Conservación
Recepción: 06 Septiembre 2019
Aprobación: 10 Enero 2020
DOI: https://doi.org/10.22201/ib.20078706e.2020.91.3190
Financiamiento
Fuente: Consejo Nacional de Ciencia y Tecnología
Nº de contrato: 345721
Financiamiento
Fuente: Instituto de Ecología, A.C.
Nº de contrato: INECOL 20030-10281
Resumen: La Reserva de la Biosfera Los Tuxtlas (RBLT) alberga los últimos remanentes de bosque tropical perennifolio (BTP) y bosque mesófilo de montaña (BMM) en la llanura costera del golfo de México. Sin embargo, en las últimas décadas ha perdido ~ 60% de su cobertura forestal. La información precisa y detallada sobre la dinámica del cambio de uso del suelo es fundamental para implementar planes de manejo/conservación pertinentes a la situación actual y futura de una región. El objetivo del trabajo fue determinar la dinámica reciente de los cambios espacio-temporales del uso del suelo y la cobertura vegetal, con un alto grado de precisión en la RBLT. Se evaluaron 3 imágenes satelitales (2006, 2011 y 2016) mediante fotointerpretación manual a escala fija de 1:5,000. Entre 2006 y 2016, la tasa de deforestación fue de 0.8% anual, siendo la vegetación arbórea de franjas ribereñas la categoría más deforestada (~ 1,300 ha). Se registró una transición de ~ 550 ha de pastizales a cultivos, sugiriendo un cambio de actividad económica en zonas de la reserva. Dada la importancia ecológica de las franjas ribereñas como elemento conector del paisaje, es urgente protegerlas particularmente en la zona de amortiguamiento. Las zonas núcleo han protegido el BTP y el BMM eficientemente.
Palabras clave: Deforestación, Fotointerpretación manual, Vegetación ribereña, Verificación de terreno.
Abstract: The Los Tuxtlas Biosphere Reserve (RBLT in Spanish) harbors one of the last remnants of tropical evergreen forest (BTP) and of cloud forest (BMM) on the coastal plain of the Gulf of Mexico. However, in recent decades it has lost ~ 60% of its cover. Accurate, detailed information on the dynamics of land use change is essential for implementing management and conservation plans relevant to the current and future situations in any region. Our objective was to identify the recent dynamics of spatio-temporal changes in land use and vegetation cover within the RBLT, with a high degree of accuracy. Three satellite images (2006, 2011 and 2016) were evaluated by manual photointerpretation at a fixed scale of 1:5,000. From 2006 to 2016, the deforestation rate was 0.8% per year, and the most deforested category was forested riparian belts (~ 1,300 ha). Close to 550 ha of grasslands were converted into crop-fields, suggesting a change in economic activity in parts of the reserve's buffer zone. Given the ecological importance of the riparian belts as elements that connect the landscape, their protection is particularly urgent in the buffer zone. The core zones have protected BTP and BMM efficiently from deforestation.
Keywords: Deforestation, Manual photointerpretation, Riparian vegetation, Ground truthing.
Introducción
La Reserva de la Biosfera de Los Tuxtlas (RBLT), es considerada como área prioritaria para la conservación de la biodiversidad en Veracruz (Conabio, 2013). La RBLT se encuentra entre las 5 áreas del trópico húmedo con mayor endemismo de árboles en México y contiene cerca de 3 mil especies de plantas, albergando 41% de la riqueza florística del bioma tropical húmedo (Semarnat, 2016; Villaseñor et al., 2018). En cuanto a su fauna, se han reportado 565 especies de aves (40% migratorias de norteamérica), 139 especies de mamíferos, 166 de anfibios y reptiles y 1,117 especies de insectos (Semarnat, 2016). Sin embargo, durante el final de la década de los setenta e inicios de los ochenta, cerca de 40% de la superficie fue deforestada debido principalmente a la expansión de las áreas agrícolas y ganaderas (Guevara et al., 2004). Lo anterior ha resultado en una extensa sobreexplotación de los recursos naturales y en severos cambios negativos del medio ambiente (Dirzo y García, 1992; Galindo-González, 2004; Mendoza et al., 2005; Paré y Lazos, 2008). Originando paisajes altamente modificados o heterogéneos que incluyen: fragmentos de bosque tropical bien conservado, manchones de vegetación perturbada o secundaria (acahuales) y numerosos elementos arbóreos dentro de las zonas agropecuarias, tales como, franjas forestales ribereñas, cercas vivas y árboles aislados (Guevara et al., 2005).
Debido a la notable riqueza e importancia biológica de la sierra de Los Tuxtlas, desde el año 1937 se establecieron distintos mecanismos de conservación, como el decreto que estableció a la cuenca hidrográfica del lago Catemaco como zona protectora forestal vedada (26 mil ha). Posteriormente, en 1979, el volcán San Martín Tuxtla fue decretado como zona protectora forestal y de refugio faunístico (5,630 ha) a partir de la cota altitudinal de 1,000 m snm, así como la sierra de Santa Marta y el volcán San Martín Pajapan se declararon, desde 1980, como zonas de protección forestal (82,800 ha). El Instituto de Biología de la UNAM fundó en 1967 la Estación de Biología Tropical Los Tuxtlas con 150 ha que después se ampliaron a cerca de 700 en 1971, mismas que en 1986 se redujeron a 644 ha después de años de litigio con el ejido vecino de Laguna Escondida. La Universidad Veracruzana creó en 1989 una reserva para la investigación biológica en Pipiapan con 204 ha, actualmente definida como la UMA "Hilda Ávila de OTarril" (Coates, 2017; Guevara et al., 2004). En 1998 se publicó el decreto presidencial que establece a Los Tuxtlas como reserva de la biosfera en el Diario Oficial de la Federación con 155,122 ha, derogando a los anteriores decretos y que corresponde con la delimitación actual de la reserva (Conanp, 2019; Laborde, 2004). Sin embargo, a pesar de todas estas iniciativas, no se ha logrado detener por completo la deforestación en la zona, que entre 1967 y 1986 alcanzó tasas de superiores a 4% anual en los alrededores del volcán San Martín Tuxtla (Dirzo y García, 1992). Posteriormente al decreto de 1998, la tasa de deforestación en toda la RBLT no solo disminuyó, sino se revirtió, siendo mayor la superficie reforestada que la deforestada entre 1998 y 2003 con una tasa negativa de -1.8% anual; sin embargo, a partir del 2003 vuelve a incrementar la deforestación con tasas de 1.0% anual (Von Thaden et al., 2018). Por lo tanto, no sólo es prioritario el monitoreo de la deforestación y la estimación de los cambios en los usos del suelo, sino también el resaltar la importancia de estimar la superficie y distribución actual de la vegetación natural a la resolución más fina o detallada posible. Se han realizado esfuerzos previos para cuantificar los cambios de uso de suelo y cobertura vegetal (LULC por sus siglas en inglés) en la RBLT (Dirzo y García, 1992; Figueroa et al., 2011; Guevara et al., 2004; Semarnap, 2001; PSSM, 2011). Sin embargo, los resultados de estos estudios muestran información inconsistente (tabla 1). Por ejemplo, según el PSSM (2011), la RBLT tuvo una cubierta forestal de 71,063 ha en 2006, mientras que Vega-Vela et al. (2018) determinaron que fue de 49,198 ha para el mismo año; una diferencia de 21,865 ha equivalente al 14.1% del área total. Estas diferencias se deben en gran parte a las características inherentes a los métodos de evaluación empleados en cada estudio, tales como: la escala y resolución de análisis, el sensor remoto empleado en la obtención de imágenes y los métodos de mapeo utilizados (Comber et al., 2012; Fuller et al., 2003). Un aspecto que ha faltado en estudios previos es una adecuada verificación de campo de las categorías reconocidas desde imágenes de percepción remota en toda la zona de la RBLT y por tanto muchos de los mapas previos carecen de una estimación precisa de su grado de confiabilidad (i.e., error o precisión). La variabilidad de resultados en este tipo de estudios puede generar confusión sobre el estado real de los recursos naturales, afectando particularmente a los tomadores de decisiones, encargados de elaborar e implementar los planes de conservación y/o restauración de una región (Mas et al., 2004). Por tal motivo, es esencial contar con datos precisos y lo más actualizados posible que permitan tener una visión más clara del panorama y de la dinámica del paisaje. En este contexto, el presente estudio tuvo como objetivos: a) generar mapas de los tipos de uso del suelo y cobertura vegetal detallados y con alta precisión para la RBLT entre el periodo 2006-2016, y b) estimar cuantitativamente los cambios en el uso de suelo y cobertura vegetal en la RBLT, como un apoyo a la toma de decisiones sobre el manejo y conservación de los recursos naturales de esta reserva.

Materiales y métodos
La RBLT se localiza al sureste de Veracruz, entre 18°30' y 18°40' N, 95°03' y 95°10' O (Guevara et al., 2004). Abarca una superficie total de 155,122 ha (fig. 1) que incluye a 3 zonas núcleo: 1) el volcán San Martín Tuxtla (9,805 ha); 2) la sierra de Santa Marta (18,031 ha) y 3) el volcán San Martín Pajapan (1,883 ha). Además, cuenta con una única zona de amortiguamiento de 125,406 ha que rodea a las 3 zonas núcleo y en donde predominan potreros y campos agrícolas en los que encontramos pequeños fragmentos remanentes de selva y acahuales (i.e., vegetación secundaria). El clima predominante es tropical cálido-húmedo en las partes bajas de la sierra y templado muy húmedo en las partes más altas de sus volcanes, con una temperatura media que oscila entre 18 y 26 °C y una máxima de 36 °C (Soto, 2004). La precipitación total anual oscila entre 2,000 y 4,500 mm, con una época relativamente seca entre marzo y mayo (Conanp-Semarnat, 2006).

Se utilizaron 4 imágenes satelitales SPOT 5 (2006 y 2011) y una Sentinel (2016). Las imágenes SPOT, fueron obtenidas de la Estación de Recepción México Nueva Generación (ERMEX NG- <DINO0028>, "ASTRIUMTM" propiedad exclusiva de Astrium SA), con un nivel de procesamiento 2B (ESA, 2019). La imagen Sentinel fue obtenida del Copernicus Open Access Hub (https://scihub.copernicus.eu/dhus/#/home), con un nivel de procesamiento 2A. Se utilizaron las bandas pancromáticas de 2.5 y 10 metros de las SPOT y Sentinel, respectivamente, con el fin tener la mayor precisión posible en las clasificaciones. Las imágenes fueron digitalizadas mediante la técnica de clasificación visual o en pantalla, con una escala fija de 1: 5,000, lo que permite generar clasificaciones con un alto detalle en la delimitación de los tipos de uso del suelo y cobertura vegetal (fig. 2). La definición de los tipos de cobertura se basó en la clasificación de los tipos de vegetación para México propuesta por Rzedowski (1978). Las categorías fueron agrupadas en forestales y no forestales (tabla 2). La validación se realizó contrastando la categoría de cobertura de suelo a la que se asignó en pantalla a un área en particular (polígono o conjunto de pixeles) con respecto a la verificación en campo de dicha área. De las 20 categorías identificadas, solo se verificaron 12 en campo debido a que ciertas categorías son fácilmente reconocidas desde la imagen satelital (cuerpos de agua, asentamientos humanos, playa) sin posibilidad de ser confundidas con otra categoría o son menos importantes en términos de su cobertura relativa en la zona (área sin vegetación aparente, caminos, lecho fluvial y vegetación halófita). Para determinar el número de puntos necesarios para evaluar el grado de exactitud de las clasificaciones, se realizó un premuestreo de 50 puntos al azar dentro de la RBLT. Este premuestreo permitió estimar el número de puntos óptimos para evaluar la clasificación, dada la proporción de concordancias (p) y el número de discrepancias (q) entre lo observado en la clasificación y los datos de muestreo en campo, para posteriormente aplicar la siguiente fórmula (Chuvieco, 1990):
donde n es el número de puntos a muestrear, z es la abscisa de la curva normal para un nivel determinado de probabilidad, p es la proporción de concordancias, q es la proporción de discrepancias (q = 1 - p), E es el nivel permitido de error (± 5%).


Con el resultado del premuestreo de 50 puntos (el cual indicó una exactitud promedio de 0.88), se determinó que era necesaria una muestra de 162 puntos de control para la validación de campo. Los puntos de control fueron seleccionados al azar dentro del área de estudio y se realizaron las visitas al campo entre febrero y marzo del 2014. Dado que estos puntos de control pueden no reflejar el uso de suelo y cobertura vegetal para los años anteriores al 2014, los puntos de control fueron reinterpretados y ajustados mediante la inspección visual de imágenes de cada período anterior sucesivamente según lo descrito por Campbell et al. (2015). También se usaron para calcular el índice de Cohen-Kappa, así como la matriz de confusión para conocer el nivel de exactitud de los mapas. La fórmula del índice de Cohen-Kappa (k) es (Cohen, 1960):
donde r es el número de filas en la matriz de error, es el número de observaciones en la fila i y columna i (sobre la diagonal principal), x1+ es el total de observaciones en la fila i, x+1 es el total de observaciones en la columna i, N es el total de observaciones en la matriz.
Es importante señalar que se puso especial atención en verificar puntos ubicados en la zona de amortiguamiento de la RBLT, ya que los cambios de cobertura forestal al interior de las 3 zonas núcleo no han sido tan evidentes como por fuera de ellas y porque en un estudio anterior (Castillo y Laborde, 2004) se hizo un gran esfuerzo por determinar el tipo de cobertura vegetal presente dentro de éstas 3 zonas núcleo, particularmente haciendo una minuciosa delimitación del bosque mesófilo de montaña y del bosque tropical perennifolio.
El cambio de uso de suelo se calculó utilizando una intersección entre los mapas del 2006, 2011 y 2016, tal como proponen Pontius et al. (2004) para cuantificar los cambios netos, las ganancias, las pérdidas y la persistencia, así como las trayectorias de cambio intercategóricas. En el presente estudio se hace referencia a la pérdida de cobertura vegetal como "deforestación" y a la ganancia o reconversión de la cobertura vegetal en un sitio que estaba previamente ocupado por un campo agropecuario o talado, como "reforestación". En este último caso, es importante aclarar que con la información que contamos es prácticamente imposible distinguir si se trata de un sitio en el que la ganancia en cobertura forestal se debió a un proceso natural de sucesión secundaria (i.e., restauración pasiva) o se trata de un predio en el que se sembraron o transplantaron plantas leñosas (i.e., restauración activa). Como resultado, se obtiene una matriz de transición, que representa la superficie de cada categoría de LULC que permaneció sin cambios durante el periodo analizado, así como las superficies que sufrieron cualquier cambio o transición de una clase a otra. Para el cálculo de la deforestación las categorías fueron agrupadas en forestal y no forestal (tabla 2), donde las tasas anuales de deforestación fueron calculadas usando la fórmula (FAO, 1996):
donde A1 y A2 son las áreas de clase al final y al principio, respectivamente, del período evaluado, y t es el número de años que abarca ese período. En este trabajo, la deforestación fue considerada como el reemplazo de una cobertura forestal por una no forestal.
Resultados
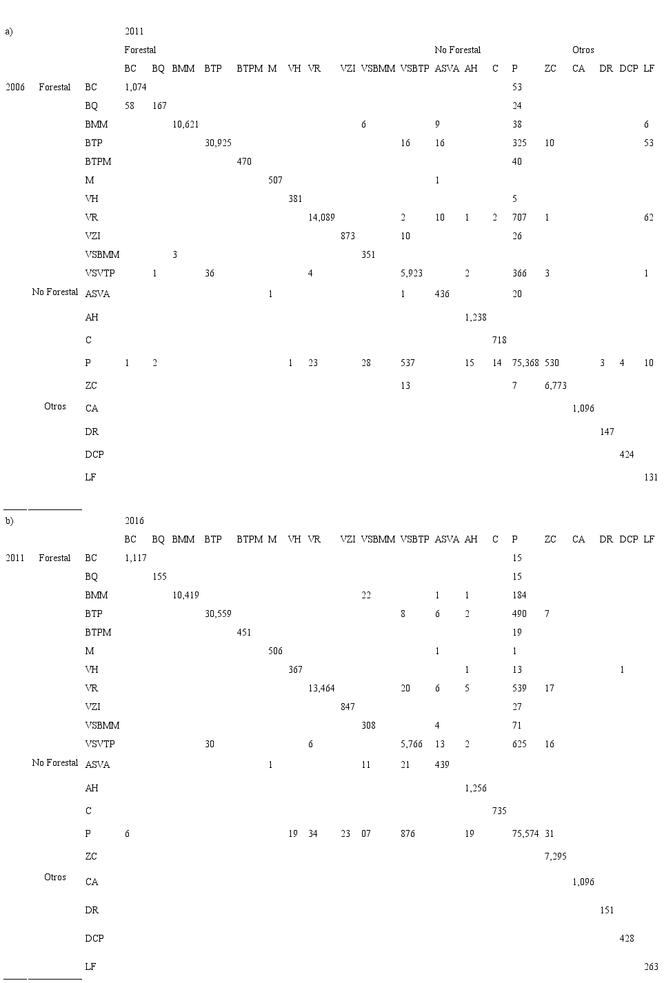
Las clasificaciones indicaron valores de exactitud total de 83.3%, 85.0% y 84.0% (índice de Kappa = 0.81, 0.83 y 0.82) para el 2006, 2011 y 2016, respectivamente (fig. 3; tablas 3, 4). Dentro de la RBLT se pueden apreciar procesos de reforestación y deforestación en los 10 años del estudio. Durante el periodo 2006-2011 se reforestaron 643 ha de cobertura forestal, mientras que en el 2011-2016 fueron 1,088 ha, resultando en una reforestación total de 1,731 ha. Sin embargo, para el periodo 2006-2011, la superficie forestal disminuyó en 1,156 ha, mientras que entre el 2011 y el 2016, se redujo en 621 ha, ambos periodos con una tasa de deforestación de 0.8% anual (tabla 5). En la figura 4 se pueden apreciar ejemplos de estos procesos, sin embargo, la deforestación superó en área a la reforestación en ambos periodos estudiados.





En el periodo 2006-2011, las 5 principales transiciones de cambio de uso de suelo en cuanto a la superficie involucrada fueron: la transición de la denominada vegetación forestal ribereña a pastizal (707 ha; 4.76% de la superficie forestal ribereña presente en 2006), de pastizal a zonas de cultivo (530 ha; 0.69%), de pastizal a vegetación secundaria de bosque tropical perennifolio (537 ha; 0.70%), de vegetación secundaria de BTP a pastizal (366 ha; 5.78%) y de bosque tropical perennifolio (BTP) a pastizal (325; 1.04% ha). Mientras que en el periodo 2011-2016, las principales transiciones fueron: de pastizal a vegetación secundaria de BTP (876 ha; 1.13%), de vegetación secundaria de BTP a pastizal (625 ha; 9.68%), de vegetación forestal ribereña a pastizal (539 ha; 3.84%), de BTP a pastizal (490 ha; 1.58%) y de bosque mesófilo de montaña (BMM) a pastizal (184 ha; 1.73%, tabla 5). Las 3 zonas núcleo suman cerca de 30 mil ha y representan casi 20% de la superficie total; sin embargo, para el año 2016 se concentra al interior de estas zonas 40% (26,710 ha) de la superficie forestal de la reserva. En los 10 años estudiados (2006-2016) se perdieron 313 ha (1.17% del total presente en el 2006) de cobertura forestal dentro de las zonas núcleo, principalmente en la de la sierra de Santa Marta y en la del volcán de San Martín Pajapan. Las zonas núcleo se caracterizan por presentar 3 tipos de vegetación: bosque de coníferas, bosque mesófilo de montaña (BMM) y bosque tropical perennifolio (BTP). Las zonas núcleo no solo contienen las mayores extensiones continuas de BTP y BMM de la reserva, sino que resguardan también el gradiente altitudinal o la transición natural que hay entre estos 2 tipos de vegetación con el BMM hacia la cima de los volcanes más altos y el BTP hacia las partes bajas. En la zona de amortiguamiento se presentó la mayor tasa de cambio, siendo la vegetación forestal ribereña el tipo de vegetación arbórea con mayor pérdida de superficie con un total de 1,291 ha (8.19% de la superficie de vegetación forestal ribereña presente en el 2006) entre 2006 y 2016, siguiendo en superficie perdida el BTP (815 ha; 5.48%) y el BMM (261 ha; 1.75%), cuya cobertura forestal fue talada para convertirla en campos agropecuarios. Mientras que el pastizal fue el tipo de cobertura no forestal que presentó mayor ganancia de superficie (988 ha; 1.29%) seguida por los campos de cultivo (573 ha; 8.44%), ambos tipos de uso del suelo aumentaron en superficie a costa de la cobertura forestal. En total, la cobertura forestal dentro de la RBLT se redujo de 67,271 ha en 2006 a 65,495 ha en 2016 (2.64%), con una pérdida neta de 1,776 ha en 10 años (tabla 2).
Discusión
El paisaje de la RBLT presenta una alta heterogeneidad espacial en los tipos de cobertura y los análisis del cambio en los usos del suelo revelaron 2 procesos importantes; el primero indicó que la tasa de deforestación disminuyó a 0.8% anual entre 2006 y 2016, en comparación con la tasa reportada entre 1976 y 1986 que alcanzó 4.3% en los alrededores del volcán San Martín Tuxtla (Dirzo y García, 1992). El segundo aspecto a resaltar es que los principales cambios en los LULC estuvieron representados por las transiciones de vegetación forestal ribereña y de bosque tropical perennifolio a pastizales, así como por la conversión de pastizales a zonas de cultivo sugiriendo un cambio de actividad económica en la región. Es importante destacar que en las 3 zonas núcleo (los volcanes de San Martín Tuxtla, Santa Marta y San Martín Pajapan) de la reserva, donde está prohibida la deforestación desde 1998, se ha controlado muy bien la deforestación reduciéndose al mínimo entre 2006 y 2016. Aunque sí se detectó la conversión de cobertura forestal a no forestal dentro de las zonas núcleo (621 ha), esta transición se debió a un evento natural y no a una tala antrópica, dado que, durante el año 2010, la tormenta tropical Matthew y el huracán Karl afectaron al sur de Veracruz, causando grandes deslizamientos de tierra, particularmente en el volcán de San Martín Pajapan (PSSM, 2011) que fue la zona núcleo más afectada de la zona (fig. 4c). Mientras que, en la zona de amortiguamiento, la deforestación se debe principalmente a las actividades antrópicas para el establecimiento de nuevos pastizales y campos de cultivo, siendo esta zona donde se encuentran las mayores pérdidas de cobertura forestal en la reserva. Nuestros resultados reflejan tendencias similares en los cambios de LULC que se han observado en México, con transiciones de los bosques tropicales hacia pastizales o campos agrícolas (Mas et al., 2004). Por lo tanto, es necesario tomar medidas urgentes para proteger los remanentes de bosque que quedan y restaurar la superficie forestal en donde sea posible hacerlo, particularmente en la zona de amortiguamiento.
La disminución en la tasa de deforestación encontrada en este estudio puede no estar vinculada a un cambio en un componente socioeconómico (Von Thaden et al., 2018), sino al hecho de que cada vez existe menos cobertura forestal que sea de fácil acceso o apta para las actividades agropecuarias; así como a que la superficie forestal que queda en pie se encuentra al interior de áreas restringidas o protegidas en la actualidad (por ejemplo, zonas núcleo u otro tipo de áreas de conservación).
En diversos estudios se ha relacionado la expansión de los asentamientos humanos con la deforestación debido a que al incrementarse la población se incrementa la infraestructura urbana y se reduce la cobertura vegetal nativa (López et al., 2001; Rosete-Vergés, 2008; Verbug et al., 1999). En el presente estudio se determinó que dentro de la RBTL hubo un incremento de la superficie urbana de casi 50 ha entre 2006 y 2016 (tabla 2). De acuerdo con los censos del INEGI, en 1995 había un total de 26,778 habitantes asentados dentro de la reserva (RBLT) mientras que para el 2010 eran 28,611 habitantes, teniendo una tasa de crecimiento relativamente lento. Sin embargo, a 10 km a la redonda de la RBLT existe una población de 252,978 habitantes, ubicada principalmente en ciudades adyacentes o muy cercanas al polígono de la RBLT (Catemaco, San Andrés Tuxtla, Santiago Tuxtla, entre otras).
Esto sugiere que al interior de la RBLT no existe una relación directa entre crecimiento urbano y deforestación, sin embargo, la presión del crecimiento poblacional en sus alrededores puede ser alta sobre la deforestación dentro de la reserva. La principal actividad económica dentro de la RBLT es la ganadería bovina, aunque también se crían porcino, caballar y caprino, entre otros (Guevara et al., 2004), donde casi el 50% del territorio está ocupado por pastizales. Sin embargo, en este estudio se detectó un cambio reciente de actividad económica de la ganadería hacia la agricultura en las zonas norte, sur y oeste del volcán San Martín Tuxtla. Las tendencias de reconversión de pastizales a cultivos, podrían deberse a una mayor rentabilidad económica y viabilidad social para el productor (Ramos-Reyes et al. 2016). A ésto se suma que en Veracruz, la actividad ganadera ha decrecido; previamente se reportó un incremento en la producción pecuaria de 359,316 toneladas (ton.) en 1986, a 795,611 ton. de carne en 2003. Sin embargo, la producción estatal decreció a 503,739 ton. en el 2011 y a 445,575 ton. en el 2015 (SIAP, 2013). La disminución de la actividad ganadera a nivel estatal a partir del 2003 coincide con la reducción de la tasa de deforestación en la RBLT. A pesar de la reducción de la actividad ganadera, aun se sigue presentando el cambio de cobertura forestal a pastizal en la reserva, siendo las categorías de vegetación forestal ribereña y la de vegetación secundaria de bosque tropical perennifolio los principales tipos de vegetación forestal que se pierden por ser convertidos a pastizales.
Llama fuertemente la atención la gran pérdida de superficie forestal debida a la deforestación de la vegetación forestal ribereña, perdiendo cerca de 1,290 ha en 10 años, siendo la categoría forestal con mayor tasa de pérdida en el periodo estudiado. Este tipo de vegetación es de gran importancia para la conservación de la biodiversidad nativa porque sirve como corredor biológico y genético conectando áreas de bosque separadas, especialmente en la zona de amortiguamiento de Los Tuxtlas, además de albergar numerosas especies de flora y fauna (Guevara et al., 2005; Timoney et al., 1997). Aunque las franjas forestales ribereñas representan poco menos de 9% del área de la reserva, es el segundo tipo de cobertura con mayor superficie forestal después del bosque tropical perennifolio. La importancia de la vegetación forestal ribereña como elemento de conexión del paisaje forestal fragmentado y como fuente de propágulos para la regeneración forestal (Guevara y Laborde, 2008), coloca a este elemento arbóreo del paisaje que atraviesa la matriz agropecuaria y protege los cauces de agua, como una prioridad de conservación dentro de la RBLT.
Los métodos de percepción remota se han convertido en fuentes de información útiles para la estimación cuantitativa de los cambios en la cobertura del suelo, a escala de paisaje (Petit et al., 2001). El avance tecnológico actual permite que la información satelital se convierta en una alternativa adecuada y accesible para detectar diversos problemas, en este caso para monitorear y evaluar los cambios en LULC para grandes áreas y proponer posibles soluciones. Sin embargo, los métodos de análisis espacial y su captura o digitalización, así como la falta de verificación en campo, pueden generar resultados imprecisos que limitan los hallazgos de estudios previos (Palacio et al., 2000; Velázquez et al., 2002). En el caso de la RBLT, no todos los trabajos publicados se han preocupado por realizar una aceptable verificación de campo. Esto puede deberse en parte a la compleja y accidentada topografía de la zona que hace muy difícil el acceso a varios sitios (Guevara et al., 2004) quedando muchas zonas con una clasificación que no fue corroborada. Estudios como los de Velazco (2007) y Vega-Vela et al. (2018) utilizaron solamente 19 puntos de control para la verificación de campo en toda la reserva, mientras que los de Guevara et al (2004), PSSM (2011) y Figueroa et al. (2011) no reportan haber utilizado puntos de control. Lo anterior puede generar incertidumbre en las clasificaciones realizadas, en los mapas obtenidos y en las estimaciones derivadas de ellos. Las diferencias en las superficies reportadas de cobertura vegetal en el presente estudio, en comparación con las de otros trabajos, se deben en gran parte a los objetivos de cada uno. Por ejemplo, las series de INEGI han sido desarrolladas como un marco de referencia que permita conocer el estado de la vegetación en la totalidad del territorio nacional a una escala 1:250 000 (INEGI, 2009), mientras que en nuestro estudio la resolución espacial es mucho más fina y ello se traduce en diferencias en las estimaciones de coberturas. Además las diferencias en los métodos seguidos para obtener los mapas y validarlos pueden resultar en diferencias notables en las superficies estimadas, por ejemplo, para el año 2011, el PSSM estimó 4,480 ha más de cobertura forestal con respecto al presente estudio, lo cual podría explicarse por diferencias en la fase de revisión y validación en campo de los mapas que no se realizó en dicho estudio. Si bien esta diferencia equivale solo a 3% del total de la reserva, la sub o sobreestimación de coberturas en sitios puntuales podría generar incertidumbre en el momento de generar estrategias de conservación, protección y restauración de la vegetación original. La elección del método a utilizar en ocasiones se debe a cuestiones económicas (p.ej., obtención de imágenes satelitales de alta resolución) o de tiempo (p.ej., en el procesamiento de las imágenes), sin embargo, creemos que independientemente del método empleado, siempre se debe fomentar el esfuerzo en la fase de revisión y validación de campo de los resultados obtenidos para reducir la incertidumbre de los mapas de uso de suelo y cobertura vegetal. El estudio de los cambios en el uso del suelo nos permite comprender la historia, los cambios actuales y anticipar o plantear posibles escenarios futuros de los patrones y procesos inherentes a la dinámica del paisaje. Sin embargo, si estos estudios no se realizan con cuidado y alta precisión puede generarse información poco confiable, lo cual puede traducirse en confusiones y en plantear tendencias erróneas. En el caso de la RBLT, la información generada en este estudio puede ser útil para los habitantes, las instituciones, organizaciones no gubernamentales y autoridades que podrán considerarla en el proceso de toma de decisiones, con un alto grado de precisión y confiabilidad.
La deforestación tiene impactos a diferentes escalas, tanto local y regional, como global (Guevara et al., 2004), que en la RBLT representa una amenaza grave para la biodiversidad, erosión del suelo, recursos hídricos y en la degradación de procesos biogeoquímicos, dado que la mayoría del territorio originalmente forestal se ha reducido solo a fragmentos de vegetación natural relativamente pequeños en un periodo corto (Guevara et al., 2004) y al igual que en muchas otras áreas naturales prostegidas tropicales, la deforestación es considerada como el principal factor de deterioro ecológico que debe controlarse. Entre otros aspectos a resaltar de la Reserva de la Biosfera Los Tuxtlas, es el hecho de que en ella se mantiene en relativamente buen estado de conservación el gradiente natural altitudinal entre el bosque mesófilo de montaña en las cimas de los volcanes y el bosque tropical perennifolio hacia las partes más bajas, dicho gradiente o ecotono está muy bien protegido en las 3 zonas núcleo de la reserva y es actualmente muy raro o inexistente en el resto de México y América. Además, en la zona de amortiguamiento de la reserva se puede incrementar la conectividad forestal desde la cima de los volcanes hasta la costa mediante la restauración ecológica con muy poco esfuerzo, en comparación a otras zonas de Veracruz y del país.
Agradecimientos
Agradecemos a Helen Salazar por su ayuda en el campo. Rosario Landgrave brindó asistencia en el procesamiento de imágenes. Este estudio fue financiado por el Consejo Nacional de Ciencia y Tecnología (beca # 345721 a JJVT) y por el Instituto de Ecología, A.C. (proyecto INECOL 20030-10281, a JLD).
Referencias
Castillo, G. y Laborde, J. (2004). La vegetación. En S. Guevara, J. Laborde y G. Sánchez-Ríos (Eds.), Los Tuxtlas. El paisaje de la sierra (pp. 231-265). Instituto de Ecología, A. C. y Unión Europea. Xalapa, México.
Campbell, M., Congalton, R., Hartter, J. y Ducey, M. (2015). Optimal land cover mapping and change analysis in northeastern Oregon using Landsat imagery. Photogrammetric Engineering and Remote Sensing, 81, 37-47. https://doi.org/10.14358/pers.81.1.37.
Chuvieco, E. (1990). Fundamentos de Teledetección Espacial. Madrid, Ed. Rialp.
Coates, R. I. (2017). La estación de biología tropical Los Tuxtlas desde su fundación. En V. H. Reynoso, R. I. Coates y M. L. Vázquez Cruz (Eds.) Avances y Perspectivas en la Investigación de los Bosques Tropicales y sus Alrededores: La Región de Los Tuxtlas (pp. 231-265). Instituto de Biología, UNAM, Cd México.
Cohen, J. (1960). A coefficient of agreement for nominal scales. Educational and Psychological Measurement, 20, 37-46. https://doi.org/10.1177/001316446002000104.
Comber, A., Fisher, P., Brunsdon, C. y Khmag, A. (2012). Spatial analysis of remote sensing image classification accuracy. Remote Sensing of Environment, 127, 237-246. https://doi.org/10.1016/j.rse.2012.09.005.
Conabio (Comisión Nacional para el Conocimiento y Uso de la Biodiversidad). (2013). Estrategia para la conservación y uso sustentable de la biodiversidad del estado de Veracruz. México, D. F.
Conanp-Semarnat (Comisión Nacional de Áreas Naturales Protegidas - Secretaría de Medio Ambiente y Recursos Naturales). (2006). Programa de conservación y manejo de la Reserva de la Biosfera Los Tuxtlas. México, D.F.
Conanp (Comisión Nacional de Áreas Naturales Protegidas). (2019). Reserva de la Biosfera Los Tuxtlas (SIMEC ficha técnica #138). Recuperado el 03 de agosto, 2019 de: Recuperado el 03 de agosto, 2019 de: https://simec.conanp.gob.mx/consulta_fichas.php.
Dirzo, R. y García, M. C. (1992). Rates of deforestation in Los Tuxtlas, a Neotropical area in southeast Mexico. Conservation Biology, 6, 84-90. https://doi.org/10.1046/j.1523-1739.1992.610084.x.
ESA (European Space Agency). (2019). What is Sentinel-2?: Mission Details. Recuperado el 05 de septiembre, 2019 de: Recuperado el 05 de septiembre, 2019 de: https://earth.esa.int/web/guest/missions/esa-operational-eo-missions/sentinel-2.
FAO (Food and Agriculture Organization of the United Nations). (1996). Forest resources assessment 1990. Survey of tropical forest cover and study of change processes. FAO Forestry Paper130, Rome, Italy.
Figueroa, F., Sánchez-Cordero, V., Illoldi-Rangel, P. y Linaje, M. (2011). Evaluación de la efectividad de las áreas protegidas para contener procesos de cambio en el uso del suelo y la vegetación. ¿Un índice es suficiente? Revista Mexicana de Biodiversidad, 82, 951-963. https://doi.org/10.22201/ib.20078706e.2011.3.768.
Fuller, R. M., Smith, G. M. y Devereux, B. J. (2003). The characterization and measurement of land cover change through remote sensing: Problems in operational applications. International Journal of Applied Earth Observation and Geoinformation, 4, 243-253. https://doi.org/10.1016/s0303-2434(03)00004-7.
Galindo-González, J. (2004). Clasificación de los murciélagos de la región de Los Tuxtlas, Veracruz, respecto a su respuesta a la fragmentación del hábitat. Acta Zoológica Mexicana, 20, 239-243. https://doi.org/10.1016/j.rmb.2017.03.015.
Guevara, S., Laborde, J. y Sánchez-Ríos, G. (2004). Los Tuxtlas. El paisaje de la sierra. Instituto de Ecología, A.C. y Unión Europea. Xalapa, Ver., México.
Guevara, S., Laborde, J. y Sánchez-Ríos, G. (2005). Los árboles que la selva dejó atrás. Interciencia, 30, 595-601.
Guevara, S. y Laborde, J. (2008). Conservación a escala de paisaje: Rediseñando las reservas para la protección de la diversidad biológica y cultural en América Latina. Environmental Ethics, 30 (Supplement), 35-46. https://doi.org/10.5840/enviroethics200830Supplement56.
INEGI (Instituto Nacional de Geografía y Estadística). (2009). Guía para la interpretación de cartografía uso de del suelo y vegetación. Escala 1:250 000. Serie III. Recuperado el 02 de diciembre, 2019 de: Recuperado el 02 de diciembre, 2019 de: https://snigf.cnf.gob.mx/wp-content/uploads/Documentos%20metodologicos/Guia%20interpretar%20cartografia.pdf.
Laborde, J. (2004). La reserva de la Biosfera. En S. Guevara , J. Laborde y G. Sánchez-Ríos (Eds.), Los Tuxtlas. El paisaje de la Sierra (pp. 271-282). Instituto de Ecología, A.C. y Unión Europea, Xalapa, Ver. México.
López, G. S., Pinilla Ruíz, C. y Lago, A. (2001). Utilización de Landsat-MSS para la cartografía de cultivos bajo plástico: Estudio de la fiabilidad de la clasificación. En J. A. Martínez Casasnovas y J. I. Rosell Urrutia (Coords.), Teledetección, Medio Ambiente y Cambio Global (pp. 65-69). Universitat de Lleida, Departament de Medi Ambient i Ciències del Sòl, España.
Mas, J. F., Velázquez, A., Díaz-Gallegos, J. R., Mayorga-Saucedo, R., Alcántara, C., Bocco, G., Castro, R., Fernández, T. y Pérez-Vega, A. (2004). Assessing land use/cover changes: a nationwide multidate spatial database for Mexico. International Journal of Applied Earth Observation and Geoinformation , 5, 249-261. https://doi.org/10.1016/j.jag.2004.06.002.
Mendoza, E., Fay, J. y Dirzo, R. (2005). A quantitative analysis of forest fragmentation in Los Tuxtlas, southeast Mexico: patterns and implications for conservation. Revista Chilena de Historia Natural, 78, 451-467. https://doi.org/10.4067/s0716-078x2005000300008.
Palacio, J. L., Bocco, G., Velázquez, A., Mas, J. F., Takaki-Takaki, F., Victoria, A., et al. (2000). La condición actual de los recursos forestales en México: resultados del Inventario Forestal Nacional 2000, Investigaciones Geográficas, Boletín del Instituto de Geografía, UNAM, 43, 183-203. http://www.scielo.org.mx/scielo.php?script=sci_arttext&pid=S0188-46112000000300012&lng=es&nrm=iso.
Paré, L. y Lazos, E. (2008). Cuando el señor del monte esconde a los animales: transformación del paisaje en Los Tuxtlas. En L. Budar y S. Ladrón de Guevara (Coords.), Arqueología, paisaje y cosmovisión en Los Tuxtlas (pp. 35-47). Museo de Antropología de Xalapa, Facultad de Antropología, Universidad Veracruzana.
Petit, C., Scudder, T. y Lambin, E. (2001). Quantifying processes of land-cover change by remote sensing: resettlement and rapid land-cover changes in south-eastern Zambia. International Journal of Remote Sensing, 22, 3435-3456. https://doi.org/10.1080/01431160010006881.
Pontius, J. R. G., Huffaker, D. y Denman, K. (2004). Useful techniques of validation for spatially explicit land-change models. Ecological Modelling, 179, 445-461. https://doi.org/10.1016/j.ecolmodel.2004.05.010.
PSSM (Proyecto Sierra de Santa Marta, A.C.). (2011). Actualización de la tasa de cambio del uso de suelo en la Reserva de la Biosfera Los Tuxtlas, Informe Final. PSSM - CONANP (Comisión Nacional de Áreas Naturales Protegidas). Recuperado el 03 de agosto, 2019 de: Recuperado el 03 de agosto, 2019 de: https://simec.conanp.gob.mx/pdf_evaluacion/tuxtlas.pdf.
Ramos-Reyes, R., Sánchez-Hernández, R. y Gama-Campillo, L. M. (2016). Análisis de cambios de uso del suelo en el municipio costero de Comalcalco, Tabasco, México. Ecosistemas y Recursos Agropecuarios, 3, 151-160.
Rosete Vergés, F. A. (2008). Cambio de uso del suelo y vegetación en la Península de Baja California, México(Tesisdoctoral). Instituto de Geografía, Universidad Nacional Autónoma de México. Ciudad de México.
Rzedowski, J. (1978). Vegetación de México. Ed. Limusa. México. D.F.
Semarnap (Secretaría de Medio Ambiente, Recursos Naturales y Pesca). (2001). Inventario Forestal Nacional 2000-2001. SEMARNAP. Ciudad de México.
Semarnat (Secretaría de Medio Ambiente y Recursos Naturales). (2016). Reserva de la Biosfera Los Tuxtlas. Recuperado el 04 de septiembre, 2019 de: Recuperado el 04 de septiembre, 2019 de: https://www.gob.mx/semarnat/articulos/reserva-de-la-biosfera-los-tuxtlas?idiom=es.
SIAP (Servicio de Información Agroalimentaria y Pesquera). (2013). Producción Agrícola y Pecuaria, Reportes. Recuperado el 04 de junio, 2019 de: Recuperado el 04 de junio, 2019 de: http://www.siap.gob.mx/produccion-agropecuaria/ (actualmente en: mx/produccion-agropecuaria/ (actualmente en: https://www.gob.mx/siap/documentos/siacon-ng-161430).
Soto, M. (2004). El clima. En S. Guevara , J. Laborde y G. Sánchez-Ríos (Eds.), Los Tuxtlas. El Paisaje de la Sierra (pp. 195-198). Instituto de Ecología, A.C. y Unión Europea, Xalapa, Ver. México.
Timoney, K. P., Peterson. G. y Wein, R. (1997). Vegetation development of boreal riparian plant communities after flooding, fire and logging, Peace River, Canada. Forest Ecology and Management, 93, 101-120. https://doi.org/10.1016/S0378-1127(96)03929-1.
Vega-Vela, V., Muñoz-Robles, C. A., Rodríguez-Luna, E., López-Acosta, J. C. y Serna-Lagunes, R. (2018). Análisis de la fragmentación del paisaje de la Reserva de la Biosfera Los Tuxtlas, Veracruz, México. Ecosistemas y Recursos Agropecuarios , 5, 227-238.
Velazco, T. B. P. (2007). Uso del Suelo y Vegetación Actualizado de la Eco-región Prioritaria Los Tuxtlas, Veracruz en base a imágenes de satélite SPOT año 2004 y 2005. Conanp-PNUD Informe Final, mayo 2007- 43 pp.
Velázquez, A., Mas, J., Díaz Gallegos, J. R., Mayorga-Saucedo, R., Alcántara, P., Castro, R., et al. (2002). Patrones y tasas de cambio de uso del suelo en México. Gaceta Ecológica, 62, 21-37.
Verburg, P., De Koning, G., Kok, K., Veldkamp, A. y Bouma, J. (1999). A spatial explicit allocation procedure for modelling the pattern of land use change based upon actual land use. Ecological Modelling , 116, 45-61. https://doi.org/10.1016/ s0304-3800(98)00156-2.
Villaseñor, J. L., Ortiz, E. y Campos-Villanueva, A. (2018). High richness of vascular plants in the tropical Los Tuxtlas region, Mexico. Tropical Conservation Science, 11, 1940 082918764259. https://doi.org/10.1177/1940082918764259.
Von Thaden, J.J., Laborde, J., Guevara, S. y Venegas-Barrera, C. S. (2018). Forest cover change in the Los Tuxtlas Biosphere Reserve and its future: The contribution of the 1998 protected natural area decree. Land Use Policy, 72, 443-450. https://doi.org/10.1016/j.landusepol.2017.12.040.
Notas de autor
* Autor para correspondencia: javier.laborde@inecol.mx (J. Laborde)