Ecología
Patrones de diversidad de plantas en un gradiente de baja elevación en el Chocó, Colombia, usando especies indicadoras (Rubiaceae)
Patterns of plant diversity in a low elevation gradient in Chocó, Colombia using indicator species (Rubiaceae)
Patrones de diversidad de plantas en un gradiente de baja elevación en el Chocó, Colombia, usando especies indicadoras (Rubiaceae)
Revista mexicana de biodiversidad, vol. 87, núm. 4, 2016
Instituto de Biología
Recepción: 21 Enero 2016
Aprobación: 22 Agosto 2016
Resumen: Rubiaceae es una familia de plantas ampliamente distribuida y diversificada en ambientes tropicales. Este grupo de plantas se ha utilizado para determinar los patrones de diversidad en la región Neotropical. En este trabajo se evaluaron los cambios en la diversidad y la composición de las especies de rubiáceas a través de un gradiente altitudinal (45-100, > 100-200, > 200-300 m snm) en la serranía de Baudó, Chocó, Colombia. Se establecieron 30 parcelas de 400 m2, 10 en cada una de las franjas altitudinales (0.4 ha). En cada parcela, se registró el número de los individuos por especie de Rubiaceae. Se registraron 54 morfoespecies y 21 géneros en total. Psychotria (33.3%), Faramea (28.6%), Coussarea (23.8%) y Palicourea (19%) fueron los géneros más ricos en especies. La franja altitudinal con más especies fue 45-100 m (57.4%), seguido de > 100-200 m (51.8%) y > 200-300 m (26%). Las franjas altitudinales inferiores (45-100 y > 100-200 m) mostraron mayor diversidad que la franja más alta (> 200-300 m). La similitud florística entre las comunidades fue inferior al 60%. En general, la diversidad de plantas disminuye con la altitud y la composición de especies cambia a través de gradientes de alta o baja elevación.
Palabras clave: Alto Baudó, Biodiversidad, Pacífico colombiano, Palicourea, Psychotria.
Abstract: Rubiaceae is a plant family widely distributed and diversified in tropical environments. This group of plants has been used to determine patterns of diversity in the Neotropical region. Here, the changes in the diversity and the species composition of the Rubiaceae family across an altutudinal gradient (45-100, > 100-200, > 200-300 m) in the serranía de Baudó, Chocó, Colombia were evaluated. We established 30 plots of 400 m2, 10 in each of the elevational zones (0.4 ha). In each plot, the number individuals per specie of Rubiaceae was recorded. In total, 54 morphospecies and 21 genera were recorded. Psychotria (33.3%), Faramea (28.6%), Coussarea (23.8%) and Palicourea (19%) were the most species-rich genera. The altitudinal zone with more species was 45-100 m (57.4%), followed by > 100-200 m (51.8%) and > 200-300 m (26%). The lower altitudinal zones (45-100 and > 100-200 m) showed greater diversity than the highest elevation zone (> 200-300 m). The floristic similarity among communities was less than 60%. In overall, plant diversity decreases with elevation and changes in species composition occur across gradients of high or low elevation.
Keywords: Alto Baudó, Biodiversity, Colombian Pacific, Palicourea, Psychotria.
Introducción
Rubiaceae es una familia de angiospermas (plantas con flores) con distribución principalmente en ambientes tropicales y subtropicales (Mendoza, Ramírez y Jiménez, 2004). Esta familia presenta cerca de 13,548 especies (The Plant List, 2010), de las cuales, en Colombia se registran 1,111 especies (1,095 nativas), principalmente en los bosques andinos, amazónicos y del Chocó biogeográfico (Bernal, Gradstein y Celis, 2015; Mendoza et al., 2004). La amplia diversificación y distribución de este grupo de plantas ha permitido su uso para determinar patrones de diversidad a diferentes escalas (alfa, beta y gamma) (Mendoza-Cifuentes, 2012; Mendoza et al., 2004; Terán, 2006; Villareal et al., 2006). Los inventarios de Rubiaceae realizados en diferentes localidades de varios países (Colombia y Bolivia) revelan que la riqueza y la diversidad de especies disminuye con la elevación y que la composición de las comunidades cambia con la amplitud del gradiente (Mendoza-Cifuentes, 2012; Mendoza et al., 2004; Terán, 2006). Estos patrones de diversidad también los presentan otros grupos de plantas como melastomatáceas y el gremio de los árboles (Mendoza-Cifuentes, 2012; Mendoza et al., 2004) y parecen ser generalizados en bosques montanos neotropicales (Gentry, 1995).
Las rubiáceas son útiles para determinar patrones de diversidad en bosques neotropicales, pero los datos obtenidos para plantear las anteriores tendencias provienen principalmente de bosques andinos ubicados por encima de los 400 m de elevación (Gentry, 1986; Mendoza-Cifuentes, 2012; Mendoza et al., 2004; Terán, 2006), desconociendo si los patrones de diversidad determinados por esta familia se manifestarán en otras regiones ricas en especies pero localizadas a una elevación menor (< 400 m snm).
El Chocó biogeográfico colombiano es una de las regiones más biodiversas del mundo (Gentry, 1986), donde la familia Rubiaceae es el grupo de espermatofitos más diversificado con 370 especies, de las cuales, 365 son nativas de Colombia (Bernal et al., 2015; Mosquera, Robledo y Asprilla, 2007; Rangel y Rivera-Díaz, 2004). El paisaje de esta región está dominado por llanuras aluviales y colinas de baja altura (Poveda, Rojas, Rudas y Rangel, 2004) que brindan un escenario para evaluar si los patrones de diversidad determinados por las rubiáceas en ambientes montanos son diferentes a aquellos presentes en sistemas de baja elevación.
El objetivo del presente trabajo fue analizar cómo cambia la diversidad y la composición de especies de la familia Rubiaceae a lo largo de un gradiente de elevación por debajo de 400 m en la serranía del Baudó, Chocó, Colombia, y si el patrón identificado en la serranía del Baudó difiere al descrito en otros sistemas montanos de mayor altitud.
Materiales y métodos
La serranía del Baudó es una formación montañosa en el Pacífico colombiano que se separa de la Cordillera (Occidental) de los Andes por el valle del río Atrato en el departamento del Chocó, Colombia. Se extiende desde el sur del departamento del Chocó, donde es bordeada por el río Baudó, hacia el norte terminando cerca al golfo de San Miguel en Panamá, donde es llamada serranía del Sapo. Su altura máxima es alcanzada en el Alto del Buey (1,845 m snm) donde nace el río Baudó. Geológicamente, la serranía del Baudó se formó durante el Cretácico tardío y el Paleoceno tras compactar volcanes oceánicos cuando la Placa de Nazca fue empujada hacia el oeste por la Placa Sudamericana (Macia, 1985). La serranía del Baudó constituye una de las subregiones menos exploradas biológicamente en el Chocó biogeográfico y se caracteriza por un clima húmedo-muy húmedo y llanuras aluviales (0-50 m snm), piedemontes (50-100 m snm), colinas bajas (100-200 m snm), colinas medias (200-500 m snm) y colinas altas (500-1,000 m snm) (Poveda et al., 2004). Con excepción del Alto del Buey, en el Chocó biogeográfico, las alturas superiores a los 1,000 m (unidad subandino cordillerano) se encuentran en el costado oeste de la Cordillera Occidental (Poveda et al., 2004).
El estudio se realizó concretamente en inmediaciones de los corregimientos de Yucal, Chachajo y Pascuitas (municipio del Alto Baudó), correspondientes a unidades de paisaje de aluvial-piedemonte, colinas bajas y colinas medias, respectivamente (fig. 1). En el municipio del Alto Baudó la precipitación es de 5,909-8,494 mm anuales, la temperatura de 23.28 °C y la humedad relativa supera el 80% (Poveda et al., 2004).

Las especies de Rubiaceae presentan hojas simples, opuestas o verticiladas, con venación pinnada, margen entero y estípulas interpeciolares, persistentes o caducas. Flores generalmente hermafroditas, solitarias o en inflorescencia; corola tubular con 4-6 lóbulos terminales, 4-6 estambres unidos a los pétalos y pistilos generalmente con 2 carpelos, ovario ínfero. Frutos secos y capsulares o carnosos como bayas o drupas (Gentry, 1996).
Algunos atributos que hacen de Rubiaceae un grupo indicador de patrones de diversidad en bosques tropicales son: 1) alta riqueza de especies en variedad de ecosistemas (cerca de 5,000 especies coexisten en bosques del neotrópico), siendo una de las familias más diversificadas en montañas y tierras bajas de Colombia (Bernal et al., 2015; Mendoza-Cifuentes, 2012; Mendoza et al., 2004); 2) alto endemismo o distribución restringida a ciertos ambientes (cerca del 59% de las especies de montaña presentan distribución restringida; Anderson, 1995); 3) Pocos géneros ampliamente diversificados o con pocas especies; 4) son hierbas, arbustos o árboles pequeños fáciles de reconocer taxonómicamente en campo (Mendoza-Cifuentes, 2012).
Los muestreos de vegetación se realizaron entre marzo de 2004 y junio de 2005, para ello se establecieron 30 transectos de 5 × 80 m (400 m2), 10 en cada franja altitudinal (0.4 ha): 45-100 m snm (aluvial-piedemonte en Yucal), > 100-200 (colinas bajas en Chachajo) y > 200-300 (colinas medias en Pascuita). La posición de los transectos en cada franja altitudinal se hizo considerando una distancia de separación aproximada de 20 m (Villareal et al., 2006). En cada transecto se recolectaron todas las morfoespecies de la familia Rubiaceae, cuantificando el número total de individuos y su hábito de crecimiento (hierba, arbusto, árbol). El material vegetal recolectado fue identificado hasta especie usando literatura especializada (Gentry, 1996; Mendoza et al., 2004), por confrontación con los ejemplares de los herbarios CHOCÓ (Universidad Tecnológica del Chocó), COL (Universidad Nacional de Colombia) (http://www.biovirtual.unal.edu.co/ICN/), Missouri Botanical Garden (http://www.tropicos.org; Tropicos, 2015) y New York Botanical Garden (http://www.nybg.org/); y gracias a la colaboración de especialistas en la flora colombiana y del Chocó biogeográfico. La validez de los nombres científicos para cada una de las especies identificadas se comprobó en las bases de datos especializadas: Trópicos (http://www.tropicos.org) y The plant list (http://www.theplantlist.org). Todas las muestras recolectadas se encuentran depositadas en el Herbario CHOCÓ y su clasificación se basa en los trabajos del grupo de filogenética de angiospermas (APG III) (APG III, 2009; Chase y Reveal, 2009; Haston, Richardson, Stevens, Chase y Harris, 2009).
Análisis de los datos
A partir de los inventarios de vegetación realizados en cada franja altitudinal, se estimó la riqueza de especies mediante el empleo de los estimadores de riqueza Chao1 y ACE (Colwell, 2013). Posteriormente, se calcularon los índices de diversidad de Shannon e inverso del índice de dominancia de Simpson (Colwell, 2013), así como el índice de equitatividad de Pielou (Colwell, 2013; Villareal et al., 2006). El peso ecológico de las especie en cada franja altitudinal fue calculado con el Índice de Valor de Importancia Ecológica Simplificado (IVIs) (Ramírez, 2006). Este índice se estimó, para cada especie, sumando la densidad o abundancia relativa de cada especie (densidad absoluta de la especie dividida por la suma de las densidades absolutas de todas las especies) con la frecuencia relativa de cada especie (frecuencia absoluta de la especie dividida entre la sumatoria de todas las frecuencias absolutas de las especies): (IVIs = [densidad relativa + frecuencia relativa]). La densidad o abundancia absoluta para cada especie se calculó como la suma de todos los individuos de una especie encontrados y la frecuencia absoluta se calculó como la suma del número de parcelas de cada sistema donde se halló la especie (Ramírez, 2006; Villareal et al., 2006).
Se evaluaron con la prueba Chi-cuadrada las diferencias estadísticas en la densidad de individuos, número de especies y de géneros entre franjas altitudinales. Con el fin de observar diferencias en la composición florística de las franjas altitudinales y explorar gradientes subyacentes de la relación entre las diferentes elevaciones y las variables estructurales de la vegetación en ellas, se realizó un análisis de correspondencia canónica (ACC) usando 2 matrices, una con datos de abundancia de individuos para cada especie (matriz especies) y otra con datos de abundancia, riqueza, diversidad y elevación (matriz ecológica-ambiental). Ambas matrices tenían como factor de clasificación los 30 transectos muestreados a lo largo del gradiente. Adicionalmente, para estimar el grado de similitud florística entre las franjas altitudinales se calcularon los índices de diversidad beta de Jaccard (ecuación 1) y Sonrensen (ecuación 2) y sus estimadores probabilísticos (Chao-Ĵabd y Chao-Ŝabd, respectivamente) propuestos por Chao, Chazdon, Colwell y Shen (2005):
Chao - Jabd = UV/(U + V - UV) (1)
Chao - Sabd = 2UV/(U + V) (2)
Donde U y V representan las abundancias totales de la especies compartidas en los inventarios o ensamblajes 1 y 2, respectivamente. Valores cercanos a 1 indican composiciones idénticas mientras que valores cercanos a 0 indican falta de similitud. Una descripción detallada de las ecuaciones de los estimadores para los índices aquí descritos puede verse en Chao et al. (2005).
Para la estimación de la riqueza y los índices de diversidad se usó el programa Estimates versión 9 (Colwell, 2013). El ACC se realizó con el programa CANOCO versión 4.5 (ter Braak y Šmilauer, 2002), empleando las opciones fijadas por defecto. Todas las pruebas estadísticas se realizaron en el entorno de programación R (R Core Team, 2012).
Resultados
Se registraron 54 especies o morfoespecies de 21 géneros en los 30 transectos de 400 m2 (1.2 ha en total), siendo Psychotria (33.3%), Faramea (28.6%), Coussarea (23.8%) y Palicourea (19%) los géneros más ricos en especies (anexo 1). Las franjas altitudinales variaron significativamente en número de individuos y especies (Chi-cuadrada: individuos χ2 = 78.7, p < 0.0001, especies χ2 = 6.7, p = 0.03), pero no en número de géneros (χ2 = 2.1, p = 0.3). La franja altitudinal con mayor densidad de individuos y riqueza taxonómica (número de géneros y especies) fue la de 45-100 m (unidad aluvial-piedemonte) con 215 individuos (52.6%), 31 especies (57.4%) y 16 géneros (76.2%); seguida por > 100-200 (colinas bajas) con 124 individuos (30.3%), 28 especies (51.8%) y 15 géneros (71.4%) y > 200-300 (colinas medias) con 70 individuos (17.1%), 14 especies (26%) y 9 géneros (42.8%) (anexo 1).
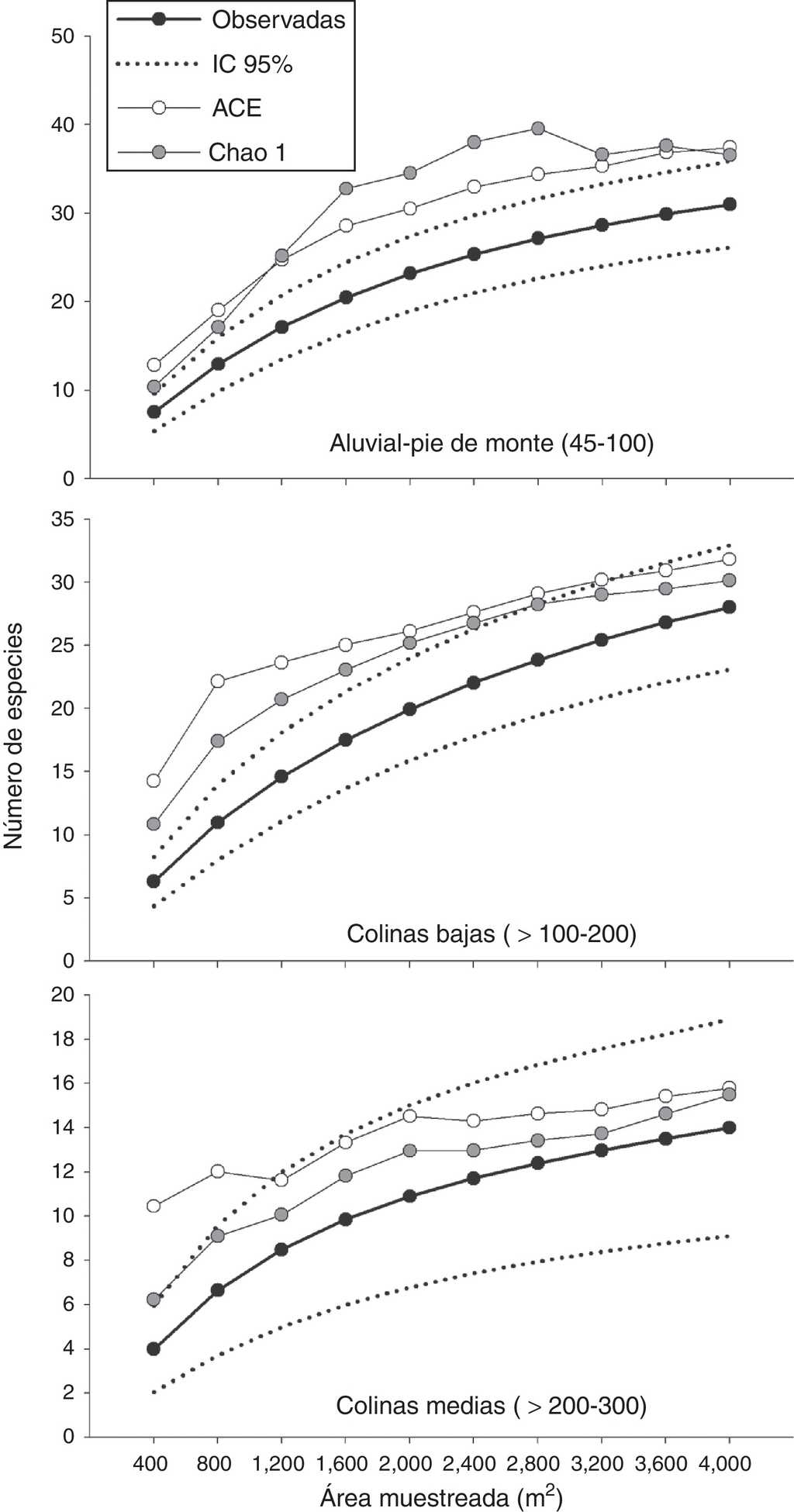
Las curvas de acumulación de especies indicaron que el esfuerzo de muestreo fue significativo para registrar la riqueza de especies de Rubiaceae en cada franja altitudinal (porcentaje de especies observadas a partir de lo predicho por los estimadores; 45-100: Chao = 84.7%, ACE = 82.8%; > 100-200: Chao = 93%, ACE = 88%; > 200-300: Chao = 90.3%, ACE = 88.6%), no obstante, revelaron una mayor probabilidad de incrementos en la riqueza de especies en la franja 45-100 (promedio ± desviación típica: Chao1 = 36.6 ± 5.3, ACE = 37.4 ± 0.0) que en > 100-200 (Chao1 = 30.1 ± 2.5, ACE = 31.8 ± 0.0) o > 200-300 (Chao1 = 15.5 ± 2.6, ACE = 15.8 ± 0.0) (fig. 2).

Los valores de diversidad fueron mayores en las franjas altitudinales más bajas (45-100 y > 100-200 m snm) que en las más altas (> 200-300 m snm) (fig. 3). Por su parte, la equitatividad fue alta y no varió sustancialmente entre las franjas altitudinales (45-100 = 0.85, > 100-200 = 0.88, > 200-300 = 0.89).

La importancia ecológica promedio (IVIs por especie) de las especies varió entre franjas altitudinales (Kruskal-Wallis, χ2 = 9.6, gl = 2, p = 0.008), siendo mayor en las franjas más altas que en las más bajas (promedio ± 1 error típico: 45-100 = 6.5 ± 1.0, n = 31 especies; > 100-200 = 7.1 ± 1.2, n = 28 especies; > 200-300 = 14.3 ± 2.8, n = 14 especies; anexo 1). Sin embargo, el IVIs varió entre especies dentro y entre franjas altitudinales (anexo 1). En términos generales, las especies con mayor IVIs fueron Psychotria capitata, Coussarea garciae, Hippotis albiflora, Posoqueria sp. 1 y P. sulcata (anexo 1).
El análisis multivariante tipo ACC (fig. 4), mostró claras diferencias en la composición florística entre las franjas altitudinales. Al respecto, las parcelas entre > 100-200 y > 200-300 m snm, se ubicaron en el extremo superior izquierdo del primer eje del ACC, claramente separadas de las parcelas inventariadas a 45-100 m snm, que se agrupan en el extremo opuesto del gradiente donde se relacionaron con mayores valores de abundancia, riqueza y diversidad de especies. De manera complementaria, el análisis de similitud corrobora los resultados aportados por el ACC. Es decir, también muestra cómo la similitud florística entre las comunidades de las diferentes franjas es muy baja, especialmente entre comunidades ubicadas en las franjas altitudinales más altas (tabla 1).

| Ensamblaje 1 | Ensamblaje 2 | Número de especies | Índices de similitud y estimadores | |||||
|---|---|---|---|---|---|---|---|---|
| Total | Comunes | % | Chao-J | Chao-Jest | Chao-S | Chao-Sest | ||
| Aluvial-piedemonte (0.4 ha) | Colinas bajas (0.4 ha) | 50 | 9 | 18 | 0.19 | 0.20 | 0.32 | 0.33 |
| Aluvial-piedemonte (0.4 ha) | Colinas medias (0.4 ha) | 36 | 9 | 25 | 0.35 | 0.42 | 0.51 | 0.59 |
| Colinas bajas (0.4 ha) | Colinas medias (0.4 ha) | 37 | 5 | 13.5 | 0.11 | 0.11 | 0.20 | 0.20 |
Fitosociológicamente, la franja ubicada a 45-100 m snm es dominada por especies como Palicourea leuconeura, P. capitata, Pentagonia wendlandii, P. poeppigiana y H. albiflora, mientras que la franja > 100-200 es caracterizada por P. sulcata, Coussarea latifolia, Rudgea hostmanniana, Psychotria sp. 4 y C. garciae. Por su parte, la franja > 200-300, está representada por Posoqueria sp. 1 y Notopleura macrophylla, pero también por 2 especies muy abundantes en la franjas más bajas, P. capitata en 45-100 y C. garciae en > 100-200 (anexo 1).
Discusión
En la serranía del Baudó, en una franja altitudinal entre 45 y 300 m snm, se registraron 54 especies y 21 géneros de la familia Rubiaceae, siendo Psychotria, Faramea, Coussarea y Palicourea los géneros más ricos en especies. Esta situación es esperada ya que los géneros Psychotria, Faramea y Palicourea se encuentran dentro de los grupos más representativos al realizar inventarios florísticos a escala local (Alto Baudó) (Mosquera et al., 2007) y regional en el Chocó biogeográfico colombiano (Bernal et al., 2015; Rangel y Rivera-Díaz, 2004; Poveda et al., 2004).
La riqueza de especies de rubiáceas encontrada en la serranía del Baudó equivale al 15.8% de la registrada para el Chocó biogeográfico (342 especies) (Rangel y Rivera-Díaz, 2004; Rangel et al., 2004) y al 4.86% de la registrada para Colombia (1,111 especies) (Bernal et al., 2015).
En este estudio se registraron en promedio 24 ± 1.5 especies por unidad de área (0.4 ha), en un gradiente altitudinal entre 45 y 300 m snm. Al comparar estos datos con aquellos obtenidos en otras localidades de la serranía del Baudó (Pie de Pató y Nauca) (38 especies en 0.2 ha a 57 m snm) (Mosquera et al., 2007) y varias localidades andinas de Colombia (18.0 ± 1.4 especies en 0.4 ha a 1,000-3,100 m snm) (Mendoza-Cifuentes, 2012) y Bolivia (18 especies en 0.4 a 2,000-2,500 m snm) (Terán, 2006), queda claro que la riqueza de rubiáceas (por unidad de área) es alta en la serranía del Baudó con relación a otras regiones neotropicales (Rangel y Rivera-Díaz, 2004). Una posible explicación a este hecho puede estar en la alta heterogeneidad de hábitat que genera la elevación de la serranía del Baudó en medio de planicies aluviales, las condiciones climáticas (temperatura, humedad relativa y precipitación) no estacionales, características del Chocó (Poveda et al., 2004) y a que la región históricamente ha sido un corredor donde convergen las floras de Norte y Suramérica. La interacción de todos estos factores ha propiciado un escenario para la alta diversificación de especies vegetales en el área de estudio (Antonelli y Sanmartín, 2011; Gentry, 1986; Givnish, 1999).
Los datos anteriores, además de indicar alta riqueza de especies de rubiáceas en la serranía del Baudó, también sugieren que la riqueza de especies vegetales decrece con la elevación, lo cual es un patrón en bosques montanos neotropicales por encima de los 400 m, bien sea al analizar grupos específicos como Rubiaceae y Melastomataceae (1,000-3,100 m; Mendoza-Cifuentes, 2012; 400-2,500 m; Terán, 2006), o la flora general con diámetro a la altura del pecho ≥ 2.5 cm (Gentry, 1986), pero, ¿ocurre esto en bosques de colinas por debajo de los 400 m de elevación? Al respecto, en la serranía del Baudó, la franja altitudinal más baja (45-100 ) presenta más riqueza y diversidad de especies de rubiáceas que las 2 más altas (> 100-200 y > 200-300 m), patrón que se ha observado en otros grupos de plantas ampliamente diversificados en el Chocó biogeográfico (Rangel y Rivera-Díaz, 2004), corroborando así que la riqueza y la diversidad de especies, no solo disminuyen con la elevación en bosques montanos por encima de los 400 m, sino que este patrón se repite en serranías de baja elevación aisladas de la Cordillera de los Andes.
La similitud florística entre franjas altitudinales fue inferior al 60% (tabla 1), revelando que la composición de especies cambia con la elevación. Este mismo patrón se ha documentado en otras regiones neotropicales por encima de los 400 m, donde las comunidades de rubiáceas experimentan mayor reemplazo de especies a medida que incrementa la elevación (Mendoza-Cifuentes, 2012).
En sistemas tropicales de montaña, la elevación se asocia a gradientes ambientales complejos que determinan las comunidades vegetales que allí existen, pues con la altitud ocurren cambios en factores abióticos (viento, nubosidad, temperatura, topografía, fertilidad del suelo, etc.) y bióticos (polinizadores, dispersores, herbívoros, parásitos, etc.) que influencian la reproducción y desarrollo de ciertos grupos de plantas a lo largo del gradiente (Antonelli y Sanmartín, 2011; Givnish, 1999; Mendoza-Cifuentes, 2012). Por ejemplo, zonas con pendientes pronunciadas, comunes a alta elevación, son más propensas a deslizamientos de tierra y presentan suelos menos profundos y fértiles (Givnish, 1999; Mazzola, Kin, Morici, Babinec y Tamborini, 2008; Osman, 2013). Ello podría facilitar la prevalencia de algunos grupos específicos de plantas en esos sitios, y por tanto, determinar diferencias en la composición florística entre comunidades de zonas de alta y de baja elevación (Givnish, 1999).
En conclusión, la diversidad de especies vegetales, usando la familia Rubiaceae como grupo indicador, disminuye conforme aumenta la elevación y la composición de las comunidades cambia drásticamente a lo largo del gradiente altitudinal. Estos patrones de diversidad no son únicos de ambientes montanos por encima de los 400 m snm, sino que también se mantienen en serranías de baja altitud (< 400 m snm), como la del Baudó que se encuentra aislada de la Cordillera de los Andes.
Agradecimientos
A la comunidad del Alto Baudó, especialmente a los habitantes de los corregimientos Yucal, Chachajo y Pascuitas por su hospitalidad. Este trabajo fue financiado por la Universidad Tecnológica del Chocó.
Referencias
Anderson, 1995 Anderson L. Diversity and origins of Andean Rubiaceae. En S. Churchil, H. Baslev, E. Forero, y J. Luteyn (Eds.), Diversity and conservation of neotropical montane forests. Nueva York: The New York Botanical Garden; 1995. 441-50
Antonelli y Sanmartín, 2011 Antonelli A, Sanmartín I. Why are there so many plant species in the Neotropics?. Taxon. 2011; 60:403-14
APG III, 2009 APG III. An update of the angiosperm phylogeny group classification for the order and families of flowering plants: APG III. Botanical Journal of the Linnean Society. 2009; 161:105-21
Bernal et al., 2015 Bernal R, Gradstein S.R, Celis M. Catálogo de plantas y líquenes de Colombia. Bogotá: Instituto de Ciencias Naturales, Universidad Nacional de Colombia; 2015. Recuperado 20 Jun 2015 de http://catalogoplantasdecolombia.unal.edu.co.
Chao et al., 2005 Chao A, Chazdon R, Colwell R.K, Shen T.J. A new statistical approach for assessing similarity of species composition with incidence and abundance data. Ecology Letters. 2005; 8:148-59
Chase y Reveal, 2009 Chase M.W, Reveal J.L. A phylogenetic classification of the land plant to accompany APG III. Botanical Journal of the Linnean Society. 2009; 161:122-7
Colwell, 2013 Colwell, R.K. (2013). Estimates: statistical estimation of species richness and shared species from samples, Version 9. Recuperado 20 Jun 2015 de http://purl.oclc.org/estimates
Gentry, 1986 Gentry A.H. Species richness and floristic composition or Chocó region plant communities. Caldasia. 1986; 15:71-5
Gentry, 1995 Gentry, A.H. (1995). Patterns of diversity and floristic composition in Neotropical montane forests. En S. P. Churchill, H. Balslev, E. Forero, y J. L. Luteyn (Eds.), Biodiversity and conservation of Neotropical montane forests. Neotropical Montane Forest Biodiversity and Conservation Symposium I. 21-26 Jun, 1993. New York: New York Botanical Garden.
Gentry, 1996 Gentry A.H. A field guide to the families and genera of woody plants of North West South America: (Colombia, Ecuador, Perú): with supplementary notes on herbaceous taxa. Washington D.C: Conservation International; 1996.
Givnish, 1999 Givnish T.J. On the causes of gradients in tropical tree diversity. Journal of Ecology. 1999; 87:193-210
Haston et al., 2009 Haston E, Richardson J.E, Stevens P.F, Chase M.W, Harris D.J. The linear angiosperm phylogeny group (LAPG) III: a linear sequence of the families in APG III. Botanical Journal of the Linnean Society. 2009; 161:128-31
Macia, 1985 Macia S. Características petrográficas y geoquímicas de rocas basálticas de la Península de Cabo Corrientes (serranía de Baudó), Colombia. Geología Colombiana. 1985; 14:25-38
Mazzola et al., 2008 Mazzola M.B, Kin A.G, Morici E.F, Babinec F.J, Tamborini G. Efecto del gradiente altitudinal sobre la vegetación de las sierras de Lihue Calel (La Pampa, Argentina). Boletín de la Sociedad Argentina de Botánica. 2008; 43:103-9
Mendoza et al., 2004 Mendoza H, Ramírez B, Jiménez L.C. Rubiaceae de Colombia, guía ilustrada de géneros. Bogotá: Instituto de Investigación de Recursos Biológicos Alexander von Humboldt; 2004.
Mendoza-Cifuentes, 2012 Mendoza-Cifuentes H. Patrones de riqueza específica de las familias Melastomataceae y Rubiaceae en la Cordillera Oriental, Colombia, Norte de los Andes y consideraciones para la conservación. Colombia Forestal. 2012; 15:5-54
Mosquera et al., 2007 Mosquera L.J, Robledo D, Asprilla A. Diversidad florística de 2 zonas de bosque tropical húmedo en el municipio de Alto Baudó, Chocó-Colombia. Acta Biológica Colombiana. 2007; 12:75-90
Osman, 2013 Osman K.T. Forest soils: properties and management. New York: Springer; 2013.
Poveda et al., 2004 Poveda C, Rojas C.A, Rudas A, Rangel J.O. El Chocó biogeográfico: ambiente físico. En J. O. Rangel (Ed.), Colombia diversidad biótica IV, El Chocó biogeográfico/Costa Pacífica. Bogotá: Universidad Nacional de Colombia-Conservación Internacional; 2004. 1-22
R Core Team, 2012 R Core Team. (2012). R: A language and environment for statistical computing. Vienna, Austria: R Foundation for Statistical Computing. Recuperado 20 Jun 2015 de http://www.R-project.org/.
Ramírez, 2006 Ramírez A. Ecología, métodos de muestreo y análisis de poblaciones y comunidades. Bogotá: Pontificia Universidad Javeriana; 2006.
Rangel y Rivera-Díaz, 2004 Rangel J.O, Rivera-Díaz O. Diversidad y riqueza de espermatofitos en el Chocó biogeográfico. En J. O. Rangel (Ed.), Colombia diversidad biótica IV, El Chocó biogeográfico/Costa Pacífica. Bogotá: Universidad Nacional de Colombia-Conservación Internacional; 2004. 83-104
Rangel et al., 2004 Rangel J.O, Rivera-Díaz O, Giraldo-Cañas D, Parra C, Murillo J.C, Gil I, et al. Catálogo de espermatofitos en el Chocó biogeográfico. En J. O. Rangel (Ed.), Colombia diversidad biótica IV, El Chocó biogeográfico /Costa Pacífica. Bogotá: Universidad Nacional de Colombia Conservación Internacional; 2004. 105-439
ter Braak y Šmilauer, 2002 ter Braak C.J.F, Šmilauer P. CANOCO Reference manual and CANODRAW for Windows User's Guide version 4.5. Nueva York: Microcomputer Power; 2002.
Terán, 2006 Terán J.J. Diversidad de la familia Rubiaceae en el Parque Nacional Carrasco (Limbo, Palmar y Guacharos). Cochabamba, Bolivia: Facultad de Ciencias y Tecnología, Universidad Mayr de San Simón; 2006. Tesis
The Plant List, 2010 The Plant List. (2010). Version 1. Published on the Internet. Recuperado 20 Jun 2015 de http://www.theplantlist.org/.
Tropicos, 2015 Tropicos. 2015. Tropicos.org. Missouri Botanical Garden [consultado 20 Jun 2015]. Disponible en http://www.tropicos.org.
Villareal et al., 2006 Villareal H, Álvarez M, Córdoba S, Escobar F, Fagua G, Gast F, et al. Manual de métodos para el desarrollo de inventarios de biodiversidad. Bogotá: Instituto de Investigación de Recursos Biológicos Alexander Von Humboldt; 2006.
Anexo 1.
Comunidades de rubiáceas en 3 unidades de paisaje de la serranía del Baudó, Chocó, Colombia. D: densidad; DR: densidad relativa; F: frecuencia; FR: frecuencia relativa; IVIs: índice de valor de importancia simplificado dentro de la comunidad.
| Especies | Unidades de paisaje | ||||||||||||||
|---|---|---|---|---|---|---|---|---|---|---|---|---|---|---|---|
| Yucal (aluvial-piedemonte 45-100 m snm) | Chachajo (colinas bajas > 100-200 m snm) | Pascuita (colinas medias > 200-300) | |||||||||||||
| D | DR | F | FR | IVIs | D | DR | F | FR | IVIs | D | DR | F | FR | IVIs | |
| Alibertia edulis (Rich.) A.Rich. ex DC. | 1 | 0.5 | 0.1 | 1.4 | 1.8 | 3 | 2.4 | 0.1 | 1.6 | 4.0 | |||||
| Appunia tenuiflora (Benth.) B.D.Jacks. | 1 | 0.5 | 0.1 | 1.4 | 1.8 | ||||||||||
| Chimarrhis sp. 1 | 5 | 4.0 | 0.3 | 4.8 | 8.8 | ||||||||||
| Coussarea enneantha Standl. | 3 | 1.4 | 0.2 | 2.7 | 4.1 | 3 | 4.3 | 0.1 | 2.5 | 6.8 | |||||
| Coussarea garciae Standl. | 2 | 0.9 | 0.2 | 2.7 | 3.6 | 5 | 4.0 | 0.4 | 6.3 | 10.4 | 11 | 15.7 | 0.4 | 10 | 25.7 |
| Coussarea latifolia Standl. | 9 | 7.3 | 0.6 | 9.5 | 16.8 | ||||||||||
| Coussarea paniculata (Vahl) Standl. | 1 | 0.8 | 0.1 | 1.6 | 2.4 | ||||||||||
| Coussarea sp. 1 | 4 | 3.2 | 0.2 | 3.2 | 6.4 | ||||||||||
| Cuatrecasasiodendron sp. 1 | 1 | 0.8 | 0.1 | 1.6 | 2.4 | ||||||||||
| Cuatrecasasiodendron sp. 2 | 2 | 1.6 | 0.1 | 1.6 | 3.2 | ||||||||||
| Didymochlamys sp. 1 | 5 | 4.0 | 0.1 | 1.6 | 5.6 | ||||||||||
| Didymochlamys sp. 2 | 7 | 3.3 | 0.3 | 4.1 | 7.3 | ||||||||||
| Faramea calophylla Standl. | 2 | 0.9 | 0.2 | 2.7 | 3.6 | ||||||||||
| Faramea fragrans Standl. | 4 | 3.2 | 0.2 | 3.2 | 6.4 | 2 | 2.9 | 0.1 | 2.5 | 5.4 | |||||
| Faramea sp. 1 | 12 | 5.6 | 0.4 | 5.4 | 11.0 | 2 | 1.6 | 0.1 | 1.6 | 3.2 | |||||
| Faramea sp. 2 | 3 | 1.4 | 0.1 | 1.4 | 2.8 | ||||||||||
| Faramea sp. 3 | 2 | 1.6 | 0.1 | 1.6 | 3.2 | ||||||||||
| Faramea suerrensis (Donn.Sm.) Donn.Sm. | 1 | 0.8 | 0.1 | 1.6 | 2.4 | ||||||||||
| Genipa americana L. | 2 | 0.9 | 0.1 | 1.4 | 2.3 | 3 | 2.4 | 0.2 | 3.2 | 5.6 | 3 | 4.3 | 0.3 | 7.5 | 11.8 |
| Gonzalagunia dicocca Cham. & Schltdl. | 1 | 0.5 | 0.1 | 1.4 | 1.8 | ||||||||||
| Gonzalagunia panamensis (Cav.) K.Schum. | 4 | 1.9 | 0.2 | 2.7 | 4.6 | ||||||||||
| Guettarda sanblasensis Dwyer | 1 | 0.5 | 0.1 | 1.4 | 1.8 | ||||||||||
| Hippotis albiflora H.Karst. | 12 | 5.6 | 0.6 | 8.1 | 13.7 | 4 | 3.2 | 0.3 | 4.8 | 8.0 | 5 | 7.1 | 0.4 | 10 | 17.1 |
| Macrocnemum pastoense H.Karst. | 4 | 1.9 | 0.3 | 4.1 | 5.9 | ||||||||||
| Macrocnemum sp. 1 | 1 | 0.8 | 0.1 | 1.6 | 2.4 | ||||||||||
| Notopleura macrophylla (Ruiz & Pav.) C.M.Taylor | 8 | 11.4 | 0.3 | 7.5 | 18.9 | ||||||||||
| Palicourea crocea (Sw.) Schult. | 3 | 2.4 | 0.2 | 3.2 | 5.6 | ||||||||||
| Palicourea leuconeura Standl. | 39 | 18.2 | 0.8 | 10.8 | 29.0 | ||||||||||
| Palicourea seemannii Standl. | 6 | 4.8 | 0.3 | 4.8 | 9.6 | ||||||||||
| Palicourea sp. 1 | 8 | 3.7 | 0.3 | 4.1 | 7.8 | ||||||||||
| Palicourea sp. 2 | 6 | 4.8 | 0.2 | 3.2 | 8.0 | ||||||||||
| Pentagonia alba Dwyer | 7 | 3.3 | 0.3 | 4.1 | 7.3 | ||||||||||
| Pentagonia sp. 1 | 2 | 1.6 | 0.1 | 1.6 | 3.2 | ||||||||||
| Pentagonia wendlandii Hook.f. | 21 | 9.8 | 0.3 | 1.4 | 13.9 | 1 | 0.8 | 0.1 | 1.6 | 2.4 | 3 | 4.3 | 0.3 | 7.5 | 11.8 |
| Posoqueria latifolia (Rudge) Schult. | 3 | 1.4 | 0.2 | 2.7 | 4.1 | ||||||||||
| Posoqueria sp. 1 | 7 | 3.3 | 0.1 | 1.4 | 4.6 | 12 | 17.1 | 0.6 | 15 | 32.1 | |||||
| Posoqueria sp. 2 | 3 | 4.3 | 0.2 | 5 | 9.3 | ||||||||||
| Posoqueria sp. 3 | 12 | 5.6 | 0.3 | 4.1 | 9.7 | ||||||||||
| Psychotria capitata Ruiz & Pav. | 16 | 7.5 | 0.5 | 6.8 | 14.2 | 12 | 17.1 | 0.7 | 17.5 | 34.6 | |||||
| Psychotria marginata Sw. | 1 | 1.4 | 0.1 | 2.5 | 3.9 | ||||||||||
| Psychotria officinalis (Aubl.) Raeusch. ex Sandwith | 4 | 1.9 | 0.2 | 2.7 | 4.6 | ||||||||||
| Psychotria poeppigiana Müll.Arg. | 21 | 9.8 | 0.3 | 4.1 | 13.9 | 1 | 1.4 | 0.1 | 2.5 | 3.9 | |||||
| Psychotria sp. 1 | 2 | 0.9 | 0.2 | 2.7 | 3.6 | 2 | 1.6 | 0.2 | 3.2 | 4.8 | |||||
| Psychotria sp. 2 | 1 | 0.5 | 0.1 | 1.4 | 1.8 | 1 | 1.4 | 0.1 | 2.5 | 3.9 | |||||
| Psychotria sp. 3 | 1 | 0.5 | 0.1 | 1.4 | 1.8 | ||||||||||
| Psychotria sp. 4 | 7 | 3.3 | 0.3 | 4.1 | 7.3 | 9 | 7.3 | 0.5 | 7.9 | 15.2 | |||||
| Psychotria suerrensis Donn.Sm. | 1 | 0.5 | 0.1 | 1.4 | 1.8 | ||||||||||
| Psychotria sulcata Wall. ex Hook.f. | 27 | 21.8 | 0.6 | 9.5 | 31.3 | ||||||||||
| Randia armata (Sw.) DC. | 3 | 2.4 | 0.2 | 3.2 | 5.6 | ||||||||||
| Randia sp. 1 | 5 | 7.1 | 0.3 | 7.5 | 14.6 | ||||||||||
| Rubiaceae NN1 | 1 | 0.8 | 0.1 | 1.6 | 2.4 | ||||||||||
| Rubiaceae NN2 | 2 | 1.6 | 0.2 | 3.2 | 4.8 | ||||||||||
| Rudgea hostmanniana Benth. | 9 | 4.2 | 0.3 | 4.1 | 8.3 | 10 | 8.1 | 0.5 | 7.9 | 16.0 | |||||
| Warszewiczia sp. 1 | 1 | 0.5 | 0.1 | 1.4 | 1.8 | ||||||||||
| Total | 215 | 100 | 7.5 | 100 | 200 | 124 | 100 | 63 | 100 | 200 | 70 | 100 | 4 | 100 | 200 |

Notas
Notas de autor
* Autor para correspondencia. Correo electrónico: hamlethvalois@gmail.com (H. Valois-Cuesta).