Full original papers
SAPOGENINS FROM THE HUSK OF CHENOPODIUM QUINOA, THE OBTAINING OF THEIR DERIVATIVES, AND THE EVALUATION OF THEIR CYTOTOXIC ACTIVITY
SAPOGENINAS DE CÁSCARAS DE CHENOPODIUM QUINOA, OBTENCIÓN DE SUS DERIVADOS, Y EVALUACIÓN DE SU ACTIVIDAD CITOTÓXICA
SAPOGENINS FROM THE HUSK OF CHENOPODIUM QUINOA, THE OBTAINING OF THEIR DERIVATIVES, AND THE EVALUATION OF THEIR CYTOTOXIC ACTIVITY
Revista Boliviana de Química, vol. 35, no. 3, pp. 98-107, 2018
Universidad Mayor de San Andrés
Received: 15 August 2018
Accepted: 26 August 2018
Published: 30 August 2018
Abstract: In this paper, we present the evaluation of two types of methods for obtaining sapogenins by acid hydrolysis of a hydroalcoholic extract rich in saponins from quinoa husks. In the first method, called microwave method, the acid solution of saponins was pre-stirred for one minute in a microwave and then was heated and stirred at 100° C for 15 min. In the second one, called conventional method, the same acid solution was heated and stirred at 80 ºC for 4 h. The results show that the conventional method is better to obtain more quantity of sapogenins. Then four sapogenins were isolated: oleanolic acid (1), methyl oleanate (2), hederagenin (3), and phytolaccagenic acid (4). The cytotoxicity of the compounds was evaluated in human JIMT-1 breast cancer cells and human MCF-10A normal-like breast epithelial cells. The most active compound is hederagenin, which is more toxic in JIMT-1 cells (IC50 27.3 mM) than in MCF-10A cells (IC50 39.6 mM). Methyl oleanate is somewhat less toxic than hederagenin while oleanolic acid and phytolaccagenic acid needed treatment concentrations up to 100 mM to become cytotoxic. Finally, we obtained four new derivatives of oleanolic acid, the major sapogenin isolated, by oxidation of the OH group in C-3 to carbonyl (5) and subsequent reaction of aldol condensation, adding to carbon C-2 the follow aldehydes: benzaldehyde 6a, p-methylbenzaldehyde 6b, m-methylbenzaldehyde 6c, and o-methylbenzaldehyde 6d, these synthesis were carried out in order to incorporate a Michael-acceptor into a molecular structure to enhance the biological activity, we obtained yields of around 50% for 6a and 6b, and of around 10% for 6c and 6d.
Keywords: Quinoa, Sapogenins, Acid hydrolysis, Oleanolic acid derivatives, Cytotoxic evaluation, JIMT-1, MCF-10A cells.
Resumen: En este trabajo, presentamos la evaluación de dos tipos de métodos para la obtención sapogeninas por hidrólisis ácida de un extracto hidroalcohólico rico en saponinas de cáscaras de quinua. En el primer método, denominado método de microondas, la solución ácida de saponinas se agitó previamente durante un minuto en un microondas y luego se calentó y agitó a 100 °C durante 15 minutos. En el segundo, llamado método convencional, la misma solución ácida se calentó y agitó a 80ºC durante 4 h, nuestros resultados mostraron que el método convencional es mejor para obtener más cantidad de sapogeninas. Luego aislamos cuatro sapogeninas ácido oleanólico (1), metiloleanato (2), hederagenina (3) y ácido fitolaccagénico (4) evaluando su actividad citotóxica en células humanas de cáncer de mama JIMT-1 y células epiteliales de mama MCF-10A similares a células humanas normales, observando que todos ellos tienen citotoxicidad en ambas líneas celulares, pero el compuesto más activo es la hederagenina, que es más tóxica en las células JIMT-1 (IC50 27.3 mM) que en las células MCF-10A (IC50 39.6 mM). Finalmente, obtuvimos cuatro nuevos derivados de ácido oleanólico, la principal sapogenina aislada, por oxidación del grupo OH en C-3 a carbonilo (5) y reacción subsiguiente de condensación aldólica, añadiendo al carbono C-2 los siguientes aldehídos: benzaldehído 6a, p-metilbenzaldehído 6b, m-metilbenzaldehído 6c, y o-metilbenzaldehído 6d, estas síntesis se llevaron a cabo para incorporar un aceptor de Michael en la estructura molecular para potenciar la actividad biológica, obtuvimos rendimientos de alrededor del 50% para 6a y 6b y de alrededor del 10% para 6c y 6d.
INTRODUCTION
Quinoa (Chenopodium quinoa Willd) is the main export crop of the western zone of Bolivia, in particular from the Bolivian Southern Altiplano. It is a pseudo cereal determined as a strategic crop in the region, due to its high nutritive value. In addition, it can grow in under harsh environmental conditions, such as dry and saline soils, strong winds and frosts. Quinoa is a crop that has shown important growth in terms of production (92,312 t for the agricultural period 2017) [1]. In its natural state quinoa seeds have a bitter cover containing saponins, which cause an unpleasant taste and these the bitter components must be removed before cooking and export. Before export, the Bolivian food industries remove the seed coat by a mechanic process of scarification, where the dry grains are mixed causing friction to remove the cover which results in a residue called “mojuelo”. The quinoa husks, which are residues of scarification contain a high level of triterpenic oleanan-type saponins. In previous studies of quinoa husks, mainly bidesmosidic triterpenic saponins with a glucose linked in the position C-28 and one, two or three sugars linked in the carbon C-3, and four different aglycones (e.g., oleanolic acid, hederagenin, phytolaccagenic acid and serjanic acid) were investigated [2, 3].
One of the main sapogenins in quinoa husks is oleanolic acid (OA), and it is present in more than 1620 plant species [4]. In particular, it is one of the secondary metabolites found at a high concentration in high altitude plants [5], and it seems to play an important role in protecting the plant in the adverse environmental conditions found in the Altiplano region [6]. OA is one of the most popularly natural products studied, and from a pharmacological point of view, it has been suggested that this triterpene has activities such as anti-diabetic [7], anti-HIV [8], chemopreventive, hepatoprotective, tumor suppressant, anti-inflammatory, contraceptive, antioxidant, antineoplastic, and anti-cancer in different cell lines [9]. In addition, several chemical modifications were carried out using OA as a lead compound in order to improve the pharmacological activity as e.g. gastro protector [10], anti-liver cancer [11], and anti-HIV [12]. However, among the OA derivatives, there are no compounds with an α,β-unsaturated ketone, an important group that has the ability to react via Michael-type nucleophilic additions with soft electrophiles, giving an enhancement in the bioactivity of the molecules, particularly the cytotoxicity against cancer cell lines [13,14].
In this study, first we evaluate two types of methods for an acid hydrolysis reaction to obtain sapogenins from quinoa husks. Then, we isolated four sapogenins: oleanolic acid (1), methyl oleanate (2), hederagenin (3), and phytolaccagenic acid (4) evaluating their cytotoxic activity in human JIMT-1 breast cancer cells and human MCF-10A normal-like breast epithelial cells. Finally, we synthesized four new derivatives of OA, by oxidation of the OH group in C-3 to carbonyl and a subsequent reaction of aldol condensation, adding to carbon C-2 the aldehydes benzaldehyde 6a, p-methylbenzaldehyde 6b, m- methylbenzaldehyde 6c, or o-methylbenzaldehyde 6d.
RESULTS AND DISCUSSION
Acid hydrolysis reaction
In agreement with previous reports [2], the saponins from quinoa husks are mainly bidesmosidics. When these saponins are submitted to acid hydrolysis, the sugars are removed leaving the sapogenins (Figure 1). Then, to obtain sapogenins, industrial residue of quinoa husks (100 g) was extracted with EtOH/H2O (1:1) for 3 h under constant stirring (350 rpm) at room temperature giving a hydroalcoholic extract rich in saponins dried in vacuo at 55°C. The obtained extract was subjected to two types of acid hydrolysis methods giving sapogenin extracts. In the first method, called microwave method, an acid solution [1 g in 10 ml of 2 M HCl in ethanol (1:1)] was pre-stirred for one minute in a microwave and then was heated and stirred at 100°C for 15 min. In the second one, called conventional method, the same acidic solution was heated and stirred at 80ºC for 3 h. The sapogenin extracts obtained by both methods were chromatographed using VLC (Vacuum Liquid Chromatography) and Flash Chromatography over Silicagel giving the isolation of four sapogenins (Figure 1) in the proportions found in Table 1.

| Microwave method | Conventional method | |
| Compound | mg/g* | mg/g* |
| 1 | 98 | 317 |
| 2 | 21.2 | 66 |
| 3 | 21.6 | 279 |
| 4 | 116 | 104 |
Table 1 shows that the conventional method is more effective than the microwave method. But the conventional method was improved in several assays done in our lab and it is the first assay using the microwave method. So, the last one could be improved maybe using more time in the pre-stirring microwave process and/or more time in the stirring heated process. On the other hand, the quantification of obtained sapogenins should be done by HPLC methods, which are more exact and precise.
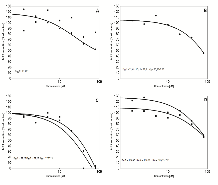
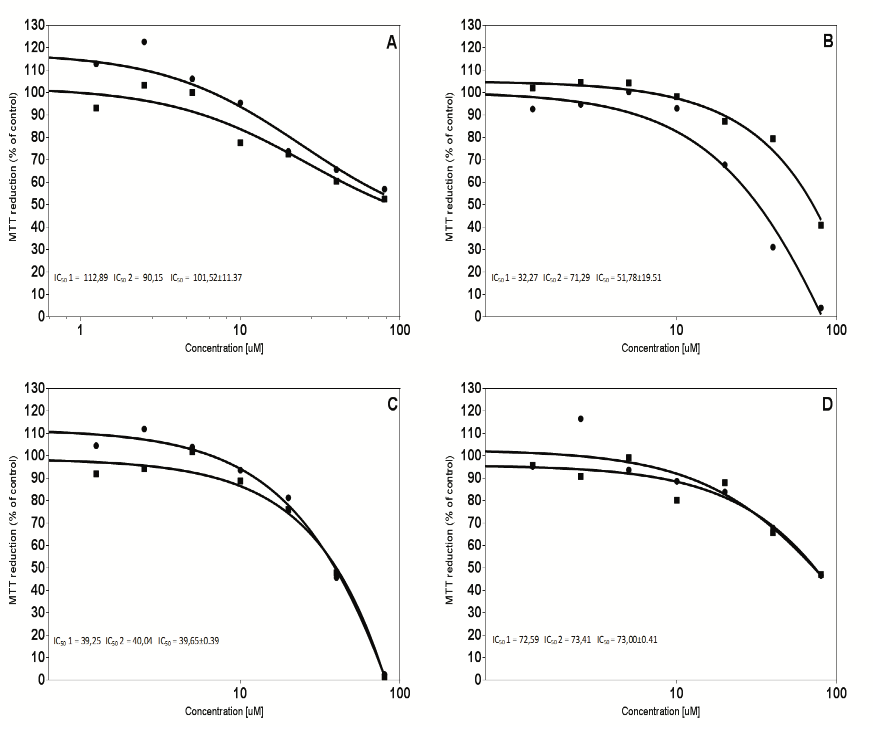
Cytotoxic evaluation
The cytotoxicity of the four isolated sapogenins was evaluated in one normal-like human breast epithelial cell line (MCF-10A) and in one breast cancer cell line (JIMT-1) using an MTT dose response assay, where the cells were incubated with each compound for 72 h. Table 2 shows the IC50 values obtained from dose response curves. Hederagenin is the most toxic compound and it is more toxic in JIMT-1 cells than in MCF-10A cells. Methyl oleanate also shows toxicity in both cell lines, however, for this compound the MCF-10A cells were more sensitive than the JIMT-1 cells. Oleanolic acid itself and phytolaccagenic acid where less toxic than hederaginin and methyl oleanate. Although not very toxic, hederaginin may be a compound for further synthetic modification to increase the bioactivity preferentially towards cancer cells.
| Compound | IC50 μMa | |
| MCF-10A | JIMT-1 | |
| 1 | 101.5 ± 11.4 | 90.9b |
| 2 | 51.8 ± 19.5 | 80.3 ± 7.6 |
| 3 | 39.6 ± 0.4 | 27.3 ± 5.0 |
| 4 | 73.0 ± 0.4 | 105.1 ± 2.7 |
bThis result represents just one determination
Some of the compounds where previously evaluated against other cancer cell lines, like OA (1), which showed cytotoxicity against the following lines: prostate cancer PC3 cells (IC50 6.5 μM), lung cancer A549 cells (IC50 0.4 μM), breast cancer MCF-7 cells (IC50 35.4 μM), and gastric cancer BGC823 cells (IC50 2.6 μM) [7]. Compared with our data, we found a lower degree of toxicity. However, considering the activity of hederagenin (3) against the JIMT-1 breast cancer cell line, is still interesting to continue studies with hederagenin and synthetic derivatives of it investigating the activity in different cancer cell lines.
Synthesis of derivatives
The major sapogenin isolated from quinoa husks was OA (1). As mentioned in the introduction, it is one of the most popular natural product studied, because of chemical and pharmacological reasons [7-12] but the synthesis of analogs with an α,β-unsaturated ketone moiety are not still carried out. This synthesis was done to incorporate a Michael acceptor into the molecular structure because this type of compounds forms a major component of the natural products having anti-cancer activity [14], enhancing the biological activity of natural products [13].

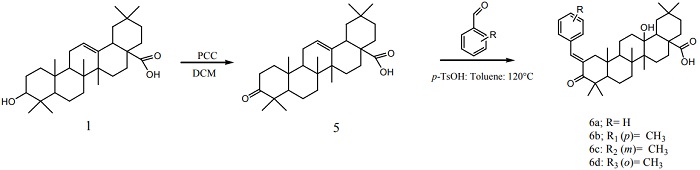
The synthesis of new derivatives is showed in the Figure 3 where we can see that the reactions goes through the compound 5 which was prepared by oxidation of the OH group in C-3 using pyridium chlorochromate (PCC) in dichloromethane (DCM), yield 70.1%. Compound 5 is the target compound for carrying out aldol reactions of Claisen Schmidt adding to carbon C-2 different benzaldehydes. The first reaction was done with benzaldehyde to find the reaction conditions; the method was developed based on the method described by Karimi-Jaberi & Pooladian [15]. Thus, compound 5 was dissolved in different solvents founding toluene as the most suitable, then we added benzaldehyde (1 equiv) followed of p-TsOH (1 equiv) and the reaction was stirred at 120°C for different times founding that the reaction needs more than 24 hours to be completed.


After the reaction was completed and the formation of aldol product was observed by TLC evaluations, the reaction was quenched and the product was purified by Column Chromatography, giving the compound 6a (yield 48,9 %) elucidated by NMR 1D and 2D. After founding the reaction conditions, we extended the substrate scope to different methylbenzaldehydes to give the compounds 6b (yield 41.8%), 6c (yield 9.3%), and 6d (yield 10.3%), all of them were purified by Column Chromatography and elucidated by NMR 1D and 2D. We still do not evaluate the compounds against cancer cell lines, but we recommend their realization not only against breast cancer cell lines, but also against of lung, gastric and prostate cancer cell lines, among others. It is also recommended to synthesize similar derivatives from hederagenin, because, as we can see, it showed most activity against breast cancer cell lines than oleanolic acid.
EXPERIMENTAL
General
All chemicals and solvents were purchased from Sigma Aldrich. 1H NMR and 13C NMR spectra were recorded in a Bruker 250 MHz spectrometer using deuterated DMSO. Column chromatography was performed using Silica gel 60 (35-63mm) and TLC analysis was made on Silica Gel 60 F254 (Merck, Darmstadt, Germany) plates.
Plant material
The quinoa husk industrial residue was collected from the Andean Organic Food Company “Irupana” located in La Paz city at 3800 m.a.s.l. on June of 2016, then it was deposited in the laboratory of Bioorganic of Universidad Mayor de San Andres at La Paz Bolivia.
Extraction and isolation
100 g of quinoa husk were extracted with an aqueous solution of EtOH (1:1) for 3 h under constant stirring at room temperature. The hydro-alcoholic extract was concentrated in vacuo, to remove ethanol, the aqueous residue was dried at 55°C.
Acid hydrolysis method 1 (Microwave)
A solution of extract 1g in 2M HCl in methanol (1:1) (10 ml) was heated at 100°C for 15 min with 1 min of pre-stirring in a microwave. The mixture was neutralized with an aqueous solution of NaOH 5% (10 ml), followed by 10 ml of brine. The aqueous mixture was extracted with ethyl acetate (2x10 ml). The combined organics phases were dried over Na2SO4 and concentrated in vacuo to yield 0.416g of crude extract. The crude product was purified by flash chromatography over silica gel, eluting with EtOAc/n-heptane from 20% to 80%. Obtaining four pure compounds 1 (98 mg), 2 (21.2) mg, 3 (21.6) mg and 4 (116 mg).
Acid hydrolysis method 2 (Conventional)
A solution of 1 g of hydro alcoholic extract with 10 ml of HCl 2N (1:1 EtOH/H2O) was stirred at 80°C for 3 h. The progress of reaction was monitored by TLC. After the reaction was completed, the precipitate obtained was filtered, washed with 5 ml of a solution of NaOH 2N and dried at room temperature for 72 h. The dried extract was diluted with 15 ml of DCM/MeOH (9:1), filtered and concentrated in vacuo. The crude product was purified by vacuum liquid chromatography (VLC) and Flash chromatography with a gradient of 10 to 100% of EtOAc/PeEt20-60 and 100 to 95% of EtOAc/MeOH obtaining the four sapogenins: 1 (317 mg), 2 (66 mg), 3 (279 mg) and 4 (104 mg)
Compound 1; oleanolic acid
1H NMR (300 MHz, DMSO) δ 12.05 (s, 1H, COOH), 5.16 (bs, 1H, H–12), 3.00 (t, J=5.39 Hz, 1H, H–3), 2.74 (dd, J=13.33, 3.63 Hz, 1H, H–18), 1.90 (t, J=11.51 Hz, 1H, H–16a), 1.81 (m, 4H, H–11, H–22), 1,65 (bs, 1H, 15a), 1,61 (bs, 1H, H–2a), 1.56 (bs, 1H, H–19a) 1.49 (m, 3H, H–15b, H–16b, H–9), 1.46 (m, 3H, H–1a, H–7), 1,41 (m, 1H, H–2b), 1,34, (m, 2H, H–6) 1,21 (m, 3H, H–5, H–21), 1,10 (s, 3H, H–27), 0,99 (m, 2H, H–19b, H–1b), 0.89 (s, 3H, H–23), 0.87 (s, 6H, H–24 , H–25) 0,85 (s, 3H, H–30), 0.71 (s, 3H, H–29), 0.67 (s, 3H, H–26) 13C NMR (75 MHz, DMSO) δ 179.0 (C–28), 144.3 (C–13), 122.0 (C–12), 77.3 (C–3), 55.2 (C–5), 47.5 (C–9), 46.1 (C–17), 45.9 (C–19), 41.8 (C–14), 41.3 (C–18), 39.3 (C–8), 38.8 (C–4), 38.5 (C–1), 37.1 (C–10), 33.8 (C–21), 33.3 (C–29), 32.9 (C–7), 32.6 (C–22), 30.9 (C–20), 28.7 (C–23), 27.7 (C–15), 27.4 (C–2), 26.1 (C–27), 23.8 (C–11), 23.4 (C–30), 23.1 (C–16), 18.5 (C–6), 17.3 (C–26), 16.5 (C–24), 15.6 (C–25).
Compound 2; methyl oleanate
1H NMR (300 MHz, DMSO) δ 5.17 (bs, 1H, H–12), 3.62 (s, 3H, H–31), 3.00 (t, J=5,48 1H, H–3), 2.55 (bs, 1H, H–18), 1.94 (t, J=11.44, 1H, H–16a), 1.83 (m, 4H, H–22, H–11a, H–11b), 1.66 (bs, 1H, 15a), 1.62 (bs, 1H, H–2a), 1.57 (bs 1H, H–19a), 1.48 (m, 6H, H–16b, H–9, H–1a, H–7, H–15b, H–2b), 1.38 (m, 2H, H–6), 1.23 (m, 3H, H–5, H–21), 1.09 (s, 6H, H–27, H–23), 1.00 (m, 2H, H–19b, H–1b), 0.89 (s, 6H, H–24, H–25), 0.85 (s, 3H, H–30), 0.68 (s, 6H, H–29, H–26). 13C NMR (75 MHz, DMSO) δ 176.8 (C–28), 144.1 (C–13), 122.4 (C–12), 77.3 (C–3), 55.2 (C–5), 52.1 (C–31), 47.5 (C–9), 43.7 (C–19), 42.5 (C–17), 42.1 (C–14), 41.7 (C–18), 39.3 (C–8), 38.8 (C–4), 38.5 (C–1), 37.1 (C–10), 33.7 (C–21), 32.9 (C–7), 30.1 (C–29), 28.7 (C–20), 28.3 (C–22), 27.7 (C–23), 27.4 (C–15), 26.0 (C–2), 23.3 (C–27), 23.2 (C–30), 21.2 (C–16), 18.5 (C–11), 17.3 (C–6), 16.5 (C–26), 15.6 (C–24), 14.5 (C–25).
Compound 3; hederagenin
1H NMR (300 MHz, DMSO) δ 12.05 (s, 1H, COOH), 5.16 (t, J=3,19, 1H, H–12), 3.43 (s, 2H, H–24), 3.16 (bs, 1H, H–3), 3.07 (dd, J=10.6, 2.65 Hz, 1H, H–18), 1.91 (t, J=11,6 1H, H–16a), 1.81 (d, J=5.9 Hz, 2H, H–11), 1.65 (m, 1H, H–15a), 1.61 (m, 2H, H–22), 1.56 (m, 1H, H–2a), 1.53 (d, J=6,93 1H, H–19a), 1.45 (m, 5H, H–16b, H–9 H–1a, H–7, H–15b), 1,38 (m, 2H, H–6), 1.14 (m, 3H, H–5, H–21), 1.10 (s, 3H, H–27), 0.99 (m, 2H, H–19b, H–1b), 0.87 (s, 9H, H–23, H–25, H–30), 0.71 (s, 3H, H–29), 0.53 (s, 3H, H–26). 13C NMR (75 MHz, DMSO) δ 179.1 (C–28), 144.3 (C–13), 122.0 (C–12), 70.7 (C–3), 64.8 (C–23), 49.1 (C–5), 47.5 (C–9), 46.8 (C–17), 46.1 (C–19), 45.9 (C–4), 42.3 (C–14), 41.8 (C–18), 41.3 (C–8), 39.3 (C–1), 38.4 (C–10), 36.8 (C–21), 33.8 (C–22), 33.3 (C–29), 32.4 (C–7), 30.9 (C–20), 27.7 (C–15), 27.0 (C–2), 26.1 (C–27), 23.8 (C–11), 23.4 (C–30), 23.1 (C–16), 18.0 (C–6), 17.4 (C–26), 16.0 (C–25), 13.1 (C–24).
Compound 4; phytolaccagenic acid
1H NMR (300 MHz, DMSO) δ 12.02 (m, 1H, COOH), 5.18 (t, J=3.30, 1H, H–12), 3.62 (s, 3H, H–31), 3.30 (s, 2H, H–24), 3.07 (dd, J=10.3, 4.6 Hz, 1H, H–3), 2.57 (m, 1H, H–18), 1.95 (t, J=11.3, 1H, H–16a,), 1.81 (d, J=14.0 Hz, 2H, H–11,), 1.67 (bs, 1H, H–15a), 1.62 (bs, 2H H–22), 1.57 (bs, 1H, H–2a), 1.54 (bs, 1H, H–19a), 1.48 (m, 5H, H–16b, H–9, H–1a, H–7, H–15b), 1.38 (m, 2H, H–6), 1.22 (m, 3H, H–5, H–21), 1.11 (s, 3H, H–27), 1.09 (s, 3H, H–23), 1.00 (m, 2H, H–19b, H–1b), 0.87 (s, 3H, H–25), 0.70 (s, 3H, H–29), 0.53 (s, 3H, H–26). 13C NMR (75 MHz, DMSO) δ 178.7 (C–28), 176.8 (C–30), 144.1 (C–13), 122.4 (C–12), 70.7 (C–3), 64.8 (C–23), 52.1 (C–31), 47.5 (C–5), 46.8 (C–9), 45.4 (C–17), 43.7 (C–20), 42.5 (C–18), 42.3 (C–4), 42.1 (C–14), 41.7 (C–19), 39.2 (C–8), 38.4 (C–1), 36.8 (C–10), 33.7 (C–22), 32.4 (C–7), 30.1 (C–21), 28.3 (C–15), 27.7 (C–29), 27.0 (C–2), 26.0 (C–27), 23.3 (C–11), 23.2 (C–16), 17.9 (C–6), 17.3 (C–26), 16.0 (C–25), 13.1 (C–24).
Synthesis of derivatives
Procedure to obtain compound 5, 3-oxoolean-12-en-28-oic acid
A solution of 1 (100 mg, 0.219 mmol) in DCM (5 ml) PCC (114 mg, 0.668 mmol) was added then the mixture of reaction was stirred at room temperature for 2 h. The progress of reaction was controlled by TLC. After the reaction was completed, the reaction was quenched by adding 10 ml of brine followed the extraction with DCM (4x15 ml). The organic phases were dried over MgSO4, concentrated in vacuo and purified by flash chromatography with a mixture of PeEt20-60/DCM/EtOAc (75:20:5) obtaining compound 5 (70.1 mg).
1H NMR (300 MHz, CDCl3). δ 5.31 (t, J=3.31, 1H, H–12), 2.85 (dd, J=13.6, 3.8 Hz, 1H, H–18), 2.56 (ddd, J=16.0, 11.1, 7.2 Hz, 1H, H–1a), 2.38 (dd, J=16.29, 6.88 Hz, 1H, H–18), 2.00 (t, J=3.75 Hz, 1H, H–16a), 1.94 (dd, J=6.3, 3.3 Hz, 2H, H–11), 1.88 (m, 1H, H–1a), 1.78 (t, J=5.5 Hz, 1H, H–22a), 1.72 (t, J=4.11 Hz, 1H, H–15a), 1.71–1.58 (m, 4H, H–9, H–19a, H–22b, H–16b), 1.49 (m, 3H, H–7a, H–6), 1.43 (dd, J=11.8, 3.9 Hz, 1H, H–1b), 1.39–1.30 (m, 3H, H–5, H–21a, H–7b), 1.25 (m, 1H, H–21b), 1.20 (d, J=4.5 Hz, 1H, H–19b), 1.16 (s, 4H, H–15b, H–27), 1.10 (s, 3H, H–23), 1.06 (s, 3H, H–25), 1.04 (s, 3H, H–24), 0.94 (s, 3H, H–30), 0.92 (s, 3H, H–29), 0.82 (s, 3H, H–26). 13C NMR (75 MHz, CDCl3) δ 217.7 (C–3), 184.1 (C–28), 143.6 (C–13), 122.4 (C–12), 55.3 (C–5), 47.4 (C–4), 46.9 (C–9), 46.6 (C–17), 45.8 (C–19), 41.7 (C–14), 41.0 (C–18), 39.3 (C–8), 39.1 (C–1), 36.8 (C–10), 34.1 (C–2), 33.8 (C–21), 33.0 (C–29), 32.4 (C–22), 32.2 (C–7), 30.7 (C–20), 27.7 (C–15), 26.4 (C–23), 25.8 (C–27), 23.5 (C–30), 23.5 (C–11), 22.9 (C–16), 21.4 (C–24), 19.5 (C–6), 17.0 (C–26), 15.0 (C–25).
Claisen Schmidt condensation products, from 5
Compounds 6a, 6b, 6c, and 6d
A solution of 5 (80 mg, 0.176 mmol) in toluene (3 ml) benzaldehyde (36 µl, 0.352 mmol) was added followed of p-TsOH (68 mg, 0.352 mmol), then the reaction was stirred at 120°C for 24 hours to obtain compound 6a, and 30 hours to obtain compounds 6b, 6c and 6d. The progress of reaction was controlled by TLC. After the reaction was completed it was quenched by addition of 10 ml of brine, the aqueous was extracted with DCM (4x15 ml). The organic phases were dried with MgSO4, concentrated in vacuo and purified by column chromatography with mixtures of PeEt20-60:DCM between 97 to 65% of PeEt20-60 obtaining compounds 6a (39,1mg), 6b (33,4 mg), 6c (7,4 mg) and 6d (8,2 mg).
Compound 6a, 2-phenylmethylene-3-oxo-13-hydroxy oleanolic acid.
1H NMR (300 MHz, CDCl3) δ 7.55 (s, 1H, H–1´), 7.42–7.41 (m, 4H, H–2´´, H–6´´, H–3´´, H–5´´), 7.35 (m, 1H, H–4´´), 3.14 (d, J=16.1 Hz, 1H, H–1a), 2.31 (t, J=3,61, 1H, H–18), 2.29 (d, J=5.1 Hz, 1H, H–1b), 1.99–1.82 (m, 3H, H–22a, H–16a, H–15a), 1.69–1.62 (d, J=9.6 Hz, 4H, H–12, H–22b, H–6a), 1.56–1.51 (dd, J=10.7, 7.3 Hz, 5H, H–5, H–7a, H–11, H–6b), 1.44–1.41 (m, 3H, H–9, H–7b, H–16b), 1.27 (m, 2H, H–19a, H–15b), 1.24 (s, 4H, H–21a, H–26), 1.21 (s, 3H, H–27), 1.19 (s, 4H, H–21b, H–24), 1.16 (s, 3H, H–23), 0.95 (s, 1H, H–19b), 0.91 (s, 3H, H–29), 0.86 (s, 6H, H–30, H–25). 13C NMR (75 MHz, CDCl3) δ 207.8 (C–3), 179.1 (C–28), 137,5 (C–1´), 135,9 (C–2), 133.9 (C–1´´), 130.3 (C–2´´), 130.3 (C–6´´), 128.5 (C–4´´), 128.4 (C–3´´), 128.4 (C–5´´), 89.5 (C–13), 52.8 (C–5), 47.9 (C–9), 47.4 (C–4), 45.3 (C–14), 44.9 (C–18), 44.5 (C–1), 43.9 (C–17), 41.2 (C–8), 36.3 (C–10), 36.2 (C–19), 35.2 (C–21), 33.7 (C–7), 33.0 (C–29), 31.5 (C–12), 29.9 (C–20), 29.5(C–23), 28.0 (C–22), 26.5 (C–16), 26.0 (C–15), 23.1 (C–30), 22.5 (C–24), 19.8 (C–11), 19.2(C–27), 18.9 (C–6), 17.4 (C–26), 15.9 (C–25).
Compound 6b, 2-(p-(methylphenyl) methylene)-3-oxo-13-hydroxy oleanolic acid
1H NMR (300 MHz, CDCl3) δ 7.53 (s, 1H, H–1´), 7.34 (d, J=8.0 Hz, 2H, H–2´´, H–6´´), 7.22 (d, J=8.6 Hz, 2H, H–5´´, H–3´´), 3.13 (d, J=16.0 Hz, 1H, H–1a), 2.40 (s, 3H, H–1´´´), 2.34 (m, J=6.4 Hz, 2H, H–18, H–1b), 1.92 (m, 1H, H–22a), 1.88 (m, 2H, H–16a, H–15a), 1.66–1.65 (m, 4H, H–12, H–22b, H–6a), 1.56 (bs, 1H, H–7a), 1.50 (m, 3H, H–5, H–11), 1.47 (m, 1H, H–6b), 1.44–1,42 (m, 3H, H–9, H–7b, H–16b), 1.27 (m, 3H, H–19a, H–21a, H–15b), 1.24 (s, 3H, H–26), 1.21 (s, 3H, H–27), 1.18 (s, 3H, H–24), 1.15 (s, 3H, H–23), 1.09 (bs, 1H, H–19b), 0.91 (s, 3H, H–29), 0.86 (s, 6H, H–30, H–25). 13C NMR (75 MHz, CDCl3) δ 207.8 (C–3), 179.1 (C–28), 138.7 (C–4´´), 137.7 (C–1´), 133.1(C–1´´), 133.0 (C–2), 130.4 (C–2´´), 130.4 (C–6´´), 129.2 (C–3´´), 129.2 (C–5´´), 89.5 (C–13), 52.8 (C–5), 48.0 (C–9), 47.4 (C–4), 45.2 (C–14), 44.9 (C–18), 44.6 (C–1), 43.9 (C–17), 41.2 (C–8), 38.7 (C–10), 36.3 (C–19), 35.1 (C–21), 33.7 (C–7), 33.0 (C–29), 31.5 (C–12), 29.9 (C–20), 29.5 (C–23), 28.0 (C–22), 26.5 (C–16), 26.0(C–15), 23.1 (C–30), 22.4 (C–24), 21.4 (C–1´´´), 19.8 (C–11), 19.2 (C–27), 19.0 (C–6), 17.4 (C–26), 15.9 (C–25).
Compound 6c, 2-(m-(methylphenyl) methylene)-3-oxo-13-hydroxy oleanolic acid
1H NMR (300 MHz, CDCl3) δ 7.52 (s, 1H, H–1´), 7.24 (m, 2H, H–2´´, H–6´´), 7.17 (d, J=5.8 Hz, 2H, H–4´´, H–5´´), 3.14 (d, J=15.4 Hz, 1H, H–1a), 2.40 (s, 3H, H–1´´´), 2.30 (bs, 1H, H–18), 2.25 (d, J=5,15, 1H, H–1b), 1.90 (m, 1H, H–22a), 1.88 (m, 2H, H–16a, H–15a), 1.67–1.63 (m, 4H, H–12, H–22b, H–6a), 1.57 (m, 1H, H–7), 1.52–1.50 (m, 4H, H–5, H–11, H–6b), 1.44–1.41 (m, 3H, H–9, H–7b, H–16b), 1.27 (m, 1H, H–19a), 1.24 (m, 4H, H–21a, H–26), 1.21 (s, 3H, H–27), 1.18 (s, 4H, H–15b, H–24), 1.16 (s, 3H, H–23), 1.10 (bs 1H, H–21b), 0.95 (m, 1H, H–19b), 0.91 (s, 3H, H–29), 0.86 (s, 6H, H–25, H–30). 13C NMR (75 MHz, CDCl3) δ 207.8 (C–3), 179.1 (C–28), 138.1(C–3´´), 137.8 (C–1´), 135.9 (C–2), 133.7(C–1´´), 131.3 (C–2´´), 129.3 (C–4´´), 128.3 (C–5´´), 127.0 (C–6´´), 89.5 (C–13), 52.8 (C–5), 48.0 (C–9), 47.4 (C–4), 45.3 (C–14), 44.9 (C–18), 44.5 (C–1), 43.9 (C–17), 41.2 (C–8), 36.3 (C–10), 36.2 (C–19), 35.2 (C–21), 33.7 (C–7), 33.0 (C–29), 31.5 (C–12), 29.9 (C–20), 29.4 (C–23), 28.0 (C–22), 26.5 (C–16), 26.0 (C–15), 23.1 (C–30), 22.5 (C–24), 21.5 (C–1´´´), 19.8 (C–11), 19.2 (C–27), 18.9 (C–6), 17.4 (C–26), 16.0 (C–25).
Compound 6d, 2-(o-(methylphenyl) methylene)-3-oxo-13-hydroxy oleanolic acid
1H NMR (300 MHz, CDCl3) δ 7.67 (s, 1H, H–1´), 7.24 (bs, 2H, H–3´´, H–4´´), 7.20 (bs, 2H, H–5´´, H–6´´), 2.96 (d, J=15.8 Hz, 1H, H–1a), 2.31 (s, 3H, H–1´´´), 2.26 (t, J=4.97 Hz, 1H, H–18), 2.05 (d, J=15.6 Hz, 1H, H–1b), 1.87–1.84 (m, 3H, H–22a, H–16a, H–15a), 1.65–1.64 (m, 3H, H–6a, H–12), 1.58 (m, 1H, H–22b), 1.55–1.54 (m, 2H, H–7a, H–6b), 1.51–1.49 (m, 3H, H–5, H–11), 1.42–1.39 (m, 3H, H–9, H–7b, H–16b), 1.27 (m, 2H, H–21a, H–15b), 1.22 (s, 3H, H–26), 1.20 (s, 4H, H–23, H–19a), 1.18 (s, 3H, H–27), 1.17 (s, 3H, H–24), 0.95 (bs, 1H, H–21b), 0.91 (bs, 1H, H–19b), 0.89 (s, 3H, H–29), 0.86 (s, 3H, H–25), 0.84 (s, 3H, H–30). 13C NMR (75 MHz, CDCl3) δ 207.6 (C–3), 179.1 (C–28), 137.8 (C–2´´), 137.0 (C–1´), 135.1 (C–1´´), 134.2 (C–2), 130.2(C–3´´), 128.5 (C–4´´), 128.3 (C–5´´), 125.4 (C–6´´), 89.5 (C–13), 53.3 (C–5), 47.8 (C–9), 47.4 (C–4), 45.6 (C–14), 44.9 (C–18), 43.9 (C–17), 43.5 (C–1), 41.2 (C–8), 36.5 (C–10), 36.2 (C–19), 35.1 (C–21), 33.8 (C–7), 33.0 (C–29), 31.5 (C–12), 29.9 (C–20), 29.1(C–23), 27.8 (C–22), 26.5 (C–16), 25.9 (C–15), 23.1 (C–30), 22.7 (C–24), 20.1 (C–1´´´), 19.7 (C–11), 19.2 (C–27), 18.8 (C–6), 17.5 (C–26), 15.7 (C–25).
Cytotoxicity
Sample preparation
The compounds were diluted in 100 % DMSO to a 10 mM stock solution, which was kept at -20º C. The compounds were diluted in PBS to give working solutions at appropriate concentrations. The controls were supplemented with PBS containing DMSO at the same concentration as in the working solution of the compounds. The final DMSO concentration was 0.1 % when using the compounds at 80, 40, 20, 10, 5, 2.5, 1.25 and 0.625 μM for MTT assays.
Cell lines
Two cell lines were selected for testing: the normal-like breast epithelial cell line MCF-10A and the breast cancer cell lines JIMT-1 assays.
MCF-10A is an immortalized, non-transformed epithelial cell line derived from the breast tissue of a 36-year-old patient with a fibrocystic change. It has retained many normal traits, including lack of tumorigenicity in nude mice, lack of anchorage-independent growth, and dependence on growth factors and hormones for proliferation and survival [16].
The MCF-10A cells were cultured in RPMI 1640 medium supplemented with 10% heat-inactivated fetal calf serum (FCS), non-essential amino acids (1 mmol/L), insulin (10 µg/ml), epidermal growth factor (20 ng/ml), cholera toxin toxin (50 ng/ml), hydrocortisol (250 ng/ml), penicillin (100 U/ml), and streptomycin (100 µg/ml).
JIMT-1 cells were established from the pleural effusion of a 62-year-old woman with ductal breast cancer (grade 3 invasive, T2N1M0) after postoperative radiation; cell line was described to carry an amplified HER-2 oncogene and to be insensitive to HER-2-inhibiting drugs, like trastuzumab (Herceptin) [17].
The human breast carcinoma cell line JIMT-1 (ACC589) was purchased from the German Collection of Microorganisms and Cell Cultures (Braunschweig, Germany) and routinely cultured in DMEM/F-12 medium supplemented with 10% FCS, nonessential amino acids (1 mmol/L), insulin (10 µg/mL), penicillin (100 U/mL), and streptomycin (100 mg/mL). All cell lines were kept at 37 °C in a humidified incubator with 5 % CO2 in air.
For the experiments, cells were seeded at the following densities: MCF-10A: 1x104/cm2 and JIMT-1: 1.5x104/cm2 in tissue culture vessels of appropriate size to obtain the desired cell number. The volume of medium used was 0.2-0.3 per cm2. The cells were allowed to attach for 24 h before addition of compound.
MTT assay
Cytotoxicity assays were performed to obtain dose response curves for compounds in JIMT-1 and MCF-10A cells.
For the MTT assay, cells were trypsinized, counted in a hemocytometer, and resuspended in cell culture medium. Aliquots of 180 ul cell suspension containing 3000 (MCF-10A) and 5000 (JIMT-1) cells were seeded in 96-well plates. Twenty-four hours later, the compounds were added. At 72 h of drug treatment, 20 μl of MTT solution (5 mg/ml MTT in PBS) was added to each well and the 96 well plates were returned to the CO2 incubator for 1 hour.
The blue formazan product formed by reduction in live attached cells was dissolved by adding 100 ml of 100% DMSO per well. The plates were swirled gently at room temperature for 10 minutes to dissolve the precipitate. Absorbance was monitored at 540 nm.
The data were processed in GraphPadPrism 6.
ACKNOWLEDGEMENTS
The authors would like to thank to the Swedish Agency SIDA for providing the financial support of this study involved in the project “Biomolecules of medicinal and industrial interest, anticancer” and the grant for Yaquelin Suxo.
References
1. Barrientos, E., Carevic, F.; Delatorre, J. 2017, La sustentabilidad del altiplano sur de Bolivia y su relación con la ampliación de superficies de cultivo de quinua. Idesia, 35(2), 7-15.
2. Madl, T., Sterk, H., Mittelbach, M. 2006, Tandem Mass Spectrometric Analysis of a Complex Triterpene Saponin Mixture of Chenopodium quinoa. J Am Soc Mass Spectrom, 17, 795– 806.
3. Kuljanabhagavadad, T., Thongphasuk, P., Chamulitrat, W., Wink M. 2008. Triterpene saponins from Chenopodium quinoa Willd. Phytochemistry, 69(9), 1919-1926.
4. Pollier, J., Goossens, A. 2012, Oleanolic acid, Phytochemistry, 77, 10–15.
5. Lozano, M., Flores, Y. R., Almanza, G. R. 2017, High contents of oleanolic acid in highland Bolivian plants, Rev. Bol. Quim. 34 (1), 28-32.
6. Flores, Y., Sterner, O., Almanza, G. R. 2004, Oleanolic acid. Presence and importance in highland Bolivian plants. Rev. Bol. Quim., 21, 31-35.
7. Hao, J., Liu, J., Wen, X., Sun, H. 2013, Synthesis and cytotoxicity evaluation of oleanolic acid derivatives. Bioorganic & Medicinal Chemistry Letters, 23(7), 2074-2077.
8. Rali, S., Oyedeji, O. O., Aremu, O. O., Oyedeji, A. O., Nkeh-Chungag, B. N. 2016, Semisynthesis of derivatives of oleanolic acid from Syzygium aromaticum and their antinociceptive and anti-inflammatory properties. Mediators of inflammation, 16, 1-9.
9. Kim, G. J., Jo, H. J., Chung, K. H., Lee, K. J., Choi, J.W., An, J. H. 2018. Oleanolic Acid Induces p53 Dependent Apoptosis via the ERK/JNK/AKT Pathway in Cancer Cell Lines. Oncotarget, 9(41), 26370–26386.
10. Astudillo, L., Rodriguez, J. A., Schmeda-Hirschmann, G. 2002. Gastroprotective activity of oleanolic acid derivatives on experimentally induced gastric lesions in rats and mice. Journal of Pharmacy and Pharmacology, 54(4), 583-588..
11. Chen, L., Zhang, Y., Kong, X., Lan, E., Huang, Z., Peng, S., Tian, J. 2008. Design, synthesis, and antihepatocellular carcinoma activity of nitric oxide releasing derivatives of oleanolic acid, Journal of Medicinal Chemistry, 51(15), 4834-4838.
12. Zhu, Y. M., Shen, J. K., Wang, H. K., Cosentino, L. M., & Lee, K. H. 2001. Synthesis and anti-HIV activity of oleanolic acid derivatives. Bioorganic & Medicinal Chemistry Letters, 11(24), 3115-3118.
13. Schultz, T.W., Yarbrough, J.W., Johnson, E.L. (2005). Structure–activity relationships for reactivity of carbonyl-containing compounds with glutathione, SAR and QSAR in Environmental Research, 16(4), 313-322.
14. Kumar, A., Qayum, A., Sharma, P. R., Kingh S. K., Shah, B. A. 2016, Synthesis of β-boswellic acid derivatives as cytotoxic and apoptotic, Bioorganic & Medicinal Chemistry Letters, 26, 76–81.
15. Karimi-Jaberi, Z., Pooladian, B. 2012, A facile synthesis of α,α’-bis(substituted benzylidene) cycloalkanones catalyzed by p-TSA under solvent-free conditions, Green Chemistry Letters and Reviews, 5(2), 187-193.
16. Debnath, J., Muthuswamy, S. K., Brugge, J. S. 2003. Morphogenesis and oncogenesis of MCF-10A mammary epithelial acini grown in three-dimensional basement membrane cultures. Methods, 30(3), 256-268.
17. Tanner, M., Kapanen, A. I., Junttila, T., Raheem, O., Grenman, S., Elo, J., Isola, J. 2004. Characterization of a novel cell line established from a patient with Herceptin-resistant breast cancer. Molecular cancer therapeutics, 3(12), 1585-1592.