INDICADORES DE RIESGO ATEROGÉNICO COMO PREDICTORES DE SÍNDROME METABÓLICO EN UNA POBLACIÓN DEL MUNICIPIO SIFONTES DEL ESTADO BOLÍVAR, VENEZUELA
ATHEROGENIC RISK INDICATORS AS PREDICTORS OF METABOLIC SYNDROME IN A POPULATION IN THE SIFONTES MUNICIPALITY OF BOLÍVAR STATE, VENEZUELA
INDICADORES DE RIESGO ATEROGÉNICO COMO PREDICTORES DE SÍNDROME METABÓLICO EN UNA POBLACIÓN DEL MUNICIPIO SIFONTES DEL ESTADO BOLÍVAR, VENEZUELA
SABER. Revista Multidisciplinaria del Consejo de Investigación de la Universidad de Oriente, vol. 28, núm. 2, pp. 221-229, 2016
Universidad de Oriente
Recepción: 15 Mayo 2015
Aprobación: 15 Enero 2016
Resumen: Las enfermedades cardiovasculares representan actualmente las mayores tasas de morbilidad a nivel mundial, constituyéndose como una de las primordiales causas de discapacidad y muerte prematura. Hasta el presente, una de las principales condiciones que predisponen al desarrollo de enfermedades cardiovasculares es el síndrome metabólico, debido a su característica dislipidemia aterogénica. En tal sentido, el presente estudio tuvo como objetivo evaluar tres indicadores de riesgo aterogénico como predictores de síndrome metabólico. Para ello, participaron de forma voluntaria 52 individuos con síndrome metabólico y 52 individuos sin síndrome metabólico. Se determinaron parámetros antropométricos, hemodinámicos y bioquímicos, incluidos los tres indicadores de riesgo aterogénico: índice aterogénico, índice triglicéridos/HDL y colesterol no-HDL. Las características bioquímicas (excepto HDL), antropométricas y hemodinámicas mostraron diferencias significativas entre los dos grupos (p < 0,05) ya que los valores fueron relevantemente más altos en los sujetos con síndrome metabólico. El análisis de curvas ROC demostró que los tres indicadores poseen capacidad predictiva de síndrome metabólico (p < 0,05), y a pesar que las áreas bajo la curva fueron distintas entre sí, estas diferencias no fueron significativas (p > 0,05). Además, el índice aterogénico y el colesterol no-HDL obtuvieron puntos de corte discriminativos próximos a sus valores de referencia. Se concluye, que los tres indicadores de riesgo aterogénico pueden emplearse como predictores de síndrome metabólico.
Palabras clave: Enfermedades cardiovasculares, dislipidemia, resistencia a la insulina.
Abstract: Cardiovascular diseases currently represent the highest rates of morbidity worldwide, becoming one of the primary causes of disability and premature death. Currently, one of the main conditions that predispose to cardiovascular disease is metabolic syndrome, due to its characteristic atherogenic dyslipidemia. The purpose of this study was to evaluate 3 atherogenic risk indicators as predictors of metabolic syndrome. For this, 52 volunteer subjects with metabolic syndrome and 52 subjects without metabolic syndrome were studied. Anthropometric, hemodynamic and biochemical parameters were determined, including the 3 atherogenic risk indicators: atherogenic index, triglycerides / HDL index and non-HDL cholesterol. The biochemical characteristics (except HDL), anthropometric and hemodynamic showed significant differences between the two groups (p < 0.05) since the values were relevantly higher in subjects with metabolic syndrome. Correlation between the number of altered indicators and other parameters (except HDL) was significant (p < 0.05). ROC curve analysis showed that the 3 indicators have predictive ability of metabolic syndrome (p < 0.05), and although the areas under the curve were different from each other, these differences were not significant (p > 0.05). In addition, the atherogenic index and non-HDL cholesterol showed discriminative cut points close to their reference values. In conclusion, the 3 atherogenic risk indicators studied can be used as predictors for metabolic syndrome.
Keywords: Cardiovascular disease, dyslipidemia, insulin resistance.
INTRODUCCIÓN
El síndrome metabólico (SM) es considerado actualmente como un grupo de factores de riesgo asociados al desarrollo de diabetes mellitus tipo 2 (DM2) y enfermedades cardiovasculares (ECV), caracterizado por la existencia de resistencia a la insulina (RI), hiperinsulinismo compensatorio, alteraciones en el metabolismo de los carbohidratos y lípidos, presión arterial alta y obesidad abdominal (OA) (Meisinger et al. 2006, Pineda 2008, Acosta 2011, González 2012, Córdova et al. 2014).
La fisiopatología ampliamente descrita para el SM ha estado sometida a diversas posturas por parte de la comunidad científica, de hecho, la relación entre sus componentes no está totalmente dilucidada. Sin embargo, la RI y el exceso de grasa corporal son los factores que más predominan en las explicaciones, considerando a la obesidad como el eje central del síndrome y a la RI como principal consecuencia de la misma. Lo anterior, ha permitido aceptar a la célula adiposa como una unidad proinflamatoria y activamente responsable del SM (Grundy 2007, Martínez et al. 2009).
El incremento de la grasa abdominal no es el único elemento causal de RI, pero si se considera que la OA condicionaría su aparición. El manejo ineficaz del excedente calórico por parte del tejido graso visceral ocasionaría hipertrofia del adipocito, convirtiéndolo en una célula proinflamatoria, caracterizada por elevar la concentración de ácidos grasos libres (AGL) en sangre, los cuales han demostrado ser inductores directos de RI. Se cree que el exceso de grasa visceral es más perjudicial que el exceso de grasa subcutánea, ya que la lipólisis ocurrida en el primero liberaría AGL directamente al hígado, órgano que junto al tejido muscular serían los blancos para la RI (Appel et al. 2005, Dandona et al. 2005, Johnson y Weinstock 2006, Morales 2006, Weinberg 2006, Goh et al. 2007).
La sobrecarga de AGL genera en el tejido hepático un incremento en la liberación de glucosa, triglicéridos (TG) y disminución del colesterol HDL (cHDL). El hallazgo simultáneo de hipertrigliceridemia con cHDL bajo se le conoce como dislipidemia aterogénica. Sin embargo, en sujetos con SM los valores de colesterol LDL (cLDL) pueden mantenerse similares a los individuos sanos, pero molecularmente se tornan pequeñas y densas, convirtiéndose en altamente aterogénicas; esta característica morfológica puede también estar presente en la VLDL, IDL y los remanentes de quilomicrón (Millán et al. 2007, Posadas 2007).
Las alteraciones proaterogénicas en las lipoproteínas mencionadas podrían atribuirse al aumento de los TG y AGL, ya que estos potencian la actividad de la proteína transferente de ésteres de colesterilo (PTEC), principal enzima que traspasa ésteres de colesterol desde las moléculas de HDL a las de LDL y VLDL; ocasionando así que moléculas potencialmente aterogénicas se enriquezcan de colesterol y se desvíe éste último de su ruta de aclaramiento, recordando que las moléculas de HDL son las encargadas de transportar el colesterol desde los tejidos hacia el hígado donde se elimina en forma de ácidos biliares. Esta mayor actividad de la PTEC explicaría la disminución en las concentraciones de cHDL y el aumento en el colesterol de las lipoproteínas no HDL (Raz et al. 2005, Aguilera et al. 2006, Glueck et al. 2009).
Estos eventos pueden conllevar ciertamente al desarrollo de ECV, específicamente aquellas vinculadas con aterogénesis y posterior aterosclerosis. La teoría aterogénica más aceptada actualmente sostiene que la génesis del ateroma ocurre cuando las partículas con apolipoproteína B (ApoB) son secuestradas subendotelialmente. Ciertas características lipoprotéicas y endoteliales predisponen a dicha inmovilización: tamaño molecular, carga eléctrica neta, composición bioquímica, concentración plasmática, permeabilidad del endotelio y tiempo de exposición endotelial a estas moléculas (Williams y Tabas 1995, McCrindle et al. 2007, TCNMPD 2014).
Aunque la LDL es la principal lipoproteína aterogénica, otras moléculas como la lipoproteína(a), VLDL, IDL y los quilomicrones remanentes exhiben también potencial aterogénico. Las lipoproteínas retenidas son agregadas y oxidadas, desencadenando reacciones fisiopatológicas como la producción de proteína quimiotáctica de monocitos-1, caracterizada por la migración de monocitos al subendotelio, los cuales al diferenciarse en macrófagos fagocitan las lipoproteínas modificadas convirtiéndose en células espumosas (Nakashima et al. 2002, Khalil et al. 2004, Twickler et al. 2005, Genser y Marz 2006, Nakashima et al. 2008, TCNMPD 2014).
Evidentemente, el incremento de lipoproteínas potencialmente aterogénicas, aunado a la reducción de cHDL, representan fenómenos bioquímicos iniciales y cruciales en la formación de la placa ateromatosa, es decir, elevación del riesgo aterogénico (RA). Por ello, adicionalmente a la cuantificación rutinaria del perfil lipídico (colesterol total, TG, cLDL, cHDL y cVLDL), se han propuesto diversos indicadores de riesgo aterogénico (IRA), basados en simples cálculos aritméticos entre las fracciones de dicho perfil. Estos IRA han demostrado tener mayor valor predicitivo que las propias fracciones por separado (Yussuf et al. 2004, Millán et al. 2010).
En 1984, el Dr. William Castelli señaló que una simple operación aritmética entre el colesterol total (CT) y el cHDL sería un excelente predictor de riesgo coronario, recomendando mantener un cociente CT/cHDL < 4,5 e iniciar alguna terapia hipolipemiante cuando dicho cociente fuese ≥ 4,5. Este cálculo es conocido mundialmente como índice aterogénico (IA) o índice de Castelli y es el más empleado para medir RA (Castelli 1984, Siniawski et al. 2011).
Últimamente se ha sugerido el uso del colesterol no-HDL (No-cHDL) como una herramienta para evaluar RA. El No-cHDL se define como la diferencia entre el valor de CT y el cHDL, de esta manera no solo incluye al colesterol de la LDL, sino que comprende las fracciones presentes en las IDL, VLDL y quilomicrones remanentes, que en sujetos con SM o DM2 pueden ser moléculas pequeñas y densas, altamente aterogénicas. El empleo del No-cHDL para predecir riesgo de muerte por ECV ha sido comprobado en diversos trabajos, pero paradójicamente no se ha evaluado ampliamente como predictor de RA. El hallazgo de No-cHDL ≥ 130 mg/dL ha evidenciado ser un predictor de mortalidad, tan bueno o superior al cLDL (Cui et al. 2001, Frontini et al. 2007, Contreras et al. 2008).
Debido a la asociación entre dislipidemia aterogénica y RI, uno de los índices para evaluar su relación es justamente el índice TG/cHDL. Este cociente fue propuesto para detectar en forma rápida y sencilla a individuos con riesgo elevado de ECV de origen aterogénico. Este cociente es inversamente proporcional al diámetro de la LDL y ha sido postulado como una herramienta útil en la identificación de individuos con alto RA cuando su valor es ≥ 3,5 (McLaughlin et al. 2005).
La ventaja en la aplicación del IA, el No-cHDL y el TG/cHDL como IRA radica no solamente en la información clínica que ofrecen sino en su fácil obtención, pudiéndose calcular de forma rutinaria con los valores de CT, TG y cHDL. Además, el IA y el No-cHDL poseen dos ventajas adicionales: primero, pueden emplearse en pacientes sin previo ayuno debido a la regulación endógena del colesterol; segundo, no se sesgan por la hipertrigliceridemia postprandial como en el caso del TG/cHDL y la fórmula de Friedewald para el cálculo de cLDL (Yussuf et al. 2004, Contreras et al. 2008, Millán et al. 2010).
Son varios los estudios que han evaluado la asociación y capacidad predictora de estos indicadores en diferentes grupos de individuos, particularmente en aquellos que presentan obesidad, RI, SM, DM2 y síndrome de ovario poliquístico (SOP), condiciones todas vinculadas al desarrollo de ECV de tipo aterogénico (Múscolo et al. 2004, Cordero et al. 2008, Hadaegh et al. 2009, Acevedo et al. 2012, Domingo 2012). Tomando en cuenta que los IRA más discutidos como predictores de condiciones predisponentes de ECV han sido el IA, No-cHDL y TG/cHDL, se decidió evaluar la capacidad predictora de esos indicadores en adultos con SM en una población del municipio Sifontes del estado Bolívar, Venezuela.
MATERIALES Y MÉTODOS
Participaron voluntariamente y por escrito, previa charla explicativa, 104 adultos de ambos géneros (52 con SM y 52 sin SM), los cuales asistieron en estado de ayuno previo al laboratorio clínico del Hospital Tipo I Dr. José Gregorio Hernández, municipio Sifontes del estado Bolívar, durante el periodo octubre-noviembre de 2013. En cada paciente se determinó la circunferencia abdominal (CA), presión arterial, CT, TG, cHDL y glucosa, así como también IA, No-cHDL y TG/cHDL. Para la cuantificación de los analitos bioquímicos se emplearon métodos enzimático-colorimétricos Wiener lab®.
La identificación de adultos con SM se basó en los criterios unificados por la “armonización” de 2009 realizada por la International Diabetes Federation (IDF), la American Heart Association (AHA), el National Heart, Lung and Blood Institute (NHLBI), la World Heart Federation (WHF), la International Atherosclerosis Society (IAS) y la International Association for the Study of Obesity (IASO), los cuales comprenden la presencia de al menos tres de las siguientes alteraciones: TG ≥150 mg/dL o tratamiento farmacológico, cHDL < 40 mg/dL en hombres y < 50 mg/dL en mujeres o tratamiento farmacológico, presión arterial sistólica (PAS) ≥ 130 mmHg, presión arterial diastólica (PAD) ≥ 85 mmHg o tratamiento antihipertensivo, glucemia en ayunas ≥ 100 mg/dL o tratamiento farmacológico, y OA medida por la CA, cuyos puntos de corte fueron los sugeridos por el GLESMO (Grupo Latinoamericano para el Estudio del Síndrome Metabólico) para individuos hispanoamericanos, es decir, CA ≥ 90 cm para mujeres y CA ≥ 94 cm para hombres (Alberti et al. 2009, Aschner et al. 2011, González 2012).
Se aplicó estadística descriptiva e inferencial, utilizando la hoja de análisis de datos de SPSS versión 20.0 y MedCalc versión 14.12.0. Primero se contrastó la distribución de cada variable con la de Gauss (paramétrica) mediante la prueba de Kolmogorov-Smirnov. Para comparaciones entre variables paramétricas se empleó t de Student de muestras independientes y para capacidad predictiva el análisis de curvas ROC (Receiver Operating Characteristic). Todos los análisis fueron significativos solo si p < 0,05.
RESULTADOS
En la Tabla 1 se muestran las características bioquímicas, antropométricas y hemodinámicas obtenidas de los pacientes adultos según la presencia de SM. Se observa que, a excepción del cHDL, los demás parámetros determinados reflejaron valores significativamente más altos en el grupo con SM que en el grupo sin esta condición (p < 0,05). Nótese que a pesar que las concentraciones de cHDL no evidenciaron diferencias significativas (t = 0,8; p > 0,05), los valores de los IRA si: IA (t = 3,3; p < 0,05), no-cHDL (t = 5,8; p < 0,05), TG/cHDL (t = 3,7; p < 0,05).


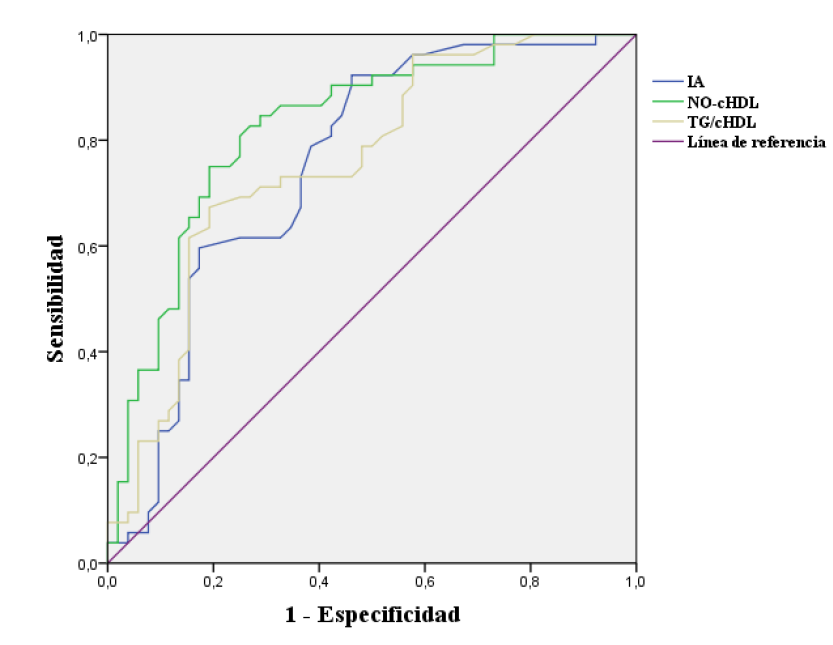
En la Tabla 2 se presenta la capacidad predictora de los IRA en adultos con SM, para ello se utilizó el análisis de curvas ROC. Se observa que la área bajo la curva (ABC) de cada indicador fue significativamente mayor que la línea de referencia: IA (ABC = 0,752, p < 0,05), No-cHDL (ABC = 0,826; p < 0,05) y TG/cHDL (ABC = 0,758; p < 0,05); de hecho, el límite inferior de los intervalos de confianza (IC) fue siempre mayor que la mencionada línea, estandarizada como ABC = 0,500. Lo anterior señala que los tres indicadores poseen capacidad predictiva de SM. Nótese que a pesar que el No-cHDL mostró mayor ABC que el TG/cHDL y el IA, la diferencia entre áreas no fue significativa (p > 0,05).
Asimismo, se muestra el punto de corte (PC) de cada indicador donde su sensibilidad y especificidad para SM fueron máximas: IA (PC = 4,4), No-cHDL (PC = 125) y TG/cHDL (PC = 4,7). Como se aprecia, los PC para IA y No-cHDL resultaron próximos a sus valores de referencia, no siendo así para TG/cHDL. En la Figura 1 se visualiza las curvas ROC de los IRA evaluados.

DISCUSIÓN
El SM representa un factor de riesgo reconocido para el desarrollo de ECV de origen aterosclerótico, como la cardiopatía coronaria y la enfermedad vascular cerebral. Existen indicadores de riesgo aterogénico que si bien son de fácil y rutinaria obtención, han demostrado ser parámetros útiles, incluso más que el perfil lipídico convencional, no solamente en la identificación de individuos con RA alto sino de individuos con SM.
Se determinaron las características bioquímicas, antropométricas y hemodinámicas de los pacientes según la presencia de SM, observándose diferencias relevantes en el CT, TG, glucosa, IA, No-cHDL, TG/cHDL, CA, PAS y PAD, los cuales exhibieron cifras significativamente más altas en el grupo con SM que en el grupo sin esta condición. Estos hallazgos son análogos a los informados por autores que realizaron estas comparaciones también en individuos con SM, con RI y con DM2 (Múscolo et al 2004, Contreras et al. 2008, Rigo et al. 2009, González et al. 2011, Domingo 2012, Viso et al. 2013, Gotthelf 2014). La obesidad abdominal, HTA, dislipidemia y alteraciones del metabolismo de los carbohidratos son condiciones que se asocian frecuentemente al SM, representando un mayor riesgo de ECV en la persona afectada (Martínez et al. 2009).
En cuanto al cHDL, fue el único parámetro que no evidenció diferencias significativas entre los pacientes con y sin SM, de hecho, los valores promedios en ambos grupos se ubicaron por debajo de los puntos de corte de la “armonización” de 2009 coincidiendo con lo hallado en trabajos similares (González et al. 2011, Viso et al. 2013). Sin embargo, difiere de otros estudios en los cuales se encontraron valores significativamente más bajos de cHDL en los grupos con SM (Múscolo et al. 2004, Contreras et al. 2008, Rigo et al. 2009, Domingo 2012). Es importante señalar que la población de origen hispano tiende a mostrar valores bajos de cHDL debido a polimorfismos genéticos, por ejemplo en el gen ABCA1, que afecta la síntesis de las partículas de HDL (Villareal et al. 2007).
Ahora bien, a pesar que no se constató diferencias en el cHDL, es notorio que los IRA estuviesen significativamente más altos en los adultos con SM, pues para el cálculo de estos indicadores es necesario el cHDL. De ello se deduce el alto poder diferenciador de RA que presentan los IRA. Cuando se compara el CT, el cHDL y los IRA entre una población aparentemente sana y otra de sobrevivientes de infarto al miocardio, se comprueba que los IRA presentan mayor diferencia entre grupos. De hecho, individuos con concentraciones iguales o semejantes de CT, TG o cHDL, pueden reflejar un RA diferente al hacerse los cálculos de los IRA (Millán et al. 2010, Argüeso et al. 2011).
Se realizó el análisis de curvas ROC para cada IRA con base en la presencia de SM. Se pudo advertir que la ABC de cada indicador fue significativamente superior a la línea de referencia, indicando que los tres poseen capacidad predictiva de RA vinculada al SM; de hecho, los IC abarcaron estimaciones siempre mayores a la señalada línea. Asimismo, se observó que el No-cHDL exhibió la ABC más alta, seguido del TG/cHDL y del IA, sin embargo, esta diferencia no fue significativa; es decir, si bien el No-cHDL fue el indicador con mayor ABC, esta superioridad respecto a los otros indicadores no fue estadísticamente relevante. Estos hallazgos fueron diferentes a estudios similares donde informaron que el marcador con mayor capacidad predictiva era el TG/cHDL, seguido del IA y el No-cHDL (Múscolo et al. 2004, Cordero et al. 2008, Hadaegh et al. 2009, Domingo 2012).
Es importante resaltar que la mayoría de los autores anteriormente citados realizaron sus investigaciones a partir de grandes grupos poblacionales de Europa y el Medio Oriente. Además, clasificaron a los sujetos con SM según los criterios del ATP III, mientras que en el presente trabajo se emplearon los criterios unificados de la IDF, AHA, NHLBI, WHF, IAS y IASO, conjuntamente con los valores de CA para individuos hispanoamericanos propuestos por el GLESMO (Alberti et al. 2009, Aschner et al. 2011, González 2012).
Igualmente, es importante acotar que si bien esas investigaciones emplearon cantidades muestrales superiores a la del presente estudio, se dejó por sentado la supremacía del TG/cHDL sobre los otros indicadores sin haber aplicado algún estadístico comparativo, para afirmar si esa diferencia era o no significativa (Múscolo et al. 2004, Cordero et al. 2008, Hadaegh et al. 2009, Domingo 2012). Al respecto, Cerda y Cifuentes (2012) explican que para poder afirmar (y no sugerir) que existe una diferencia significativa entre un método y otro es necesario comparar las ABC mediante los estadísticos respectivos, puesto que es una práctica frecuente, por parte de algunos investigadores, afirmar que un método tiene mayor capacidad predictiva o discriminativa que otro, solamente porque su ABC es numéricamente mayor.
El análisis de curvas ROC también permitió conocer el PC de cada indicador, valor que expresó de forma simultánea la máxima sensibilidad y especificidad con respecto al SM. En cuanto al IA y el No-cHDL los PC resultaron próximos a sus valores de referencia (IA: 4,4 vs. 4,5 y No-cHDL: 125 mg/dL vs. 130 mg/dL); es decir, que los valores comúnmente utilizados para estos indicadores podrían servir para predecir SM con base en la existencia de RA alto, por lo menos en la población estudiada. Respecto al TG/cHDL, el PC obtenido fue evidentemente distinto a su valor de referencia (4,7 vs. 3,5), situándose claramente por encima de este. En trabajos semejantes solo señalaban el PC hallado para TG/cHDL, el cual iba de 1,7 a 6,9, según cada estudio (Cordero et al. 2008, Hadaegh et al. 2009, Domingo 2012). Sin embargo, por ser el tamaño muestral una limitante principal en esta investigación, se hace necesario ampliar la investigación a nivel regional, empleando cantidades muestrales considerables o representativas para efectuar así aproximaciones más generales respecto al tema.
CONCLUSIONES
Los tres indicadores de riesgo aterogénicos evidenciaron tener capacidad predictora de síndrome metabólico. Los valores de referencia del IA y del No-cHDL podrían servir para predecir SM en individuos con RA alto, por lo menos en la población evaluada.
Referencias
Acevedo M, Krämer V, Tagle R, Corbalán R, Arnaíz P, Berríos X, Navarrete C. 2012. Relación colesterol total/cHDL y colesterol no HDL: los mejores indicadores lipídicos de aumento de grosor de la íntima media carotídea. Rev. Med. Chile. 140(1):969-976.
Acosta E. 2011. Vigencia del síndrome metabólico. Acta Bioquím. Clín. Latinoam. 45(3):423-30.
Aguilera M, Gil M, Canate R, Gil A. 2006. Alteraciones del metabolismo lipídico en la obesidad. Rev. Esp. Obes. 4(5):261-74.
Alberti K, Eckel R, Grundy S, Zimmet P, Cleeman J, Donato K, Fruchart J, James P, Loria C, Smith S. 2009. Harmonizing the metabolic syndrome. A joint interim statement of the international diabetes federation task force on epidemiology and prevention, National Heart, Lung, and Blood Institute, American Heart Association, World Heart Federation, International Atherosclerosis Society, and International Association for the Study of Obesity. Circulation. 120(1):1640-1645.
Appel S, Harrell J, Davenport M. 2005. Central obesity, the metabolic syndrome, and plasminogen activator inhibitor-1 in young adults. J. Am. Acad. Nurse Pract. 17(1):535-541.
Argüeso R, Díaz J, Díaz J, Rodríguez A, Castro M, Diz-Lois F. 2011. Lípidos, colesterol y lipoproteínas. Galicia Clin. 72(Supl.1):S7-S17.
Aschner P, Buendía R, Brajkovich I, González A, Figueredo R, Juárez X, Uriza F, Gómez A, Ponte C. 2011. Determination of the cutoff point for waist circumference that establishes the presence of abdominal obesity in Latin American men and women. Diabetes Res. Clin. Pract. 93(1):243-247.
Castelli W. 1984. Epidemiology of coronary heart disease: The Framingham Study. Am. J. Med. 76(2ª):4-12.
Cerda J, Cifuentes L. 2012. Uso de Curvas ROC en investigación clínica. Aspectos teórico-prácticos. Rev. Chil. Infect. 29(2):138-141.
Contreras F, Lares M, Castro J, Magaldi L, Velasco M. 2008. Determinación de colesterol No-HDL en pacientes diabéticos e hipertensos. Arch. Venez. Farmacol. Ter. 27(1):78-80.
Cordero A, Laclaustra M, León M, Casasnovas J, Grima A, Luengo E, Ordóñez B, Bergua C, Bes M, Pascual I, Alegría E. 2008. Comparison of serum lipid values in subjects with and without the metabolic syndrome. Am. J. Cardiol. 102(1):424-428.
Córdova V, Castro G, Rubio A, Hegewisch M. 2014. Breve crónica de la definición de síndrome metabólico. Med. Int. Méx. 30(1):312-328.
Cui Y, Blumenthal S, Flaws J, Whiteman M, Langenberg P, Bachorik P, Bush T. 2001. Non-High Density Cholesterl level as a predictor of cardiovascular disease mortality. Arch. Inter. Med. 161(1):1413-1419.
Dandona P, Aljada A, Chaudhuri A, Mohanty P, Garg, R. 2005. Metabolic syndrome: A comprehensive perspective based on interactions between obesity, diabetes, and inflammation. Circulation. 111(1):1448-1454.
Domingo F. 2012. Utilidad de los índices aterogénicos como marcadores biológicos en el síndrome metabólico. Madrid: Universidad Complutense de Madrid, Facultad de Medicina, Departamento de Medicina [Disertación Doctorado], pp. 111.
Frontini M, Srinivasan S, Xu J, Tang R, Bond M, Berenson G. 2007. Utility of non-high-density lipoprotein cholesterol versus other lipoprotein measures in detecting subclinical atherosclerosis in young adults (the Bogalusa heart study). Am. J. Cardiol. 100(1):64-68.
Genser B, Marz W. 2006. Low density lipoprotein cholesterol, statins and cardiovascular events: a meta-analysis. Clin. Res. Cardiol. 95(1):393-404.
Glueck C, Khan N, Umar M, Uppal M, Ahmed W, Morrison J, Goldenberg M, Wang P. 2009. Insulin resistance and triglycerides. J. Invest. Med. 57(1):874-881.
Goh T, Mason T, Gupta N, So A, Lam T, Lam L, Lewis G, Mari A, Giacca A. 2007. Lipid-induced beta-cell dysfunction in vivo in models of progressive beta-cell failure. Am. J. Physiol. Endocrinol. Metab. 292(1):549-560.
González A, Simental L, Elizondo S. 2011. Relación triglicéridos/colesterol-HDL elevada y resistencia a la insulina. Cir. Cir. 79(2):126-131.
González J. 2012. Síndrome metabólico: ¿Queda espacio para este concepto? Rev. Venez. Endocrinol. Metab. 10(1):20-27.
Gotthelf S. 2014. Indicador TG/HDL en adolescentes escolarizados de la Provincia de Salta, Argentina 2013. Rev. Fed. Arg. Cardiol. 43(1):18-24.
Grundy S. 2007. Metabolic syndrome: A multiplex cardiovascular risk factor. J. Clin. Endocrinol. Metab. 92(1):399-404.
Hadaegh F, Khalili D, Ghasemi A, Tohidi M, Sheikholeslami F, Azizi F. 2009. Triglyceride/HDL-cholesterol ratio is an independent predictor for coronary heart disease in a population of Iranian men. Nutr. Metab. Cardiovasc. Dis. 19(6):401-408.
Johnson L, Weinstock R. 2006. The metabolic syndrome: Concepts and controversy. Mayo Clin. Proc. 8 (1):1615-1620.
Khalil M, Wagner W, Goldberg I. 2004. Molecular interactions leading to lipoprotein retention and the initiation of atherosclerosis. Arterioscler. Thromb. Vasc. Biol. 24(1):2211-2218.
Martínez G, Alonso R, Novik V. 2009. Síndrome metabólico. Bases clínicas y fisiopatológicas para un enfoque terapéutico racional. Rev. Med. Chile. 137(1):685-694.
McCrindle B, Urbina E, Dennison B, Jacobson M, Steinberger J, Rocchini A, Hayman L, Daniels S. 2007. Drug therapy of high-risk lipid abnormalities in children and adolescents: a scientific statement from the American Heart Association Atherosclerosis, Hypertension, and Obesity in Youth Committee, Council of Cardiovascular Disease in the Young, with the Council on Cardiovascular Nursing. Circulation. 11(1):1948-1967.
McLaughlin T, Reaven G, Abbasi F, Lamendola C, Saad M, Waters D, Simon J, Krauss R. 2005. Is there a simple way to identify insulin-resistant individuals at increased risk of cardiovascular disease? Am. J. Cardiol. 96(3):399-404.
Meisinger C, Koletzko B, Heinrich J. 2006. Metabolic syndrome: Older than usually assumed, but still too young to die. Clin. Chem. 52(1):897-898.
Millán J, Ascaso J, González P, Hernández A, Mangas A, Masana L, Pallardo L, Botet J, Pérez F, Pintó X, Plaza I, Rubiés J, Zúñiga M. 2007. Dislipemia del síndrome metabólico. Documento sumario del foro HDL. Av. Diabetol. 23(2):111-123.
Millán J, Pintó, X, Muñoz A, Zúñiga M, Rubiés J, Pallardo L, Masana L, Mangas A, Hernández A, González P, Ascaso J, Botet J. 2010. Cocientes lipoprotéicos: significado fisiológico y utilidad clínica de los índices aterogénicos en prevención cardiovascular. Clin. Invest. Arterioscl. 22(1):25-32.
Morales E. 2006. Síndrome X vs syndrome metabolic: Entendiendo sus coincidencias y sus diferencias hacia una “nueva cardiología”. Arch. Cardiol. Mex. 76(4):173-188.
Múscolo J, D´Ambrosio M, Núñez M, Trebisacce C, Lastretti G, Doallo C, Palma A, Sijerkovich, V, García R, Wikinski R, Brites F. 2004. Síndrome metabólico en mujeres obesas. Evaluación de biomarcadores de resistencia insulínica y lipoprotéicos. Acta Bioquím. Clín. Latinoam. 38(4):481-488.
Nakashima Y, Chen Y, Kinukawa N, Sueishi K. 2002. Distributions of diffuse intimal thickening in human arteries: preferential expression in atherosclerosis-prone arteries from an early age. Virchows Arch. 441(1):279-288.
Nakashima Y, Wight T, Sueishi K. 2008. Early atherosclerosis in humans: Role of diffuse intimal thickening and extracellular matrix proteoglycans. Cardiovasc. Res. 79(1):14-23.
Pineda C. 2008. Síndrome metabólico: definición, historia, criterios. Colomb. Med. 39(1):96-106.
Posadas C. 2007. Aspectos fisiopatológicos del síndrome metabólico. Arch. Cardiol. Mex. 77(4):42-47.
Raz I, Eldor R, Cernea S, Shafrir E. 2005. Diabetes: insulin resistence and derangements in lipid metabolism. Cure Through intervention in fat transport and storage. Diabetes Med. Res. Rev. 21(1):3-14.
Rigo J, Vieira J, Dalacorte R, Reichert C. 2009. Prevalencia del síndrome metabólico en adultos mayores. Comparación entre tres métodos diagnósticos. Arq. Bras. Cardiol. 93(2):82-88.
Siniawski D, Masson W, Sorroche P, Casañas L, Krauss J, Cagide A. 2011. Correlación entre las razones apolipoproteína B/apolipoproteína A1 y colesterol total/colesterol-HDL en una población saludable: ¿debería actualizarse el índice de Castelli? Rev. Argent. Cardiol. 79(1):1-6.
TCNMPD. 2014. Capítulo 1: Patogénesis de la aterosclerosis. Avances Cardiol. 34(Supl 2):S11-S16.
Twickler T, Dallinga-Thie G, Chapman M, Cohn J. 2005. Remnant lipoproteins and atherosclerosis. Curr. Atheroscler. Rep. 7(1):140-147.
Villareal M, Aguilar C, Rodríguez M, Riaño D, Villalobos M, Coral R, Menjivar M, Yescas P, Königsoerg M, Romero S, Tusie M, Canizales S. 2007. The ATP-binding cassette transporter A1 R230C variant affects HDL cholesterol levels and BMI in the Mexican population: Association with obesity and obesity-related comorbidities. Diabetes. 56(7):1881-1887.
Viso S, Rodríguez Z, Aponte L, Barboza A, Barreto P, Villamizar M. 2013. Insulinorresistencia, obesidad y síndrome metabólico. Cohorte CDC de Canarias en Venezuela. Salus. 17(1):18-24.
Yussuf S, Hawken S, Ounpuu S, Dans T, Avezum A, Lanas F. 2004. Effect of potentially modifiable risk factors associated with myocardial infarction in 52 countries (the INTERHEART study): case-control study. Lancet. 64(1):937-952.
Weinberg J. 2006. Lipotoxicity. Kidney Int. 70(1):1560-1566.
Williams K, Tabas I. 1995. The response-to-retention hypothesis of early atherogenesis. Arterioscler. Thromb. Vasc. Biol. 15(1):551-61.