Abstract:
Tara powder is obtained by grinding the dry pods of the plant known as Tara(Caesalpinia spinosa), it is well known for its high content of tannins, which gives it great utility in the tanning industry, in the so-called vegetable tanning, its use has been widespread in recent years, because it is an environmentally friendly technique. In the world market, Peru is the largest exporter of Tara powder and there are many local studies on this product. particularly on its chemical properties. Bolivia could be considered a potential country in the production of Tara powder, the production in Bolivia is located in high altitude valleys (over 2000 masl) compared to other production sites worldwide. However, there are no studies on the influence of altitude on its physicochemical properties and the content of its tannins. In the present research, the chemical properties and the tannin content of the Bolivian Tara powder, from the department of Chuquisaca, localities of Icla, Tomina, Mojocoya Yacambé and Mojocoya Redención pampa were studied. The results suggested that Tara powder obtained from high altitude samples presents higher values of total tannins compared to those produced at a lower height above sea level, as a result of greater solar ultraviolet radiation in the production of tannins, more studies are necessary to establish such influence. .Correspondent author: jmpenarrieta1@umsa.bo
Keywords:Tara (Caesalpinia spinosa)Tara (Caesalpinia spinosa),TanninsTannins,Condensed TanninsCondensed Tannins,Gallic acidGallic acid,Leather Tanning.Leather Tanning..
Resumen: El polvo de Tara se obtiene por molienda de las vainas secas de la planta conocida como Tara (Caesalpinia spinosa), se caracteriza por el alto contenido de Taninos, que es de gran utilidad en la industria de curtiembres, en el denominado curtido vegetal, su uso ha sido extendido en los últimos años, debido a que es una técnica amigable con el medio ambiente. En el mercado mundial Perú es el mayor exportador de polvo de Tara, por lo que existen muchos estudios locales sobre este producto, particularmente sobre sus propiedades químicas. Bolivia podría ser considerado un país potencial en la producción de polvo de Tara, la producción en Bolivia está localizada en valles de altura, 2000 m o más sobre el nivel del mar, en comparación con otros sitios de producción a nivel mundial, sin embargo, no existen estudios sobre la influencia de la altura en sus propiedades fisicoquímicas ni sobre el contenido de sus taninos. En el presente trabajo se estudiaron las propiedades químicas y el contenido de taninos del polvo de Tara boliviana de muestras obtenidas del departamento de Chuquisaca, de las localidades de Icla, Tomina, Mojocoya Yacambé y Mojocoya-Redención pampa. Los resultados sugieren que el polvo de Tara obtenido de muestras de altura presenta valores más altos de taninos totales en comparación con aquellos producidos a menor altura sobre el nivel del mar, como posible influencia de una mayor radiación ultravioleta solar en la producción de taninos, más estudios son necesarios para poder establecer dicha influencia.
Palabras clave: Tara (Caesalpinia spinosa), Taninos, Taninos Condensados, Ácido Gálico, Curtido del Cuero..
Full Original Article
CHARACTERIZATION AND QUANTIFICATION OF TANNINS IN THE POWDER OF CAESALPINIA SPINOSA: TARA BOLIVIANA
CARACTERIZACIÓN QUÍMICA Y CUANTIFICACIÓN DE TANINOS DEL POLVO DE CAESALPINIA SPINOSA: TARA BOLIVIANA
Recepción: Febrero , 24, 2021
Aprobación: Abril , 14, 2021
Publicación: Abril , 30, 2021
Tara (Caesalpinia spinosa) is a tree that is distributed in South America and Africa, which is highly demanded for being a source of many by-products for different industrial applications. Peru is the world's largest producer and exporter (approximately 80% of production). Production in Peru takes place in semi-arid areas distributed in different regions [1].
A by-products obtained from grinding the dry pods of this tree is the fine Tara powder which is mainly intended for the leather industry for its tanning properties due to its tannin content, for use in the so-called vegetable tanning. Implying an environmentally friendly technique in recent years it has had a sustainable growth worldwide. The largest export of Tara from Peru is destined to such industry [2].
In addition to Tara powder, coarse grinding is destined for the pharmaceutical chemical industry, from which mainly tannic acid, gallic acid and their derivatives are produced; and on a smaller scale for the wine industry (bitter taste and as a color retention agent).
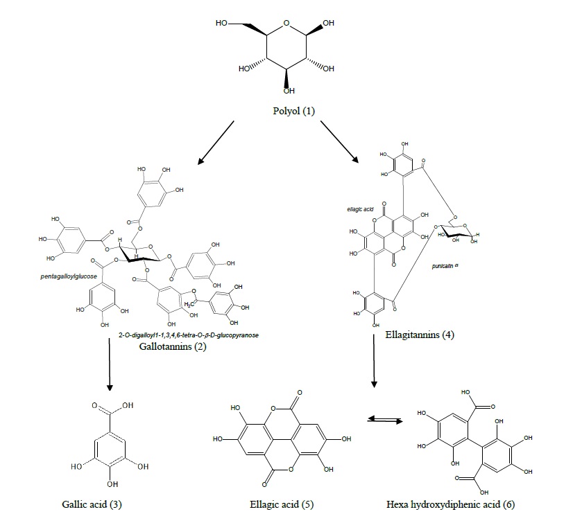
Vegetable tannins are divided into two groups, hydrolysable tannins and condensed tannins, both added together are quantified as total tannins. Hydrolysable tannins are easily hydrolyzed by acids (or enzymes) in sugars or in a related polyhydric alcohol and a phenolic carboxylic acid. Depending on the nature of the phenolic carboxylic acid, hydrolysable tannins are subdivided into gallotannins and ellagitannins. Gallic acid is obtained from gallotannins hydrolysis and hexahydroxydiphenic acid is obtained from the hydrolysis of ellagitannins, which is generally isolated as its stable dilactone ellagic acid. As shown in figure 1 [3].
Condensed tannins or proanthocyanidins are polyflavonium by nature, consisting of chains of flavan-3-ol units, the most common are procyanidins consisting of catechin and / or epicatechin chains with 4-6 or 4-8 bonds. Unlike hydrolyzable tannins, condensed tannins polymerize into amorphous or red tannin flobaphenes, under the action of acids [3]. An example of procyanidins is shown in Figure 2, the most common condensed tannins.
A study of South African Tara tannins, using reverse phase and hydrophilic interaction chromatography coupled to ion mobility and high resolution mass spectrometry (HILIC and IM-HRMS), identified the presence of 45 isomeric species of galloylquinic acid, in addition to 6 derivatives of gallic acid and ellagic acid [4]
Studies carried out in Argentina report that Tara tannin derivatives were used as a coating material in ship hulls, to avoid the accumulation of a very large variety of marine microorganisms, this problem can affect the greater consumption of fuel. Generally used coating materials (such as tributyltin, TBT) have been banned due to their toxicity to marine organisms. As a result of the study, it has been determined that two derivatives of tannins from Tara complexed with Zinc, with 69% and 68.05% of total tannins and 18.5% and 18.87% of Zinc respectively in their composition, were effective against larvae of Artemia, determining that by obtaining the derivatives at a higher temperature (60 ° C) a material with a longer useful life is achieved since the increase in temperature helps the formation of active functional groups [5].

Hydrolysis of hydrolyzable tannins
In search of environmentally friendly solutions, a study carried out in Spain shows that the gelled tannins of Tara powder can be used as a source of biopolymers, formed by polymerization induced with formaldehyde, which have adsorbing capacity for cationic dyes, in the study the capacity of the adsorbent was tested with five dyes and was effective with three of them: Victoria Blue R, methylene blue and fuchsin [6]. On the other hand, a gum is obtained from Tara seeds, which is mainly intended for the food industry (ice cream, mustard, among others), due to its properties as a thickener, gelling agent and emulsifier. Peru's annual export reaches approximately the sum of US $ 48 million between Tara powder and gum. [2].

Proanthocyanidin B2.
It is important to mention that the fruits of the Tara tree have been used ancestrally as part of the traditional medicine of the original peoples of South America and its use is extended to the present day. For example, it can be mentioned that Tara infusions have been traditionally used in the Andean towns as home remedies against flu, fever, stomach pain, among others [7].
Tara powder represents approximately 65% of the total matter content, which is characterized by being rich in tannins (40-60) %, having gallic acid as its major constituent [8].
The main use of tannins from Tara is in the leather industry, but it is also used as a clarifier for wines and as a source to obtain high purified gallic acid [9]. Other studies have also attributed that tannins obtained from Tara have anti-inflammatory, antifungal, antibacterial and antiseptic activities [7-10].
Studies on the interaction of tannins and polyphenols with Iron, forming different complexes, have shown that these reactions cause the quantity of quantifiable tannins in Tara powder to decrease, so it is important to determine the concentration of total Iron in samples as an additional quality parameter [11].
On the other hand, an important aspect to consider in the total tannin content is the effect of solar radiation on their production in Tara plants that grow higher above sea level. Previous studies have shown that the content of polyphenols is increased in plants that grow exposed to greater solar radiation, compared to those that were exposed to less radiation. [12]. In addition, the properties of Tara powder as a protector against the effect of solar radiation in animals were also studied, determining the reducing capacity against hydrogen peroxide, concluding that the aqueous extract of tara pods has an antioxidant protective effect in vitro, and in lipoperoxidation in rat liver against UV radiation, which showed that these compounds are affected by said radiation. [13].
Bolivia could be considered a producer and exporter of Tara for the international market. However, there is still no commercial supply of this tree or its by-products. In Bolivia, the production of Tara is concentrated in the departments of Cochabamba and Chuquisaca, in both cases the production occurs in the valleys, which in general are higher above sea level compared to Peruvian production. The samples studied in the present work were cultivated in regions of the Chuquisaca valley at altitudes above sea level that border 2200 meters.
It is estimated that the annual production of Bolivian Tara reaches 150 tons (the pod or fruit) of raw material, which 80 tons correspond to the production of the department of Cochabamba specifically in the municipalities of Tarata, Punata, San Benito, Totora, Cliza, Tiquipaya, Quillacollo and Vinto.
This study provides information on the chemical composition of the Bolivian Tara powder that grows at higher exposed altitudes and at higher solar radiation.
Methods and materials
Samples
The samples (aerial part) of Tara were collected in July 2019 in different locations of the department of Chuquisaca - Bolivia: Tomina (sample 1), Mojocoya - Yacambé (sample 2), Mojocoya - Redención pampa (sample 3) and Icla Jatun - Mayu (sample 4). Then the pods were dried and ground to obtain Tara powder.
Chemicals
Kjeltabs (89.74% sodium sulfate and 10.26% copper sulfate) from Thompson 𝛼 Capper Ltd. (Cheshire, UK), sulfuric acid, catechin, vanillin, phenolphthalein, sodium tungstate dihydrate, and sodium acetate from Sigma aldrich (San Luis, USA). Sodium hydroxide, boric acid, hydrochloric acid, sodium carbonate, tannic acid and phosphomolybdic acid from Biopack (Buenos Aires, Argentina) ethanol, methanol, hydroxylammonium chloride, phosphoric acid, 1,10 phenanthroline ammonium sulfate and Iron (II) hexahydrate from Merck (Darmstadt, Germany).
Moisture determination in Tara powder
For this determination, a Radwag MAC / PMC 110 / HC Moisture Balance (Warsaw, Poland) was used, with a precision of 0.01%, with 2 grams of sample.
Protein content in Tara powder (Kjeldahl method)
For the determination of proteins, an MBC series digester and a DNP series distiller, Raypa (Barcelona, Spain) were used. Digestion tubes 0.025 grams of powdered sample, 0.25 grams of catalytic mixture (Kjeltabs) and 0.2 mL of sulfuric acid were used. In the digester the temperature reached 380 ° C for 3 hours. Sulfuric acid vapors bubbled through a NaOH solution (in the scrubber) to be neutralized. After the solutions were cooled down at room temperature, 100 mL of distilled water were added and distilled (with 4% boric acid and phenolphthalein as indicator) the solution changed color to green. After distillation, the samples were titrated with a solution of HCl (0.1 M)
Total Tannins Spectrophotometric Quantification (AOAC Method 952.03)
For the spectrophotometric analyzes a BioTek plate reader (Illinois, USA) was used.
For the determination of total tannins, it was necessary to carry out a previous extraction, described below.
The extraction was carried out in a 10% ethanolic solution, using 5 grams of sample in 100 mL of solution at 50 ° C for 20 minutes under stirring. The filtered extracts were stored at 4 ° C.
For this determination, tannic acid (100 ppm - 500 ppm) and the ethanolic extracts of the Tara powder of the samples to be analyzed were used as standard. 0.5 mL of extract of each sample, 0.5 mL of Na2CO3 (35% w / v), 0.25 mL of Folin-Denis reagent and 4.2 mL of H2O were used.
300 µL of each solution was used in the reading plates and the absorbance at 420 nm was determined.
Condensed tannins, spectrophotometric determination in Tara powder (Vanillin method) [14]
For the determination of condensed tannins, it was necessary to carry out a previous extraction, described below.
The extraction was carried out in methanol, using 2 grams of sample in 40 mL of methanol at 30 ° C for 20 minutes under stirring. The filtered extracts were stored at 4 ° C.
For this determination, catechin in concentrations between 100 ppm and 500 ppm and the methanolic extracts of Tara powder were used as standard. 0.25 mL of each sample, 1.25 mL of methanolic solution (4% HCl and 0.5% vanillin) were used.
300 µL of each solution was used in the reading plates and the absorbance at 500 nm was determined.
pH Determination in Tara powder solutions
The pH was determined with a Denver instruments brand pH meter, model Ultrabasic (New York, USA) in 1% aqueous solutions of Tara powder.
Determination of the solubility
Aqueous solutions of 1% Tara powder were prepared at room temperature with stirring for 20 minutes, after filtering the solutions the weight of the powder that was not dissolved was determined.
Spectrophotometric determination of Iron powder from Tara (INCAP, method IV) [15]
To quantify Iron in the samples, it was necessary to eliminate the organic matter from the sample.
Obtaining of ashes: 0.5 grams of sample were used in the muffle at 450 ° C for 21 hours, after the samples are at room temperature, the inorganic part was weighed to determine the percentage of ash.
For this determination of Iron ammonium sulfate and iron (II) dihydrated (in concentrations between 0.3 and 4 ppm in Iron) and the Tara dust ashes (dissolved in 2 M HCl) were used as standard. 5 mL of sample was used, 0.5 mL of 10% hydroxylammonium chloride, 4 mL of the phenanthroline solution. 300 µL of each solution was used in the reading plates and the absorbance at l 511 nm was determined.
Chemical properties
Table 1 shows the determined values of the chemical properties in the Bolivian Tara samples collected in the department of Chuquisaca.

Chemical properties of the Bolivian Tara powder samples.
Comparing the data obtained with some studies made with Tara from other countries and with a study carried out in 2012 [16] on Bolivian Tara powder, the moisture values of the Bolivian samples are within the standard values of samples from other countries, grown in regions with different characteristics.
In samples from Valle de Mollepata - Cuzco (Peru) the reported value of humidity is 9.47% and the protein content is 4.52% [17], the protein content is higher than the values obtained in the present work, but the moisture is comparable with sample 1. The samples from Coina - La libertad (Peru province) present higher moisture with 11.63% [18] and the samples from La Ligua - Valparaíso (Chile) present lower moisture with 7.93% ± 0.12 and a protein content similar to that of the samples analyzed in the present work, 2.9% [19].
According to a study carried out in Peru on the dependence of the commercial value components with the maturity of Tara’s fruits, in the areas of Huari and Pachacámac, revealed 60 to 10% of moisture for a fruit extracted from the tree after 5.5 months of flowering and for a fruit extracted from the tree after 6.5 months of flowering, a decreasing of around 6% moisture with respect to the first one [20]. As a result of this research it is recommended to collect Tara pods between 5.5 and 6.5 months after flowering to ensure an adequate moisture level. Therefore, the variant for the samples to present a difference in moisture content is the maturity of the fruits at the time of harvest.
Total tannins and condensed tannins
As mentioned in the determination of total tannins and condensed tannins section, standard curves were elaborated, on different days, with gallic acid and tannic acid as standards respectively, both with an R correlation value of 0.999. The values obtained are shown in table 2. The value of total tannins is the sum of the condensed tannins and the hydrolyzable tannins, therefore, the amount of hydrolyzable tannins can be determined by subtracting these two values.

Total and condensed tannins content in samples of Bolivian Tara powder
According to the global trade channels about the requirements for the Tara trade numbers: the price difference of Tara powder is proportional to the tannins content. For instance, the price will decrease dramatically when total tannins content is below 50% and will be more than 250 dollars per ton when it is above 64%. In general, the minimum value parameters for commercial use is a tannin content of at least 48% (according to the "Tannin Corporation" from US), a moisture of less than 13% and a pH between 3 and 4 [21]. The samples of Bolivian Tara from the present study have shown a much higher percentage of total tannins than the required standards, they comply the moisture and pH standards, thus, the expected price could be high. Another important factor for best quality of the product is a lower iron content, due to the formation of tannins-iron complexes and the consequent decrease in activity [21].
As mentioned above, the maturity of Tara fruits and the tannin content in Tara powder are in the inverse ratio [20]. For example, in the Huari area a fruit taken from the tree at 2.5 months after flowering has 63% total tannins and decrease to a 60% at 5.5 months after flowering, and in the case of the Pachacámac zone, 2.5 months after flowering the pods present 62% total tannins and decreased to 56% in pods collected in the sixth month after flowering [20]. Therefore, for a higher tannin content, it would be advisable to harvest the Tara pods between the second and third month after flowering, although this implies a higher amount of moisture. As a result of this study, the decrease in tannin content is due to the fact that the concentration of phenolic compounds is lower as the fruit is more mature.
This relationship could explain that, in the results of the samples of the present work, sample 1 has higher in moisture and higher in tannin content (less mature) and sample 4 had a lower tannin content and lower moisture (more mature). To ensure that all production has equal percentages (with very small variations) in tannin and moisture content, it can be harvested taking into account the recommended time after flowering, between 5.5 and 6.5 months.
Comparison of data obtained in the present work with data from previous works.

Comparison of total and condensed tannins with previous studies.
Table 3 shows the values obtained in the present work and those obtained in the bibliography of Bolivian and Peruvian samples for comparative purposes. Neither the exact location and height above sea level of the samples previously studied in Bolivia by Castell J. 2012 nor the Peruvian Tara in two previous studies are specified. The percentages of tannins are less than those obtained in the present work.
Previous studies in other species have shown the effect of solar radiation on the content of phenols and total tannins, achieving a significant increase in those samples [12,23,24]. The study carried out in Smilax campestris –Smilacaceae, a plant from Gualeguaychú, Balneario Ñandubaysal, Argentina, reported that the concentration of total phenols (mg of tannic acid / gram of dry sample) was 15.09 ± 3.27 with low solar radiation and 27 ± 4.72 with high solar radiation after a time of exposition, this difference was also observed in the concentration of total tannins (mg tannic acid / gram of dry sample) which was 1.2 ± 0.24 with low solar radiation and 8.21 ± 1.3 with high solar radiation [12].
The high content of tannins determined in the present work is due to prolonged exposition to high altitude solar radiation. For instance, the Peruvian Tara reported by Briceño and Rios in 2012 [18] grows at 1942 meters above the sea level while the samples from the department of Chuquisaca grow at altitudes between 2469 and 2890 meters above sea level. It is necessary to do more specific studies, to verify that the high tannin content is due to the higher UV solar radiation or if there are other factors that influence the tannins’ biosynthesis in this species. For example, in the work of Taquichiri in 2014 [24], on the high content of resveratrol in Bolivian grapes grown in the high valleys of Bolivia, it is suggested that, in addition to high altitude solar radiation the time of exposure is an important parameter to be considered.
With the characterization of tannins carried out in the present study, it is shown that the Bolivian Tara presents high concentrations of total tannins in comparison with values reported in the bibliography, which could be attributable to the influence of solar radiation as they are samples obtained from high valleys on the sea level. Parameters such as pH, solubility and humidity are within the ranges comparable with bibliography and required for its commercialization.
The authors thank the Society for International Development Cooperation (SOCODEVI) and the Swedish cooperation agency (SIDA) for funding this research.

Hydrolysis of hydrolyzable tannins

Proanthocyanidin B2.

Chemical properties of the Bolivian Tara powder samples.

Total and condensed tannins content in samples of Bolivian Tara powder

Comparison of total and condensed tannins with previous studies.