Notas
La institucionalización del sistema de partidos en América Latina: Revisión conceptual y metodológica
The institutionalization of party system in América Latina: Conceptual and methodological revision
La institucionalización del sistema de partidos en América Latina: Revisión conceptual y metodológica
Revista de El Colegio de San Luis, vol. VIII, núm. 15, pp. 205-236, 2018
El Colegio de San Luis A.C.
Recepción: 27 Enero 2016
Recibido del documento revisado: 02 Mayo 2016
Resumen: El objetivo de esta investigación es ordenar el mapa conceptual existente de la institucionalización de los sistemas de partidos identificando las diferentes propuestas de definición, las dimensiones e indicadores diseñados para la medición del grado en que se encuentra tal proceso de institucionalización. La aproximación teórico-metodológica reconoce que, después del trabajo precursor de Mainwaring y Scully (1995), la literatura especializada se ha centrado en la construcción y búsqueda de herramientas teórico-conceptuales para la medición de la institucionalización de los sistemas de partidos. El valor de este trabajo estriba en que busca determinar las características específicas de cada una de esas herramientas conceptuales y metodológicas, señalando su capacidad explicativa para el análisis comparado.
Palabras clave: Partidos políticos, institucionalización, sistema de partidos, estabilidad, volatilidad electoral.
Abstract: The objective of this research is to sort the existing conceptual map of the institutionalization of party systems, to identify the different proposals for definition, dimensions and indicators designed for the measurement of the extent to which this process. The theoretical-methodological approach recognizes that following the pioneering work of Mainwaring and Scully (1995), the literature has focused on the construction and search of theoretical and conceptual tools for the measurement of the institutionalization of party systems. The value of this work lies in that it seeks to point the specific characteristics of each of these conceptual and methodological tools, thus determining its explanatory power for the comparative analysis.
Keywords: Institutionalization, political parties, party system, stability, electoral volatility.
Introducción
En ciencia política, el debate académico referente a la institucionalización de los sistemas de partidos (ISP)1 se instaló desde hace dos décadas. La literatura centró su atención esencialmente en la realidad política latinoamericana y, en menor medida, en democracias de otras latitudes y más consolidas (Torcal, 2015). Las investigaciones de Mainwaring y Scully (1995) y Mainwaring y Torcal (2005) pueden ser consideradas como fundadoras de esta discusión posterior a la aproximación teórico-conceptual de Huntington (1968). El trabajo precursor de Mainwaring y Scully (1995) dio paso a la literatura comparada interesada en la disertación metodológica sobre la ISP. Desde su publicación, se han propuesto formas alternativas para medirla, fundadas en la búsqueda de una metodología parsimoniosa con la inclusión de convenciones alternativas para su conceptualización. No obstante, a pesar del relativo consenso sobre la causalidad del proceso y del creciente desarrollo de esta literatura, no se han generado herramientas concretas para su medición y alternativas de análisis sobre sus efectos en la gobernabilidad democrática (Payne, 2006; Torcal, 2015). El objetivo de esta investigación es ordenar el mapa conceptual existente identificando las diferentes propuestas metodológicas, resaltando en estas últimas las dimensiones y variables utilizadas para la medición del grado de institucionalización de los sistemas de partidos. Lo anterior se fundamentará en la concordancia y diferencias de las herramientas conceptuales y metodológicas, guiados por tres cuestionamientos: cuando se habla de institucionalización del sistema de partidos, ¿a qué se hace referencia?, ¿qué variables intervienen y con qué herramientas o marcos analíticos ha sido abordado?, ¿cómo se mide?2 Para desarrollar lo antes expuesto, el presente artículo se estructura en cuatro partes: en la primera se realiza una revisión conceptual de la institucionalización; en la segunda se analiza la diferencia entre la institucionalización del sistema de partidos como el marco de competencia entre partidos y la institucionalización del partido político como organización y unidad política; en la tercera se identifican las variables y dimensiones que Mainwaring et al. (1995, 2005, 2007) promovieron para el caso latinoamericano y las aproximaciones que surgieron después de su obra; finalmente, en la parte cuarta se exponen las conclusiones señalando posibles líneas de investigación derivadas del estudio.
La institucionalización: Concepto y fundamento teórico
El concepto de institucionalización encauza en sí mismo distintas interpretaciones (Randall y Svasand, 2002), por lo tanto, una reconstrucción necesaria del concepto debe comenzar por la explicación sistemática de sus componentes (Torcal, 2015). El primero de ellos se sitúa desde las relaciones normativas y reglamentarias que sustentan el proceso de formación y desarrollo de una organización. Como segundo componente se encuentran los lineamientos de acción y comportamiento que se afianzan dentro de una sociedad u organización como elementos constitutivos (Levitsky, 1998, pp. 78-80).
En primera instancia, retomando el concepto desde la sociología de las organizaciones, Samuel P. Huntington (1968, p. 2) indica que la institucionalización es “el proceso mediante el cual las organizaciones y sus procedimientos adquieren valor y estabilidad”. Según Huntington (1968, p. 2), el grado de institucionalización se identifica a partir de las capacidades de “adaptabilidad, complejidad, autonomía y coherencia de las organizaciones y de sus procedimientos”. En este sentido, la capacidad de regulación de un ente organizativo depende de factores endógenos que determinan sus alternativas de adaptabilidad y exógenos que prescriben su capacidad de autonomía. Panebianco (1997), por otro lado, menciona que el proceso de institucionalización se encuentra asociado al proceso en el que una organización (en específico los partidos políticos) se ha afianzado en un contexto social determinado. El proceso indica que una organización adquiere paulatinamente un valor en sí misma y que sus fines se vuelven inseparables de ella, entendiendo que la adquisición de autonomía frente al entorno y la independencia de sus partes constitutivas son indicadoras de diversos grados de institucionalización (Panebianco, 1997).
A pesar de las distintas alternativas en las cuales se ubica el término, para el estudio de la institucionalización se deben observar al menos dos elementos: 1) la estabi- lidad de los procedimientos (dentro de la organización), y 2) el reconocimiento de dichos procedimientos (como aceptados por los miembros de la organización que la definen y constituyen) (Levitsky, 1998, pp. 78-80). El primero de ellos ejerce significado dentro de los procesos de rutinización de patrones específicos de comportamiento, reglas del juego, según North (1993, p. 3). El segundo elemento encuentra en la supervivencia de la organización el argumento principal, donde la manifestación de los valores que la rigen le confiere continuidad y estabilidad (March y Olsen, 1997). No obstante, las trasformaciones clásicas del concepto establecen que la institucionalización es el proceso por el que una organización se convierte en un fin en sí misma. De esta manera, las organizaciones son instrumentos técnicos diseñados como pautas estables de conducta valoradas y recurrentes (Huntington, 1968). Por lo tanto, la institucionalización es “aquel proceso por el cual las organizaciones y sus procedimientos se conforman valorativamente dentro de un continuo estable” (Linz, Gunther y Montero, 2002, pp. 191-195). Siendo esto así, la organización es valorada al interior por sus integrantes y al exterior por la sociedad.
En síntesis, la institucionalización consiste en “compromisos estables a largo plazo con la organización -o grupo- como una institución legítima en abstracto” (Levitsky, 1998; Randall y Svasand, 2002, p. 10). Por ello, la institucionalización requiere tiempo, y sus elementos constitutivos deben sobrevivir a periodos iniciales de lasitud, así como a procesos de cambio (Gunther y Hopkin, 2002, pp. 196-199). Por lo anterior, se deduce que detrás de los presupuestos que defiende la institucionalización se encuentran los argumentos generados a partir de la aceptación de intereses específicos, hábitos y costumbres que son adjudicados como valores centrales que se articulan en torno al reconocimiento de la cooperación entre los actores que buscan la estabilidad del sistema u organización. El resultado de lo anterior es que la institucionalización se manifiesta como un “proceso en el cual una práctica o una organización, se concibe bien establecida y ampliamente conocida, si no necesariamente aceptada por todos” (Mainwaring y Scully, 1995, p. 2).
La institucionalización del sistema de partidos y sus efectos en la gobernabilidad democrática
La literatura especializada ha pretendido dar interés al grado, génesis y complejidad que enfrenta el análisis de los procesos de institucionalización, entendiendo que para su estudio se prevé el uso de indicadores específicos que le dan consistencia analítica (Huntington, 1968; Panebianco, 1997; Randall y Svasand, 2002). Las inclinaciones científicas que se apoyan en el entendimiento de los sistemas políticos democráticos consideran a los partidos políticos como objetos centrales de análisis, por lo que la atención referida al sistema de partidos implica una tendencia importante del grueso del trabajo intelectual. Sin embargo, en el estudio de los sistemas partidistas existe una propensión académica a emplear un enfoque que ve el sistema de partidos como el producto de las líneas principales de fractura que existen en la sociedad (v. Lipset y Rokkan) (Mainwaring y Scully, 1995). Si bien los sistemas de partidos reflejan aspectos de la realidad social, reducirlos a solo un reflejo de esta resulta anacrónico, ya que contribuye a oscurecer un hecho importante: que los sistemas de partidos imponen una lógica a sus protagonistas que conduce sus comportamientos y limita sus opciones conforme sus contextos político-sociales (Mainwaring et al. 2005). Como resultado de esta tendencia académica ha surgido el interés en un análisis más acabado de los sistemas de partidos, por ello Mainwaring y Scully (1995) proponen una alternativa distinta para el estudio de los sistemas partidarios, en específico los latinoamericanos, distinguidos por sus características estructurales que gravitan en procesos políticos más inestables y estructuras sociopolíticas complejas que han evolucionado de sistemas autoritarios a transiciones democráticas como resultado de la tercera ola (Mainwaring y Torcal, 2005; Kitschelt, Hawkins, Luna, Rosas y Zechmeister, 2010; Torcal, 2015).
La alternativa metodológica planteada por Mainwaring y Scully (1995)) pone énfasis en el grado de institucionalización de los sistemas de partidos en relación con el contexto institucional, social y político (Markowski, 2000, p. 14). Esto es -a diferencia de los teóricos precedentes- que el sistema de partidos ya se puede estudiar no solo por el número de partidos que se relacionan entre sí (Duverger, 1951; Nohlen, 1998), ni solo por su capacidad de hacer frente al partido en el poder o su capacidad de competir y llegar a él (Sartori, 1976), sino también mediante las relaciones directas con el contexto institucional que determina el actuar de los partidos entre sí y su identificación con la sociedad, precisando en aquellas interacciones los ideales democráticos de un sistema político. Desde esta perspectiva se proporciona la alternativa de pensar el sistema de partidos como un proceso de condicionantes para la competencia político-democrática. La relevancia fundamental es observada en la aceptación de las reglas en la contienda política, ya que de ello depende la estabilidad tanto del proceso mismo como del sistema político particular. Como lo comenta Mainwaring et al. (1995, 2005, 2007), el sistema de partidos da forma a la naturaleza de la competencia y proporciona conductas políticas en defensa del desarrollo democrático tanto a los electores como a los actores políticos. Estos mecanismos de competencia funcionan como base para el establecimiento de lineamientos estructurales de las democracias contemporáneas (Mainwaring y Scully, 1995); por ello, la capacidad del sistema político para coadyuvar al mejoramiento democrático es dependiente de aquellos procesos políticos por los cuales la democracia tiene sustento, que es consecuencia de la aceptación de las normas que la regulan (Castoriadis, 1996).
En la actualidad, “el hecho de que exista o no un sistema de partidos institucionalizado hace una gran diferencia en el funcionamiento de la democracia, ya que es difícil mantener un sistema democrático sin un sistema institucionalizado de partidos” (Mainwaring y Scully, 1995, pp. 64-65). En opinión de Markowski (2000, p. 2) y de Kuenzi y Lambright (2001, p. 439), “los partidos y la institucionalización del sistema de partidos es una condición necesaria -mas no suficiente- para la consolidación democrática”. Morlino (1995, p. 316), por otro lado, prefiere hablar de “estructuración del sistema de partido o estabilización del sistema de partidos” para la subsistencia del sistema democrático (cit. en Markowski, 2000, pp. 2-3). Con ello, como lo menciona Mainwaring y Scully (1995, p. 1), la naturaleza de los partidos y su sistema “estructuran las expectativas sobre la posibilidad democracia determinando si se ha de otorgar legitimidad, y, como resultado, políticas públicas efectivas”.
Cabe destacar que Mainwaring y Scully (1995, pp. 1, 25) mencionan que “la institucionalización de un sistema de partidos o la carencia de ella es una cuestión previa a la gobernabilidad y estabilidad democrática”. Sin embargo, no es la única causa, habida cuenta de que la institucionalización del sistema de partidos garantiza la estabilidad en la competencia electoral y, como consecuencia, el mantenimiento de esta como única vía de acceso al poder y representación política, mas no garantiza la gobernabilidad democrática (Randall y Svasand, 2002). Payne (2006), por otro lado, afirma que la institucionalización del sistema partidista sí prevé la garantía del sostenimiento de la gobernabilidad democrática de un sistema en particular, pero esta solo es un componente, e insiste en la intervención de otros elementos.
En este sentido, la institucionalización del sistema de partidos supone la vigencia de reglas que son aceptadas por todos los actores políticos porque han sido elaboradas a partir de valores y reglas democráticas compartidas (Mainwaring y Scully, 1995); por lo tanto, la ISP solo es comprendida a partir de los procesos de competencia electoral, democrática y plural por el poder. Como mencionan Randall y Svasand (2002, p. 7), “en la medida en que el […] sistema de partidos institucionalizado es visto como una contribución a la consolidación democrática, la implicación es que el tipo de sistema de partidos ha de implicar un cierto nivel de competencia”. Esto es, según Randall y Svasand (2002) y el propio Mainwaring (1995), la ISP tiene que ver estrictamente con la rutinización de las dinámicas de la competencia político-electoral, en la cual se encuentra, como lo menciona Sartori (1976, p. 218), una cuestión cualitativa, la competencia, y una cuestión cuantitativa, la competitividad, es decir, “la estructura o una regla del juego y un estado determinado del juego”. En este entendido, y teniendo en cuenta que el núcleo de un sistema de partidos se encuentra en los patrones de competencia e interacción entre sus unidades (Mair, 2007; Sartori, 1976), para propósitos de este documento, se entiende la institucionalización del sistema de partidos como el “proceso por el cual los patrones de interacción entre partidos políticos llega a ser rutinarios, predecibles y estables con el tiempo” (Mair y Van Biezen, 2001; Bakke y Sitter, 2005; Basedau, Matthias y Stroh, 2008). En otras palabras, un sistema de partidos puede decirse que llega a institucionalizarse cuando los partidos políticos compiten, cooperan y colaboran de manera estandarizada y estructurada independiente de las cuestiones relevantes en cada momento (Mainwaring y Scully, 1995; Casal, 2012, p. 3).
La diferencia entre la institucionalización del partido político y el sistema de partidos
Al hablar de institucionalización del sistema de partidos se debe hacer una precisión sustantiva, ya que en su estudio se encuentra un error analítico derivado de la observación de las unidades que intervienen en el proceso. El breve recuento del trabajo intelectual referente a la institucionalización del sistema de partidos manifiesta una inclinación hacia la ambigüedad conceptual, ya que las consideraciones sobre su estudio no destacan la diferencia entre partidos y su sistema, y sí uno es precondicionante del otro (Randall y Svasand, 2002, pp. 6-9). Por ello, el objetivo del presente apartado es distinguir esta diferencia entre la institucionalización del sistema de partidos políticos (Mainwaring y Scully, 1995) y la institucionalización de los partidos políticos (Panebianco, 1997; Randall y Svasand, 2002).
Una primera distinción radica en que en el estudio de la institucionalización del sistema de partidos se indica una condición de interrelación entre partidos. Por lo tanto, no se entiende la institucionalización como acto de una unidad partidista en particular. Sartori (1976, p. 77) afirma que el sistema de partidos es una condición de interacción partidista, con lo cual la competencia es el resultado causal de dicha interacción. Siendo así, los partidos se conforman como un sistema al unir cada parte -partido- en un espacio de mutua interacción. Por tal motivo, al hablar de la institucionalización del sistema de partidos se refiere al conjunto de partidos, y no a una unidad partidista aislada como organización autónoma. Por otro lado, el estudio de los partidos políticos refiere una organización como una unidad política que existe autónomamente que se relaciona y adapta al entorno (Basedau, Matthias y Stroh, 2008). El precursor del pensamiento sobre la institucionalización del partido político es Panebianco (1997, pp. 56-57) , quien entiende que los partidos políticos pueden llegar a ser diferentes entre sí a partir de un grado de institucionalización, “el cual a su vez, está en función de las modalidades del proceso de formación del partido […] así como del tipo de influencias ambientales a las que la organización haya estado sometida”. En teoría, Panebianco propone que es posible medir el grado de institucionalización de un partido en un continuum de un mínimo a un máximo de acuerdo con dos dimensiones: “a) el grado de autonomía respecto al ambiente, alcanzado por la organización; y b) el grado de sistematización, dependencia entre las distintas unidades que componen la organización” (Panebianco, 1997, pp. 116-118). Estas dos dimensiones, a diferencia de las dimensiones que son utilizadas para el estudio de la institucionalización del sistema de partidos, apuntan en dos sentidos (Mainwaring y Scully, 1995).3 El primero, según Panebianco, los partidos son organizaciones, y como tales se encuentran sumergidos en un zoo organizacional en el que son determinados por su entorno, al cual se adaptan e intercambian recursos con el afán de sobrevivir (De la Rosa y Contreras, 2007). 4 El segundo hace referencia a la estructura interna de la organización, lo cual depende enteramente de la condición de sus integrantes, atribuyendo un cierto grado de discrecionalidad a estos (Randall y Svasand, 2002).
La institucionalización del sistema de partidos, como lo indican Mainwaring et al. (1995, 2005) consiste en: 1) Condiciones que no necesariamente hacen referencia a la estructura interna de los partidos políticos. En este sentido, Hicken y Kuhonta (2011, p. 573) mencionan que “al analizar los sistemas de partidos en términos de institucionalización, se busca, principalmente la estabilidad de las interacciones entre las partes componentes del sistema de partidos en lugar de los partidos como colosos organizacionales”. 2) Se observa la pertenencia y profundidad en las raíces de los partidos políticos en la sociedad, entendiendo por ello la aceptación de la competencia entre partidos como un elemento importante de la democracia. 3) El nivel de aceptación de las reglas de competencia por parte de los partidos políticos.4) La importancia de un sistema institucionalizado es observada a partir de las condiciones que el sistema pueda promover a la democracia. Finalmente, Randall y Svasand (2002, p. 6) señalan que existe una gran convergencia en la importancia de los procesos de institucionalización tanto del partido político como del sistema de partidos. No obstante, la precisión con la que se utiliza el término tanto en su consistencia analítica como en su capacidad explicativa es poco clara, ya que la institucionalización del sistema de partidos y la institucionalización del partido político “no son o no es necesariamente convergente, ni es lo mismo y no es -necesariamente- mutuamente compatible” (Randall y Svasand, 2002, pp. 5-6). Lo anterior supone la diferencia entre los procesos de institucionalización tanto de los partidos como del sistema partidista, como lo indica Markowski (2000, p. 3) , “aunque se tuviesen partidos institucionalizados no necesariamente el sistema de partidos lo estaría” (Payne, 2006). Lo anterior es relevante porque se hace la diferencia tácita de las características estructurales observando los partidos a partir de su relación con el sistema, su interacción en competencia y los procesos de aceptación de esta como elementos que contribuyen al desarrollo democrático, y no solo la existencia de partidos como una condición per se de la democracia (Mainwaring y Scully, 1995; Wolinetz, 2006; Katz y Crotty, 2006).
El grado de institucionalización del sistema de partidos: una revisión de sus componentes
El análisis del sistema de partidos institucionalizado prevé distintos elementos para la construcción de herramientas teórico-conceptuales. En este sentido, Randall y Svasand (2002), Payne (2006), Mark Jones (2007), Altman et al. (2009), Rose y Mishler (2010), Hicken y Kuhonta (2011), Croissant y Völkel (2012), Zucco (2013), Torcal (2015), siguiendo a Mainwaring y Scully (1995, pp. 1-2) , señalan que el grado de institucionalización “es un importante indicador de la estabilidad o inestabilidad, continuidad y cambio, no sólo del sistema de partidos sino del sistema político en general”. Mainwaring y Scully (1995) son enfáticos al señalar que el grado de institucionalización del sistema partidario se encuentra a favor de la estabilidad de las normas de competencia y del comportamiento partidista, y no necesariamente por los aspectos democráticos del sistema político particular, más si es un condicionante para que este sea más estable y actúe en favor de su desarrollo. Para Mainwaring y Scully (1995), la institucionalización del sistema de partidos:
[…] tiende a fomentar una mayor estabilidad política y eficacia gubernamental, pues los actores sociales terminan por aceptar que la vía electoral y los canales legislativos constituyen la manera más propicia de incidir en la formulación de política. Estas articulaciones de demandas del público y las organizaciones de la sociedad civil se dan a través de instituciones legítimas y consolidadas disminuyendo el riesgo de que los conflictos políticos se intensifiquen y se vuelvan incontenibles. De igual forma, un sistema de partidos institucionalizado es en donde los ciudadanos y las organizaciones y/o grupos sociales confían en que los partidos y sus dirigentes actúan en favor de sus intereses. De manera conjunta, la política es más predecible en el contexto de un sistema de partidos institucionalizados, en donde los resultados electorales no varían espectacularmente entre una elección y la siguiente, si bien algunos partidos desaparecen y muchos otros emergen (Mainwaring y Scully, 1995). Las reglas de conducta e interacción son conocidas y aceptadas; y los actores políticos conocen la mejor manera para lograr sus objetivos. En cambio, en escenarios menos institucionalizados los actores están más preocupados por el futuro y son más proclives a perseguir metas a corto plazo, aun cuando implique costos a largo plazo para sí mismos o para el sistema en su conjunto (Payne, 2006, pp. 165-166).
En relación con lo anterior, y como se muestra en el cuadro 1, Mainwaring y Scully (1995, pp. 66-69) proponen cuatro condiciones con las que determinan el grado de institucionalización de un sistema partidista:
| Autor | Dimensiones | Variables e indicadores | |
| Mainwaring y Scully (1995) Mainwaring y Torcal (2005) | Estabilidad. Arraigo. Legitimidad. Organización interna de los partidos. | Estabilidad en las reglas y en la naturaleza de la competencia entre partidos. Estabilidad de las raíces de los partidos políticos importantes. Legitimidad al proceso electoral y a los partidos. Subordinación al interior de las organizaciones partidarias. | Volatilidad electoral. Elecciones legislativas y presidenciales. Número efectivo de partidos. Polarización ideológica. |
| Volatilidad electoral. Voto ideológico (conexiones programático-ideológicas). Índice de desarrollo humano, PIB per cápita, Freedom House. | |||
| Randall y Svasand (2002) | Interno. Externo. | Actitudinales-legitimidad. Estructurales-continuidad, estabilidad. a) Relación con el Estado. | Los partidos como competidores legítimos. Grado de confianza en los partidos como instituciones y compromiso con el proceso electoral. Régimen electoral: a) Financiamiento público. b) Organismos electorales. |
| Payne (2006) | Estabilidad. Arraigo. Legitimidad. Organizaciones partidistas. | Estabilidad de los modelos de competencia. Arraigo social estable y profundo de los partidos (identificación partidista). Percepción popular de la legitimidad de los partidos y las elecciones como legítimos, y de que estos son los únicos instrumentos para determinar quién gobierna. Sistema de partidos con reglas y estructuras estables. | Volatilidad electoral. Fragmentación electoral y número efectivo de partidos. Polarización ideológica. Percepción sobre los partidos (confianza y necesarios para la democracia y el progreso). Edad partidista. |
| Mark y Jones (2007) | Estabilidad. Arraigo. Legitimidad. Organización partidista. | Volatilidad electoral. Identificación partidista fuerte. Reconocimiento de los ciudadanos sobre los partidos y las elecciones como elementos de estabilidad legitima democrática. Aceptación de los partidos al interior como organizaciones estables. Sistema electoral. | Selección de candidatos. Volatilidad electoral. Representación política y cuota de género. Tamaño de distrito. Encuestas a la élite parlamentaria. |
| Torcal et al. (2008) Torcal (2015) | Estabilidad. Arraigo. Legitimidad y actitudinal. Organización. | La existencia de partidos fuertes y estables supeditados o no a la figura de sus líderes. Enrizamiento de los partidos en la sociedad y, por lo tanto, electores y partidos se hallan unidos por lazos partidistas sólidos. La estabilidad o regularidad en los patrones de competencia partidista. Actitud y legitimidad; convencimiento de que los partidos políticos son necesarios para el funcionamiento de la democracia. | Volatilidad electoral: a) Agregada. b) Interbloques. Polarización ideológica. Voto religioso. Voto de clase. Abstencionismo. |
| Altman et al. (2009) | Estatismo. Conservadurismo. Actitudes hacia el régimen. | Posicionamiento ideológico de izquierda-derecha. Posicionamiento de los partidos en asuntos relacionados con el rol del Estado (mercado). Cuán conservadoras en lo moral son sus visiones ideológicas y cuánto peso otorgan en sus plataformas a visiones nacionalistas y tradicionalistas. Perfiles ideológicos de los partidos en función de las preferencias de régimen: democracia vs. autoritarismo. | Encuesta a expertos. Volatilidad electoral. Escala: a) liberal-conservador; b) Estado-mercado; d) izquierda-derecha. |
| Rose y Mishler (2010) | Estabilidad. Arraigo. Legitimidad. | Estabilidad en la ley electoral. Persistencia de compromisos de los partidos con las élites políticas y por los votantes. Demandas de la sociedad. Aprendizaje de las élites y los votantes en cada elección. Tiempo. | Volatilidad electoral. |
| Hicken y Kuhonta (2011) | Estabilidad. Arraigo. Legitimidad. | Tiempo y sus efectos. Estabilidad de las instituciones políticas (sistema electoral). Las características del régimen anterior. Cleavage (étnicos). | Volatilidad electoral. Fragmentación. |
| Zucco (2013) | Estabilidad. Arraigo. Legitimidad. Organización. | Estabilidad en las reglas y en la naturaleza de la competencia entre partidos. Estabilidad de las raíces de los partidos políticos importantes. Legitimidad al proceso electoral y a los partidos. Subordinación al interior de las organizaciones partidarias. | Volatilidad electoral. Fragmentación electoral y número efectivo de partidos. Polarización ideológica. Percepción sobre los partidos (confianza y su necesidad para la democracia). Edad de los partidos. Identificación partidista. |
| Ruiz y Otero (2013) | Estabilidad. Arraigo. Legitimidad. | Estabilidad en la naturaleza de la competencia entre partidos. Estabilidad de las raíces de los partidos políticos Legitimidad de los partidos, como agentes intermediarios entre la sociedad y el Estado. | Volatilidad electoral. Identificación partidista y número efectivo de partidos. Confianza en los partidos políticos. |


1) estabilidad en las reglas y en la naturaleza de la competencia entre partidos. Estos esquemas de competencia deben manifestar alguna regularidad. 2) Raíces de los partidos políticos importantes, más o menos estables en la sociedad, ya que de otro modo, no estructuran las preferencias políticas a lo largo del tiempo, y hay una regularidad limitada en la manera en que la sociedad ejerce el voto. Estos vínculos entre ciudadanos y partidos ayudan a proporcionar regularidad. 3) Los actores políticos importantes conceden legitimidad al proceso electoral y a los partidos. Los partidos son actores clave para determinar el acceso al poder. Las elecciones deben ser el proceso real para determinar quién gobierna, y los actores principales deben considerarlas como tal. 4) Las organizaciones partidarias no están subordinadas a los intereses de los líderes; las organizaciones adquieren un valor propio. Lo que indica el grado de autonomía de los partidos ante las decisiones instrumentales que lo crearon.5
Sin embargo, Randall y Svasand (2002, p. 5) , Mainwaring et al. (2005) y Markowski (2000, p. 3) indican que este último elemento no es necesariamente convergente ni necesario para la consolidación de la competencia, ni mucho menos para su observación. Mas sí lo es para la identificación de la institucionalización del partido político, ya que nos referimos a la institucionalización de la competencia político-partidista como un todo, y no a las unidades organizacionales componentes.
A diferencia de Mainwaring et al. (1995; 2005), Randall y Svasand (2002, pp. 7-8) indican que existen aspectos internos y externos que se deben observar al analizar la institucionalización del sistema de partidos. Para los autores, existe una relación entre elementos estructurales y actitudinales en el proceso de institucionalización (véase el Cuadro 1). En el aspecto interno se identifica la relación entre cada partido político. El sistema de partidos competitivo es institucionalizado cuando existen diferentes alternativas de partidos en la conformación de los gobiernos y la representación. Como ya lo mencionaba Sartori (1976, pp. 218-219) , la relación entre la fuerza electoral, la competitividad, los márgenes estrechos o cercanos en los triunfos electorales y la frecuencia con la que los partidos se alternan el poder político van delineando y determinando la relación entre los partidos políticos con respecto de su capacidad de competir entre ellos. En este sentido, se observa que los partidos se aceptan mutuamente como competidores legítimos y esenciales como oposición política. Esta dimensión tiene que ver con la actitud de los partidos y la sociedad hacia la competencia partidista, en particular, su grado de confianza en los partidos como instituciones y compromiso con el proceso electoral. No obstante, en la práctica, confiar en los partidos como instituciones es un problema en muchas de las democracias, aunque la disminución de la confianza también es parte del fenómeno del declive de los partidos como formas de representación política en las democracias establecidas (Listhaug y Wiberg, 1995; Randall y Svasand, 2002, pp. 7-8; Montero y Gunther, 2007).
Por otro lado, la dimensión estructural observa la interacción del sistema de partidos con el Estado, lo que es una condición necesaria para la institucionalización del sistema de partidos. La observación de la regulación y, en diferentes grados, del apoyo del Estado hacia los partidos, que se manifiesta en la inclusión de normativas que identifiquen la relación del estado de la competencia partidaria, la existencia misma de los partidos políticos, el financiamiento público, los organismos electorales y los procesos de elección de representantes, el sistema electoral, suponen una relación que otorga atributos para la consolidación del sistema de partidos, según Randall y Svasand (2002, pp. 7-8) .
Bajo otra concepción, Payne indica que:
[…] un sistema partidario institucionalizado es aquel en donde los partidos son actores importantes para canalizar y articular las demandas políticas. Las agrupaciones políticas con un grado razonable de cohesión, bases sólidas de apoyo social y programas políticos identificables, facilitan la representación de las preferencias e intereses del público y refuerzan las posibilidades de que los ciudadanos exijan rendición de cuentas a las autoridades políticas (Payne, 2006, pp. 165-166).
En la noción de Payne, un sistema es institucionalizado en la medida que este favorece la gobernabilidad, y señala que:
[…] el nivel de institucionalización del sistema de partidos es en gran medida producto de la historia política de cada país. La institucionalización facilita la gobernabilidad del sistema democrático, pero en países donde la democratización inicia o se encuentra en desarrollo implica la construcción de una competencia interpartidista escasamente existente hasta ese momento (Payne, 2006, pp. 169-185).
Dadas estas condiciones, Payne establece cuatro dimensiones que caracterizan un sistema de partidos institucionalizado:
1) la relativa estabilidad de los modelos de competencia interpartidista; 2) arraigo social estable y profundo de los partidos; 3) percepción popular de la legitimidad de los partidos y las elecciones como legítimos, y de que estos son los únicos instrumentos para determinar quién gobierna; 4) un sistema de partidos con reglas y estructuras estables (Payne, 2006, pp. 165-166) .
Con la observación de estas dinámicas de competencia partidista y sus incidencias en la conformación del desarrollo democrático, Payne (2006, pp. 165-166) afirma que “al menos tres características distintivas de los sistemas de partidos definen su impacto en la democracia: 1) el nivel de institucionalización, 2) la fragmentación, 3) el grado de polarización ideológica” (véase el cuadro 1). En la interpretación de Payne (2006, p. 167), estos factores que han sido “empleados tradicionalmente para distinguir los sistemas de partidos como lo son el número de partidos y el grado de polarización ideológica (Sartori, 1976), afectan directamente en la gobernabilidad de los sistemas democráticos”, ya que evidencian la capacidad de los partidos para el acceso al poder político y, por medio de este, la toma decisiones en favor de su cualidad ideológica destacando la inclinación de la base social en la que se fundamenta su propuesta política. De lo anterior depende la posibilidad de la estabilidad del sistema democrático, que es determinada por los niveles en que los partidos aceptan la competencia y sus reglas. No obstante, Payne (2006) atiende el impacto de estas características sobre la gobernabilidad democrática mediante una comparación de casos latinoamericanos, en la que postula, como argumento principal, que “la gobernabilidad democrática se facilita con un sistema de partidos institucionalizado, un nivel moderado de polarización y un número limitado de partidos relevantes”. Al igual que Mainwaring y Scully (1995), considera que la institucionalización implica bases de apoyo social sólidas permitiendo que la sociedad exprese sus preferencias ideológicas por medio del voto y que el político dependa del partido.
Mark Jones (2007), por su parte, desarrolló un índice que mide la institucionalización del sistema de partidos a partir de cuatro dimensiones: 1) estabilidad de los patrones de competencia entre partidos; 2) raíces del partido en la sociedad; 3) la legitimidad de los partidos, y 4) las elecciones (cit. en Croissant y Völkel, 2012, p. 240) (véase el cuadro 1). Jones (2007, p. 9) señala que “en sistemas institucionalizados de partidos, los partidos políticos relevantes están vinculados con la sociedad y tienen fuertes raíces organizacionales entre sus respectivos electorados”; es decir, si los votantes realmente se identifican con los partidos políticos y si los políticos del partido están distantes de la sociedad. Por otro lado, identifica la medida en que los partidos políticos, las elecciones y las organizaciones electorales son vistos como medios legítimos por el electorado. Por último, captura la medida en que los partidos políticos tienen disputas organizacionales significativas y asumen la posible durabilidad organizacional y su autonomía. Jones (2007) expresa que la institucionalización se mide por un número de indicadores:
[…] cuanto más baja la volatilidad electoral; la identificación partidista fuerte; el reconocimiento de los ciudadanos sobre los partidos y las elecciones como elementos de estabilidad legitima democrática; y la aceptación de los partidos al interior como organizaciones estables; podemos hablar de un sistema de partidos institucionalizado (Jones, 2007; Croissant y Völkel, 2012, p. 241) (véase el cuadro 1).
En la misma línea, Rose y Mishler (2010, pp. 801-804) argumentan que la institucionalización se da en función de cuatro conjuntos de influencias: “estabilidad en la ley electoral; persistencia de compromisos de los partidos con las élites políticas y por los votantes; y el aprendizaje de las élites y los votantes en cada elección”. De igual forma, Rose y Mishler (2010, p. 803) dicen que la ISP es un proceso que toma tiempo. Por su parte, Hicken y Kuhonta (2011, p. 576) mencionan que “las causas de la institucionalización del sistema de partidos se deben principalmente a tres elementos: a) un recorrido temporal amplio; b) instituciones políticas estables, y c) divisiones sociales poco fragmentadas”. Sin embargo, estos autores no ahondan más en sus planteamientos.
Mariano Torcal (2015), por su parte, realiza una revisión sistemática fundamentada en tres elementos. El primero añade una noción metodológica del concepto y su operacionalización, con ello se bosqueja una conceptualización multidimensional de la institucionalización dejando de lado las aproximaciones lineales del fenómeno, aunque apegadas al esquema establecido por Mainwaring y Scully (1995) y Mainwaring y Torcal (2005). En este sentido, enfoca su análisis en la cualidad multivariable del concepto, añadiendo valores cuantificables en el proceso de consolidación de los sistemas de partidos en América Latina. Inicialmente, Torcal (2015) asume la medición de la institucionalización equiparada a los tipos de volatilidad electoral y sus efectos en la gobernabilidad (Torcal, 2015). El segundo elemento añade importancia explicativa a los diversos niveles de la institucionalización del sistema de partidos resaltando los procesos de institucionalización con una postura fundamentada en las trayectorias históricas y la importancia de la nacionalización como elemento indispensable de la institucionalización del partido y del sistema (Torcal, 2015). Finalmente, el tercer objetivo obedece a una insuficiencia teórico-empírica que busca el nexo entre los efectos causales de la institucionalización y la gobernabilidad democrática. Torcal (2015) se adjudica un esfuerzo teórico-empírico y metodológico sobre el estado que guardan los sistemas de partidos en la región latinoamericana con el afán de vislumbrar los mecanismos causales del equilibrio inestable de los sistemas de partidos latinoamericanos y, en consecuencia, sus democracias. No obstante, no logra clarificar la relación que guarda la institucionalización del sistema de partidos con la gobernabilidad o desarrollo democrático (véase el Cuadro 1).
Análisis multidimensional de la institucionalización del sistema de partidos: el caso latinoamericano
La institucionalización del sistema de partidos prevé la existencia de cuatro aspectos o características fundamentales, que simultáneamente arrojan cuatro dimensiones para su análisis y, derivado de ello, un uso metodológico que satisface la identificación de sus atributos particulares. Con fundamento en los autores mencionados (véase el cuadro 1), Mainwaring y Scully (1995), Randall y Svasand (2002), Payne (2006), Jones (2007), Altman et al. (2009), Rose y Mishler (2010), Hicken y Kuhonta (2011), Casal (2012), Croissant y Völkel (2012), Zucco (2013), Ruiz y Otero (2013), Torcal (2015), y a pesar de que los estudiosos tienden a señalar diversas variables de la institucionalización del sistema partidario, las nociones de la institucionalización del sistema de partidos antes desarrolladas “contienen la idea de estabilidad y persistencia en la normativa y la naturaleza de la competencia alcanzada” (Mair y Van Biezen, 2001; Lindberg, 2007; Casal, 2012, p. 3), tomando como punto de partida las cuatro dimensiones y características ya establecidas por Mainwaring y Scully (1995). Es por ello, y a partir de lo expuesto por Randall y Svasand (2002, p. 7), Mainwaring et al. (2005), Jones (2007), Bardi y Mair (2008, pp. 147-151) , Rose y Mishler (2010), Albright (2010), Hicken y Kuhonta (2011), Casal (2012) y Croissant y Völkel (2012), que en esta sección se enfatiza el análisis multidimensional de la institucionalización del sistema de partidos (Torcal, 2015). Desde esta óptica, Bardi y Mair (2008, p. 147) indican que al estudiar un sistema de partidos y su estabilidad con mayor precisión es necesario observar las diferentes dimensiones de investigación. Por ello, se expone el mapa metodológico con base en las variables explicadas y desarrolladas por Mainwaring et al. (1995, 2005) añadiendo otros elementos que observan los autores aquí analizados. Estos elementos se clasifican de forma multidimensional, asimismo por variables pertenecientes a las dimensiones desarrolladas. La selección de cada dimensión y variables corresponden a la sistematización de los diversos enfoques sobre la institucionalización del sistema de partidos (ISP): dimensión 1, enraizamiento; dimensión 2, legitimidad; dimensión 3, estabilidad; dimensión 4, organización interna partidista (independencia).
Las dimensiones son analizadas a partir de las variables independientes siguientes (Sartori, 1976; Laakso y Taagepera, 1979; Pedersen 1979;6 Artiga, 1998; Ocaña y Oñate, 1999, Mainwaring y Zoco, 2007; Ruiz y Otero, 2014): D1: volatilidad electoral (VE); edad partidista; identidad partidista. D2: conflictos electorales; confianza en las instituciones político-partidistas y la legitimación del régimen democrático y de competencia electoral. D3: régimen electoral: a) financiamiento a los partidos políticos; b) reformas electorales. D4: organización interna, disciplina partidista, centralización política y democracia interna. Como lo mencionan los autores, las dimensiones se interrelacionan y, en consecuencia, cada elemento es condicionado por tal interrelación (Mainwaring y Scully, 1995; Torcal, 2015) (véase el Cuadro 1).
Para facilitar un análisis más acabado sobre la construcción de los diversos índices que determinan el grado de institucionalización del sistema de partidos, se revisan cuatro índices aplicados a la realidad latinoamericana. La diferencia entre los índices de institucionalización del sistema de partidos en América Latina se puede apreciar en el Cuadro 2, en el que se observan los efectos de cada una de las dimensiones sobre el ISP utilizados en diferentes trabajos desde 1995 hasta 2013. Como se puede apreciar, los factores mostrados por el Alfa de Cronbach7 manifiestan que de los cuatro índices aplicados a la realidad latinoamericana, los índices de Mainwaring y Scully (1995) y Ruiz y Otero (2013) poseen mayor consistencia analítica entre las dimensiones que lo conforman y, con ello, mayor coherencia entre sus dimensiones y variables. No obstante, el índice de Payne (2005) muestra resultados similares aunque inferiores; manifiesta una consistencia alta en sus factores (variables) componentes. Por debajo se ubica el índice de Mainwaring y Torcal (2005), pese a lo cual manifiesta una alta fiabilidad y consistencia analítica.
| Mainwaring y Scully (1995) | Mainwaring y Torcal (2005) | Payne (2006) | Ruiz y Otero (2013) | |
| Estabilidad | 0.804 | 0.895 | 0.879 | 0.877 |
| Arraigo | 0.773 | 0.861 | 0.821 | 0.903 |
| Legitimidad | 0.908 | - | 0.866 | 0.858 |
| Organización partidista | 0.891 | - | - | - |
| Alfa de Cronbach | 0.884 | 0.821 | 0.868 | 0.885 |
| Dimensiones | 4 | 2 | 3 | 3 |
Con relación a lo anterior, y con la intención de observar la capacidad explicativa de los distintos índices de institucionalización del sistema de partidos, se crea un índice de institucionalización del sistema de partidos con base en la estructura metodológica asignada por Mainwaring y Scully (1995) y toma los valores utilizados por Mainwaring y Scully (1995), Mainwaring y Torcal (2005), Payne (2006) y Ruiz y Otero (2013). Como resultado se obtiene el ISP agregado; lo anterior somete a discusión la capacidad explicativa de los índices de forma comparada.
| ISP agregado | Mainwaring y Scully (1995) ISP | Mainwaring y Torcal (2005) ISP | Payne (2006) ISP | Ruiz y Otero (2013) ISP | |
| ISP agregado | 1 | .869** | .834** | .932** | .892** |
| .000 | .001 | .000 | .000 | ||
| Mainwaring y Scully (1995) | .869** | 1 | .589 | .762** | .573* |
| .000 | .057 | .002 | .041 | ||
| Mainwaring y Torcal (2005) | .834** | .589 | 1 | .615* | .692* |
| .001 | .057 | .044 | .018 | ||
| Payne (2006) | .932** | .762** | .615* | 1 | .897** |
| .000 | .002 | .044 | .000 | ||
| Ruiz y Otero (2013) | .892** | .573* | .692* | .897** | 1 |
| .000 | .041 | .018 | .000 | ||
| N | 18 | 13 | 11 | 18 | 18 |
Como se aprecia en el Cuadro 3, los índices manifiestan altos niveles de correlación estadística; no obstante, el de mayor capacidad explicativa en el índice de ISP agregado es el índice de Payne (2006); por debajo se encuentran los de Ruiz y Otero (2013), Mainwaring y Scully (1995); en tercer lugar y finalmente, el índice de ISP de Mainwaring y Torcal (2005). La asociación entre los cuatro índices manifiesta la misma relación. Destaca el índice de Payne (2006), el cual manifiesta mayores efectos estadísticos con los demás indicadores analizados. En este sentido, la información obtenida por las pruebas de fiabilidad y consistencia y las correlaciones estadísticas muestran que el índice de institucionalización que tiene mayor capacidad explicativa es el de Payne (2006). A pesar de lo anterior, tanto el índice de ISP de Ruiz y Otero (2013), Mainwaring y Scully (1995) como el de Mainwaring y Torcal (2005) tienen una alta capacidad explicativa. La razón teórica y metodológica de dichos resultados obedece a las diversas conformaciones de los índices e indicadores utilizados por los autores. Por un lado, las dimensiones utilizadas en los diversos índices son las creadas por Mainwaring y Scully (1995); en consecuencia, las variables asumen un valor preponderante en cada medida, no así los indicadores que se conforman según las fuentes de datos y las herramientas de obtención de información. Por otro lado, el auxilio que brindan las relaciones instrumentales y contextuales con los procesos de institucionalización de los sistemas promueve un ejercicio descriptivo diacrónico y comparable.

Como resultado de lo anterior, se realiza la clasificación de los sistemas de partidos latinoamericanos según el índice de ISP agregado antes expuesto. Los sistemas de partidos en América Latina poseen dinámicas distintivas y acordes con su realidad política (Mainwaring et al., 1995, 2005; Kitschelt, Hawkins, Luna, Rosas y Zechmeister, 2010). De acuerdo con esta clasificación, se aprecian al menos cuatro tipos de sistemas de partidos determinados bajo el esquema de Mainwaring y Scully (1995) y Kuenzi y Lambright (2001, p. 443) según su nivel de institucionalización. El esquema de clasificación se da en función de las cuatro características planteadas por Mainwaring y Scully (1995) en una escala de 1 a 3 (de menor a mayor grado de institucionalización del sistema de partidos): 3.0=alta; 2.5=media-alta; 2.0=media; 1.5=media-baja; 1.0=baja. Kuenzi y Lambright (2001, p. 443), al igual que Mainwaring y Scully (1995), asignan los puntajes anteriores en cada dimensión dividiéndolos por la suma total de variables e indicadores. A partir de las ponderaciones realizadas por los diversos autores aquí reseñados (Mainwaring y Scully, 1995; Mainwaring y Torcal, 2005; Payne, 2006; Ruiz y Otero, 2013), el gráfico 1 muestra los diversos niveles de institucionalización de los sistemas de partidos en nivel agregado. En el grupo de alta institucionalización se encuentran Uruguay, Chile, Honduras, Costa Rica y El Salvador. El segundo grupo es compuesto por Nicaragua, México, Paraguay, Panamá y Venezuela. El tercer grupo lo conforman Argentina, Colombia y Brasil. Por debajo se encuentra el último grupo, en el cual se ubican Ecuador, Guatemala, Bolivia y Perú, sistema con los menores niveles de institucionalización, en coincidencia con las diferentes tipologías manifestadas por Mainwaring y Scully (1995), Mainwaring y Torcal (2005), (Payne, 2006) Ruiz y Otero, 2013), Torcal (2015) y el mismo Kitschelt el al. (2010).

A la par de lo anterior, como lo indica Markowski (2000, p. 14) y Alcántara (2004), simultáneamente a un ejercicio de identificación de la institucionalización del sistema partidario es necesaria la observación de los contextos político-electorales de las unidades que se analicen dado que el grado de institucionalización presenta elementos distintivos en los cuales la caracterización de los sistemas se operacionaliza quedándose simplemente como particularidades que facilitan la diferenciación de los sistemas democráticos.
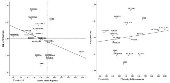
Por ello, y en relación con las dimensiones anteriores, se añade otra dimensión de carácter contextual: la fragmentación y polarización ideológica (Sartori, 1976; Mainwaring y Scully, 1995; Payne, 2006; Hicken y Kuhonta, 2011; Zucco, 2013). Lo anterior se analiza con base en el número efectivo de partidos (NEP)8 y la polarización ideológica ponderada (Oñate y Ocaña, 1999). Esta relación propuesta por Payne (2006) y antes mencionada por Mainwaring y Scully (1995) revela que la institucionalización está condicionada a la fragmentación del sistema de partidos; no es así con la polarización ideológica, ya que la polarización manifiesta efectos indirectos en la institucionalización del sistema de partidos en consecuencia de la fragmentación del sistema de partidos, que aunque no se refiere a la misma condición de la competencia electoral, los efectos se observan como condicionantes de los partidos que compiten en un sistema determinado (Sartori, 1976).
Conclusiones
El documento analizó el concepto de institucionalización, posteriormente profundizó en el concepto de institucionalización del sistema de partidos insistiendo en la diferenciación con la institucionalización de los partidos políticos. El objetivo fue precisar el mapa conceptual existente y los usos metodológicos para el estudio de la institucionalización del sistema de partidos, las diferentes aproximaciones encontradas en la literatura, las dimensiones y variables utilizadas. El recorrido teórico desarrollado arroja al menos cuatro dimensiones para su estudio, en las que coinciden la mayoría de los autores de la literatura analizada: estabilidad, arraigo, legitimidad y organización interna de los partidos. Las estrategias utilizadas por los diversos enfoques permiten evidenciar la influencia de las condiciones establecidas por Mainwaring y Scully (1995). Sin embargo, la necesidad teórica de estas condiciones no está justificada por la evidencia empírica.
Lo anterior tiene que ver con la falta de congruencia en la literatura especializada con las variables que determinan la institucionalización. La razón de dicha falta de consenso es provocada por las relaciones causales tanto al interior del sistema como por su dependencia con los procesos democráticos. En cierto sentido, esta relación está ligada explícitamente a las dinámicas específicas de competencia de los sistemas de partidos, en donde, por un lado, se encuentran las condiciones en las cuales los partidos interactúan y que son exhibidas por los diversos formatos de competencia partidista definidos por una cuestión cuantitativa (criterio numérico), fragmentación del sistema, y por una cuestión cualitativa (la naturaleza de la competencia), la polarización ideológica. Estas dos cuestiones manifiestan elementos de contraste que, a su vez, apoyan la noción de estabilidad y competencia democrática. Por ello, el análisis de la institucionalización del sistema de partidos requiere de alternativas metodológicas que muestren las relaciones causales entre la estructura de la competencia y los procesos de consolidación democrática. Lo anterior supondría dos futuros hilos de análisis que unifiquen los criterios ligados a las influencias de otros elementos en el proceso de institucionalización del sistema de partidos.
El primero de ellos es el relacionado con el financiamiento de los partidos políticos y con los procesos de institucionalización de los partidos como organizaciones en continua transformación, lo cual tiene que ver con análisis de la selección de candidatos, la disciplina partidista y la democracia interna. La discusión sobre la vida interna de los partidos políticos y su influencia en el proceso de institucionalización del sistema cobra relevancia en la medida que estas organizaciones manifiesten estructuras y condiciones democráticas en su interior, revelando una condición necesaria para la democratización de las instituciones representativas, específicamente las latinoamericanas
El segundo versa sobre los limites explicativos y los efectos de la institucionalización del sistema partidista en la gobernabilidad democrática expresados por Payne (2006) y Torcal (2015). A pesar de la importancia de la institucionalización del sistema de partidos en los procesos de consolidación democrática, queda de manifiesto la necesidad de crear mecanismos analíticos que permitan desarrollar teorías complementarias sobre el congelamiento de los sistemas de partidos institucionalizados una vez llegada la estabilidad democrática. De lo anterior, uno de los temas resultantes es la creciente inclusión de nuevos partidos en la arena electoral fuera de los partidos tradicionales, como lo manifiestan diversos sistemas de partidos latinoamericanos después de 1990, o la creciente fragmentación de los sistemas de partidos europeos en la última década.
Bibliografía
Albright, J. (2010). The Multidimensional Nature of Party Competition. Party Politics, 16(6): 699-719. DOI: https://doi.org/10.1177/1354068809345856.
Alcántara Sáez, M. (2004). ¿Instituciones o máquinas ideológicas?: Origen, programa y organización de los partidos políticos latinoamericanos. Barcelona, España: Instituto de Ciències Politiques i Socials.
Altman, D.; Luna, J. P.; Piñeiro, R., y Toro, S. (2009). Partidos y sistemas de partidos en América Latina: Aproximaciones desde la encuesta a expertos 2009. Revista de Ciencia Política, 29(3): 775-798. DOI: http://dx.doi.org/10.4067/S0718-090X2009000300005.
Artiga González, A. (1998). Fluidez y volatilidad en la institucionalización del sistema de partidos: Notas metodológicas para su medición. América Latina Hoy (19): 125-129.
Bardi, L., y Mair, P. (2008). The Parameters of Party Systems. Party Politics, 14(2): 147-166. DOI: https://doi.org/10.1177/1354068807085887.
Bakke, E., y Sitter, N. (2005). Patterns of Stability Party Competition and Strategy in Central Europe since 1989. Party Politics, 11(2): 243-263. DOI: https://doi.org/10.1177/1354068805049779.
Basedau, M., y Stroh, A. (2008). Measuring Party Institutionalization in Developing Countries: A New Research Instrument Applied to 28 African Political Parties. GIGA. German Institute of Global and Area Studies / Leibniz-Institut für Globale und Regionale Studien (Working Paper, 69). Recuperado de https://www.giga-hamburg.de/en/publication/measuring-party-institutionalization-in-developing-countries-a-new-research-instrument.
Booth, E., y Robbins, J. (2010). Assessing the Impact of Campaign Finance on Party System Institutionalization. Party Politics, 16(5): 629-650. DOI: https://doi.org/10.1177/1354068809342994.
Casal Bértoa, F. (2012). Party Systems and Cleavage Structures Revisited: A Sociological Explanation of Party System Institutionalization in East Central Europe. Party Politics, 20(1): 16-36. DOI: https://doi.org/10.1177/1354068811436042.
Castoriadis, C. (1996). La democracia como régimen y como procedimiento. Iniciativa Socialista (38).
Coppedge, M. (1997). A Classification of Latin American Political Parties. Working Paper 244. Illinois, Estados Unidos: Hesburgh Centre Notre Dame, The Helen Kellogg Institute for International Studies. Recuperado de https://kellogg.nd.edu/documents/1539.
Coppedge, M. (1998). The Dynamic Diversity of Latin American Party Systems. Party Politics, 4(4): 547-568. DOI: https://doi.org/10.1177/1354068898004004007.
Croissant, A., y Völkel, P. (2012). Party System Types and Party System Institutionalization: Comparing new Democracies in East and Southeast Asia. Party Politics, 18(2): 235-265. DOI: https://doi.org/10.1177/1354068810380096.
Dalton, R. J., y Weldon, S. (2007). Partisanship and Party System Institutionalization. Party Politics, 13(2): 179-196. DOI: https://doi.org/10.1177/1354068807073856.
De la Rosa Alburquerque, A., y Contreras Manrique, J. C. (2007). El partido político: Entre la ciencia política y los estudios organizacionales. Polis: Investigación y Análisis Sociopolítico, 3(2): 17-67. Recuperado de http://polismexico.izt.uam.mx/index.php/rp/article/view/294.
Diamond, L., y Gunther, R. (eds.) (2001). Political Parties and Democracy. Baltimore, Maryland, Estados Unidos: The Johns Hopkins University Press.
Duverger, M. (2000). Los partidos políticos. Distrito Federal, México: Fondo de Cultura Económica.
Golosov, G. V. (2011). Party System Classification: A Methodological Inquiry. Party Politics, 17(5): 539-560. DOI: https://doi.org/10.1177/1354068810377189.
Gunther, R. , y Hopkin, J. (2002). A Crisis of Institucionalization: The Colapse of the UCD in Spain. En J. J Linz, R. Gunther y J. R. Montero (eds.). Political Parties: Old Concepts and New Challenges (pp. 191-232). Nueva York, Estados Unidos: Oxford University Press.
Hall, R. H. (1996) Organizaciones: Estructuras, procesos y resultados. Distrito Federal, México: Prentice-Hall Hispanoamericana.
Hicken, A., y Martínez Kuhonta, E. (2011). Shadows from the Past: Party System Institutionalization in Asia. Comparative Political Studies, 44(5): 572-597. DOI: https://doi.org/10.1177/0010414010396460.
Hopkin, J. (2004). The Problem with Party Finance: Theoretical Perspectives on the Funding of Party Politics. Party Politics, 10(6): 627-651. Recuperado de http://eprints.lse.ac.uk/646/.
Huntington, S. (1968). Political Order in Changing Societies. New Haven, Connecticut, Estados Unidos: Yale University Press.
Jones, M. P. (2007). Political Parties and Party Systems in Latin America. Paper presented at the conference Symposium, Prospects for Democracy in Latin America. University of North Texas, Denton, Texas.
Kitschelt, H.; Hawkins, K .H; Luna, J. P; Rosas, G., y Zechmeister, E. J. (2010). Latin American Party Systems. Nueva York, Estados Unidos: Cambridge University Press.
Katz, R. S., y Mair, P. (1995). Changing Models of Party Organization and Party Democracy: The Emergence of the Cartel Party. Party Politics, 1(1): 5-31. DOI: https://doi.org/10.1177/1354068895001001001.
Katz, R. S. , y Crotty, W. (eds.) (2006). Handbook of Party Politics. Londres, Gran Bretaña: Sage Publications.
Kuenzi, M., y Lambright, G. (2001). Party System Institutionalization in 30 African Countries. Party Politics, 7(4): 437-468. DOI: https://doi.org/10.1177/1354068801007004003.
Laakso, M., y Taagepera, R. (1979). Effective Number of Parties: A Measure with Application to West Europe. Comparative Political Studies, 12(1): 3-28.
Levitsky, S. (1998). Institutionalization and Peronism: The Case, The Concept, and The Case of Unpacking the Concept. Party Politics, 4(1): 77-92. Recuperado de https://scholar.harvard.edu/levitsky/publications/institutionalization-and-peronism-case-concept-and-case-unpacking-concept.
Lindberg, S. I. (2007). Institutionalization of Party Systems? Stability and Fluidity among Legislative Parties in Africa’s Democracies. Government and Opposition, 42(2): 215-241. DOI: 10.1111/j.1477-7053.2007.00219.x
Linz, J. J.; Gunther, R. , y Montero J. R. (2002) Political Parties: Old Concepts and New Challenges. Nueva York, Estados Unidos: Oxford University Press.
Listhaug, O., y Wiberg, M. (1995). Confidence in Political Institutions. En H. D. Klingemann y D. Fuchs (eds.) Citizens and the State. Oxford, Inglaterra: Oxford University Press.
Mainwaring, S., y Scully, T. (1995). La institucionalización de los sistemas de partidos en América Latina. Revista de Ciencia Política, 17(1-2): 63-101. Recuperado de http://www.revistacienciapolitica.cl/2013/articulos/la-institucionalizacion-de-los-sistemas-de-partidos-en-america-latina/.
Mainwaring, S. , y Scully, T. (1996). La construcción de las instituciones democráticas. Sistemas de partidos en América Latina. Santiago, Chile: Corporación de Estudios para Latinoamérica.
Mainwaring, S. , y Torcal, M. (2005). La institucionalización de los sistemas de partidos y la teoría del sistema partidista después de la tercera ola democratizadora. América Latina Hoy, 41(10): 141-173. Recuperado de http://revistas.usal.es/index.php/1130-2887/article/view/2442.
Mainwaring, S. (2006). Reexaminando la teoría de los partidos políticos en la tercera ola de la democratización. En V. Alarcón Olguín (coord.). Metodologías para el análisis político: Enfoques, procesos e instituciones (pp. 309-364). Distrito Federal, México: Universidad Autónoma Metropolitana-Iztapalapa, Plaza y Valdés.
Mainwaring, S. , y Zoco, E. (2007). Secuencias políticas y estabilización de la competencia partidista: Volatilidad electoral en viejas y nuevas democracias”. América Latina Hoy (46): 147-171. Recuperado de http://revistas.usal.es/index.php/1130-2887/article/view/2459.
Mair, P. , y Van Biezen, I. (2001). Party Membership in Twenty European Democracies, 1980-2000”. Party Politics, 7(1): 5-21. DOI: https://doi.org/10.1177/1354068801007001001.
Mair, P. (2007). Party Systems and Alternation in Government, 1950-2000: Innovation and Institutionalization. En S. Gloppen y L. Rakner (eds.) (2007) Globalization and Democratization: Challenges for Political Parties. Bergen, Noruega: Fagbokforlaget.
Manning, C. (2005). Assessing African Party Systems After The Third Wave. Party Politics, 11(6): 707-727. DOI: https://doi.org/10.1177/1354068805057606.
March, J. G., y Olsen, J. P. (1997). El redescubrimiento de las instituciones: La base organizativa de la política. Distrito Federal, México: Fondo de Cultura Económica.
Markowski, R. (2000). Party System Institutionalization in New Democracies: Poland -a Trend- Setter with No Followers. Paper to be discussed at the conference Re-thinking Democracy in the New Millennium organized by the University of Houston, February 16-19. Houston, Texas. Recuperado de http://www.uh.edu/democracy/Markowski.pdf.
Martínez Hernández, A. A. (2012). La institucionalización del sistema de partidos a escala subnacional: Los casos de Aguascalientes y San Luis Potosí (1998-2010). Un estudio comparado (tesis de Maestría). El Colegio de San Luis, A. C., San Luis Potosí, México.
Montero, J. R., y Gunther, R. (2003). Los estudios sobre los partidos políticos: Una revisión crítica. Madrid, España: Departamento de Ciencia Política y Relaciones Internacionales, Facultad de Derecho, Universidad Autónoma de Madrid. Recuperado de http://www.uam.es/centros/derecho/cpolitica/wpapers.html.
Montero, J. R. , y Gunther, R. (2007). Introducción: Los estudios sobre los partidos políticos. En J. R. Montero, R. Gunther y J. J. Linz (eds.) (2007). Partidos políticos. Viejos conceptos y nuevos retos (pp. 15-46). Madrid, España: Editorial Trotta.
Nohlen, D. (1998). Sistemas electorales y partidos políticos. Distrito Federal, México: Fondo de Cultura Económica.
North, D. C. (1993). Instituciones, cambio institucional y desempeño económico. Distrito Federal, México: Fondo de Cultura Económica.
Ocaña, F. A., y Oñate, P. (1999). Índices e indicadores del sistema electoral y del sistema de partidos. Una propuesta informática para su cálculo. Reis. Revista Española de Investigaciones Sociológicas, 86(abril-junio): 223-245. DOI: 10.2307/40184151.
Panebianco, A. (1997). Modelos de partidos. Madrid, España: Alianza Editorial.
Payne, M. (2006). Sistema de partidos y gobernabilidad democrática. En J. M. Payne, G. Zovatto y D. M. Mateo (coords.) (2006). La política importa: Democracia y desarrollo en América Latina (pp. 165-196). Washington, D. C., Estados Unidos: Banco Interamericano de Desarrollo, Instituto Internacional para la Democracia y Asistencia Electoral.
Pedersen, M. N. (1979). The Dynamics of European Party Systems: Changing Patterns of Electoral Volatility. European Journal of Political Research, 7(1): 1-26. DOI: 10.1111/j.1475-6765.1979.tb01267.x.
Randall, V., y Svasand, L. (2002). Party Institutionalization in New Democracies. Party Politics, 8(1): 5-29. DOI: https://doi.org/10.1177/1354068802008001001.
Rose, R., y Mishler, W. (2010). A Supply-Demand Model of Party-System Institutionalization: The Russian Case. Party Politics, 16(6): 801-821. DOI: https://doi.org/10.1177/1354068809346074.
Ruiz Rodríguez, L. M., y Otero Felipe, P. (2014). Indicadores de partidos y sistemas de partidos. Madrid, España: Centro de Investigaciones Sociológicas (Cuadernos Metodológicos, 51).
Sartori, G. (1976). Partidos y sistema de partidos: Marco para un análisis. Madrid, España: Alianza Editorial.
Torcal, M. (ed.) (2015). Sistemas de partidos en América Latina. Causas y consecuencias de su equilibrio inestable. Barcelona, España: Anthropos Editorial.
Torcal, M. , y Medina, L. (2008). La institucionalización del sistema de partidos español. El peso de los anclajes de clase, religión e ideología en la competencia PSOE/PP: 1988-2004. Trabajo presentado en el Congreso de la AECPA, 21-23 de septiembre, Madrid, España. Recuperado de http://www.aecpa.es/uploads/files/congresos/congreso_07/area04/GT12/Lmedina_.pdf.
Wolinetz, S. B. (2006). Party Systems and Party System Types. En R. Katz, y W. Crotty (eds.) Handbook of Party Politics (pp. 51-62). Londres, Reino Unido: Sage.
Zucco, C. (2013). Estabilidad sin raíces: La institucionalización del sistema de partidos brasileño. En M. Torcal (ed.). Los problemas de la institucionalización de los sistemas de partidos en America Latina. Barcelona, España: Anthropos.
Notas