Biogeografía
Recepción: 26 Noviembre 2020
Aprobación: 03 Mayo 2021
DOI: https://doi.org/10.22201/ib.20078706e.2022.93.3838
Resumen: México es un centro de diversificación de Lamiaceae, lo que le confiere oportunidades amplias de investigación en campos como la fitoquímica y modelos ecológico-evolutivos, entre otros. No obstante, su conocimiento taxonómico y biogeográfico manifiesta limitantes profundas, por ello resulta fundamental fortalecerlo y realizar exploración botánica en localidades prioritarias. El presente trabajo contribuye mediante el inventario y el análisis de la distribución de Lamiaceae en Durango por unidades políticas, naturales y una cuadrícula con celdas de área definida. Como resultado, se examinaron 2,888 especímenes de herbario correspondientes a 18 géneros y 103 especies. La riqueza general y cantidad de endemismos, así como por celdas, y aquellas de mayor prioridad por complementariedad, se concentraron sobre la Sierra Madre Occidental, hacia las vertientes oeste y sur del estado, en bosques templados y entre 1,900-2,500 m de elevación. Por último, se encontró que el sistema actual de áreas naturales protegidas y prioritarias para la conservación en Durango engloban un porcentaje bajo de la riqueza y endemismo de Lamiaceae, en consecuencia, se recomienda analizar otros taxones vegetales representativos de las diferentes afinidades ecológicas de la flora duranguense para evaluar la pertinencia de estas estrategias de conservación y poder proponer medidas complementarias.
Palabras clave: Análisis de complementariedad de áreas, desierto Chihuahuense, labiatae, sierra Madre Occidental, sistema Nacional de Áreas Protegidas.
Abstract: Mexico is one of the diversification centers of Lamiaceae, granting it a wide range of research opportunities on phytochemistry and ecological-evolutionary models, among others. Nonetheless, shortcomings on the taxonomic and biogeographic knowledge of the family compromise such opportunities, due to this, it is essential to address these gaps and to carry on botanical exploration in priority areas. The present study contributes to this by means of the inventory and distribution analysis of Lamiaceae in Durango by different units, political, natural and cells of a defined area. As a result, 2,888 herbarium specimens representing 18 genera and 103 species were examined. The general richness and number of endemic species, as well as those by cell, and the cells with higher priority by their complementarity, were concentrated along the Sierra Madre Occidental, primarily on the western and southern portions, in temperate forests and between 1,900-2,500 m in elevation. Finally, it was found that the current system of protected natural and priority areas for conservation in Durango contains a low percentage of the Lamiaceae richness and endemism; therefore, it is recommended to implement analyses with plant taxa characteristic of the different ecological affinities of Durango’s Flora to evaluate the performance of these conservation strategies and to propose complementary methods.
Keywords: Complementarity areas analysis, chihuahuan Desert, labiateae, sierra Madre Occidental, national System of Protected Areas.
Introducción
La familia Lamiaceae cuenta con un total de 610 especies en México, de las anteriores, 598 fueron reportadas por Martínez-Gordillo et al. (2017) y desde entonces, se han agregado 12 más descritas en los últimos 4 años (Bedolla-García et al., 2020; Fragoso-Martínez et al., 2021; González-Gallegos y Carnahan, 2019; González-Gallegos et al., 2018, 2019; González-Gallegos, Bedolla-García et al., 2021; González-Gallegos, Castro-Castro et al., 2020; González-Gallegos, Pío-León et al., 2021; Martínez-Ambriz et al., 2019). Al contrastar con el inventario de la flora vascular de México publicado por Villaseñor (2016), la familia ocupa el octavo lugar por su cantidad de especies. De igual manera, su riqueza destaca en gran parte de las diferentes regiones de América (Ulloa-Ulloa et al., 2017) y del planeta (Harley et al., 2004; Hedge, 1992). La magnitud de su diversidad engloba una gama amplia de variación morfológica y química (Harley et al., 2004; Kintzios, 2000; Lawrence, 1992; Richardson, 1992), de estrategias de polinización y dispersión (Celep et al., 2014; Claßen-Bockhoff, 2007; Huck, 1992; Wester y Claßen-Bockhoff, 2011; Zona, 2017), así como de valores utilitarios presentes y ancestrales (El-Gazzar y Watson, 1969; Heinrich, 1992; Kansole-Michelline et al., 2015; Kintzios, 2000; Reisfield, 1993; Rivera-Núñez y Obón-de Castro, 1992); por ejemplo, el uso de la chía (Salvia hispanica L.) como alimento, en medicina tradicional, en ritos religiosos y para producir laca de recubrimiento de trabajos artísticos (Cahill, 2003, 2005). Lamiaceae, por lo tanto, ofrece oportunidades interesantes de estudio en diferentes ramas de la ciencia, desde prospección de los compuestos activos que contienen sus especies, hasta modelos de estudios ecológico-evolutivos y biogeográficos (Arizmendi et al., 2008; González-Gallegos, Bedolla-García et al., 2020; Kriebel et al., 2019; Rosas-Guerrero et al., 2017; Sharma et al., 2017; Strelin et al., 2017; Wilson et al., 2017).
La integración de Lamiaceae en las diferentes ramas de la investigación exige claridad en la taxonomía del grupo y en la información sobre la distribución de sus especies. En este aspecto se han hecho aportes significativos en las últimas 3 décadas que han dado mayor claridad y estabilidad, tanto a la circunscripción de la familia, como a la de los géneros que la conforman (Agostini et al., 2012; Bendiksby et al., 2011; Bräuchler et al., 2010; Drew y Sytsma, 2011; Drew et al., 2017; Li et al., 2016; Pastore et al., 2011; Paton et al., 2004; Prather et al., 2002; Roy et al., 2013; Schäferhoff et al., 2010; Scheen et al., 2010; Wagstaff y Olmstead, 1997, 1998; Wagstaff et al., 1998; Yuan et al., 2010); aunque aún se requiere bastante trabajo y hay linajes relevantes por su riqueza, cuya clasificación, no ha sido reevaluada con métodos filogenéticos.
En México, después de un periodo de poca o nula investigación en Lamiaceae, hay una intensificación en su abordaje a partir del año 1994, lo que ha derivado en la descripción de poco más de 100 especies, clarificación de nombres y de rangos de distribución geográfica (Martínez-Gordillo et al., 2017). Sin embargo, Martínez-Gordillo et al. (2017) destacan en un diagnóstico del conocimiento de las labiadas en México, que es crítico que se realicen trabajos taxonómicos y exploración botánica en áreas prioritarias para fortalecer el conocimiento del grupo. Ante estas premisas, la presente contribución persigue proveer información sobre la familia que pueda integrarse después en el contexto nacional y en la revisión taxonómica de la familia para México. Los objetivos específicos consistieron en: a) inventariar la riqueza de especies nativas y naturalizadas de Lamiaceae (referidas en el resto del texto como Lamiaceae en general) de Durango, b) caracterizar la distribución de sus especies en función de unidades espaciales políticas, naturales y una cuadrícula con celdas de área definida, c) identificar las áreas de mayor riqueza y especies endémicas, d) seleccionar las unidades espaciales mínimas en las que de implementarse estrategias de conservación se garantizaría el resguardo de las labiadas en Durango, y e) discutir cuáles son las áreas prioritarias para la exploración botánica en la entidad.
Materiales y métodos
Durango se localiza tierra adentro del país, en la porción noroccidental central. Colinda al norte con Chihuahua y Coahuila, al este con Coahuila y Zacatecas, al sur con Nayarit y Zacatecas, y al oeste con Chihuahua, Nayarit y Sinaloa. Ocupa 6.3% del territorio nacional, lo que lo posiciona en el cuarto lugar por su extensión y se divide, administrativamente, en 39 municipios (INEGI, 2017). De acuerdo con su fisiografía, incluye 4 provincias: Mesa del Centro, Sierra Madre Occidental, Sierra Madre Oriental, Sierras y Llanuras del Norte (INEGI, 2001). Respecto a la propuesta de provincias biogeográficas de Morrone et al. (2017), Durango se encuentra entre el Desierto Chihuahuense, la Sierra Madre Occidental y las Tierras Bajas del Pacífico. Los climas predominantes son el semiseco templado BS1k, el templado subhúmedo con lluvias en verano C(w) y el muy seco semicálido BWh, y la elevación varía de 130-3,340 m (INEGI, 2017). De acuerdo con la propuesta de González-Elizondo et al. (2007), en Durango están presentes 14 tipos de vegetación, que equivalen a todos los propuestos por Rzedowski (1978) para México, con excepción del bosque tropical perennifolio. La vegetación xerófila (matorrales e izotales, principalmente) y los bosques mixtos (pino-encino y encino-pino) son los que ocupan mayor superficie en la entidad, en conjunto suman alrededor de 46% del territorio.
El territorio duranguense tiene representadas 12 regiones terrestres prioritarias (rtps) identificadas por Arriaga-Cabrera et al. (2000): Cuchillas de la Zarca, Cuenca del Río Jesús María, Guacamayita, Guadalupe y Calvo-Mohinora, La Michilía, Mapimí, Pueblo Nuevo, Río Humaya, Río Presidio, San Juan de Camarones, Santiaguillo-Promontorio y Sierra de Órganos. Así como 131 sitios prioritarios terrestres (spts) (prioridad extrema 6, prioridad alta 69, prioridad media 56; Conabio et al., 2008). Y las estrategias de conservación biológica en la entidad incluyen el establecimiento de 7 áreas naturales protegidas (ANP), 4 federales (Reserva de la Biosfera La Michilía, Reserva de la Biosfera Mapimí, Cuenca Alimentadora de los Distritos Nacionales de Riego 043 Estado de Nayarit y la correspondiente para 075 Río Fuerte) y 3 estatales (Área de Protección de Recursos Naturales Quebrada de Santa Bárbara, Parque Ecológico El Tecuán y Parque Estatal Cañón de Fernández) (Rentería-Arrieta y Montiel-Antuna, 2017). Además, se reconocen 2 sitios RAMSAR, el propio Cañón de Fernández y la Laguna de Santiaguillo (Conanp, 2020).
Para la elaboración del listado actualizado de las especies de Lamiaceae en Durango, se compiló la información a partir de la consulta de literatura especializada (material suplementario 1), bases de datos en línea (JSTOR Global Plants, 2020; Sánchez-Escalante y Gilbert, 2018; SEINet, 2020; Tropicos, 2020), revisión de especímenes de herbario y exploración en campo. Las colecciones examinadas físicamente correspondieron a los herbarios ANSM, CHAP, CIIDIR, ENCB, Herbario de la Universidad Autónoma de Zacatecas (aquí abreviado como HUAZ, aunque no registrado en Index Herbariorum), HUAA, IBUG, IEB, INEGI, MEXU, UAS, UC, USON y WIS, acrónimos de acuerdo con el Index Herbariorum (Thiers, 2020). Las determinaciones fueron verificadas y corregidas, cuando fue necesario, mediante el uso de la literatura listada en el material suplementario 1 y cotejadas con ejemplares de herbario. Cabe destacar que, aunque existe una propuesta para la segregación del género Hyptis en 11 géneros diferentes (Harley y Pastore, 2012), aquí se sigue la postura de González-Gallegos et al. (2014) en la que se hace una crítica y se determina que la evidencia no es aún lo suficientemente robusta como para aceptar tal desintegración. Es importante notar que esta misma postura es la que se ha replicado en trabajos recientes de la familia Lamiaceae en México, tanto de inventario global, como de floras regionales (González-Gallegos et al., 2016; Martínez-Gordillo et al., 2017, 2019).
Se realizaron 20 exploraciones de campo, de 2015-2020, para obtener especímenes adicionales para confirmar determinaciones de algunas plantas y para evaluar y describir las especies nuevas potenciales; el trabajo de campo incluyó sitios de recolecta en 14 municipios de la entidad.
Para evaluar la representatividad del inventario, se calculó la curva de acumulación de especies en el programa EstimateS versión 9.1.0 (Colwell, 2017) con la aplicación de los parámetros preestablecidos (solo se aumentó el número de aleatorizaciones, 1,000 en lugar de 100, a fin de obtener curvas más suavizadas). Después la curva se ajustó a la función de Clench (Clench, 1979; Jiménez-Valverde y Hortal, 2003): Sn= an/(1+ bn), donde a es la tasa de incremento de las especies, b un parámetro que describe la forma de la curva y n el número de muestras en el programa Statistica 7.0 de acuerdo con el procedimiento y parámetros empleados por Jiménez-Valverde y Hortal (2003). El análisis se hizo sobre 2 matrices. La primera consistió en la presencia de especies por cada una de las celdas derivadas del análisis de riqueza de celdas descrito más adelante (material suplementario 2). Cabe señalar que Salvia modica fue excluida de este análisis por no contar con coordenadas ni descripción precisa de la localidad de recolecta; por tanto, fueron consideradas 102 especies y las muestras fueron 198 celdas. La segunda se llevó a cabo tomando como unidades de muestreo los años de recolecta, en este caso se empleó la totalidad de las 103 especies y 85 muestras (material suplementario 3). Se emplearon la tasa de incremento de especies y el parámetro b obtenidos de la ecuación generada para calcular la cantidad de especies estimadas y la pendiente al final de la curva de acumulación de especies observada.
A partir de las fuentes consultadas para compilar el listado florístico, se capturaron los datos de los ejemplares en formato electrónico. Se incluyeron los registros de literatura y bases de datos cuyas determinaciones pudieron corroborarse mediante el cotejo de fotografías proporcionadas por los herbarios respectivos o disponibles en las mismas colecciones virtuales, esto incluyó a los ejemplares tipo disponibles en JSTOR Global Plants (2020). Se estimaron las coordenadas geográficas para aquellos ejemplares que carecían de ellas y contaban con una descripción clara de la localidad de recolecta, para ello se empleó el método de Wieczorek (2001), pero sin el cálculo de radios de incertidumbre. Las coordenadas se obtuvieron con ayuda de Google Earth Pro (2020) y el catálogo de localidades de Sedesol (2020). En el caso de especímenes con localidades dudosas o imprecisas, se tomaron coordenadas aproximadas de acuerdo con el municipio asignado o a escala estatal y fueron empleados para análisis espaciales en exclusivo para el nivel de certidumbre correspondiente. Los datos espaciales fueron corroborados al verificar la correspondencia de los puntos de presencia con las capas de municipios en el programa QGIS 2.18.9 (2017); se corrigieron los municipios, coordenadas y elevaciones registradas para aquellos especímenes en que se detectó que los datos originales eran incorrectos.
Se realizó una cuantificación de los registros y cantidad de especies por las siguientes unidades: a) municipios, b) tipos de vegetación (Rzedowski, 1978), c) provincias biogeográficas (Morrone et al., 2017), d) ecorregiones (González-Elizondo et al., 2007), e) rangos de latitud y longitud, f) elevación, y g) celdas de área dependiente de la extensión de la distribución de las especies (Willis et al., 2003). En particular, para la vegetación se consideraron los tipos principales propuestos por Rzedowski (1978), así como los subtipos del bosque de coníferas (bosque de oyamel, bosque de pino y bosque de táscate, el resto se conjuntaron como bosque mixto de coníferas: bosque de Cupressus y bosque de Pseudotsuga/Picea); adicionalmente se consideraron 3 categorías de vegetación de importancia regional: el caso especial del bosque de pino y encino (González-Elizondo et al., 2007), el matorral subtropical (Rzedowski y McVaugh, 1966; González-Elizondo et al., 2007) para denotar la diferencia fisonómica y en complejidad estructural respecto al bosque tropical caducifolio, y una categoría para la vegetación secundaria. Se optó por este esquema de clasificación para facilitar la comparación con otras regiones del país, ya que las propuestas regionales o detalladas pueden dificultar la comparación entre las unidades de vegetación propuestas. Los análisis de riqueza por celdas de área definida se desarrollaron con la ayuda de DIVA-GIS 7.5.0 (R. J. Hijmans, http://www.diva-gis.org/), la extensión de la capa definida fue -102º a -107.44º de longitud y 22º a 26.96º de latitud. Se activó la función vecindad circular con un radio igual al tamaño de celda.
El análisis de complementariedad de áreas para la identificación y priorización de las celdas mínimas que albergarían la diversidad de Lamiaceae de Durango, se realizó a través de un proceso iterativo de selección de la celda de mayor riqueza una vez descartadas las especies ya consideradas en la iteración anterior (Humphries et al., 1991; Venegas-Barrera y Manjarrez, 2011). En el análisis se excluyeron las especies no nativas de Durango (Leonotis nepetifolia, Marrubium vulgare y Prunella vulgaris), por no tener un alto interés de conservación y la matriz empleada fue la de presencia/ausencia por observaciones estrictas (material suplementario 4), es decir, aquella en que no se estableció la función de vecindad circular para asignación de especies por celda en DIVA-GIS 7.5.0. Como segundo criterio de priorización, se obtuvo para cada especie el recíproco del cociente del número de celdas ocupadas entre la totalidad de celdas, y del cociente de los estados ocupados por una especie entre la totalidad de éstos (la distribución por estados de las especies se extrajo de Martínez-Gordillo et al. [2017]); así, en cada celda se sumaron ambos valores y se dio prioridad a las celdas que obtuvieran un valor más alto en los casos en que poseían la misma riqueza. Se realizó un segundo análisis con las mismas características, pero a partir de una matriz en la que se excluyeron las especies que están representadas en alguna de las ANP de Durango a excepción de las 2 cuencas alimentadoras de distritos nacionales de riego. Las anteriores no fueron consideradas debido a que no cuentan con una definición clara, carecen de un plan de manejo o rector y en realidad nunca han sido sujetas a acciones concretas de manejo (Rentería-Arrieta y Montiel-Antuna, 2017).
Resultados
Las Lamiaceae de Durango se integran en 18 géneros y 103 especies (Apéndice, Fig. 1). La riqueza del género Salvia es 5 veces más que la de cualquiera de los otros géneros y representa 56.31% del total de la familia (Tabla 1). Destacan después Agastache, Hyptis y Stachys, por la cantidad de especies presentes. Derivado del trabajo de campo, se recolectaron muestras de 72 de las especies, que correspondieron a 378 registros. Durante el transcurso del proyecto, se describieron 5 especies nuevas: Agastache sandersiana, Cunila socorroae, Salvia durangensis, S. odam y S. rhizomatosa (García-Peña y González-Gallegos, 2020; González-Gallegos, 2015; González-Gallegos y López-Enríquez, 2017; González-Gallegos, Castro-Castro et al., 2020). Del total de especies, 63 correspondieron a especies endémicas de México, 10 de ellas endémicas de Durango más uno de sus estados colindantes, 10 fueron solo para Durango y de éstas, 4 se encontraron en un solo municipio (Apéndice).


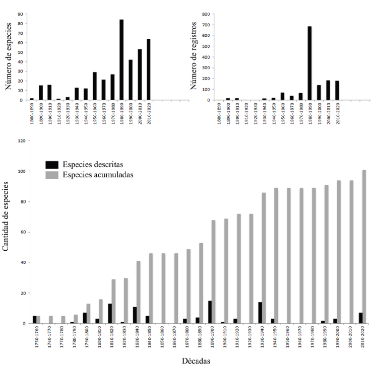
Las primeras especies de Lamiaceae recolectadas en Durango, de acuerdo con la información recopilada, corresponden a Agastache coccinea, Hedeoma jucunda y Stachys venulosa en 1881 por A. Forrer (material suplementario 3). A partir de entonces, el avance en el conocimiento de la familia en Durango ha sido mayormente fortuito, con varias décadas de casi nula o escasa recolecta (1880-1890, 1910-1930), intercaladas con otras de actividad moderada o intensiva. La década de 1980-1990 es la que reúne una mayor cantidad de registros (689), géneros (17) y especies (85) en la matriz de datos. Para esa misma década, se habían registrado ya 90.3% del total de especies conocidas ahora para la entidad, y en la década 2010-2020 se registraron 3 especies más. Por otra parte, la descripción de las especies ha sido errática, con 4 décadas de mayor intensidad (1810-1820, 1830-1840, 1890-1900 y 1930-1940), intercaladas con períodos amplios de pocas contribuciones en esta materia. Dentro de las 4 décadas mencionadas, se describieron 53 de las especies registradas, con una variación de 11-15 especies por cada periodo (Fig. 2).

La curva de acumulación de especies ajustada a la ecuación de Clench, con base en la presencia de especies por celdas (Fig. 3), resultó en una porción explicada de varianza de 0.998 y una R2 de 0.999. El parámetro a obtuvo un valor de 7.903 y b de 0.071; por tanto, las especies estimadas fueron 111 y la pendiente final de la curva, de 0.034. En el análisis, con base en los años de recolecta como unidades de muestreo (Fig. 3), se obtuvo una porción de varianza explicada de 0.999 y una R2 de 0.999. El parámetro a fue 9.19 y b 0.077; el número de especies estimado fue 118 y la pendiente al final de la curva, 0.159. En función de tales predicciones, las especies de Lamiaceae registradas hasta ahora en Durango representan 87-92% de las que podrían encontrarse en la entidad.

Se examinaron 2,888 especímenes de herbario de labiadas de Durango, que correspondieron a 1,483 números de recolecta. Se corrigió la determinación de 650 de los anteriores y para 891 se hizo el cálculo de coordenadas geográficas porque carecían de ellas o los datos originales eran incorrectos. El herbario CIIDIR fue la colección que aportó una mayor cantidad de registros (995 registros, 34.48% del total) y junto con ANSM (207, 7.17%), IBUG (269, 9.32%), IEB (258, 8.94%) y MEXU (537, 18.61%), suman 78.46% de la totalidad (Tabla 2). Por otra parte, CIIDIR cuenta con 426 ejemplares de los cuales no existen duplicados en el resto de las colecciones consultadas, mientras MEXU cuenta con 140 en esta categoría. De igual manera CIIDR (93 spp.), MEXU (83 spp.), IBUG (73 spp.) e IEB (68 spp.) son las colecciones que resguardan una mayor representación de especies de labiadas de Durango. La cantidad de registros por género y especie resultó desigual, ya que mientras para Salvia se obtuvieron 962 registros, para el resto de los géneros se contó con menos de 100, siendo extremos los casos de Leonotis y Physostegia con tan solo 2. En cuanto a especies, Salvia prunelloides (130 registros), S. lavanduloides (108), S. elegans (76), Prunella vulgaris (68), S. microphylla (64) y Stachys coccinea (51) fueron las que obtuvieron más de 50 registros, mientras 10 especies estuvieron representadas por solo 1, y 25 por menos de 5.

Se registraron especies de Lamiaceae para 33 de los 39 municipios de Durango (Fig. 4), la mayoría de los que carecen de registros se encuentran en el área semiárida de la entidad. Aquellos con mayor cantidad de registros fueron Pueblo Nuevo (248 registros), Durango (195), Mezquital (168), Súchil (149) y San Dimas (131). Los que contaron con más riqueza de géneros fueron Pueblo Nuevo (12), Mezquital (12) y San Dimas (11); respecto a especies, destacaron Mezquital y San Dimas (39 c/u), Pueblo Nuevo (37), Topia (32), Canelas y Durango (31 c/u). El mayor número de especies endémicas de Durango se encontró en San Dimas (5 spp.), Canelas (4), Pueblo Nuevo y Topia (3 c/u). De la totalidad de especies, 25 fueron encontradas en un único municipio, de entre ellas, Salvia albicalyx y Salvia odam son endémicas de Mezquital, Salvia rhizomatosa de Pueblo Nuevo y Salvia modica de Guanaceví. En contraste, Salvia prunelloides (presente en 15 municipios), S. microphylla, S. regla y S. tiliifolia (en 13 c/u), Stachys coccinea (en 12), Salvia reflexa y S. greggii (en 11 c/u) y S. melissodora (en 10), fueron las especies más representadas a escala municipal.

Los tipos de vegetación con más registros fueron el bosque de pino y encino (702), el bosque de pino (182), el matorral xerófilo (105) y el bosque de encino (96) (Fig. 5). Aquellos que concentraron mayor cantidad de especies fueron el bosque de pino y encino (69), el bosque de encino (44), el bosque de pino (39), el bosque tropical caducifolio (31) y el matorral xerófilo (27). De la totalidad de especies, 22 fueron registradas en un solo tipo de vegetación y al menos se encontró 1 especie en cada uno de los tipos de vegetación presentes en Durango.

Entre las provincias biogeográficas, la mayor cantidad de registros y de especies correspondieron a la Sierra Madre Occidental (1159 y 89, respectivamente), y luego al Desierto Chihuahuense (251 y 33) y a las Tierras Bajas del Pacífico (53 y 25). De las 63 especies que se registraron en una sola provincia, 51 de ellas fueron para la Sierra Madre Occidental, la cual también concentró la totalidad de especies endémicas de Durango. La ecorregión Región de la Sierra, fue la que reunió una mayor cantidad de observaciones (1105), seguida por las regiones Valles (126), Pie de Monte y Serranías (122), Quebradas (56), y Árida y Semiárida (54). De igual manera, las primeras 2 de las regiones tuvieron la mayor cantidad de especies (89 y 28, respectivamente), mientras que en la Región de Quebradas se registraron 26, en Pie de Monte y Serranías 21, y en la Región Árida y Semiárida, 15. De las 5 ecorregiones de Durango, la Región de la Sierra fue la que albergó una mayor cantidad de especies restringidas a ella (45), mientras que el resto poseen 3 o menos y en total, fueron 53 las especies que se encontraron en una sola de las ecorregiones.
La mayoría de las especies se concentraron hacia el occidente de Durango, sobre todo entre 104º a 106º de longitud (90 spp. en conjunto); tales franjas longitudinales también conjuntan 81.05% del total de registros (Fig. 6). Las latitudes intermedias son las que albergan más especies, entre 23.5º a 25.5º se encuentran 91 especies y 71.34% de los registros (Fig. 6). En términos de elevación, la mayor riqueza se concentró entre 1,900 a 2,500 m (75 spp. y 697 registros) (Fig. 7).


En el análisis de riqueza por celdas de área dependiente a la extensión de la distribución de las especies, se obtuvo un tamaño de celda de 0.1632º por lado (≈ 17.8 km) de acuerdo con la metodología aplicada. Esto derivó en 502 unidades en las que se dividió el territorio de Durango (Fig. 8). La densidad aproximada fue de 0.0145 registros por km2. El 83.46% de las celdas obtuvieron un valor de riqueza menor a 9 (180 de las celdas no contaron con registro alguno) y en 2.39% se encontraron más de 20 especies. Las celdas de mayor riqueza se ubicaron a lo largo de la Sierra Madre Occidental en 4 áreas generales (Fig. 8): 1) confluencia entre los municipios de Canelas y Topia (celdas 190, 215 y 216), 2) norte de Pueblo Nuevo y sur de San Dimas (celdas 400, 409, 419-423, 434), y en segundo plano, 3) porción central de Mezquital (celda 483), y 4) la confluencia entre el norte de este municipio y Súchil (La Michilía; celdas 431, 444 y 457). La unidad con mayor riqueza se encuentra en la primera de estas áreas con 37 especies (celda 215; Fig. 8). En contraste, el noreste del estado es el que posee una menor riqueza de especies y alberga la mayor proporción de celdas en que no se ha registrado alguna Lamiaceae. Las especies endémicas del estado se concentraron en las inmediaciones de Topia y Canelas (celdas 190 y 215, las mismas 5 spp. en cada una de ellas y celda 216 con 4 spp.) y en la confluencia de Pueblo Nuevo y San Dimas (celdas 406, 420 y 421, con 3 c/u).

El análisis de complementariedad general recuperó 29 celdas como el número mínimo que incluye a la totalidad de las Lamiaceae nativas de Durango (Fig. 9); al descartar las especies ya representadas en alguna de las ANP, las celdas necesarias se redujeron a 27 (Fig. 10). En el primer análisis los 3 lugares de mayor prioridad correspondieron a las celdas 215, 422 y 420, con una contribución conjunta de 49.49% de representación de las especies; en el segundo, fueron las celdas 215, 420 y 483 y conjuntaron 53.95%. En ambos casos, un porcentaje considerable consistió en celdas que aportaron una sola especie, 48.27% y 66.66 %, respectivamente.


Discusión
El inventario de 103 especies de Lamiaceae de Durango (apéndice) está relativamente completo en cuanto a la proporción de especies representadas de acuerdo con las estimaciones obtenidas a partir del ajuste de la curva de especies a la función de Clench (1979). Lo anterior se corrobora debido a que tal cifra es cercana a 90% de lo estimado y a que el ajuste de esta ecuación está bien soportado conforme a los valores de R2 resultantes. De acuerdo con ésto, sería posible encontrar aún entre 8 y 15 especies más. Aunque, por lo reducido de los valores obtenidos de la pendiente al final de las curvas proyectadas, completar el inventario exigiría un esfuerzo desproporcionado respecto a la cantidad de especies a adicionar. Es decir, es probable que, de estar presentes, esas especies faltantes tuvieran una distribución restringida, marginal en Durango, o densidades poblacionales muy bajas.
Al cotejar con la revisión de Lamiaceae en México de Martínez-Gordillo et al. (2017), la magnitud de la riqueza de la familia en Durango, 18 géneros y 103 especies, equivale a 54.54% y 17.22%, respectivamente, de lo registrado para el país. Durango comparte la novena posición con Nuevo León y ambos sobresalen entre el resto de los estados del norte por su riqueza de Lamiaceae. Martínez-Gordillo et al. (2017) registraron 102 especies de Lamiaceae para Durango, cuantitativamente la diferencia es mínima; sin embargo, cualitativamente difieren en 15 especies debido a la adición de algunas que fueron recientemente descritas (Cunila socorroae, Salvia rhizomatosa y S. sp. 1; García-Peña y González-Gallegos, 2020; González-Gallegos et al., 2016; González-Gallegos, Castro-Castro et al., 2020), especímenes cuyas determinaciones fueron corregidas (lo registrado como Cunila polyantha en realidad correspondía a C. socorroae, los ejemplares que se conocían como Hedeoma costata resultaron ser H. plicata y aquellos de Salvia seemannii fueron rectificados a S. languidula), registros que habían pasado desapercibidos (Agastache mearnsii, Hyptis suaveolens, Salvia sphacelifolia y Stachys parvifolia) y discrepancias en la circunscripción taxonómica de especies. En este último aspecto se siguió el criterio taxonómico de González-Gallegos et al. (2016), en el que Salvia agnes se trata como sinónimo de S. lavanduloides y S. prunifolia de S. assurgens; de manera similar, al no encontrar una discontinuidad morfológica consistente y clara para la distinción de las especies, Hyptis septentrionalis, Salvia betulifolia y Teucrium coahuilanum fueron tratadas como sinónimos de H. urticoides, S. regla y T. cubense, respectivamente.
Durango contiene casi 16% de las especies de Lamiaceae que son endémicas de México, lo que le posiciona en el sexto lugar en este parámetro respecto al resto de las entidades; ocupa el mismo lugar al considerar las especies endémicas a escala estatal (Martínez-Gordillo et al., 2017). Es relevante destacar que a diferencia del trabajo de Martínez-Gordillo et al. (2017), aquí se excluyó a Stachys venulosa como especie restringida a Durango al encontrar un ejemplar recolectado en Nayarit (Tenorio-L. & Flores-F. 16535, MEXU). Las labiadas endémicas de Durango representan el 7.9-12.5% del total de plantas vasculares restringidas a esta entidad (González-Elizondo et al., 2018; Villaseñor, 2016). Superan lo registrado para las Cactaceae (González-Elizondo et al., 2017) y las Poaceae (Herrera-Arrieta y Cortés-Ortiz, 2009), 10 especies contra 7 y 4, respectivamente. Las labiadas endémicas de Durango crecen en la Sierra Madre Occidental, lo cual podría explicar su mayor número, ya que esta provincia presenta una fuerte heterogeneidad ambiental producto de su variada fisiografía, geología y tipos de suelos, lo que se ha aludido como factores que promueven el endemismo (Rzedowski, 1991). En contraste, los representantes endémicos de Cactaceae se distribuyen en el Desierto Chihuahuense (González-Elizondo et al., 2017), una provincia más uniforme en la que el endemismo cobra preponderancia a escala de la región completa (Villarreal-Quintanilla et al., 2017). De igual manera, es probable que la alta capacidad de dispersión de las Poaceae sea una característica intrínseca que disminuye su endemismo a escalas cada vez más finas (Linder et al., 2017), ésto se refleja en la baja proporción de taxones endémicos por estado que se ha registrado en México (Dávila et al., 2018).
Los ejemplares más antiguos de Lamiaceae obtenidos para Durango fueron recolectados hace 139 años y para finales de la década de 1940, se contaba con 82 especímenes y 40 especies registradas de acuerdo con los datos recabados. La posibilidad de encontrar ejemplares más antiguos y numerosos al revisar otros herbarios es reducida debido a las situaciones comentadas a continuación. En México las primeras exploraciones botánicas que derivaron en la generación de especímenes de herbario comenzaron en 1700, iniciaron a través de Campeche y Veracruz, y luego continuaron hacia el centro, norte y porciones limítrofes del territorio (Rzedowski et al., 2009). La lejanía histórica de Durango hacia los puertos de acceso a la colonia española y su metrópoli, en parte explicaría la baja intensidad global de exploración botánica en la entidad. Y si bien existe testimonio de la presencia de la tercera excursión de la Real Expedición Botánica de la Nueva España en Durango en 1792, no hay una descripción de las localidades visitadas, ni una enumeración del material que podría haberse recolectado y los ejemplares que han persistido (la mayoría en el herbario MA) carecen de datos precisos de localidad (Bye, 1994; McVaugh, 2000). Un caso semejante es el referente a las colectas de Seemann entre 1849 y 1850 en la Sierra Madre Occidental, ya que la mayoría no tiene datos precisos, su numeración no es cronológica, por lo que no es posible determinar si fueron colectados en Durango, Nayarit o Sinaloa (Ávila-González et al., 2018; Ayers, 1987; Seemann, 1852). El repunte notorio en número de especímenes recolectados y de la cantidad de especies de Lamiaceae, sumadas al listado entre 1980-1990, es consecuencia de la injerencia del herbario CIIDIR, fundado en 1981 (Conabio, 2020a) y del arranque del proyecto “Flora de Durango” (González-Elizondo et al., 1991). Lo anterior se observa también en la mayor contribución de ejemplares, en general y únicos, así como de la representación de especies que aporta este herbario al compendio total de datos.
La contribución de la riqueza de especies por géneros es muy dispar, Salvia con 58 especies, mientras que Agastache, el segundo género con mayor riqueza, contó con 8. La preponderancia de Salvia no es sorpresiva, ya que es el género con más especies dentro de la familia (Harley et al., 2004) y México es el país que reúne una mayor cantidad de ellas ( González-Gallegos, Bedolla-García et al., 2020), además de estar identificado como un centro de su origen y diversificación (Fragoso-Martínez et al., 2018; Kriebel et al., 2019). De igual manera, en otras regiones estudiadas del país, Salvia es el componente principal de las labiadas presentes, a decir de Chiapas (Domínguez-Vázquez et al., 2002), Michoacán (Lara-Cabrera et al., 2016), Occidente de México (González-Gallegos et al., 2016) y el Valle de Tehuacán-Cuicatlán (Martínez-Gordillo et al., 2019). Agastache es distinto, de los trabajos regionales mencionados, está ausente en Chiapas y en ninguna de las otras regiones comparadas está representado por más de 2 especies. Además, la riqueza de Agastache en Durango corresponde a 32.14% de las 23 especies reconocidas en este género (González-Gallegos y López-Enríquez, 2017; Harley et al., 2004; Sanders, 1987) y en conjunto con Chihuahua y Sonora, suman 11 de las 13 especies en el país, 9 de ellas no compartidas con el resto de estados (Martínez-Gordillo et al., 2017). No existe un análisis filogenético o apuntes biogeográficos y ecológicos de Agastache que puedan ayudar a entender por qué la riqueza es mayor en esta área, en especial a lo que corresponde a la Sierra Madre Occidental (Martínez-Gordillo et al., 2017). Sin embargo, es probable que esta provincia biogeográfica haya estimulado la diversificación del género a través de su heterogeneidad de hábitats, ya que dentro de ella y en los estados mencionados, 5 de sus especies son endémicas (González-Gallegos y López-Enríquez, 2017; Martínez-Gordillo et al., 2017). Las propiedades del suelo, tales como la profundidad y su contenido de arcilla, parecen tener también relación con la diversidad del género, ya que Sanders (1987) describe una distribución diferencial entre algunas de las especies en Durango en función de tales características. No obstante, se requiere un trabajo enfocado en Agastache para comprender mejor su diversificación y distribución.
El número de ejemplares por especie también es desigual, con una amplitud de 129 registros de diferencia entre la más y las menos recolectadas. Aunque tal diferencia pudiera explicarse en un porcentaje simplemente por el sesgo natural en la recolecta, también existen propiedades biológicas inherentes a estas especies que incrementan su probabilidad de ser recolectadas. Las 6 especies con más de 50 especímenes se caracterizan por ser tolerantes a hábitats disturbados o heliófilas y por tener a la vez la capacidad de colonizar al menos 3 tipos diferentes de vegetación, por lo que su ocupación geográfica en Durango es amplia y así se incrementa su probabilidad de mayor recolecta. En contraste, especies representadas por un solo registro, tales como Clinopodium amissum, Lepechinia nelsonii, Salvia tubifera y S. purpusii son muy específicas en cuanto a las condiciones ambientales donde crecen y/o medran en bajos números y poblaciones en localidades de acceso difícil.
La aparente ausencia de Lamiaceae en 6 de los municipios de Durango debe ser un efecto del sesgo de recolecta botánica, ya que en realidad forman continuos ambientales y geomorfológicos de municipios aledaños en que se registra al menos una especie. La mayor cantidad de especies en los municipios serranos, en contraposición a aquellos del desierto o semidesierto, es un reflejo de la mayor afinidad ecológica de Lamiaceae por áreas montañosas y de bosques templados, al menos en México (Ramamoorthy y Elliott, 1998); algo observado también en Chiapas y en Michoacán (Domínguez-Vázquez et al., 2002; Lara-Cabrera et al., 2016). Es así como entre los tipos de vegetación, los bosques de pino y encino, bosque de encino y bosque de pino, son los que reúnen una mayor cantidad de especies, aunque justo después les siguen el bosque tropical caducifolio y el matorral xerófilo. Una secuencia similar se encuentra al ordenar por su riqueza a las diferentes provincias biogeográficas y ecorregiones, es decir, comienzan aquellas unidades de afinidad templada (Sierra Madre Occidental, con Región de Sierra y Pie de Monte y Serranías), seguidas por las áridas y semiáridas (Desierto Chihuahuense, con Región Valles y Región Árida y Semiárida) y por último las tropicales (Tierras Bajas del Pacífico, con la Región de Quebradas); este patrón coincide con el descrito para la flora global de Durango (González-Elizondo et al., 2018). Otro aspecto para considerar es la alta variabilidad topográfica de la región serrana respecto al desierto y semidesierto; ésta puede actuar como un mosaico heterogéneo que brinde diversos nichos a corta distancia entre sí, que a la vez permitan la confluencia de especies con diferentes requerimientos ecológicos.
Los únicos trabajos que hacen análisis espaciales de riqueza florística enfocados mayormente en Durango son los realizados por Cortés-Ortiz y Herrera-Arrieta (2011) y González-Elizondo et al. (2017). Ambos trabajan en el análisis de celdas de 30’ por lado (aprox. 55 × 55 km) como unidades espaciales, no analizan a escala de municipios; sin embargo, a partir de la posición de las celdas, se pueden inferir los municipios en gran medida. En el primero trabajan con la distribución de la riqueza de Poaceae y las 2 celdas de mayor riqueza corresponden a zonas limítrofes de los municipios de Durango + San Dimas y Mezquital + Súchil. En el segundo, el taxón es Cactaceae y las celdas de mayor riqueza quedaron inmersas en los municipios Cuencamé, General Simón Bolívar + San Juan de Guadalupe, y Mapimí + Tlahualilo, en orden decreciente. A excepción de Súchil, el resto de los municipios de mayor riqueza para Poaceae coinciden con aquellos recuperados para Lamiaceae. En contraste, ninguno de los de Cactaceae coincide; estos municipios, por el contrario, son de los de menor riqueza y para General Simón Bolívar no se encontró ningún registro. La gran discrepancia entre estas 2 familias se debe a la mayor afinidad de Cactaceae por ecosistemas áridos y semiáridos del país (Arias et al., 2012; Bárcenas-Luna, 1999). Existen otros trabajos a escala nacional o regional en los que se incluye a Durango; no obstante, los taxones ahí analizados están poco representados en el estado, por lo que pueden no ser informativos y por ende, no son aquí comparados (Anguiano-Constante et al., 2018; Carrasco-Ortiz et al., 2019; Fresnedo-Ramírez y Orozco-Ramírez, 2013).
En términos espaciales, la mayor riqueza se concentra hacia el oeste de Durango, lo cual puede relacionarse con un efecto de gradiente de mayor a menor humedad desde la línea costera hacia el interior de acuerdo con la precipitación media anual y la lluvia acumulada del promedio anual (Caetano y Vázquez, 2016; Conagua, 2020; Vidal-Zepeda, 1990). No hay evidencia de un gradiente latitudinal contundente de la distribución de la familia dentro del estado; por una parte, la diferencia de latitud es de solo 4.5º aproximadamente entre sus extremos y aún en el noroeste, se encuentran zonas de alta riqueza tales como Canelas y San Dimas. Esto recalca la preponderancia de la Sierra Madre Occidental como actor que estimula la riqueza vegetal y que determina su distribución y estructuración en Durango, sea que actué como un corredor, barrera o refugio que promueva y resguarda la diversificación (Bye, 1994). En el aspecto de elevación, los valores intermedios son los más favorables para los taxones en estudio, algo que ha sido recurrente en el análisis de la distribución de Lamiaceae en el país y que concuerda también con la cota de elevación en que crecen mayoritariamente los bosques templados (Domínguez-Vázquez et al., 2002; González-Elizondo et al., 2007; Lara-Cabrera et al., 2016; Rzedowski, 1978).
El tamaño obtenido en el análisis de riqueza por celdas para cada unidad, es uno de los más pequeños en referencia al utilizado en trabajos similares realizados en México (Anguiano-Constante et al., 2018; Carrasco-Ortiz et al., 2019; Cortés-Ortiz y Herrera-Arrieta, 2011; Fresnedo-Ramírez y Orozco-Ramírez, 2013; González-Elizondo et al., 2017; Munguía-Lino et al., 2015; Rodríguez, 2015; Rodríguez et al., 2018; Suárez-Mota y Villaseñor, 2011; Vargas-Amado et al., 2020; Zacarías-Correa et al., 2019) y solo superior a lo presentado por Ramos-Dorantes et al. (2017) en un análisis de Pinus para Puebla, y Aragón-Parada et al. (2019) con la distribución de Sedum en la Sierra Madre del Sur. Lo cual se explica parcialmente al considerar que el método de Willis et al. (2003) depende de la extensión total del área de análisis, por lo que en áreas geográficas más amplias la distancia entre los puntos de presencia más distantes de un taxón tiende a ser mayor y por tanto aumenta el promedio global. El patrón de la distribución de la riqueza de especies es semejante al ya discutido para los municipios, provincias biogeográficas y ecorregiones, y dimensión espacial: mayor riqueza en el occidente y menor al oriente del estado. Sin embargo, este análisis es más fino al contar con unidades más pequeñas y estandarizadas; gracias a esto, revela que los vacíos de recolecta no yacen solo en las regiones áridas y semiáridas, sino aún sobre la zona serrana hay porciones amplias sin datos. Las franjas de vacío de recolectas en la zona serrana se alinean sobre todo con los límites estatales con Chihuahua, Nayarit y Sinaloa, correspondientes a un complejo de quebradas de difícil acceso. Por otra parte, aunque los municipios Mezquital y San Dimas son los que concentran la mayor cantidad de especies, en realidad hay una mayor riqueza por unidad de área en celdas que se anidan dentro de los municipios de Canelas y Topia.
Villaseñor et al. (2005) realizaron un estudio en el que evaluaron la diversidad observada y la diferencia entre ésta y la estimada para 4 tribus de Asteraceae: Mutisieae, Senecioneae, Tageteae y Vernonieae. En comparación con este trabajo, se encuentran varias coincidencias con los patrones de riqueza de especies de Lamiaceae en Durango: a) las celdas de mayor riqueza recuperadas en la colindancia de Canelas y Topia corresponden con alta riqueza observada y estimada de Senecioneae, y observada de Vernonieae; b) aquellas de Pueblo Nuevo y San Dimas con celdas de alta riqueza observada para la tribu Senecioneae; c) las del sur de Mezquital con alta riqueza estimada de Senecioneae y Tageteae; d) las de la Michilía con alta riqueza estimada de Mutisieae y Senecioneae. La alta riqueza de labiadas de las porciones sur y suroeste de Durango, coinciden con aquellas de segundo orden de riqueza del género Cosmos (Vargas-Amado et al., 2013). Las celdas de alta riqueza de labiadas de La Michilía corresponden con una de las de mayor riqueza para pastos en un análisis para los estados de Chihuahua, Coahuila y Durango, y los de la confluencia Pueblo Nuevo + San Dimas corresponden a uno de segundo orden de riqueza en dicho estudio (Cortés-Ortiz y Herrera-Arrieta, 2011). Además, la zona de alta riqueza en Pueblo Nuevo coincide en parte con una de las 11 áreas identificadas por Sosa y De-Nova (2012) como de endemismo ponderado más alto en México para un grupo selecto de angiospermas que analizaron.
Las celdas identificadas a través del análisis de complementariedad general coincidieron mayormente con aquellas con la mayor riqueza, con excepción de 3 (26, 29 y 31) obtenidas en el extremo noreste del estado, y algunas otras distribuidas en la Sierra Madre Occidental. Lo anterior se debe a que, aunque el noreste árido no provee una gran riqueza, sí cuenta con un ensamble peculiar de especies adaptadas a esas condiciones: Salvia podadena, S. purpusii, Scutellaria mexicana, Tetraclea coulteri y Teucrium cubense. Por otra parte, dado que el análisis busca que las celdas seleccionadas en suma aporten a la composición global de especies, adquieren importancia aquellas que contienen especies poco representadas en el área de estudio. Los resultados del análisis en que se excluyeron las especies incluidas en ANP de Durango fueron semejantes, aunque en este caso las celdas del noreste no se recuperaron ya que sus especies están representadas dentro de la Reserva de la Biosfera de Mapimí. No obstante, la alta semejanza entre los resultados de los dos análisis, evidencia que las ANP actuales no contienen un porcentaje alto de las especies, en conjunto reúnen 21 de ellas.
Al hacer la comparación de las celdas de mayor riqueza y aquellas que complementan la composición de Lamiaceae de Durango con las rtps (Arriaga-Cabrera et al., 2000) y los spts de México (Conabio et al., 2008) resalta que: a) las áreas de mayor riqueza 2 y 3 son cubiertas por 2 rtps, mientras la 1 y la 4 solo de manera marginal, b) 12 de las celdas complementarias (del análisis sin especies incluidas en ANP) no se traslapan con las rtps, incluidas 3 de las 5 celdas de mayor prioridad, c) la coincidencia entre las celdas de mayor riqueza con los spts es baja, las celdas con más especies no coinciden con los anteriores, d) 15 de las celdas complementarias no concuerdan con los spts, incluidas 4 de las 5 de mayor prioridad. La falta de concordancia señalada da pauta a cuestionar la pertinencia de las rtps y los spts designados a Durango. Rentería-Arrieta y Cantú-Ayala (2017) ya señalaban que es necesario la ejecución de estudios complementarios en Durango para la redefinición de los sitios prioritarios para la conservación. Ellos aludían que las rtps y los spts fueron diseñados a una escala y a partir de intereses nacionales; sin embargo, apuntan que es importante una reevaluación gestada de un enfoque más concreto a las condiciones y necesidades estatales. Al observar la distribución de los spts, es claro que exhiben mayor concentración en la porción árida del estado, así como alrededor de humedales y cañones tropicales del oeste, mientras se percibe una menor densidad en la porción serrana templada (Figs. 9, 10). Esto puede ser un artefacto en el análisis ya que los factores prioritarios considerados incluyeron la distribución de plantas en la NOM-059-ECOL-2010 y de vertebrados (anfibios, aves, mamíferos y reptiles) (Conabio, 2020b; Semarnat, 2010). Sin embargo, la efectividad de la NOM-059 ha sido cuestionada por sobrerrepresentar algunos grupos y no contar con criterios claros en la categorización de un alto porcentaje de las especies (García-Aguilar et al., 2017). Por ejemplo, mientras se incluían más de 250 especies de Cactaceae, solo se encontraba una de Lamiaceae; más por la carencia de un análisis específico de esta familia que por no cumplir con los criterios establecidos.
Los resultados aquí obtenidos brindan herramientas para generar una planeación de exploración botánica que permita un conocimiento más homogéneo y completo de la flora de Durango, así como elementos a integrar en estudios para redefinir las rtps, los spts e identificar áreas de interés para ejecutar acciones de conservación biológica. Si bien se presenta solo lo referente a una de las familias en la entidad, es probable que exista una alta coincidencia en patrones de riqueza y vacíos de datos para otros taxones, sobre todo de aquellos con afinidad ecológica semejante a Lamiaceae. Además, pueden agregarse a un solo análisis matrices que se generen de otros grupos vegetales que pudieran complementar patrones de distribución no reflejados en las Lamiaceae, por ejemplo, integrar la matriz de datos de Cactaceae y realizar una nueva exploración. Bajo esta lógica y en específico para Lamiaceae, es prioritario lograr explorar y documentar la diversidad presente en la porción sur de Tamazula, el norte de la Sierra Madre Occidental, en primer término en los municipios Guanaceví, Ocampo y San Bernardo, y en segundo en Otáez, San Dimas, Santiago Papasquiaro y Tepehuanes. También es deseable incrementar las recolectas en el Desierto Chihuahuense, pero con énfasis en los municipios General Simón Bolívar, Gómez Palacio, Nazas, San Juan de Guadalupe, San Luis del Cordero y Santa Clara. Por otra parte, aunque la confluencia de Canelas y Topia reúne la mayor riqueza y concentración de endemismos, no es parte de las rpts, spts o de alguna ANP. Por tanto, es crítico que pueda realizarse una evaluación más integral de la preponderancia de la biodiversidad de esta región en el estado, y generar las acciones necesarias para su conservación.
Agradecimientos
La presente contribución fue posible gracias al Conacyt, a través de su apoyo financiero mediante el proyecto CB-2015-01-255165 “Sistemática, filogenia y biogeografía del género Salvia L. (Lamiaceae) en México” y al IPN, a través del proyecto SIP20171297 “Identificación de áreas prioritarias para la exploración botánica en el estado de Durango”. Agradecemos la ayuda y facilidades brindadas por los curadores de los herbarios consultados. George Yatskievych y Amber L. Horning del herbario TEX, amablemente proporcionaron imágenes escaneadas de un isotipo de Teucrium coahuilanum para aclarar su estatus taxonómico.
Referencias
Agostini, G., Evheverrigaray, S. y Souza-Chies, T. T. (2012). A preliminary phylogeny of the genus Cunila D. Royen ex L. (Lamiaceae) based on ITS rDNA and trnL-F regions. Molecular Phylogenetics and Evolution, 65, 739-747. https://doi.org/10.1016/j.ympev.2012.07.030
Anguiano-Constante, M. A., Munguía-Lino, G., Ortiz, E., Villaseñor, J. L. y Rodríguez, A. (2018). Riqueza, distribución geográfica y conservación de Lycianthes serie Meizonodontae (Capsiceae, Solanaceae). Revista Mexicana de Biodiversidad, 89, 516-529. http://dx.doi.org/10.22201/ib.20078706e.2018.2.2340
Aragón-Parada, J., Carrillo-Reyes, P., Rodríguez, A. y Munguía-Lino, G. (2019). Diversidad y distribución geográfica del género Sedum (Crassulaceae) en la Sierra Madre del Sur, México. Revista Mexicana de Biodiversidad, 90, e902921. http://dx.doi.org/10.22201/ib.20078706e.2019.90.2921
Arias, S., Gama-López, S., Guzmán-Cruz, L. U. y Vázquez-Benítez, B. (2012). Cactaceae Juss. Flora del Valle de Tehuacán-Cuicatlán, 95, 1-235.
Arizmendi, M. C., López-Saut, E., Monterrubio-Solís, C., Juárez, L., Flores-Moreno, I. y Rodríguez-Flores, C. (2008). Efecto de la presencia de bebedores artificiales sobre la diversidad y abundancia de los colibríes y el éxito reproductivo de dos especies de plantas en un parque suburbano de la Ciudad de México. Ornitología Neotropical, 19, 491-500.
Arriaga-Cabrera, L., Espinoza-Rodríguez, J. M., Aguilar-Zúñiga, C., Martínez-Romero, E., Gómez-Mendoza, L. y Loa-Loza, E. (2000). Regiones terrestres prioritarias de México. México D.F.: Comisión Nacional para el Conocimiento y Uso de la Biodiversidad.
Ávila-González, H., González-Gallegos, J. G., Rubio-Cardoza, J. y Castro-Castro, A. (2018). The rediscovery of Lobelia macrocentron (Campanulaceae) after 169 years, with notes on the morphology, habitat and conservation status. Phytotaxa, 374, 268-272. https://doi.org/10.11646/phytotaxa.374.3.9
Ayers, T. J. (1987). Four species from western Mexico new to Lobelia (Campanulaceae: Lobelioideae). Brittonia, 39, 417-422. https://doi.org/10.2307/2807317
Bárcenas-Luna, R. T. (1999). Patrones de distribución de cactáceas en el estado de Guanajuato(Tesis). Facultad de Ciencias, Universidad Nacional Autónoma de México. México, D.F.
Bedolla-García, B. Y., Zamudio, S. y Castillo-Gómez, H. A. (2020). Salvia huastecana (Lamiaceae), a new species from San Luis Potosí, Mexico. Phytotaxa, 433, 1-8. https://doi.org/10.11646/phytotaxa.433.1.1
Bendiksby, M. L., Thorbek, L, Scheen, A.-C., Lindqgist, C. y Rydign, O. (2011). An updated phylogeny and classification of Lamiaceae subfamily Lamioideae. Molecular Phylogenetics and Biogeography, 60, 471-484. https://doi.org/10.1002/tax.602015
Bräuchler, C., Meimberg, H. y Heubl, G. (2010). Molecular phylogeny of Menthinae (Lamiaceae, Nepetoideae, Mentheae) - taxonomy, biogeography and conflicts. Molecular Phylogenetics and Evolution, 55, 501-523. https://doi.org/10.1016/j.ympev.2010.01.016
Bye, R. (1994). Prominence of the Sierra Madre Occidental in the biological diversity of Mexico. En L. F. DeBano, G. J. Gottfried, R. H. Hamre, C. B. Edminster, P. F. Ffolliott y A. Ortega-Rubio (Eds.), Biodiversity and management of the Madrean Archipielago: the sky islands of southwestern United States and northwest Mexico (pp. 19-27). Fort Collins: United States Forest Service.
Caetano, E. y Vázquez, G. (2016). El clima y la geografía. En O. Moncada-Maya y Á. López-López (cords.), Geografía de México, una reflexión espacial contemporánea, Capítulo 7 (pp. 115-123). México D.F.: Instituto de Geografía, Universidad Nacional Autónoma de México.
Cahill, J. P. (2003). Ethnobotany of chia, Salvia hispanica L. (Lamiaceae). Economic Botany, 57, 604-618.
Cahill, J. P. (2005). Human selections and domestication of chia (Salvia hispanica L.). Genetic Resources and Crop Evolution, 51, 773-781.
Carrasco-Ortiz, M., Munguía-Lino, G., Castro-Castro, A., Vargas-Amado, G., Harker, M., y Rodríguez, A. (2019). Riqueza, distribución geográfica y estado de conservación del género Dahlia (Asteraceae) en México. Acta Botanica Mexicana, 126, e1354. https://doi.org/10.21829/abm126.2019.1354
Celep, F., Atalay, Z., Dikmen, F., Doğan, M. y Classen-Bockhoff, R. (2014). Flies as pollinators of melittophilous Salvia species (Lamiaceae). American Journal of Botany, 101, 2148-2159. https://doi.org/10.3732/ajb.1400422
Claßen-Bockhoff, R. (2007). Floral construction and pollination biology in the Lamiaceae. Annals of Botany, 100, 359-360. https://doi.org/10.1093/aob/mcm157
Clench, H. (1979). How to make regional lists of butterflies: some thoughts. Journal of the Lepidopterists’ Society, 33, 216-231.
Colwell, R. K. (2017). EstimateS: statistical estimation of species richness and shared species from samples. Versión 9.1.00. Recuperado el 08 junio, 2017 de: Recuperado el 08 junio, 2017 de: http://viceroy.eeb.uconn.edu/estimates/EstimateSPages/AboutEstimateS.htm#WhoUsesEstS
Conabio (2020a). Colecciones biológicas científicas de México, Herbario CIIDIR. Comisión Nacional para el Conocimiento y Uso de la Biodiversidad, Ciudad de México. Recuperado el 07 julio, 2020 de: Recuperado el 07 julio, 2020 de: https://www.biodiversidad.gob.mx/fichas-conabio-war/resources/coleccion/29
Conabio (2020b). Conoce los sitios prioritarios terrestres. Comisión Nacional para el Conocimiento y Uso de la Biodiversidad, México, D.F. Recuperado el 02 octubre, 2020 de: Recuperado el 02 octubre, 2020 de: https://www.biodiversidad.gob.mx/pais/vaciosyom.html
Conabio, Conanp, TNC y Pronatura (2008). Sitios prioritarios terrestres para la conservación de la biodiversidad. Mapa 1:1000000. Comisión Nacional para el Conocimiento y Uso de la Biodiversidad, México D.F. Recuperado el 02 octubre, 2020 de: Recuperado el 02 octubre, 2020 de: http://www.conabio.gob.mx/informacion/metadata/gis/spt1mgw.xml?_xsl=/db/metadata/xsl/fgdc_html.xsl&_indent=no
Conagua (2020). Mapas de Climatología 1981-2010, lluvia acumulada promedio. Comisión Nacional del Agua, Gobierno de México. Recuperado el 23 julio, 2020 de: Recuperado el 23 julio, 2020 de: https://smn.conagua.gob.mx/es/climatologia/informacion-climatologica/mapas-de-climatologia-1981-2010
Conanp (2020). Humedales de México. Comisión Nacional de Áreas Naturales Protegidas. Recuperado el 23 julio, 2020 de: Recuperado el 23 julio, 2020 de: http://www.conanp.gob.mx/conanp/dominios/ramsar/lsr.php
Cortés-Ortiz, A. y Herrera-Arrieta, Y. (2011). Distribución y diversidad de la familia Poaceae en Chihuahua, Durango y Zacatecas, México. Journal of the Botanical Research Institute of Texas, 5, 689-700.
Dávila, P., Mejia-Saulés, M. T., Soriano-Martínez, A. M. y Herrera-Arrieta, Y. (2018). Conocimiento taxonómico de la familia Poaceae en México. Botanical Sciences, 96, 462- 514. https://doi.org/10.17129/botsci.1894
Domínguez-Vázquez, G., Berlin, B., Castro-Ramírez, A. E. y Estrada-Lugo, J. I. (2002). Revisión de la diversidad y patrones de distribución de Labiatae en Chiapas. Anales del Instituto de Biología, Universidad Nacional Autónoma de México, SerieBotánica, 73, 39-80.
Drew, B. T., González-Gallegos, J. G., Xiang, C. L., Kriebel, R., Drummond, C. P., Walker, J. B. et al. (2017). Salvia united: the greatest good for the greatest number. Taxon, 66, 133-145. https://doi.org/10.12705/661.7
Drew, B. T. y Sytsma, K. J. (2011). Testing the monophyly and placement of Lepechinia in the tribe Mentheae (Lamiaceae). Systematic Botany, 36, 1038-1049. https://doi.org/10.1600/036364411X605047
El-Gazzar, A. y Watson, L. (1969). Some economic implications of the taxonomy of Labiatae. Essential oils and rusts. New Phytologist, 69, 487-492.
Fragoso-Martínez, I., Martínez-Gordillo, M. y Salas, S. (2021) Salvia fimbriaticalyx, a new species of Salvia (Lamiaceae) from Oaxaca, Mexico. Phytotaxa, 518, 241-250. https://doi.org/10.11646/phytotaxa.518.4.1
Fragoso-Martínez, I., Martínez-Gordillo, M., Salazar, G. A., Sazatornil, F., Jenks, A. A., García-Peña, M. R. et al. (2018). Phylogeny of the Neotropical sages (Salvia subg. Calosphace; Lamiaceae) and insights into pollinator and area shifts. Plant Systematics and Evolution, 304, 43-55. https://doi.org/10.1007/s00606-017-1445-4
Fresnedo-Ramírez, J. y Orozco-Ramírez, Q. (2013). Diversity and distribution of genus Jatropha in Mexico. Genetic Resources and Crop Evolution, 60, 1087-1104. https://doi.org/10.1007/s10722-012-9906-7
García-Aguilar, M. C., Luévano-Esparza, J. y De la Cueva, H. (2017). La fauna nativa de México en riesgo y la NOM-059: ¿Están todos los que son y son todos los que están? Acta Zoológica Mexicana, 33, 188-198. https://doi.org/10.21829/azm.2017.3321060
García-Peña, M. R. y González-Gallegos, J. G. (2020). Cunila socorroae (Lamiaceae) a new species from Sierra Madre Occidental, Durango, Mexico. Phytotaxa, 453, 31-42. https://www.biotaxa.org/Phytotaxa/article/view/phytotaxa.453.1.3
González-Elizondo, M., González-Elizondo, M. S., González-Gallegos, J. G., Tena-Flores, J. A., López-Enríquez, I. L., Ruacho-González, L. et al. (2017). Updated checklist and conservation status of Cactaceae in the state of Durango, Mexico. Phytotaxa, 327, 103-129. https://doi.org/10.11646/phytotaxa.327.2.1
González-Elizondo, M., González-Elizondo, M. S. y Herrera-Arrieta, Y. (1991). Listados florísticos de México IX, Flora de Durango. México D.F.: Universidad Nacional Autónoma de México.
González-Elizondo, M., González-Elizondo, M. S., López-Enríquez, I. L. y Tena-Flores, J. A. (2018). Flora vascular. En A. Cruz-Angón, E. Castaños-Rochell, J. Valero-Padilla y E. D. Melgarejo (coords.), La biodiversidad en Durango, estudio de estado (pp. 301-317). Ciudad de México: Comisión Nacional para el Conocimiento y uso de la Biodiversidad y Secretaría de Recursos Naturales y Medio Ambiente de Durango.
González-Elizondo, M. S., González-Elizondo, M. y Márquez-Linares, M. A. (2007). Vegetación y ecorregiones de Durango. Ciudad de México: Instituto Politécnico Nacional.
González-Gallegos, J. G. (2015). Two new Salvia species (Lamiaceae) from the Sierra Madre Occidental, Durango, Mexico. Systematic Botany, 40, 1093-1101. https://doi.org/10.1600/036364415X690139
González-Gallegos, J. G., Bedolla-García, B. Y., Cornejo-Tenorio, G., Fernández-Alonso J. L., Fragoso-Martínez, I., García-Peña, M. R. et al. (2020). Richness and distribution of Salvia subgenus Calosphace (Lamiaceae). International Journal of Plant Sciences, 181, 831-856. https://doi.org/10.1086/709133
González-Gallegos, J. G., Bedolla-García, B. Y. y Uría, R. (2021). Salvia gomezpompae (Lamiaceae), una especie nueva de Veracruz, México. Botanical Sciences, 99, 976-990. https://doi.org/10.17129/botsci.2889
González-Gallegos, J. G. y Carnahan, S. D. (2019). Salvia palmetorum (Lamiaceae), a new species from Sonora, Mexico. Revista Mexicana de Biodiversidad, 90, e902930. https://doi.org/10.22201/ib.20078706e.2019.90.2930
González-Gallegos, J. G., Castro-Castro, A. y Ávila-González, H. (2020). Salvia rhizomatosa (Lamiaceae) a new species from Sierra Madre Occidental in Durango, Mexico, with a synopsis of Salvia sect. Brandegeia. Phytotaxa, 434, 255- 269. http://orcid.org/0000-0003-3610-9086
González-Gallegos, J. G., Castro-Castro, A., Flores-Argüelles, A. y Romero-Guzmán, A. R. (2014). Discovery of Hyptis pseudolantana in Jalisco and Michoacán, and description of H. cualensis and H. macvaughii (Ocimeae, Lamiaceae), two new species from western Mexico. Phytotaxa, 163, 149-165. https://doi.org/10.11646/phytotaxa.163.3.2
González-Gallegos, J. G., Castro-Castro, A., Quintero-Fuentes, V., Mendoza-López, M. E. y De Castro-Arce, E. (2016). Revisión taxonómica de Lamiaceae del occidente de México. Ibugana, 7, 3-545.
González-Gallegos, J. G., Fragoso-Martínez, I., González-Adame, G., Martínez-Ambriz, E. y López-Enríquez, I. L. (2018). Salvia ozolotepecensis, S. patriciae and S. sirenis (Lamiaceae), three new species from Miahuatlán district, Oaxaca, Mexico. Phytotaxa, 362, 143-159. https://doi.org/10.11646/phytotaxa.362.2.2
González-Gallegos, J. G. y López-Enríquez, I. L. (2017). Agastache sandersiana (Lamiaceae): a new species from northwestern Durango, Mexico. Journal of the Torrey Botanical Society, 144, 97-103.
González-Gallegos, J. G., Pío-León, J. F. y Castro-Castro, A. (2021) Salvia beltraniorum (Lamiaceae), a new species in savannoid vegetation from Cosalá, Sinaloa, Mexico. Phytotaxa, 529, 160-170. https://doi.org/10.11646/phytotaxa.529.1.12
González-Gallegos, J. G., Vega-Mares, J. H. y Fernández, J. A. (2019). Salvia reginae and S. spellenbergii (Lamiaceae), two new species from Chihuahua, Mexico. Willdenowia, 49, 319-328. https://doi.org/10.3372/wi.49.49303
Google Earth Pro (2020). Google Earth 7.3.1.4507. US Dept. of State Geographer, Data SIO, NOAA, U.S. Navy, NGA, GEBCO. Recuperado enero a julio, 2017 de: Recuperado enero a julio, 2017 de: https://www.google.com/intl/es/earth/desktop/
Harley, R. M., Atkins, S., Budantsev, A. L., Cantino, P. D., Conn, B. J., Grayer, R. et al. (2004). Labiatae. En J. W. Kadereit (Ed.), The families and genera of vascular plants 7. Flowering plants. Dicotyledons. Lamiales (except Acanthaceae including Avicenniaceae) (pp. 167-275). Berlin: Springer.
Harley, R. M. y Pastore, J. F. B. (2012). A generic revision and new combinations in the Hyptidinae (Lamiaceae), based on molecular and morphological evidence. Phytotaxa, 58, 1-55. https://doi.org/10.11646/phytotaxa.58.1.1
Hedge, I. C. (1992). A global survey of the biogeography of the Labiatae. En R. M. Harley y T. Reynolds (Eds.), Advances in Labiatae science (pp. 7-17). Kew: Royal Botanic Gardens.
Heinrich, M. (1992). Economic botany of American Labiatae. En R. M. Harley y T. Reynolds (Eds.), Advances in Labiatae science (pp. 475-488). Kew: Royal Botanic Gardens .
Herrera-Arrieta, Y. y Cortés-Ortiz, A. (2009). Diversidad de las gramíneas de Durango, México. Polibotánica, 28, 49-68.
Huck, R. B. (1992). Overview of pollination biology in the Lamiaceae. En R. M. Harley y T. Reynolds (eds.), Advances in Labiatae science (pp. 167-181). Kew: Royal Botanical Gardens.
Humphries, C., Vane-Wright, V. y Williams, P. (1991). Biodiversity reserves: setting new priorities for the conservation of wildlife. Parks, 2, 34-38.
INEGI (2001). Conjunto de datos vectoriales fisiográficos. Continuo Nacional. Escala 1:1 000 000. Serie I. Aguascalientes.
INEGI (2017). Anuario estadístico y geográfico de Durango 2017. Aguascalientes: Instituto Nacional de Estadística y Geografía y Gobierno del estado de Durango.
Jiménez-Valverde, A. y Hortal, J. (2003). Las curvas de acumulación de especies y la necesidad de evaluar la calidad de los inventarios biológicos. Revista Ibérica de Aracnología, 8, 151-161.
JSTOR Global Plants (2020). JSTOR Global Plants Database. Recuperado el 19 enero, 2018 de: Recuperado el 19 enero, 2018 de: https://plants.jstor.org
Kansole-Michelline, M. R., Hilou, A., Millogo, J. y Nacoulma, O. (2015). Ethnobotany and ethnopharmacognosy of Lamiaceae species from central Burkina Faso: Leucas martinicensis (Jaquin) R. Brown, Hoslundia opposita Vahl and Orthosiphon pallidus Royle ex Benth. American Journal of Ethnomedicine, 2, 219-232.
Kintzios, E. (2000). Sage, the genus Salvia. Amsterdam: Overseas Publishers Association.
Kriebel, R., Drew, B. T., Drummond, C. P., González-Gallegos, J. G., Celep, F., Mandjoub, M. M., et al (2019). Tracking temporal shifts in area, biomes, and pollinators in the radiation of Salvia (sages) across continents: leveraging anchored hybrid enrichment and targeted sequence data. American Journal of Botany, 106, 573-597. https://doi.org/10.1002/ajb2.1268
Lara-Cabrera, S. I., Bedolla-García, B. Y., Zamudio, S. y Domínguez-Vázquez, G. (2016). Diversidad de Lamiaceae en el estado de Michoacán, México. Acta Botanica Mexicana, 116, 107-149.
Lawrence, B. M. (1992). Chemical components of Labiatae oils and their exploitation. En R. M. Harley y T. Reynolds (eds.), Advances in Labiatae Science (pp. 399-436). Kew: Royal Botanical Gardens.
Li, B., Cantino, P. D., Olmstead, R. G., Bramley, G. L. C., Xiang, C. L., Ma, Z. H. et al. (2016). A largescale chloroplast phylogeny of the Lamiaceae sheds new light on its subfamilial classification. Scientific Reports, 6, 34343. https://doi.org/10.1038/srep34343
Linder, H. P., Lehmann, C. E. R., Archibald, S., Osborne, C. P. y Richardson, D. M. (2017). Global grass (Poaceae) success underpinned by traits facilitating colonization, persistence and habitat transformation. Biological Reviews, 93, 1125-1144. https://doi.org/10.1111/brv.12388
Martínez-Ambriz, E., Fragoso-Martínez, I. y Martínez-Gordillo, M. (2019). A new species of Salvia from the Fulgentes clade (Lamiaceae), from Puebla, Mexico. Phytotaxa, 409, 29-38. https://doi.org/10.11646/phytotaxa.409.1.4
Martínez-Gordillo, M., Bedolla-García, B., Cornejo-Tenorio, G., Fragoso-Martínez, I., García-Peña, M. R., González-Gallegos, J. G., et al. (2017). Lamiaceae de México. Botanical Sciences, 95, 780-806. https://doi.org/10.17129/botsci.1871
Martínez-Gordillo, M., Martínez-Ambriz, E., García-Peña, M. R., Cantú-Morón, E. A. y Fragoso-Martínez, I. (2019). Lamiaceae Martinov. Flora del Valle de Tehuacán-Cuicatlán. México D.F.: UNAM.
McVaugh, R. (2000). Botanical exploration in Nueva Galicia, Mexico, from 1790 to the present time. Contributions from the University of Michigan Herbarium, 9, 205-357.
Morrone, J. J., Escalante, T. y Rodríguez-Tapia, G. (2017). Mexican biogeographic provinces: map and shapefiles. Zootaxa, 4277, 277-279. https://doi.org/10.11646/zootaxa.4277.2.8
Munguía-Lino, G., Vargas-Amado, G., Vázquez-García, L. M. y Rodríguez, A. (2015). Riqueza y distribución geográfica de la tribu Tigridieae (Iridaceae) en Norteamérica. Revista Mexicana de Biodiversidad, 86, 80-98. https://doi.org/10.7550/rmb.44083
Pastore, J. F. B., Harley, R. M., Forest, F., Paton, A. y van den Berg, C. (2011). Phylogeny of the subtribe Hyptidinae (Lamiaceae tribe Ocimeae) as inferred from nuclear and plastid DNA. Taxon, 60, 1317-1329. https://doi.org/10.1002/tax.605008
Paton, A. J., Springate, D., Suddee, S., Otineo, D., Grayer, R. J., Harly, M. M., et al. (2004). Phylogeny and evolution of basils and allies (Ocimeae, Labiatae) based on three plastid DNA regions. Molecular Phylogenetics and Evolution, 31, 277-299. https://doi.org/10.1016/j.ympev.2003.08.002
Prather, L. A., Monfils, A. K., Posto, A. L. y Williams, R. A. (2002). Monophyly and phylogeny of Monarda (Lamiaceae): evidence from the internal transcribed spacer (ITS) region of nuclear ribosomal DNA. Systematic Botany, 27, 127-137. https://doi.org/10.1043/0363-6445-27.1.127
QGIS Development Team (2017). QGIS a Free and Open Source Geographic Information System. Recuperado enero, 2017 de: Recuperado enero, 2017 de: http://www.qgis.org/es/site.
Ramamoorthy, T. P. y Elliot, M. (1998). Lamiaceae de México: diversidad, distribución, endemismo y evolución. En T. P. Ramamoorthy, R. Bye, A. Lot y J. Fa (Eds.), Diversidad biológica de México: orígenes y distribución (pp. 501-525). Mexico D.F.: Instituto de Biología, Universidad Nacional Autónoma de México.
Ramos-Dorantes, D. B., Villaseñor, J. L., Ortiz, E. y Gernandt, D. S. (2017). Biodiversity, distribution, and conservation status of Pinaceae in Puebla, Mexico. Revista Mexicana de Biodiversidad, 88, 215-223. https://doi.org/10.1016/j.rmb.2017.01.028
Reisfield, A. S. (1993). The botany of Salvia divinorum (Labiatae). Sida, 15, 349-366.
Rentería-Arrieta, L. I. y Cantú-Ayala, C. (2017). Identificación de los vacíos y omisiones en conservación de la biodiversidad. En Comisión Nacional para el Conocimiento y Uso de la Biodiversidad y Secretaría de Recursos Naturales y Medio Ambiente de Durango (Eds.), La biodiversidad en Durango. Estudio de Estado (pp. 173-182). Ciudad de México: Comisión Nacional para el Conocimiento y Uso de la Biodiversidad.
Rentería-Arrieta, L. I. y Montiel-Antuna, E. (2017). Áreas naturales protegidas. En Comisión Nacional para el Conocimiento y Uso de la Biodiversidad y Secretaría de Recursos Naturales y Medio Ambiente de Durango (Eds.), La biodiversidad en Durango, estudio de estado (pp. 129-171). Ciudad de México: Comisión Nacional para el Conocimiento y Uso de la Biodiversidad.
Richardson, P. (1992). The chemistry of the Labiatae: an introduction and overview. En R. M. Harley y T. Reynolds (Eds.), Advances in Labiatae science (pp. 291-297). Kew: Royal Botanical Gardens .
Rivera-Núñez, D. y Obón-de Castro, C. (1992). The ethnobotany of Old World Labiatae. En R. M. Harley y T. Reynolds (Eds.), Advances in Labiatae science (pp. 455-473). Kew: Royal Botanical Gardens .
Rodríguez, A. (2015). Riqueza de papas silvestres (Solanum sección Petota) y patrones de distribución geográfica en México. AgroProductividad, 8, 3-8.
Rodríguez, A., Castro-Castro, A., Vargas-Amado, G., Vargas-Ponce, O., Zamora-Tavarez, P., González-Gallegos, J. G. et al. (2018). Richness, geographic distribution patterns, and areas of endemism of selected angiosperm groups in Mexico. Journal of Systematics and Evolution, 56, 537-549. https://doi.org/10.1111/jse.12457
Rosas-Guerrero, V., Hernández, D. y Cuevas, E. (2017). Influence of pollen limitation and inbreeding depression in the maintenance of incomplete dichogamy in Salvia elegans. Ecology and Evolution, 7, 4129-4134. https://doi.org/10.1002/ece3.2827
Roy, R., Chang, T.-H., Lan, T. y Lindqvist, C. (2013). Phylogeny and biogeography of New World Stachydeae (Lamiaceae) with emphasis on the origin and diversification of Hawaiian and South American taxa. Molecular Phylogenetics and Evolution, 69, 218-138. https://10.1016/j.ympev.2013.05.023
Rzedowski, J. (1978). Vegetación de México. México D.F.: Limusa.
Rzedowski, J. (1991). El endemismo en la flora fanerogámica mexicana: una apreciación analítica preliminar. Acta Botanica Mexicana, 15, 47-64.
Rzedowski, J., Calderón-de Rzedowkis, G. y Butanda, A. (2009). Los principales colectores de plantas activos en México entre 1700 y 1930. Pátzcuaro, Mich.: Instituto de Ecología A.C., Centro Regional del Bajío y Comisión Nacional para el Conocimiento y Uso de la Biodiversidad.
Rzedowski, J. y McVaugh, R. (1966). La vegetación de Nueva Galicia. Contributions from the University of Michigan Herbarium, 9, 1-123.
Sanders, R. W. (1987). Taxonomy of Agastache sect. Brittonastrum (Lamiaceae-Nepeteae). Systematic Botany Monographs, 15, 1-92. https://doi.org/10.2307/25027677
Sánchez-Escalante, J. J. y Gilbert, E. E. (2018). Red de herbarios del Noroeste de México: un esfuerzo colaborativo entre botánicos mexicanos. Árido-Ciencia, 3, 21-35.
Schäferhoff, B., Fleishmann, A., Fisher, E., Albach, D. C., Brosh, T., Heubl, G. et al. (2010). Towards resolving Lamiales relationships: insights from rapidly evolving chloroplast sequences. Evolutionary Biology, 10, 352. https://doi.org/10.1186/1471-2148-10-352
Scheen, A. C., Bendiksby, M., Ryding, O., Mathiesen, C., Albert, V. A. y Lindqvist, C. (2010). Molecular phylogenetics, character evolution, and suprageneric classification of Lamioideae (Lamiaceae). Annals of the Missouri Botanical Garden, 97, 191-217. https://doi.org/10.3417/2007174
Sedesol (Secretaría de Desarrollo Social). (2020). Catálogo de localidades. Recuperado enero a julio, 2020 de: http//: Recuperado enero a julio, 2020 de: http//: http://www.microrregiones.gob.mx/catloc/
Seemann, B. (1852). The Botany of the voyage of H.M.S. Herald. Londres: Lovell Reeve.
SEINet (2020). Arizona - New Mexico Chapter. Recuperado el 19 enero, 2018 de: Recuperado el 19 enero, 2018 de: http://swbiodiversity.org/seinet/
Semarnat (2010). Norma Oficial Mexicana NOM-059-ECOL-2010, Protección Ambiental-Especies nativas de México de flora y fauna silvestres-Categorías de riesgo y especificaciones para su inclusión, exclusión o cambio-Lista de especies en riesgo. Diario Oficial de la Federación, 2a sección. 30 de diciembre de 2010.
Sharma, A., Flores-Vallejo, R. C., Cardoso-Taketa, A. y Villarreal, M. L. (2017). Antibacterial activities of medicinal plants used in Mexican traditional medicine. Journal of Ethnopharmacology, 208, 264-329. https://doi.org/10.1016/j.jep.2016.04.045
Sosa, V. y De-Nova, J. A. (2012). Endemic angiosperm lineages in Mexico: hotspots for conservation. Acta Botanica Mexicana, 100, 293-315.
Strelin, M. M., Sazatornii, F., Benítez-Vieyra, S. y Ordano, M. (2017). Bee, hummingbird, or mixed-pollinated Salvia species mirror pathways to pollination optimization: a morphometric analysis based on the Pareto front concept. Botany, 95, 139-146. http://dx.doi.org/10.1139/cjb-2016-0145
Suárez-Mota, M. E. y Villaseñor, J. L. (2011). Las compuestas endémicas de Oaxaca, México: diversidad y distribución. Boletín de la Sociedad Botánica de México, 85, 55-66.
Thiers, B. (2020). Index Herbariorum: a global directory of public herbaria and associated staff. New York Botanical Garden’s Virtual Herbarium. Recuperado el 2 de diciembre, 2020 de: Recuperado el 2 de diciembre, 2020 de: http://sweetgum.nybg.org/science/ih/
Tropicos (2020). Missouri Botanical Garden. Recuperado el 19 enero, 2020 de: Recuperado el 19 enero, 2020 de: http://www.tropicos.org
Ulloa-Ulloa, C., Acevedo-Rodríguez, P., Beck, S., Belgrano, M. J., Bernal, R., Berry, P. E., et al. (2017). An integrated assessment of the vascular plant species of the Americas. Science, 308, 1614-1617. https://doi.org/10.1126/science. aao0398
Vargas-Amado, G., Castro-Castro, A., Harker, M., Vargas-Amado, M. E., Villaseñor, J. L., Ortiz, E., et al. (2020). Western Mexico is a priority area for the conservation of Cosmos (Coreopsidae, Asteraceae), based on richness and track analysis. Biodiversity and Conservation, 29, 545-569. https://doi.org/10.1007/s10531-019-01898-2
Vargas-Amado, G., Castro-Castro, A., Harker, M., Villaseñor, J. L., Ortiz, E. y Rodríguez, A. (2013). Distribución geográfica y riqueza del género Cosmos (Asteraceae: Coreopsidae). Revista Mexicana de Biodiversidad, 84, 536-555. http://dx.doi.org/10.7550/rmb.31481
Venegas-Barrera, C. S. y Manjarrez, J. (2011). Patrones espaciales de la riqueza específica de las culebras Thamnophis en México. Revista Mexicana de Biodiversidad, 82, 179-191.
Vidal-Zepeda, R. (1990). Precipitación media anual, escala 1:4000000, precipitación, tomo II sección IV 4.6 Atlas Nacional de México (1990-1992). Instituto de Geografía, Universidad Nacional Autónoma de México. México D.F.
Villarreal-Quintanilla, J. A., Bartolomé-Hernández, J. A., Estrada-Castillón, E., Ramírez-Rodríguez, H. y Martínez-Amador, S. J. (2017). El elemento endémico de la flora vascular del Desierto Chihuahuense. Acta Botanica Mexicana, 118, 65-96. https://doi.org/10.21829/abm118.2017.1201
Villaseñor, J. L. (2016). Checklist of the native vascular plants of Mexico. Revista Mexicana de Biodiversidad, 87, 559-902. http://dx.doi.org/10.1016/j.rmb.2016.06.017
Villaseñor, J. L., Maeda, P., Colín-López, J. J. y Ortiz, E. (2005). Estimación de la riqueza de especies de Asteraceae mediante extrapolación a partir de datos de presencia-ausencia. Boletín de la Sociedad Botánica de México, 76, 5-18. https://doi.org/10.17129/botsci.2552
Wagstaff, S. J., Hickerson, L., Spangler, R., Reeves, P. A. y Olmstead, R. G. (1998). Phylogeny in Labiatae s. l., inferred from cpDNA sequences. Plant Systematics and Evolution, 209, 265-274. https://doi.org/10.1007/BF00985232
Wagstaff, S. J. y Olmstead, R. G. (1997). Phylogeny of Labiatae and Verbenaceae inferred from rbcL sequences. Systematic Botany, 22, 165-179. https://doi.org/10.2307/2419684
Wester, P. y Claßen-Bockhoff, R. (2011). Pollination syndromes of New World Salvia species with special reference to bird pollination. Annals of the Missouri Botanical Garden, 98, 101-155. https://doi.org/10.3417/2007035
Wieczorek, J. (2001). Georeferencing guidelines. University of California, Berkeley. Recuperado enero, 2017 de: http://manis-net.org/GeorefGuide.html
Willis, F., Moat, J. y Paton, A. (2003). Defining a role for herbarium data in Red list assessments: a case study of Plectranthus from eastern and southern tropical Africa. Biodiversity and Conservation, 12, 1537-1552.
Wilson, T. C., Conn, B. J. y Henwood, M. J. (2017). Great expectations: correlations between pollinator assemblages and floral characters in Lamiaceae. International Journal of Plant Sciences, 178, 170-187. https://doi.org/10.1086/690023
Yuan, Y. W., Mabberly, D. J., Steane, D. A. y Olmstead, R. (2010). Further disintegration and redefinition of Clerodendrum (Lamiaceae): implications for the understanding of the evolution of an intriguing breeding strategy. Taxon, 59, 125-133. https://doi.org/10.1002/tax.591013
Zacarías-Correa, A. G., Guzmán-Díaz, S. y Pérez-Cálix, E. (2019). Taxonomía, distribución geográfica y ecológica del género Penstemon (Plantaginaceae) en la Faja Volcánica Transmexicana, México. Acta Botanica Mexicana, 126, e1428. https://doi.org/10.21829/abm126.2019.1428
Zona, S. (2017). Fruits and seed dispersal of Salvia L. (Lamiaceae): a review of the evidence. The Botanical Review, 83, 195-212. https://doi.org/10.1007/s12229-017-9189-y
Apéndice

Notas de autor
* Autor para correspondencia: xanergo@hotmail.com (J.G. González-Gallegos).