Full original article
Recepción: Junio , 07, 2020
Aprobación: 10 Septiembre 2020
Publicación: Octubre , 30, 2020
Resumen:
La acumulación de contaminantes inorgánicos en los compartimientos ambientales representa un grave problema a nivel mundial, pues generalmente proceden de actividades urbanas e industriales con un manejo inadecuado de sus residuos. Los metales pesados son contaminantes inorgánicos prioritarios cuya acumulación y distribución en cuerpos de agua dulce pueden volverlos potencialmente peligrosos, produciendo toxicidad al llegar a organismos vivos que componen la cadena trófica. El río Crucero está ubicado en el departamento de Puno, Perú, confluye con otros ríos pertenecientes a la Cuenca Ramis, cuya desembocadura se encuentra en el Lago Titicaca.
En este río se vierten descargas de aguas residuales procedentes de actividades mineras, urbanas y rurales. Para el estudio se tomó en cuenta la estación seca (mayo 2017), se seleccionaron cinco estaciones de muestreo a lo largo del río y se determinaron los parámetros fisicoquímicos in situ básicos incluyendo pH, temperatura, conductividad eléctrica y redox.
Se recolectaron muestras de agua y sedimentos superficiales y se analizó la concentración de metales pesados (cadmio, zinc y arsénico) presentes en las muestras mediante espectroscopía de emisión atómica de plasma acoplado por inducción.
Los resultados mostraron que el agua bajo escrutinio no era apta para consumo humano, hecho comprobado por valores de pH mayores a 8.5, los cuales incumplen las regulaciones establecidas por la organización mundial de la salud (OMS). Por otra parte, la concentración de metales en agua no excede los estándares de calidad ambiental nacionales ni los valores de criterios externos al país; sin embargo, existe certeza de contaminación con arsénico, cadmio y zinc en sedimentos bajo las regulaciones nacionales e internacionales
Palabras clave: Metales pesados, Metaloides, Contaminación, Parámetros fisicoquímicos, Río..
Abstract:
The accumulation of inorganic pollutants in environmental compartments represents a serious problem worldwide, as they generally come from urban and industrial activities with inadequate waste management. Heavy metals are priority inorganic pollutants whose accumulation and distribution in freshwater bodies can make them potentially dangerous, becoming toxic when they reach living organisms that make up the food chain. The crucero river is located in the department of Puno, Peru, it converges with other rivers belonging to the Ramis Basin, whose mouth is located in Lake Titicaca.
Wastewater discharges from mining, urban and rural activities are dumped into this river. For the study, the dry season was taken into account (May 2017), five sampling stations were selected along the river and the basic physical-in-situ parameters were determined, including pH, temperature, electrical conductivity and redox indexes.
Samples of water and superficial sediments were collected and the concentration of heavy metals (cadmium, zinc and arsenic) present in the samples was analyzed by means of induction coupled plasma atomic emission spectroscopy.
The results showed that the water under scrutiny was not suitable for human consumption, a fact proven by pH values greater than 8.5, which do not comply with the regulations established by the world health organization (WHO). On the other hand, the concentration value of metals in water does not exceed national environmental quality standards or the values of criteria external to the country; however, there is certainty of contamination with arsenic, cadmium and zinc in sediments under the national and international regulations scope.
.Correspondent author: dsalasm@unap.edu.pe
Keywords: Heavy Metals, Metaloids, Pollution, Physicochemical Parameters, River..
INTRODUCCIÓN
Las actividades humanas han alterado el medio ambiente y el estado del planeta, afectando gradualmente los diversos ecosistemas. El desarrollo industrial emite grandes cantidades de desechos con alto contenido de contaminantes orgánicos e inorgánicos [1].
Los metales pesados son elementos inorgánicos prioritarios y también son motivo de gran preocupación debido a sus magnificaciones a los niveles tróficos más altos [2,3]. Esto representa altos riesgos para la salud humana, pues se ha reportado que la bioacumulación de metales podría causar trastornos metabólicos, reproductivos y neurológicos [4–6].
La determinación de concentraciónes anormalmente elevadas de varios metales/metaloides demanda un conocimiento más preciso del comportamiento geoquímico en ambientes naturales cerca de áreas mineras, vertederos, áreas urbanas y centros industriales, sobre todo de aquellas sustancias tóxicas prioritarias actuales [7].
En Perú, las actividades mineras son un sector de gran impacto económico, representando aproximadamente el 50% de las exportaciones anuales del país, posicionándolo como el mayor productor de oro, zinc, plomo y estañ de Latinoamérica [8]. Debido a los grandes depósitos de mineral, el impacto socioambiental que genera la minería representa un grave problema. Al liberarse desechos no tratados y cargados de productos químicos, se producen severas modificaciones ambientales importantes [9].
En el departamento de Puno, Perú, la extracción artesanal de oro (Au) se da en los campamentos mineros de La Rinconada y Ananea [6], en donde los procesos de extracción se caracterizan por utilizar técnicas de amalgamación debido a su alta eficiencia, simplicidad y bajo costo [10]. Este proceso implica mezclar la roca triturada con mercurio (Hg) para formar una amalgama semisólida de Hg-Au. La amalgama se tuesta y conduce fuera del complejo al Hg como vapor, dejando atrás el Au purificado. Sin embargo, estos depósitos de oro pueden estar asociados a otros metales como plomo, zinc, plata, tungsteno, litio y en alguna medida al cobre [11], por lo que los procesos de meteorización de los relaves y la escorrentía de agua sobre ellos conducen a los metales hacia los cuerpos de agua circundantes.
Las unidades mineras ubicadas en estas zonas se encuentran cerca al río Crucero, que es parte de la cabecera de la cuenca Ramis (afluente más grande del Lago Titicaca), siendo el primer y principal acceso de agua dulce utilizado por las comunidades urbanas y rurales colindantes cuya principal actividad productiva es la minería artesanal [6].
El agua es un buen solvente para numerosos químicos y, por lo tanto, se contamina fácilmente con las sustancias químicas producto de actividades antropogénicas [12,13]. Por otro lado, los sedimentos, registran en sus capas información valiosa sobre las actividades humanas sobre el medio ambiente (después de la deposición), lo que permite reconstruir la dinámica de su distribución y acumulación desde las posibles fuentes de impacto [8,14–18].
El objetivo de este estudio fue determinar la distribución de metales y metaloides presentes en agua y sedimentos a lo largo del Río Crucero, evaluando cinco estaciones de muestreo en época seca. Asimismo, se determinaron los parámetros fisicoquímicos del río que contribuyeron a establecer la influencia de los contaminantes en el entorno acuático.
EXPERIMENTAL
Área de estudio
El área de estudio está localizada en la cabecera de cuenca del río Ramis, en donde se realizan actividades mineras y metalúrgicas. El río Crucero se origina en la laguna Rinconada y discurre aguas abajo, uniéndose a otros ríos hasta desembocar en el lago Titicaca. Para esta investigación se consideró el tramo Crucero – San Antón (Figura 1), con una longitud de 83.7 km., ya que estos distritos son los primeros en recibir las descargas del río para utilizarlas en sus actividades domésticas y agropecuarias.

Estaciones de muestreo en Río Crucero, departamento de Puno - Perú
Muestreo y medición de parámetros fisicoquímicos del agua
Se seleccionaron cinco estaciones de monitoreo (Tabla 1) los cuales se establecieron en cumplimiento del Protocolo Nacional para el Monitoreo de la Calidad de Recursos Hídricos Superficiales del Perú [19], mediante el sistema de posicionamiento global (GPS, Garmin eTrex 20). En cada estación se realizaron mediciones de parámetros fisicoquímicos in situ a lo largo del tramo del río Crucero, durante la época seca. El pH, la conductividad eléctrica (CE) y temperatura del agua (T) se midieron utilizando un multiparámetro (HI98204, HANNA), el equipo fue calibrado antes de su uso.

Geolocalización de estaciones de muestreo del río Crucero.
PM: punto de muestroDeterminación de metales pesados en agua y sedimentos
Se recolectaron 50 ml de muestras de agua a 10 cm por debajo de la superficie, se depositaron en tubos de polietileno añadiendo 1 ml de HNO3 y se trasladaron en un contenedor con hielo para su conservación hasta el procesamiento en laboratorio. La recolección de muestras de sedimentos se realizó utilizando un cucharón de plástico y bolsas ziploc. Las muestras se analizaron en laboratorio mediante espectroscopia de emisión atómica de plasma acoplado por inducción (ICP – AES) [20], en el periodo de sequía.
RESULTADOS
Parámetros fisicoquímicos
Los resultados de las mediciones in situ de los parámetros fisicoquímicos del agua en los puntos de muestreo se reportan en la Tabla 2.

Parámetros fisicoquímicos del agua en estaciones de muestreo del Río Crucero.
PM: punto de muestroDeterminación de metales pesados en agua y sedimentos
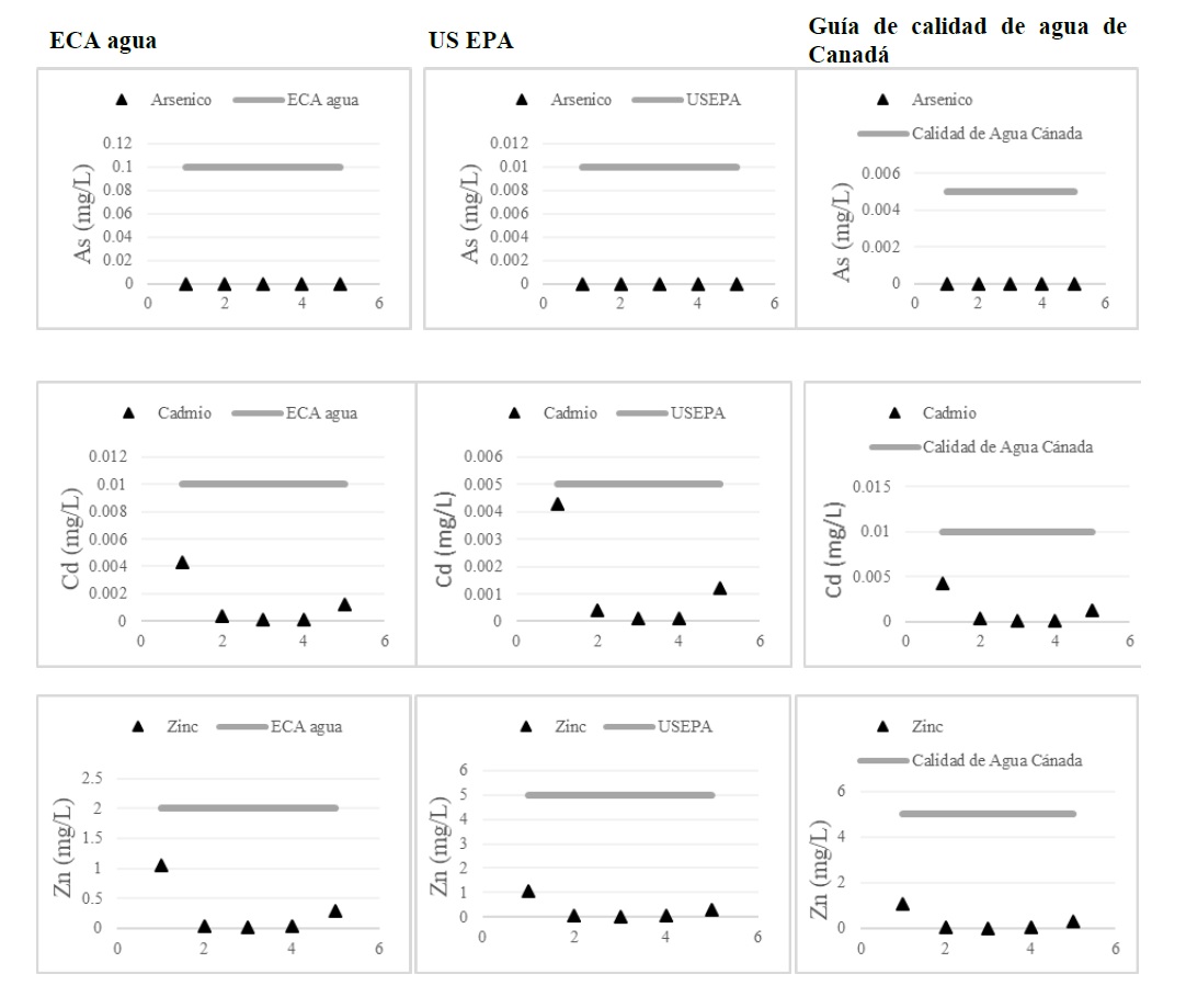
En la Tabla 3 se reportan las concentraciones de cadmio y zinc en agua, las cuales son mayores en PMI (1.059 mg/L) y PMV (0.29288 mg/L), mientras que las concentraciones de arsénico están por debajo del límite de detección (0.00003 mg/L) en todos los puntos de muestreo.
Como se puede apreciar en la Figura 2, las concentraciones de cadmio y zinc en agua están por debajo de los Estándares de Calidad Ambiental de Perú (ECA) y de los criterios internacionales proporcionados por la Asociación de Protección Ambiental de Estados Unidos (US EPA) y la Guía de Calidad de Agua de Canadá [21-23].
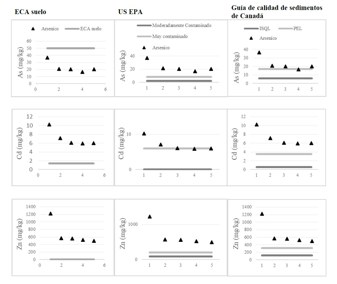
La Tabla 4 muestra los resultados de las concentraciones de arsénico, cadmio y zinc presentes en muestras de sedimentos tomadas en cada una de las estaciones. La estación PMI es la zona que presenta mayor concentración de los metales antes mencionados.

Concentración de As, Cd y Zn en agua.
PM: punto de muestro

Concentración de As, Cd y Zn comparados con las normativas de Perú, USA y Canadá.

Concentración de As, Cd y Zn en sedimentos.

Concentración de As, Cd y Zn comparados con las normativas de Perú, USA y Canadá.
Casi todos los puntos de muestreo presentan concentraciones de arsénico, cadmio y zinc que se encuentran en el límite o superan los valores límites recomendados por los estándares nacionales e internacionales [24,25], excepto en PMI, en donde las concentraciones de arsénico se encuentran por debajo de los ECA (Figura 3).
DISCUSIÓN
Se registraron temperaturas más altas en los sitios con altura más baja (PMIII, PMIV y PMV) debido principalmente al descenso de velocidad del flujo de la corriente; cuando esto ocurre, hace que el nivel de turbidez del agua sea alto, lo que conduce a un aumento de la temperatura [26].
Los promedios de pH en la mayoría de las estaciones de muestreo son ligeramente más altos a 8.5, considerándose básico y, por lo tanto, no apropiado para el consumo humano de acuerdo a los principales estándares de regulación [27], [28]. Esto podría deberse a la presencia de carbonato de calcio y magnesio [29] que son depositados naturalmente en el río debido a la erosión y la reacción entre las rocas carbonatadas con el agua [28]. El pH tiene amplia influencia en el equilibrio geoquímico y la solubilidad de muestras especies químicas, incluidos los metales en el agua [30]. Cuando el pH es <5, los metales se vuelven más solubles, aumentando la toxicidad del cuerpo acuático que los contiene. En este caso, el pH de las estaciones del río Crucero es igual o mayor a 8.5 (con excepción de PMII) por lo que los metales tienden a precipitarse. Esto se ve reflejado en la diferencia significativa que hay entre las concentraciones de metales en agua y en sedimentos.
En cuanto a la conductividad eléctrica, las estaciones PMI y PMII presentaron niveles menores en comparación con las otras estaciones, posiblemente debido a la alta cantidad de descarga de agua en los puntos del río con elevada altitud, causando un efecto de dilución de las sales solubles y produciendo concentraciones más bajas de los minerales, estando relacionado con los valores de conductividad [31].
El potencial redox está estrechamente ligado con el oxígeno disuelto en el agua. PMI y PMIV muestran los menores valores, probablemente debido a la cercanía de la primera estación a las fuentes de contaminación por descargas mineras y la descarga de aguas residuales en la cuarta estación, provenientes de pequeños centros poblados de la zona. Cuando el potencial de óxido reducción es bajo, como en este caso, la toxicidad de ciertos metales y contaminantes puede aumentar y hay una gran cantidad de material en proceso de descomposición en el agua que no se puede eliminar [32].
La concentración de metales dentro de los ambientes acuáticos puede proporcionar información sobre la influencia de distintas fuentes y relacionarlas con las actividades productivas circundantes y sus efectos contaminantes. En general, se encontró que la alta carga de metales en agua de PMI coincide con la de sedimentos en la misma estación. Aguas abajo, las cargas de las especies metálicas de este estudio se redujeron significativamente tanto en las muestras de agua como en sedimentos, por lo que se deduce que los centros de extracción minera ubicados cerca a la cabecera de cuenca pueden ser las fuentes desde donde se transportan los contaminantes mediante distintos tipos de mecanismos fisicoquímicos e hidrogeológicos.
Las concentraciones de metales pesados en agua siguen la tendencia Cd> Zn> As, mientras que en sedimentos es As> Cd> Zn. La estación PMV mostró algunas diferencias en cuanto a la tendencia descendente de concentración de cadmio y zinc en agua; asimismo, las concentraciones de arsénico aumentaron en los sedimentos de la misma zona. Esto pudo ser debido a la intervención de otras fuentes de contaminantes adicionales como las descargas de grupos poblacionales ubicados en las proximidades del río Crucero.
CONCLUSIONES
El resultado de los parámetros fisicoquímicos mostró que los niveles de pH en la época seca, hacen que el agua nos sea apta para consumo humano y podría tener influencia en la precipitación de metales.
Este estudio ha documentado la existencia de elevadas concentraciones de arsénico, cadmio y zinc en sedimentos del río Crucero, cuerpo de agua cercano a la mina La Rinconada y parte de la cuenca Ramis. La concentración de estos contaminantes tóxicos se encuentra por encima de lo que estipulan los límites de los estándares de calidad ambiental nacionales y las agencias reguladoras internacionales. También se confirmó la presencia de estas especies (con excepción del arsénico) en aguas superficiales; sin embargo, no superan los límites que establecen las regulaciones ambientales.
RECONOCIMIENTOS
Los autores agradecen al Proyecto de Mejoramiento y Ampliación de los Servicios del Sistema Nacional de Ciencia, Tecnología e Innovación Tecnológica 8682-PE, al Banco Mundial, al CONCYTEC y FONDECYT. Asimismo, al Vicerrectorado de Investigación de la Universidad Nacional del Altiplano de Puno, por el apoyo brindado para la ejecución de este trabajo de investigación. También se reconocen a Laboratorios Analíticos del Sur – Arequipa, por contribuir en los análisis de metales pesados en las muestras de agua y sedimento de esta investigación.
REFERENCIAS
1. Wan, Z.U., Yii, M.W. 2012, Marine radioactivity concentration in the Exclusive Economic Zone of Peninsular Malaysia: 226Ra, 228Ra and 228Ra/ 226Ra, J. Radioanal. Nucl. Chem., 292, (1), 183–192.
2. Paul, D. 2017, Research on heavy metal pollution of river Ganga: A review, Ann. Agrar. Sci., 15, (2), 278–286.
3. Cordy, P., Veiga, M.M., Salih, I., Al-Saadi, S., Console, S., Garcia, O., Mesa, L.A., Velásquez-López, P.C., Roeser, M. 2011, Mercury contamination from artisanal gold mining in Antioquia, Colombia: The world’s highest per capita mercury pollution, Sci. Total Environ., 410–411, 154–160.
4. Genthe, B., Kapwata, T., Le Roux, W., Chamier, J., Wright, C.Y. 2018, The reach of human health risks associated with metals/metalloids in water and vegetables along a contaminated river catchment: South Africa and Mozambique, Chemosphere, 199, 1–9.
5. Matos, L.A., Cunha, A.C.S., Sousa, A.A., Maranhão, J.P.R., Santos, N.R.S., Gonçalves, M.M.C., Dantas, S.M.M.M., Sousa, J.M.C.E., Peron, A.P., Silva, F.C.C.D., Alencar, M.V.O.B., Islam, M.T., Aguiar, R.P.S., Melo-Cavalcante, A.A.C., Bonecker, C.C., Junior, H.F.J. 2017, The influence of heavy metals on toxicogenetic damage in a Brazilian tropical river, Chemosphere, 185, 852–859.
6. Gammons, C.H., Slotton, D.G., Gerbrandt, B., Weight, W., Young, C.A., McNearny, R.L., Cámac, E., Calderón, R., Tapia, H. 2006, Mercury concentrations of fish, river water, and sediment in the Río Ramis-Lake Titicaca watershed, Peru, Sci.Total Environ., 368, (2-3), 637–648.
7. https://www.atsdr.cdc.gov/spl/index.html. Access date: 01/04/2020.
8. Matamet, F.R., Bonotto, D.M. 2019, Sedimentation rates at Ramis River, Peruvian Altiplano, South America, Environ. Earth Sci., 78, (6), 1-17.
9. Bebbington, A., Williams, M. 2008, Water and Mining Conflicts in Peru, Mt. Res. Dev., 28, (3), 190–195.
10. https://www.semanticscholar.org/paper/Mercury-in-Artisanal-Gold-Mining-in-Latin-America%3A-Veiga/e165870ca28679f5ff224238232e611ddbc9d456. Access date: 01/04/2020
11. http://www.adessantamarta.sv/docs/investigaciones/articulo%20metales%20pesados.pdf. , Access date: 01/04/2020.
12. Tiwari, J.N., Manzoor, A. Ecology and Pollution of Indian Rivers, Aashish Publishing House, 1988, New Delhi, India, pp. 271–286.
13. Wasim, M. Paramasivam, M., Ganguly, M., Purkait, S., Sengupta, D. 2010. Assessment and occurrence of various heavy metals in surface water of Ganga river around Kolkata: A study for toxicity and ecological impact, Environ. Monit. Assess., 160, (1–4), 207–213.
14. Ruiz-Fernández, A.C., Mohamed, M., Sanchez-Cabeza, J.A., Pérez, L.H., López, P., Limoges, A. 2014, Chronology of recent sedimentation and geochemical characteristics of sediments in Alvarado Lagoon, Veracruz (southwestern gulf of Mexico), Ciencias Marinas, 40, (4), 291-303.
15. Bonotto, D. M., Garcia-Tenorio, R. 2019, Investigating the migration of pollutants at Barreiro area, Minas Gerais State, Brazil, by the 210Pb chronological method, J. Geochemical Explor., 196, 219–234.
16. Pappa, F.K., Tsabaris, C., Patiris, D., Androulakaki, E.G., Eleftheriou, G., Betsou, C., Michalopoulou, V., Kokkoris, M., Vlastou, R. 2018, Historical trends and assessment of radionuclides and heavy metals in sediments near an abandoned mine, Lavrio, Greece, Environ. Sci. Pollut. Res., 25(30), 30084–30100.
17. Sert, I., 2018, Sediment chronology and historical evolution of heavy metal contamination in terms of pollution index in Turkish coast, north Aegean Sea, J. Radioanal. Nucl. Chem., 318 (3), 1805–1819.
18. Celis-Hernandez, O., Rosales-Hoz, L., Cundy, A.B., Carranza-Edwards, A., Croudace, I.W., Hernandez-Hernandez, H. 2018, Historical trace element accumulation in marine sediments from the Tamaulipas shelf, Gulf of Mexico: An assessment of natural vs anthropogenic inputs, Sci. Total Environ., 622–623 (1), 325–336.
19. https://www.ana.gob.pe/sites/default/files/publication/files/protocolo_nacional_para_el_monitoreo_de_la_calidad_de_los_recursos_hidricos_superficiales.pdf. Access date: 01/04/2020.
20. https://www.epa.gov/sites/production/files/2015-06/documents/epa-200.7.pdf. Access date: 01/04/2020.
21. http://www.minam.gob.pe/wp-content/uploads/2017/06/DS-004-2017-MINAM.pdf. Access date: 01/04/2020.
22. https://www.epa.gov/sites/production/files/2018-03/documents/dwtable2018.pdf. Access date: 01/04/2020.
23. https://www.epa.gov/sdwa/2018-drinking-water-standards-and-advisory-tables. Access date: 01/04/2020.
24. http://www.minam.gob.pe/wp-content/uploads/2017/12/DS_011-2017-MINAM.pdf. Access date: 01/04/2020.
25. http://ceqg-rcqe.ccme.ca/download/en/226/. Access date: 01/04/2020.
26. Yunus, A.J., Nakagoshi N. 2004, Effects of seasonality on streamflow and water quality of the Pinang River in Penang Island, Malaysia, Chinese Geogr. Sci., 14 (2), 153–161.
27. http://www.digesa.minsa.gob.pe/publicaciones/descargas/Reglamento_Calidad_Agua.pdf. Access date: 01/04/2020.
28. Emurotu, J.E., Habib, L.O. 2020, Assessment of some water quality of Obuburu River, Okene, Kogi State, Nigeria, J. Appl. Sci. Environ. Manag., 23 (11), 1995-2002. DOI: 10.4314/jasem.v23i11.14
29. Chandra, S. Singh A., Tomar, P.K. 2012, Assessment of Water Quality Values in Porur Lake Chennai, Hussain Sagar Hyderabad and Vihar Lake Mumbai, India, Chem. Sci. Trans., . (3), 508–515.
30. Neil, W. Soil water and ground water sampling. CRC Press, New York, U. S. A., 15-29, 1995.
31. Li, S., Cheng, X., Xu, Z., Han, H., Zhang, Q. 2009, Spatial and temporal patterns of the water quality in the Danjiangkou Reservoir, China, Hydrol. Sci. J., 54, (1), 124–134.
32. Razali, A., Syed Ismail, S.N., Awang, S., Praveena, S.M., Zainal Abidin, E. 2020, The impact of seasonal change on river water quality and dissolved metals in mountainous agricultural areas and risk to human health, Environ. Forensics, 1–17.