Artículos
Relación entre estatus nutricional, insatisfacción corporal y conductas alimentarias de riesgo en estudiantes de nutrición
Relationship between nutritional status, body dissatisfaction and risky eating behaviors in Nutrition students
Relación entre estatus nutricional, insatisfacción corporal y conductas alimentarias de riesgo en estudiantes de nutrición
Revista mexicana de trastornos alimentarios, vol. 10, núm. 1, pp. 53-65, 2019
Universidad Nacional Autónoma de México, Facultad de Estudios Superiores Iztacala, Unidad de Investigación Interdisciplinaria en Ciencias de la Salud y la Educación
Recepción: 29 Junio 2017
Recibido del documento revisado: 06 Agosto 2017
Aprobación: 30 Abril 2018
Resumen: La presión sociocultural sobre los estudiantes universitarios, y en particular los que estudian nutrición, influye de manera negativa en su imagen corporal (IC), lo que favorece la adopción de conductas alimentarias de riesgo (CAR), independientemente de su estatus nutricional (ETN). El propósito del presente trabajo fue analizar la relación entre insatisfacción corporal (INC), ETN y CAR en estudiantes de nutrición. Participaron 370 estudiantes de una universidad privada (93.5% mujeres), con edad promedio de 19.5 años (DE = 2.5). Aunque 81% de los estudiantes era normopeso, 72.3% presentaron INC. Los participantes con obesidad, sobrepeso o normopeso presentaron riesgo moderado de presentar CAR (p < .05), pero no aquellos que estaban satisfechos con su IC (p < .05). Específicamente, los estudiantes que desearon tener una silueta más delgada mostraron mayor riesgo de presentar CAR (OR = 2.97, p < .05) vs. quienes deseaban tener una más robusta (p = .76). Además, a mayor índice de masa corporal, mayor práctica de ejercicio para bajar de peso, dietas restrictivas, atracones y pérdida de control al comer (p < .05). Es necesario desarrollar intervenciones orientadas a mejorar la satisfacción corporal para prevenir CAR entre estudiantes universitarios, y con mayor énfasis en aquellos que optan por cursar la carrera de nutrición.
Palabras clave: Imagen corporal, Trastornos alimentarios, Conductas alimentarias, Peso corporal, Estudiantes de nutrición.
Abstract: The sociocultural pressure on university students, and particularly those studying Nutrition, negatively influences their body image (BI), which favors the adoption of risky eating behaviors (REB), regardless of their nutritional status (NS). The purpose of this study was to describe the relationship between body dissatisfaction (BD), NS and REB in Nutrition students. A total of 370 students from a private university participated (93.5% women), with a mean age of 19.5 years (SD = 2.5). Although 81% of the students were normal weight, 72.3% had BD. Participants with obesity, overweight or normal weight had moderate risk of REB (p < .05), but not those who were satisfied with their BI (p < .05). Specifically, students who wished to have a thinner silhouette showed greater risk of REB (OR = 2.97, p < .05) vs. those who wished to have a robust silhouette (p = . 76). In addition, the higher body mass index, the more exercise to lose weight, restrictive diets, binge eating and loss of control when eating (p < .05). It is necessary to develop interventions aimed at improving body satisfaction to prevent REB among university students, with greater emphasis on those who choose Nutrition as a professional career.
Keywords: Body image, Eating disorders, Eating behaviors, Body weight, Nutrition students.
Introducción
Los estudiantes de primer ingreso a la universidad son vulnerables a adquirir hábitos inadecuados, ya que aún se encuentran en la búsqueda de identidad y pueden identificar el ideal de delgadez (ID) como un estado de éxito y felicidad, haciéndolos susceptibles a adquirir conductas de riesgo que deterioren sus hábitos alimentarios, así como su desarrollo emocional y académico (Behar, 2010; Unikel, Díaz de León y Rivera, 2016). En México, la Encuesta Nacional de Salud y Nutrición 2012 ([ENSANUT], Gutiérrez et al., 2012) reportó que, de acuerdo al Cuestionario de Conductas Alimentarias de Riesgo (Unikel, Bojórquez y Carreño, 2004), la prevalencia de adolescentes en riesgo de desarrollar un trastorno de la conducta alimentaria (TCA) fue 1.3% (1.9% en mujeres y 0.8% en varones).
Las conductas alimentarias de riesgo (CAR) son aquellas conductas inapropiadas que preceden a los TCA, y que no cumplen con los criterios de frecuencia y duración para ser diagnosticadas como un TCA (Unikel, Bojórquez, Villatoro, Fleiz y Medina, 2006). Estas CAR incluyen temor a engordar, atracón, conductas alimentarias restrictivas (e.g., práctica de dietas, ayunos, ejercicio excesivo) o purgativas (e.g., uso de laxantes, diuréticos, vómito auto-inducido). En tanto que la insatisfacción corporal (INC) es la evaluación negativa del tamaño y la forma corporal que una persona hace sobre su propio cuerpo, involucrando dimensiones cognitivas, afectivas y de comportamiento, como resultado de su comparación con respecto al ideal estético corporal, influenciada por las normas sociales y culturales (Cash y Szymanski, 1995; Kong y Harris, 2015; Petrie y Greenleaf, 2012). A la INC se le reconoce como el principal factor de riesgo proximal para desarrollar TCA, de tal modo que las personas con mayor INC manifiestan mayor cantidad de CAR (Bulik et al., 2001; Cash y Deagle, 1977; Rowe, McDonald, Mahar y Raedeke, 2005; Toral, Bauermann, Spaniol y Alves, 2016).
Las causales de las CAR se han centrado primordialmente en el estrés y la influencia de los medios de comunicación, los que favorecen la interiorización del ID como sinónimo de éxito (Unikel et al., 2006). De acuerdo al modelo planteado por Stice, Schupak-Neuberg, Shaw y Stein (1994), esta exposición a los medios de comunicación favorece la interiorización del ideal corporal estereotipado de acuerdo al rol de género, generando INC y, como consecuencia, la aparición de CAR. El cine, la fotografía, la moda, los videos musicales y la publicidad de productos light y cosméticos, fundamentalmente dirigidos a mujeres, han contribuido a la comparación corporal en la audiencia, reforzando un ideal dicotómico entre lo aceptable y no aceptable; por ejemplo: gordo/flaco, bello/feo, femenino/masculino, control/descontrol, éxito/fracaso, felicidad/tristeza (González, 2011). Particularmente, pareciera ser que la televisión es el medio de comunicación con mayor impacto en la difusión de valores centrados en la delgadez, encontrando un porcentaje mayor de mujeres que cumplen con los criterios de clasificación de “muy delgado”, en comparación con los hombres que aparecen en las pantallas: 69.0% vs. 17.5%. Mientras que el porcentaje de hombres con obesidad que aparecen en televisión es mayor que el de mujeres: 25.5% vs. 5.0% (Behar, 2010).
Además, ciertas disciplinas profesionales promueven la posesión de una figura determinada; por ejemplo, el modelaje, el ballet, el patinaje artístico, el atletismo, entre otras. A su vez, algunos deportes se consideran más apropiados para el género masculino o femenino, teniendo un estereotipo de cuerpo atlético definido por los estándares de belleza y apariencia socialmente determinados. Por ejemplo, el patinaje artístico suele ser visto como una disciplina predominantemente femenina, cuyas características exigen un cuerpo delgado y pequeño, que se exprese con gracia, flexibilidad y coordinación, consistente con el ideal social del cuerpo de la mujer. Por el contrario, al futbol se le considera una disciplina masculina, ya que sus atletas requieren un cuerpo fuerte, poderoso y competitivo. Por otro lado, existen disciplinas en las que, si bien los atletas cumplen con las características físicas que exige su deporte, éstas no se ajustan al ideal corporal socialmente promovido, tal es el caso de la natación en mujeres o el atletismo de fondo en hombres (Petrie y Greenleaf, 2012). Por tanto, el deportista puede enfrentar una doble presión en cuanto al cumplimiento del cuerpo estereotipado, conduciéndolo esto a la adopción de CAR, tales como dietas restrictivas, ayunos, disminución en la ingesta de líquidos y largas jornadas de ejercicio intenso (Kong y Harris, 2015). Fenómeno que se ha extendido a algunas otras profesiones, como la nutrición, cuya población es predominantemente de mujeres normopeso, en la que existe una presión sociocultural constante por cumplir un rol de hábitos saludables (enfocados en la alimentación y la realización de ejercicio) para mantener un cuerpo delgado, con poca grasa corporal y alta masa muscular, interpretándose esto como un indicativo de “éxito profesional” (Arroyo et al., 2010; Harris, Gee, D´acquisto, Ogan y Pritchett, 2015).
Al respecto, se ha encontrado que los estudiantes de nutrición (ESN), a pesar de manejar un peso dentro de parámetros normales, pueden presentar INC. En un estudio realizado en Reino Unido se encontró que 90% de las ESN estaban insatisfechas con su cuerpo aunque fueran normopeso (índice de masa corporal [IMC] promedio de 21.8 kg/m2), ya que 83% deseaban ser más delgadas y 60% sobreestimaban su tamaño corporal (Kolka y Abayomi, 2012). De igual manera, en Chile se documentó que a pesar de que 74% de los ESN eran normopeso, 49% sobreestimó su estatus nutricional (ETN), y solo 33% tuvo una percepción adecuada (Pino, López, Moreno y Faúndez, 2010).
De acuerdo con Guglielmone (2010), la Organización Panamericana de la Salud y la American Psychiatric Association han estimado que existe una prevalencia significativa de CAR entre los ESN, tales como la restricción alimentaria y el vómito autoinducido. Asimismo, se ha encontrado una relación directa de los sentimientos negativos hacia la comida y la preocupación por el peso con la elección de la carrera de nutrición (CN) y los TCA (Bojórquez, Ávila, Cortés, Vázquez y Mancilla, 2008). Hughes y Desbrow (2005) refieren que 30% de los aspirantes a ingresar a la CN habían sido motivados por sus experiencias personales, de familiares o de amigos con respecto a la obesidad, los TCA, o ambos. Más recientemente, Rocks, Pelly, Slater y Martin (2016) encontraron que 14% de los aspirantes presentaban problemas con relación a su peso y su alimentación, jugando estos un papel importante en la elección de la carrera.
En ESN, Torresani (2003) identificó la presencia de algunas CAR, ya que consumían productos light (64%), hacían dietas hipocalóricas (22%) y practicaban atracones (24%). Recientemente, Rocks, Pelly, Slater y Martin (2014) evaluaron si el estudiar la CN implicaba un mayor riesgo para el desarrollo de un TCA, y encontraron que los ESN no difirieron significativamente en cuanto a INC, conductas alimentarias o autoestima vs. estudiantes de terapia ocupacional; sin embargo, casi dos terceras partes de las ESN experimentaban preocupación corporal, pese a ser normopeso (IMC promedio = 23.1 kg/ m2). Además, tras un año de seguimiento, estos autores observaron que aunque aumentó la autoestima y disminuyeron la INC y el riesgo de TCA, las conductas alimentarias permanecieron estables (Rocks, Pelly, Slater y Martin, 2015). Posteriormente, Rocks et al. (2016) refirieron que 14% de los ESN y 11% de los de terapia ocupacional presentaban puntuaciones elevadas en la medida de riesgo de TCA, con mayor restricción cognitiva y menor alimentación emocional en los ESN, y esto principalmente durante el primer año de la carrera.
Considerando el semestre que cursaban los alumnos, Bubaris, Bodzio y Pasold (2016) encontraron que los estudiantes de los primeros semestres de la CN obtenían puntuaciones significativamente mayores en las medidas de CAR que los de semestres más avanzados, por lo que concluyen que la educación nutricional incidió positivamente en los comportamientos alimentarios de los ESN. De igual manera, Korinth, Schiess y Westenhoefer (2009) compararon entre ESN vs. estudiantes de diseño e ingeniería, identificando que no hubo diferencia significativa en su comportamiento alimentario; sin embargo, los ESN de los primeros semestres de la carrera si presentaban mayor restricción alimentaria que sus pares de otras carreras. Además, estos autores encontraron que en los ESN de semestres más avanzados eran menores los comportamientos de tipo ortoréxico que en sus pares de los primeros semestres, en tanto que las conductas alimentarias de los alumnos de las otras carreras se mantuvieron sin cambio. Por el contrario, Alkan, Ersoy, Eskici y Ersoy (2017) documentaron una baja prevalencia de riesgo de TCA (2.5%) entre ESN turcos.
Un importante aspecto a considerar es que el código de ética de la Academy of Nutrition and Dietetic ([AND], 2015) estipula que si un ESN tiene un TCA, existe una responsabilidad ética y social de detectarlo y reportarlo oportunamente a las autoridades académicas. Bajo este contexto, el presente trabajo tuvo como objetivo identificar, en estudiantes de primer semestre de la CN de una universidad privada, si existe un aumento de las CAR en presencia de INC, e identificar el tipo de CAR más frecuentes según su ETN.
Método
Participantes
Desde enero de 2010 y hasta marzo de 2016, profesores de la Carrera de Nutrición y Ciencia de los Alimentos invitaron a todos los alumnos inscritos en el primer semestre a la Clínica de Nutrición (CLN) de una universidad privada, con el objetivo de conocer su ETN. Por ende, el único requisito para participar era que estuvieran inscritos en dicha carrera y se encontraran cursando el primer semestre.
El tipo de muestreo fue por conveniencia, únicamente los alumnos que no aceptaron participar quedaron fuera del estudio. En total, a lo largo de seis años, se invitó a participar a 13 generaciones consecutivas de estudiantes de primer semestre, de los cuales aceptaron participar 91.5% (N = 370). Tamaño muestral que permitió tener un poder del 80% (α = .05), al hacer comparaciones entre proporciones.
La edad de los participantes fluctuó entre 17 y 41 años (M = 19.5, DE = 2.5), de los que 93.5% fueron mujeres (n = 346) y 6.5% hombres (n = 24).
Instrumentos y medidas
Índice de masa corporal. Fue calculado a partir de la medición de peso y estatura (kg/m²), clasificándolo de acuerdo con los puntos de corte de la Organización Mundial de la Salud (1995), que son: bajo peso (< 18.5), normopeso (18.49-24.99), sobrepeso (25-29.99) y obesidad (≥ 30). La estatura fue medida con un estadímetro marca Seca® (Mod. 240), con precisión de 2 mm; en tanto que el peso se determinó con el equipo de bioimpedancia InBody® (Mod. 720).
Conductas Alimentarias de Riesgo (CAR). Se utilizó el Cuestionario Breve de Conductas Alimentarias de Riesgo (Unikel et al., 2004), que consta de 10 preguntas sobre temor a engordar, práctica de atracones, sensación de falta de control al comer y conductas de tipo restrictivo y purgativo en los tres meses previos. Esto a partir de una escala tipo Likert con cuatro opciones de respuesta: 0 = “nunca o casi nunca”, 1 = “algunas veces”, 2 = “frecuentemente” (dos veces a la semana) y 3 = “muy frecuentemente” (más de dos veces a la semana); en donde una mayor puntuación implica mayores problemas con la conducta alimentaria. Cuestionario que ha mostrado poseer adecuada consistencia interna (α = .83) en mujeres estudiantes de la Ciudad de México (Unikel et al., 2004) y de .80 en estudiantes del Estado de México (Unikel, Díaz de León y Rivera, 2017). La ausencia/presencia de CAR se definió considerando los puntos de corte siguientes: 0-6 puntos = “ausencia de riesgo”, 7-10 “riesgo moderado” y > 10 = “riesgo alto”.
Insatisfacción corporal. Fue evaluada mediante el índice de discrepancia descrito por Bulik et al. (2001), usando nueve imágenes de siluetas corporales con diferente IMC para hombres y mujeres. Imágenes diseñadas por Stunkard (citado en Bulik et al. 2001) y validadas en México por Kaufer-Horwitz, Martínez, Goti-Rodríguez y Ávila-Rosas (2006), ver Apéndice. La presencia de INC se definió a partir de la diferencia entre la silueta que eligieron los participantes como “la actual” (con la que se autodescribieron) y la “ideal” (la que desearían tener). Los puntos de corte empleados fueron: satisfacción corporal (diferencia igual a cero entre la silueta actual y la ideal), e INC considerando los niveles de leve, moderada y severa (diferencia = una, dos, y tres o más siluetas, respectivamente). Además, la INC se clasificó en dos categorías: positiva, para aquellos participantes que desearon tener siluetas más delgadas y, negativa, para quienes desearon siluetas más robustas (Acosta y Gómez, 2003; Casillas-Estrella, Montaño-Castrejón, Reyes-Velázquez, Bacardí-Gascón y Jiménez-Cruz, 2006).
Consideraciones éticas
Los alumnos que accedieron participar, firmaron un formato de consentimiento informado que, entre otras cosas, aseguraba que su participación cumpliría con los lineamientos de la Declaración de Helsinki (Asociación Médica Mundial, 2013) y del artículo 100 de la Ley General de Salud (Gobierno de México, 2012) en materia de investigación, respetando los principios de protección a la privacidad, voluntariedad y dignidad.
Procedimiento
La invitación a participar fue gestionada y emitida a través de la Dirección del Departamento de Salud de la universidad, y transmitida a los alumnos por los profesores de la materia de Introducción a la nutrición. Las mediciones de peso y estatura fueron recabadas por personal certificado de la CN, en tanto que las medidas de CAR e INC fueron autoaplicadas de manera electrónica.
Análisis de datos
El análisis descriptivo y estadístico de los datos fue realizado con el programa Stata v. 12. Para evaluar las diferencias entre medias o proporciones se utilizaron pruebas t de Student o Chi2, según fuera el caso, ajustando con la prueba de Bonferroni. Para analizar los incrementos o decrementos de la INC en función del ETN, se aplicó la prueba de tendencia de Hosmer-Lemeshow. Finalmente, para evaluar la asociación del ETN y la INC con el riesgo de presentar CAR, se probaron dos modelos de regresión logística, ajustados por edad y sexo, añadiendo en el segundo un término de interacción entre el ETN (bajo peso, normopeso y sobrepeso-obesidad) y el nivel de INC.
Resultados
De acuerdo con su IMC, 7.8% (n = 29) de los participantes presentó bajo peso, 80.8% (n = 299) normopeso, 10.5% (n = 39) sobrepeso y 0.8% (n = 3) obesidad. No obstante, 72.3% reportó algún grado de INC, de los cuales 65% deseaban tener una silueta más delgada y 7.6% más robusta (Tabla 1). Aunque mujeres y hombres tuvieron un porcentaje similar de satisfacción corporal, en los segundos fue significativamente mayor la proporción de quienes desearon tener siluetas más robustas.

En general se observó asociación significativa positiva entre el IMC y la INC, una vez que la tendencia fue que al incrementar una, aumentó la otra (x2= -4.04, p = .0001). Al comparar la proporción de estudiantes según el nivel de INC en cada categoría de IMC, aunque fue mayor la de estudiantes con bajo peso que deseaban tener una silueta más robusta (37.9%), esta diferencia no fue significativa (x2 = -0.44, p = .66); por el contrario, fueron los normopeso (65.9%, x2= 6.77, p = .0001) o con sobrepeso (85%, x2= 9.51, p = .0001) quienes mayormente desearon tener siluetas más delgadas (Figura 1).

Considerando la muestra total, las CAR estuvieron presentes en 36.7% de los participantes, 25.1% con riesgo moderado (n = 93) y 11.6% con riesgo alto (n = 43), ver Tabla 1. En general, a medida que aumentó el IMC, el riesgo de presentar CAR fue también mayor. De los participantes con bajo peso, 93.1% fueron identificados sin riesgo. Por el contrario, 100%, 30.7% y 25.4% de los estudiantes con obesidad, sobrepeso y normopeso, respectivamente, presentaron riesgo moderado; mientras que 20.5% de aquellos con sobrepeso y 11.7% de los normopeso registraron alto riesgo, ver Figura 2.

Presentaron INC, deseando siluetas más delgadas, 86% de los estudiantes con riesgo moderado de CAR y 74.4% de aquellos con riesgo alto. Proporciones significativamente mayores (p ≤ .05) a las registradas en los estudiantes identificados sin CAR. De entre los participantes que desearon tener siluetas más robustas, sólo se observó diferencia significativa entre los que presentaron riesgo moderado (2.2%) vs. aquellos sin CAR (10.3%). Por el contrario, 35% de los estudiantes satisfechos con su imagen corporal no presentaron CAR, proporción significativamente mayor (p ≤ 0.05) vs. los participantes con riesgo moderado o alto (Tabla 2).

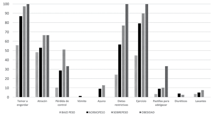
Aunque en general los participantes manifestaron temor a engordar, fue mayor a medida que aumentaba el IMC (p ≤ .05). Las CAR más frecuentes fueron: la práctica de ejercicio, las dietas restrictivas, los atracones y la sensación de pérdida de control al comer. Conductas significativamente más presentes en función de un mayor IMC (p < .05); no obstante, es importante mencionar que fue mínima la proporción de participantes que refirieron consumir pastillas para adelgazar, diuréticos o laxantes (Figura 3).

En función del sexo, las únicas conductas de riesgo que mostraron diferir, con mayor presencia en las mujeres, fueron: las restrictivas (x2= -2.43, p = .02) y el vómito autoinducido (x2= -2.01, p = .04), ver Figura 4.

Finalmente, en la Tabla 3 se exponen los coeficientes del modelo de regresión logística utilizado para evaluar la asociación del IMC y de la imagen corporal con las CAR, ajustando por edad y sexo. Los estudiantes con bajo peso estuvieron en una condición de menor riesgo de presentar CAR (83% menos posible) vs. los normopeso (p = .02); sin embargo, aquellos con sobrepeso u obesidad vs. los normopeso no difirieron (p = .07). Además, los participantes que eligieron siluetas más delgadas tuvieron casi tres veces más posibilidades de presentar CAR (OR = 2.97, p = .0001) vs. los satisfechos con su forma corporal. Por el contrario, los estudiantes que deseaban tener una silueta más robusta, no mostraron mayor riesgo de desarrollar CAR (p = .76) vs. los que se encontraban satisfechos.

Discusión
Tomando en cuenta que el objetivo del presente estudio fue identificar si los estudiantes que ingresan a la CN presentan CAR, y analizar si el riesgo de presentar estas conductas es mayor de acuerdo a la INC y el ETN, es de llamar la atención que la mayor proporción de los alumnos fueron normopeso (81%), y solamente 11% presentó sobrepeso u obesidad. Datos que difieren ampliamente de la prevalencia combinada de sobrepeso y obesidad documentada en adolescentes a nivel nacional (33.5% de hombres y 39.2% de mujeres) de entre 12 y 19 años; así como del 72.5% de adultos mayores de 20 años, de acuerdo con la ENSANUT 2016 (Hernández et al., 2016).
Al comparar los datos de este estudio respecto a los reportados por Guglielmone (2010), correspondientes a ESN de una universidad privada de Argentina, aquí fue mayor la proporción de alumnos normopeso (81% vs. 69%), pero el de aquellos con bajo peso fue similar (8% vs. 7%, respectivamente). Por consiguiente, en este estudio la proporción de estudiantes con sobrepeso y obesidad fue sustancialmente menor (11%) al 25% reportado por Guglielmone, o al 37% referido por Chávez-Rosales, Camacho, Maya y Márquez (2012) de una universidad pública del Estado de México.
En profesiones relacionadas con el área de la salud, la INC juega un papel determinante para el desarrollo de CAR, siendo elegida mayormente por mujeres la CN como un medio para aprender a “mantenerse saludables” (Verde, Gallardo, Compean, Tamez y Ortiz, 2007). El 72% de los participantes de este estudio manifestó INC, y más de la mitad deseaban tener siluetas más delgadas, incluyendo a alumnos normopeso o con bajo peso. En estudiantes de medicina, Morán, Cruz e Iñárritu (2009) observaron este mismo deseo de tener figuras más delgadas, a pesar de ser normopeso o presentar bajo peso, ya que 27% se percibió en rangos de sobrepeso u obesidad, demostrando un patrón similar a los ESN. Con relación a esto, se encontró que si bien la mayor parte de las mujeres se percibió normopeso, deseaban poseer siluetas más delgadas, manifestándose satisfechas solo 27% de ellas. Por su parte, los hombres se identificaron mayormente con figuras normopeso o sobrepeso, pero deseaban siluetas más robustas, y solo 29% se manifestó satisfecho. Esto coincide con lo referido por Bulik et al. (2001), quienes señalaron que la población femenina que se percibe normopeso desea figuras más delgadas, y los hombres que se perciben normopeso desean tener siluetas más robustas.
Por el contrario, Franco et al. (2010) encontraron un patrón diferente en estudiantes de carreras indistintas de una universidad pública del estado de Jalisco (México), ya que solo 12% presentó INC, principalmente mujeres; en tanto que Chávez-Rosales et al. (2012), en ESN de una universidad pública, identificaron que 33% estaban insatisfechos. Esto en contraste con lo reportado por Arroyo et al. (2010), quienes utilizando instrumentos de siluetas encontraron 67.7% de INC en ESN de España, deseando figuras más delgadas. Datos similares a los del presente estudio.
Unikel et al. (2010) refieren que la deseabilidad de la delgadez ejerce mayor influencia en las poblaciones socio-económicamente privilegiadas, lo cual pudo observarse en la población bajo estudio, cuyo riesgo de CAR fue sustancialmente mayor (38%), en comparación con estudiantes de carreras indistintas de una institución educativa privada de Monterrey (México), con solo 15% (Núñez et al., 2008). Mientras que en instituciones públicas, Chávez-Rosales et al. (2012) lo identificaron en solo 9% y Morán et al. (2009) en 6% de sus participantes. Lo anterior permite pensar que en universidades privadas sobresale el riesgo de presentar CAR entre alumnos de disciplinas relacionadas con el cuidado de la salud. Sin embargo esta tendencia parece no ser exclusiva de estos estudiantes. Según Rodríguez, Oudhof, González-Arratia, Unikel y Becerril (2008), 57% de las alumnas de carreras indistintas de una universidad pública del Estado de México presentaron CAR, pero principalmente de aquellas carreras de las áreas de Ciencias Sociales y Económico-Administrativas, cuyo perfil laboral se enfoca al contacto personal con clientes. Condición que puede representar un factor de riesgo para la adopción de CAR, al exigirles cumplir con el ID.
De acuerdo con datos de Torresani (2003), en ESN de una universidad pública de Buenos Aires, 35% se encontraban preocupados por subir de peso vs. 80% de los estudiantes del presente trabajo. Mientras que, en carreras indistintas del sector privado, solo 13% mostraron temor a engordar (Saucedo y Unikel, 2010), confirmando mayores proporciones en ESN, y principalmente del ámbito privado.
En este estudio 25% de participantes mostró riesgo moderado y 12% riesgo alto para desarrollar CAR, siendo el ejercicio, la dieta restrictiva y el atracón (46%, 25% y 15%, respectivamente) las conductas más presentes, incluso entre estudiantes normopeso o con bajo peso. No obstante, en función del sexo, se encontró que los hombres mostraron menor tendencia que las mujeres a la realización de dietas restrictivas (17% vs 26%, respectivamente), estando en ellos más presente el atracón (29% vs 14%, respectivamente). De manera similar, según refieren Franco et al. (2010) en ESN de universidades públicas, los hombres presentaron mayor proporción de atracón (27%) que las mujeres (20%). Por el contrario, en universitarios de carreras indistintas de la Universidad Veracruzana (México), el porcentaje fue menor, aunque la conducta de atracón siguió siendo mayor en los hombres que en las mujeres (10% vs. 6%, respectivamente), quienes se caracterizan por realizar más dietas restrictivas (Alvarez et al., 2003). Podría pensarse que esto se relacione con una mayor ingesta energética por parte de los hombres, ya que socioculturalmente no es “mal visto” que tengan un mayor consumo de alimentos.
Asimismo, 14% de la muestra presentó conductas compensatorias, de los cuales 1.3% reportó vómito autoinducido; porcentaje similar al 1.1% identificado por Chávez et al. (2012) en ESN de una universidad pública. Además 8% de los participantes reportó consumo de diuréticos y 9% de laxantes. Conductas inexistentes entre los participantes de Chávez et al., así como prácticamente ausentes en estudiantes de preparatoria y licenciatura de una institución privada del estado de Hidalgo, quienes a pesar de tener mayor prevalencia de sobrepeso y obesidad (29%), no reportaron consumo de pastillas para bajar de peso, y solo 0.9% refirieron consumir diuréticos y/o laxantes (Saucedo y Unikel, 2010).
Tomando en cuenta los datos reportados, así como lo comentado por Hughes y Desbrow (2005), se considera relevante investigar cuáles son las verdaderas motivaciones de los estudiantes que eligen la CN, y no solo enfocarse en definir la presencia de la sintomatología de TCA. En Austria, Kinzl, Hauer, Traweger y Kiefer (2006) encontraron que los ESN que presentaban obsesión patológica por comer saludablemente tenían mayor riesgo de padecer TCA, y afirman que su mayor motivación al iniciar la carrera era utilizar los conocimientos aprendidos como estrategia para afrontar su propio problema. Esto puede aportar información que les permita a los docentes y directivos, quienes están en contacto directo con estos alumnos, el estimar los riesgos de formar académicamente a personas que han sufrido o que pueden estar en riesgo de tener un TCA (American Dietetic Association [ADA], 2009; Behar, Albiña, Medinelli y Tapia, 2007). Considerando lo anterior, la ADA (2009) hace referencia al trabajo realizado por Drummond y Hare (2012), quienes evaluaron a profesionales de la nutrición de 14 países, con el propósito de identificar la percepción que se tiene de los TCA como un dilema ético entre los ESN, encontrando que 77% de los encuestados percibían que los TCA son un problema frecuente entre los ESN, pero que solo 15% de los programas tenían políticas o estrategias enfocadas a atender la problemática. Por ello que se considere apremiante diseñar estrategias de intervención que permitan mejorar la imagen corporal de los ESN, detectar las CAR que pudieran estar llevando a cabo, y así prevenir el riesgo de que desarrollen algún TCA (AND, 2015).
Dentro de las limitaciones del presente trabajo, cabe mencionar que la muestra no fue representativa de los ESN; sin embargo, habrá que considerar que son escasos los estudios que han examinado la relación del ETN con la INC y las CAR en estudiantes de universidades privadas. Por otro lado, pudiera haber un sesgo en la respuesta a los cuestionarios, ya que estos alumnos poseen conocimientos relativos al tópico de los TCA; sin embargo, el hecho de haber utilizado autoreportes también les pudo permitir sentirse más libres de contestar las preguntas sin sentirse juzgados.
Si bien es un hecho que la formación académica de los ESN les dota de conocimientos básicos para identificar aquellas CAR que podrían ponerlos en riesgo de presentar un TCA, ello no es suficiente para mantenerlos ajenos a la presión social por parte de los medios de comunicación, familiares y amigos para alcanzar el ID. Para futuros estudios se recomienda indagar en las causas que puedan motivar la INC, el discurso de sus propios profesores sobre la forma física, el peso corporal y la ingesta de alimentos, así como las implicaciones emocionales y de desarrollo personal que pudieran orientar la aceptación de la propia figura corporal, para apoyar el diseño e implementación de programas de prevención de los TCA.
Finalmente, a partir de los datos derivados de los ESN examinados, se concluye que la INC, dado el deseo de tener una figura más delgada, se relaciona con la presencia de CAR aún cuando el ETN denota normopeso. Las principales aportaciones de este estudio radican en intentar explicar la multicausalidad del comportamiento alimentario a partir de la autopercepción de la corporeidad vs. las proporciones corporales reales definidas a través del cálculo del IMC.
Referencias
Academy of Nutrition and Dietetics. (2015). Ethical considerations when students experience an active eating disorder during their dietetics training. Journal of the Academy Nutrition and Dietetics, 115(10), 1715-1717. https://doi.org/10.1016/j.jand.2015.08.011.
Acosta, M. y Gómez, G. (2003). Insatisfacción corporal y seguimiento de dieta: Una comparación transcultural entre adolescentes de España y México. Revista Internacional de Psicología Clínica y de la Salud, 3(1), 9-21.
Alkan, S., Ersoy, N., Eskici, G. y Ersoy, G. (2017). Assessment of eating attitudes and healthy lifestyle behaviors of females students studying nutrition and dietetics. Indian Journal of Nutrition and Dietetics, 54(1), 1-13. https://doi.org/10.21048/ijnd.2017.54.1.15441.
Alvarez, G., Franco, K., Vázquez, R., Escarria, A. R., Haro, M. y Mancilla, J. M. (2003). Sintomatología de trastorno alimentario: Comparación entre hombres y mujeres estudiantes. Psicología y Salud, 3(2), 245-255.
American Dietetic Association. (2009). Commission on dietetic registration code of ethics for the profession of dietetics and process for consideration of ethics issues. Journal of the American Dietetic Association, 109(8), 1461-1467. https://doi.org/10.1016/j.jada.2009.06.002.
Asociación Médica Mundial (2013). Principios éticos para las investigaciones médicas en seres humanos. Disponible en http://conbioetica-mexico.salud.gob.mx/descargas/pdf/Declaracion_Helsinki_Brasil.pdf.
Arroyo, M., Basabe, N., Serrano, L., Sánchez, C., Ansotegui, L. y Rocandio, A. (2010). Prevalence and magnitude of body weight and image dissatisfaction among women in diete tics majors. Archivos Latinoamericanos de Nutrición, 60(2), 126-131.
Behar, R. (2010). La construcción cultural del cuerpo: El paradigma de los trastornos de la conducta alimentaria. Revista Chilena de Nutrición, 48(4), 319-334. https://dx.doi.org/10.4067/s0717-92272010000500007.
Behar, R., Alviña, M., Medinelli, A. y Tapia, P. (2007). Trastornos de la conducta alimentaria en estudiantes de la carrera de nutrición y dietética. Revista Chilena de Nutrición, 34(4), 298-306. https://dx.doi.org/10.4067/s0717-75182007000400003.
Bojórquez, R., Ávila, M., Cortés, M., Vázquez, R. y Mancilla, J. M. (2008). Restricción alimentaria y conductas de riesgo de trastornos alimentarios en estudiantes de nutrición. Psicología y Salud, 18(2), 189-198.
Bubaris, D., Bodzio, J. y Pasold, T. (2016). Relationship between nutrition education and dietetics students’ disordered eating attitudes and behaviors. Journal of the Academy of Nutrition and Dietetics, 116(9), A57. https://doi.org/10.1016/j.jand.2016.06.197.
Bulik, C., Wade, T., Heath, A., Martin, N., Stunkard, A. y Eaves, L. (2001). Relating body mass index to figural stimuli: Population-based normative data for caucasians. International Journal of Obesity, 25, 1517-1524. https://doi.org/10.1038/sj.ijo.0801742.
Cash, T. y Deagle, E. (1977). The nature and extent body ima ge disturbances in anorexia nervosa and bulimia nervosa: A metaanalysis. International Journal of Eating Disorders, 22(2), 107-125. https://doi.org/10.1002/(sici)1098-108x(199709)22:2<107::aid-eat1>3.3.co;2-y.
Cash, T. y Szymanski, M. (1995). The development and validation of the Body-image Ideals Questionnaire. Journal of Perso nality Assessment, 64(3), 466-477. https://doi.org/10.1207/s15327752jpa6403_6.
Casillas-Estrella, M., Montaño-Castrejón, N., Reyes-Velázquez, V., Bacardí-Gascón, M. y Jiménez-Cruz, A. (2006). A mayor IMC mayor grado de insatisfacción de la imagen corporal. Revista Biomédica, 17(4), 243-249.
Chávez-Rosales, E., Camacho, E. J., Maya, M. A. y Márquez, O. (2012). Conductas alimentarias y sintomatología de trastornos del comportamiento alimentario en estudiantes de nutrición. Revista Mexicana de Trastornos Alimentarios, 3(2), 29-37.
Drummond, D. y Hare, M. S. (2012). Dietitians and eating disorders: An international issue. Canadian Journal of Die tetic Practice and Research, 73(2), 86-90. https://doi.org/10.3148/73.2.2012.86.
Franco, K., Martínez, A. G., Díaz, F. J., López-Espinoza, A., Aguilera, V. y Valdés, E. (2010). Conductas de riesgo y sintomatología de trastornos del comportamiento alimentario en estudiantes universitarios del Sur de Jalisco, México. Revista Mexicana de Trastornos Alimentarios, 1(2), 102-111.
Gobierno de México. (2012). Ley general de salud (Art. 100). Disponible en http://www.salud.gob.mx/cnts/pdfs/LEY_GENERAL_DE_SALUD.pdf.
González, O. (2011). La presión sociocultural percibida sobre el autoconcepto físico: Naturaleza, medida y variabilidad [Tesis de doctorado]. España: Universidad del País Vasco. Disponible en: https://addi.ehu.es/bitstream/handle/10810/12240/GONZALEZ%20FERNANDEZ%20OSCAR.pdf?sequence=1.
Guglielmone, M. E. (2010). Trastornos alimentarios, ansiedad y estado nutricional en estudiantes de nutrición [Tesis de licenciatura]. Buenos Aires: Universidad FASTA. Disponible en http://redi.ufasta.edu.ar:8080/xmlui/bitstream/handle/123456789/263/2012_n_034.pdf?sequence=1.
Harris, N., Gee, D., D´acquisto, D., Ogan, D. y Pritchett, K. (2015). Eating disorder risk, exercise dependence, and body weight dissatisfaction among female nutrition and exercise science university majors. Journal of Behavioral Addictions, 4(3), 206-209. https://doi.org/10.1556/2006.4.2015.029.
Hernández, M., Rivera, J., Shamah, T., Cuevas, L., Gómez, L., Gaona, E. et al. (2016). Encuesta Nacional de Salud y Nutrición de Medio Camino 2016: Informe final de resultados. Cuernavaca, México: Instituto Nacional de Salud Pública. Disponible en http://promocion.salud.gob.mx/dgps/descargas1/doctos_2016/ensanut_mc_2016-310oct.pdf.
Hughes, R. y Desbrow, B. (2005). Aspiring dietitians study: A pre-enrolment study of students motivations, awareness and expectations relating to careers in nutrition and die tetics. Nutrition & Dietetics, 62, 106-109. https://doi.org/10.1111/j.1747-0080.2005.00015.x.
Kaufer-Horwitz, M., Martínez, J., Goti-Rodríguez, L. y Ávila-Rosas, H. (2006). Association between measured BMI and self-perceived body size in Mexican adults. Annals of Human Biology, 33(5/6), 536-545. https://doi.org/10.1080/03014460600909281.
Kinzl, J., Hauer, K., Traweger, C. y Kiefer, I. (2006). Orthorexia nervosa in dieticians. Psychotherapy and Psychosomatics, 75(6), 395-396. https://doi.org/10.1159/000095447.
Kolka, M. y Abayomi, J. (2012). Body image dissatisfaction among food-related degree students. Nutrition & Food Science, 42(3), 139-147. https://doi.org/10.1108/00346651211228423.
Kong, P. y Harris, L. (2015). The sporting body: Body image and eating disorder symptomatology among female athletes from leanness focused and nonleanness focused sports. Journal of Psychology, 149(1-2), 141-160. https://doi.org/10.1080/00223980.2013.846291.
Korinth, A., Schiess, S. y Westenhoefer, J. (2009). Eating behaviour and eating disorders in students of nutrition sciences. Public Health Nutrition, 13(1), 32-37. https://doi.org/10.1017/s1368980009005709
Morán, I., Cruz, V. y Iñárritu, M. C. (2009). Prevalencia de factores y conductas de riesgo asociados a trastornos de la alimentación en universitarios. Revista Médica del Hospital General de México, 72(2), 68-72.
Núñez, G., Topete, M., Patrón, J., Manuel, A., Medina, G., Ayala, F. et al. (2008). Prevalencia de factores de riesgo para trastornos de la conducta alimentaria en estudiantes de una institución privada en Monterrey. Revista de Nutrición Clínica, 17(4), 118-122.
Organización Mundial de la Salud. (1995). El estado físico: Uso e interpretación de la antropometría. Ginebra, Suiza: Organización Mundial de la Salud.
Petrie, T. y Greenleaf, C. (2012). Body image and sports/athletics. En T. Cash (Ed.), Encyclopedia of body image and human appearance, Vol. 1 (pp. 160-165). San Diego, CA: Academic Press. https://doi.org/10.1016/b978-0-12-384925-0.00018-3.
Pino, J. L., López, M. A., Moreno, A. A. y Faúndez, T. P. (2010). Percepción de la imagen corporal, del estado nutricional y de la composición corporal de estudiantes de nutrición y dietética de la Universidad del Mar, Talca, Chile. Revista Chilena de Nutrición, 37(3), 321-328. https://dx.doi.org/10.4067/s0717-75182010000300007.
Rocks, T., Pelly, F., Slater, G. y Martin, L. (2014). Eating attitudes and behaviours in a sample of female university students: Does study nutrition and dietetics make a difference? Journal of Eating Disorders, 2(1), e-pub. https://doi.org/10.1186/2050-2974-2-s1-p12.
Rocks, T., Pelly, F., Slater, G. y Martin, L. (2015). Changes in eating attitudes and behaviours in a sample of female university students studying health degrees: A 12-months follow-up study. Journal of Eating Disorders, 3(1), e-pub. https://doi.org/10.1186/2050-2974-3-S1-P9.
Rocks, T., Pelly, F., Slater, G. y Martin, L. (2016). Eating attitudes and behaviours of students enrolled in undergraduate nutrition and dietetics degrees. Nutrition & Dietetics, 74(4), 381-387. https://doi.org/10.1111/1747-0080.12298
Rodríguez, B., Oudhof, B., González-Arratia, N., Unikel, C. y Becerril, M. (2008). Conductas alimentarias de riesgo: Prevalencia en mujeres de nivel superior del Estado de México. Revista Científica Electrónica de Psicología, 6, 159-168.
Rowe, D., McDonald, S., Mahar, M. y Raedeke, T. (2005). Multitrait-multimethod investigation of a novel body image measurement technique. Research Quarterly for Exercise and Sport, 76(4), 407-415. https://doi.org/10.1080/02701367.2005.10599313
Saucedo, T. y Unikel, C. (2010). Conductas alimentarias de riesgo, interiorización del ideal estético de delgadez e índice de masa corporal en estudiantes hidalguenses de preparatoria y licenciatura de una institución privada. Salud Mental, 33(1), 11-19.
Stice, E., Schupak-Neuberg, E., Shaw, H. E. y Stein, R. I. (1994). Relation of media exposure to eating disorder sympto matology: An examination of mediating mechanisms. Journal of Abnormal Psychology, 103(4), 836-840. http://doi.org/10.1037/0021-843X.103.4.836.
Toral, N., Bauermann, N., Spaniol, A. y Alves, R. (2016). Eating disorders and body image satisfaction among Brazilian undergraduate nutrition students and dietitians. Archivos Latino americanos de Nutrición, 66(2), 129-134.
Torresani, M. (2003). Conductas alimentarias y prevalencia del riesgo de padecer trastornos alimentarios en estudiantes de nutrición. Revista Española de Nutrición Comunitaria, 9(1), 30-33.
Unikel, C., Bojórquez, I. y Carreño, S. (2004). Validación de un cuestionario breve para medir conductas alimentarias de riesgo. Salud Pública de México, 46(6), 509-515. https://doi.org/10.1590/s0036-36342004000600005.
Unikel, C., Bojórquez, I., Villatoro, J., Fleiz, C. y Medina, M. (2006). Conductas alimentarias de riesgo en población estudiantil del Distrito Federal: Tendencias 1997-2003. Revista de Investigación Clínica, 58(1), 15-27.
Unikel, C., Díaz de León, C. y Rivera, J. (2016). Conductas alimentarias de riesgo y correlatos psicosociales en estudiantes universitarios de primer ingreso con sobrepeso y obesidad. Salud Mental, 39(3), 141-148. https://doi.org/10.17711/sm.0185-3325.2016.012.
Unikel, C., Díaz de León, C. y Rivera, J. (2017). Conductas alimentarias de riesgo y factores de riesgo asociados: Desarrollo y validación de instrumentos de medición. México: Universidad Autónoma Metropolitana.
Unikel, C., Nuño, B., Celis, A., Saucedo, T. J, Trujillo, E., García, F. et al. (2010). Conductas alimentarias de riesgo: Prevalencia en estudiantes mexicanas de 15 a 19 años. Revista de Investigación Clínica, 62(5), 424-432.
Verde, E., Gallardo, G., Compeán, S., Tamez, S. y Ortiz, L. (2007). Motivos de elección de carrera en mujeres estudiantes de profesiones de la salud. Educación Médica, 10(1), 44-51. https://doi.org/10.4321/s1575-18132007000100007.
Apéndice

Notas
Notas de autor
*Autora de correspondencia: alicia.parra@ibero.mx (A. Parra)