. Briones. Effect of plant species, fruit diversity and habitat on post-dispersal fruit and seed removal by spiny pocket mice (Liomys pictus, Heteromyidae) in tropical dry forest. Studies of Neotropical Fauna and Environment. 2004; 39:1p
D.J. Schmidly, R.D. Bradley, P.S. Cato. Morphometric differentiation and taxonomy of three chromosomally characterized groups of Peromyscus boylii from East-central Mexico. Journal of Mammalogy. 1988; 69:462p
M.D. Schulze, N.E. Seavy, D.F. Whitacre. A comparison of phyllostomid bat assemblages in undisturbed Neotropical forest and in forest fragments of a slash-and burn farming mosaic in Petén, Guatemala. Biotropica. 2000; 32:174p
Semarnat (Secretaría de Medio Ambiente y Recursos Naturales). (2010). Norma Oficial Mexicana NOM-059-ECOL-2010, Protección ambiental-Especies nativas de México de flora y fauna silvestre-Categorías de riesgo y especificaciones para su inclusión, exclusión o cambio-Lista de especies en riesgo. Diario Oficial de la Federación. 30 de diciembre de 2010, Segunda Sección. México.
V.J. Sosa, E. Hernández-Salazar, D. Hernández-Conrique, A.A. Castro-Luna. Mamíferos pequeños y medianos. Agroecosistemas cafetaleros de Veracruz: biodiversidad, manejo y conservación. México, D.F: Instituto de Ecología, Instituto Nacional de Ecología; 2008. 181p
M.A. Soto-Arenas, G.A. Salazar. Orquídeas. Biodiversidad de Oaxaca. México. D.F: Instituto de Biología, UNAM, Fondo Oaxaqueño para la Conservación de la Naturaleza, World Wildlife Fundation; 2004. 271p
E.B. Sperr, L.A. Caballero-Martínez, R.A. Medellín, M. Tschapka. Seasonal changes in species composition, resource use and reproductive patterns within a guild of nectar-feeding bats in a West Mexican dry forest. Journal of Tropical Ecology. 2011; 27:133p
StatSoft, Inc., (2003). STATISTICA (data analysis software system). Version 6. [consultado 20 Feb 2015]. Disponible en: http://www.statsoft.com
J. Thiollay. The role of tradition agroforest in the conservation of rain forest bird diversity in Sumatra. Conservation Biology. 1994; 5:335p
R. Torres-Colín. Tipos de vegetación. Biodiversidad de Oaxaca. México. D.F: Instituto de Biología, UNAM, Fondo Oaxaqueño para la Conservación de La Naturaleza, World Wildlife Fundation; 2004. 105p
I. Trejo. Clima. Biodiversidad de Oaxaca. México. D.F: Instituto de Biología, UNAM, Fondo Oaxaqueño para la Conservación de La Naturaleza, World Wildlife Fundation; 2004. 67p
J.A. Vargas-Contreras, R.A. Medellín, G. Escalona-Segura, L. Interián-Sosa. Vegetation complexity and bat-plant dispersal in Calakmul, Mexico. Journal of Natural History. 2009; 43:219p
L.B. Vázquez, R.A. Medellín, G.N. Cameron. Population and community ecology of small rodents in montane forest of Western Mexico. Journal of Mammalogy. 2000; 81:77p
L. Villavicencio-Enríquez, J.I. Valdez-Hernández. Análisis de la estructura arbórea del sistema agroforestal rusticano de café en San Miguel, Veracruz, México. Agrociencia. 2003; 37:413p
R.G. Webb, R.H. Baker. Vertebrados terrestres del suroeste de Oaxaca. Anales del Instituto de Biología, Universidad Nacional Autónoma de México, Serie Zoología. 1969; 40:139p
K. Williams-Guillén, I. Perfecto, J. Vandermeer. Bats limit insects in a Neotropical agroforestry system. Science. 2008; 320:70p
J.I. Zar. Biostatistical analysis. New Jersey: Prentice Hall; 1999.
Notas
Notas de autor
Autor para correspondencia. cgarcia@zicatela.umar.mx