ESTUDIO DE LA RESPUESTA SÍSMICA Y DAÑO GLOBAL DE DOS EDIFICIOS IRREGULARES DE CONCRETO ARMADO
STUDY OF SEISMIC RESPONSE AND GLOBAL DAMAGE OF TWO IRREGULAR BUILDINGS OF REINFORCED CONCRETE
ESTUDIO DE LA RESPUESTA SÍSMICA Y DAÑO GLOBAL DE DOS EDIFICIOS IRREGULARES DE CONCRETO ARMADO
SABER. Revista Multidisciplinaria del Consejo de Investigación de la Universidad de Oriente, vol. 28, núm. 2, pp. 279-292, 2016
Universidad de Oriente
Recepción: 01 Octubre 2015
Aprobación: 01 Enero 2016
Resumen: Se evalúa el comportamiento sismo-resistente y el daño global de 2 (dos) edificios residenciales de 8 (ocho) niveles de plantas con entrantes (tipo L), diferenciándose uno del otro por una viga rigidizadora en la esquina entrante. Ambos tuvieron idéntica configuración estructural y estuvieron constituidos por un sistema aporticado de concreto armado y proyectados con requerimientos de diseño establecidos en la norma venezolana COVENIN 1753:06 y COVENIN 1756:01 La metodología aplicada permitió una valoración de los sistemas determinando su respuesta sismorresistente; utilizándose para ello un Análisis Estático No Lineal (AENL) y un análisis dinámico no lineal (Time-History Analysis) con el uso de modelos matemáticos o analíticos en 3D, e historias de acelerogramas reales y sintéticos haciendo compatibles el contenido frecuencial de sus espectros con el espectro elástico de diseño del emplazamiento prescrito en la Norma. COVENIN 1756:01. Se obtuvieron curvas de comportamiento que permitieron determinar variables mecánicas adimensionales como la ductilidad, reserva de resistencia y factor de reducción de respuesta inelástica. A través del “Método de Igual Desplazamiento” llamado N2, se determinó el punto de desempeño de los modelos estructurales. Así mismo, se determinaron derivas de cada nivel y momentos torsionales en la planta con mayor demanda. Se concluye que ambos modelos presentan un comportamiento adecuado desde el punto de vista del diseño elástico, mientras que en el análisis inelástico se observó una gran pérdida de rigidez en ambos edificios; en el edificio con viga rigidizadora se presentaron menores desplazamientos laterales.
Palabras clave: Vulnerabilidad sísmica, estructuras con entrantes, análisis no lineal, efectos torsionales.
Abstract: The seismic behavior and global damage were evaluated from 2 (two) residential buildings of 8 (eight) story levels with incoming (type L), differentiating from each other by a stiffening beam in the incoming corner. Both had identical structural configuration and were constituted by a reinforced concrete frame system and designed according to requirements of the Venezuelan norm COVENIN 1753:06 COVENIN 1756:01. The applied methodology allowed an assessment of the systems determining their seismic response; used for it a nonlinear static analysis (AENL) and a nonlinear dynamic analysis (Time-History Analysis) with the use of mathematical or analytical models in 3D, and stories from real and synthetic accelerograms making compatible frequency content of their spectra with the design elastic spectrum the site prescribed in COVENIN 1756 01. Were obtained the performance curves for determining mechanical dimensionless variables such as ductility, overstrength, inelastic response reduction factor and through the "method of equal displacement" named N2, it was determined the performance point the structural models. Also were determined drifts from each level and torsional moments at the plant with increased demand. Is concluded that both models have an adequate behavior from the point of view of elastic design, while in the inelastic analysis is observed a great loss of stiffness in both buildings; in the building with stiffening beam are presented minor lateral displacements.
Keywords: Seismic vulnerability, buildings with inbound, nonlinear analysis, torsional effects.
INTRODUCCIÓN
Las edificaciones residenciales en Venezuela tienen como característica en su configuración en planta la presencia de entrantes, fundamentalmente por la necesidad de espacios destinados a la circulación. Un ejemplo de ello se muestra en la Figura 1 para edificios existentes con irregularidad en planta de gran altura, ubicados en zonas de alta sismicidad, clasificados según la Norma COVENIN 1756:01 (COVENIN 2001) como irregulares en planta con características tipo b.4 de Diafragma Flexible y que la citada norma indica “cuando un número significativo de plantas tenga entrantes cuya menor longitud exceda el cuarenta por ciento (40%) de la dimensión del menor rectángulo que inscribe a la planta”, o también si “las plantas presentan un área total de aberturas internas que rebasan el veinte por ciento (20%) del área bruta de las plantas”. Recientemente se han publicado estudios como los de Fajfar et al. (2005) y Herrera et al. (2013), donde se ha demostrado que este tipo de irregularidad presente en edificios existentes puede producir demandas de capacidad superiores a las capacidades para la cual fueron diseñados bajo la acción de cargas sísmica.
Por otro lado, los daño debido a la concentración de esfuerzos en la intersección de las dos secciones del edificio o la esquina del entrante del edificio luego de una acción sísmica, indica la necesidad de metodologías fiables para la evaluación del comportamiento sísmico de estructuras existentes con configuraciones en planta como las indicadas en este trabajo, teniendo en cuenta la interacción compleja entre elementos estructurales y no estructurales, para obtener un análisis más preciso de la respuesta dinámica del edificio. La aplicación de diferentes técnicas de análisis estático no lineal han sido probadas en edificios con plantas irregulares, como se muestra en Fajfar et al. (2005), Pinho et al. (2008) y Bhatt (2011) entre otros. Estas técnicas son avances significativos, aunque presentan limitaciones debido a la complejidad de las edificaciones y los requerimientos computacionales. Intentando proporcionar soluciones prácticas y la aplicación de métodos avanzados, este trabajo empleó un método mecánico que involucra análisis no lineal en 2D y 3D con enfoque determinista, así como procedimientos de análisis con el fin de evaluar el comportamiento sismo-resistente y el daño sísmico en edificios de concreto armado de ocho niveles, con un entrante en planta, proyectado con normas venezolanas (COVENIN-MINDUR 2002-88, COVENIN 1756:01, COVENIN 1753:06) (COVENIN 1988, 2001, 2006) y sometidos a acciones sísmicas, considerando acelerogramas reales y sintéticos; que a través del uso de modelos analíticos en forma de L o con entrante en planta definidas como el modelo (EL) y con vigas diagonales rigidizadoras según el modelo (ELR), y el uso de herramientas computacionales como programas estructurales basados en elementos finitos se obtiene una aproximación de la respuesta sísmica real

MATERIALES Y MÉTODOS
Caso y descripción del estudio numérico
Para estudiar el comportamiento sismo-resistente y la vulnerabilidad estructural de los edificios de concreto armado de plantas con entrantes, se construyó un modelo analítico de una edificación definida para uso residencial (EL) con una estructura compuesta por una geometría en forma de (L) con esquinas entrantes, conformada por ocho niveles según la Figura 2a y 2b. El sistema resistente a cargas verticales adoptado en la estructura se encuentra definido por pórticos de concreto armado, con elementos principales de vigas y columnas según se muestran en la Tabla 2, contempla cinco vanos en dirección X, y por cinco vanos en la dirección Y, con una altura de entrepiso de 3,10 m. Con similar forma geométrica tanto en planta como en altura se generó un segundo modelo de edificio (ELR) pero agregando una viga diagonal rigidizadora en planta en cada nivel como elemento rigidizador representada en la Figura 2c. El sistema de losas consiste en losas nervadas unidireccionales de 25 cm de espesor total, lo que permite definir dos tipos de pórticos: los orientados según el eje X que cumplen funciones de carga, y los orientados según el eje Y que cumplen funciones de arriostramiento lateral.
Las cargas a considerar serán las correspondientes a los materiales presentados en la Tabla 1 que constituyen la estructura y elementos fijos no estructurales, determinados según la norma COVENIN–MINDUR 2002-88 (COVENIN–MINDUR 1988). Las cargas variables se definen según el uso previsto de la edificación, en este caso el uso es residencial.



Las propiedades modales, en términos de periodos y porcentajes de masas modales efectivas acumulativas (MX y MY) de los edificios estudiados se reportan en la Tabla 3 para el primer y segundo modo de vibración, mientras que la Figura 3 muestra los modelos EL y ELR para el primer modo, confirmando las características de torsión de los edificios; al no estar presente los modos de translación puros, indicando que la respuesta de los edificios no se puede evaluar razonablemente solo con el uso de modelos en 2D independientes para cada dirección ortogonal. Los 8 modos considerados en el análisis incorporan más del 90% de la masa participativa en las direcciones X, Y y Z.



En este estudio se consideraron tres registros del movimiento del terreno o acelerogramas las características se muestran en la Tabla 4, utilizando dos registros reales y uno sintético. Asimismo, se utilizaron combinaciones sísmicas direccionales para los acelerogramas empleados que se se muestran en la Tabla 5.
Los acelerogramas reales fueron suministrados por FUNVISIS, estos se registraron para el sismo de magnitud Mw = 6,4 ocurrido en la costa centro-occidental de Venezuela, a 51 km al este de Tucacas y a 46 km al noreste de Morón (estado Falcón, Venezuela) el 12 de septiembre de 2009. Mientras que el acelerograma sintético o artificial fue generado aproximando en promedio al espectro de diseño elástico que corresponden a un emplazamiento sobre suelo rígido (Suelo S2) para una aceleración pico correspondiente a una zona 5 (0,30 g) según COVENIN 1756:01 (COVENIN 2001) representados en la
Figura 3a y 4b, también se consideran las condiciones geotécnicas y geológicas de la zona, y un amortiguamiento del 5% para los espectros de respuesta.


En cuanto al análisis inelástico de los modelos analíticos de los edificios de concreto armado con planta irregular, se propone realizar dos tipos de análisis en el rango no lineal; como lo son el análisis con empuje incremental convencional (Pushover) y el análisis dinámico no lineal en tres dimensiones aplicando la acción sísmica indicada anteriormente. Estos análisis serán aplicados tanto en la estructura EL y ELR. Para ello se utilizó el programa de análisis inelástico Zeus NL (Elnashai et al. 2011), el cual permite modelar estructuras complejas con “n” cantidad de elementos finitos.
En el análisis con empuje incremental convencional (Pushover), se aplicó por pórticos en 2D, de manera de poder analizar cada pórtico por separado, y estimar la capacidad horizontal (Carga Lateral) de las estructuras y las respuestas máximas del comportamiento no lineal. En el proceso de simulación de cada uno de los pórticos se aplicó la técnica de elementos finitos de Papanikolaou y Elnashai (2005), discretizando las columnas y vigas, considerando en cada elemento dos zonas: zona confinada, correspondiente a zonas con confinamiento especial (próximos a los nudos viga-columna) y zonas no confinadas que corresponden a los tramos centrales de vigas y columnas, generados con el método de Mander et al. (1988), que permite determinar la resistencia a la compresión del concreto confinado debido al refuerzo transversal, mientras que para acero de refuerzo se toma en cuenta los parámetros del modelo bilineal elasto-plástico. Esto indica que se considera la disipación de la energía por medio de la plastificación de los elementos estructurales, lo que permite incluir la no linealidad constitutiva de los materiales. Así mismo, la estructura se somete a fuerzas gravitacionales y fuerzas laterales equivalentes al efecto del sismo, donde estas últimas se ajustan a un patrón de cargas distribuidas en forma de triángulo invertido. Al construir la curva de capacidad a partir del empuje incremental, es posible obtener la curva idealizada o representación bilineal que permite estimar la ductilidad (Ecuación 1), la reserva de resistencia (Ecuación 2) y el factor de reducción de respuesta inelástica (Ecuación 3) en cada pórtico.
(1)
(2)
(3)Dónde: μ = Ductilidad estructural, Δu = Desplazamiento último, Δy = Desplazamien-to correspondiente al punto de fluencia, Ω = Reserva de resistencia, Vult = Cortante basal último, Vp = Cortante basal de proyecto o elástico, R = Factor de reducción de respuesta. La representación bilineal fue determinada por el procedimiento de FEMA 273 (NEHRP 1997),y los parámetros de las ecuaciones (1), (2) y (3) son definidos en Mwafy y Elnashai (2002).
El análisis dinámico no lineal (Time-History Analysis), se utilizó para predecir la respuesta inelástica no lineal de una estructura sometida a una excitación sísmica de acuerdo con Vamvatsikos y Cornell (2002). Los modelos analíticos de los edificios EL y ELR fueron simulados en 3D utilizando para el modelo de las losas de entrepiso un diafragma flexible, diseñados con un factor de respuesta R = 6. A fin de contrastar ambos edificios; se definieron sus geometrías, calidad de materiales y secciones transversales. El modelaje de la acción sísmica se realizó a través de historias de acelerogramas aplicadas en los apoyos, y la combinación sísmica utilizada se indicó en la
Tabla 5. También, fue necesario definir las masas por niveles, las cuales se concentraron en los nodos pertenecientes a la junta de viga-columna de los pórticos de cada estructura. De este análisis se obtuvieron las derivas de entrepiso, los momentos de torsión y rotaciones en el primer nivel para cada estructura en 3D.
RESULTADOS Y DISCUSIÓN
Las capacidad horizontal de los pórticos de los modelos estructurales es obtenida del análisis Pushover, en las figuras 5 y 6 se muestran en términos de Fuerza cortante vs Desplazamiento global para las estructuras EL y ELR, en la dirección X y Y de los pórticos respectivamente. Se observó consecuentemente un aumento de la rigidez en los pórticos que poseen mayor números de vanos, no obstante, al inicio del estado de carga existen pérdidas significativas de la misma para todos los pórticos.
En la Tabla 6 se muestran los parámetros adimensionales obtenidos a partir de las curvas de capacidad estructural, observando que la reserva de resistencia se encuentra por encima de 1 (uno) para ambas estructuras, y en contraste existe baja diferencia porcentual entre las estructuras. En cuanto a la ductilidad se determinó que se encuentra entre valores de 3<µ<5, siendo estructuras con elevada ductilidad y que presentan un comportamiento dúctil. Mientras que el factor de reducción de respuesta R dado por el producto de la reserva de resistencia y la ductilidad (ecuación 3), sobreestimó el valor previsto en el proyecto inicial de R = 6 según COVENIN 1756:01 (COVENIN 2001).



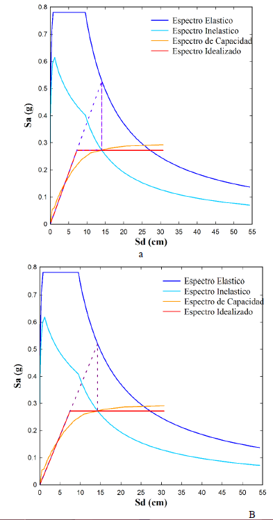
Por otro lado, el punto de capacidad por demanda (Desplazamiento espectral o Punto de desempeño) de los pórticos de las estructuras con irregularidad en planta, se determinó a través del método de igual desplazamiento o N2 propuesto por Fajfar (2000) (2000), y luego incorporado al Eurocódigo 8 ( ECN (European Committee of Normalization) 2004). En este método la curva de capacidad es transformada al formato Sa-Sd para obtener el espectro de capacidad del pórtico y al superponer el espectro de capacidad con el espectro de demanda llevado al mismo formato, es posible obtener el punto de desempeño de cada pórtico representado en la Figura 7. En la Tabla 6, se muestran los puntos de desempeño obtenidos para los edificios EL y ELR; observando que este mismo disminuye a medida que aumenta el número de líneas resistentes.

A través del análisis estático convencional (Pushover) y mediante la determinación del punto de desempeño, es posible obtener el daño global de la estructura, implementándose las curvas de fragilidad que consideran cuatros umbrales de daño que a su vez definen cinco posibles estados de daño: No daño, Leve, Moderado, Severo y Completo como se observa en la
Figura 7, las mismas representan la probabilidad que se alcance o exceda un estado de daño, como una función del parámetro que representa la intensidad de la acción sísmica y que en este trabajo dicho parámetro es el desplazamiento espectral (Sd) según lo expuesto en Herrera et al. (2013). Luego considerando los intervalos de variación de daño presentados en la metodología Risk-UE expuesto en Milutinovic y Trendafiloski (2003) y en Lantada et al. (2009),es posible determinar la probabilidad de daño representado mediante las matrices de daño de los edificios EL y ELR resultando en 46,09 % y 45,96 % respectivamente, como se muestra en la Tabla 7 y del cual se obtiene una valoración cualitativa de Daño Moderado para los Modelos El y ELR.


Del análisis dinámico en 3D, se obtienen significativas respuestas sísmicas, pues el sistema estructural está completamente vinculado. La Figura 9 muestra gráficamente las derivas de entrepiso expresado en términos porcentual y en función del tiempo de acuerdo a la acción sísmica; para ello se consideró el eje resistente o eje de columna (A-3) de las Estructuras EL y ELR por presentar mayor respuesta torsional. Se establecieron los Estado Límite de servicio para las derivas de entrepiso expresados en la Tabla 8 y basado en las recomendaciones de estudios como Elnashai y Di Sarno (2008).
Así mismo, los resultados de las derivas de entrepiso se expresan de forma resumida en la Tabla 9, para las cuatro combinaciones sísmicas de las estructuras estudiadas, a fin de obtener una estimación del Estado Límite en el que incursiona el eje resistente vertical. Se observó que el eje (A-3) de las estructuras converge hacia el Estado Límite de Daños Reparables en el caso de los sismos N-S Tucacas y el Sintético. Por otro lado, se obtuvo una disminución en las derivas de entrepiso para la estructura con la viga diagonal rigidizadora (ELR) en comparación con (EL).

A continuación se muestra en la Figura 10, la representación gráfica en planta de momentos torsores de los edificios EL y ELR para el sismo N-S Tucacas y la combinación sísmica 1 y 2, con la finalidad de visualizar la distribución de los momentos en planta baja de las estructuras. Se observó una mayor distribución de momentos las zonas adyacentes a las alas y en las esquinas entrantes para ambas estructuras estableciendo estos ejes como los de mayor demanda sísmica torsional. Por otro lado, se alcanzó una notable disminución de momentos para el edificio con la viga diagonal rigidizadora (ELR), en contraste con (EL).



CONCLUSIONES
Los modelos analíticos estudiados son estructuras con irregularidades en planta tipo Diafragma Flexible, su clasificación se encontró en el ítem de irregularidades en planta según la característica (b.4) de la Norma COVENIN 1756:01 (COVENIN 2001).
Los valores de ductilidad estructural y reserva de resistencia para cada uno de los pórticos, arrojaron resultados satisfactorios desde el punto de vista normativo para cada una de las estructuras, lo que permitirá una adecuada capacidad resistente, disipación de energía y un comportamiento por falla dúctil en ambas estructuras.
Las curvas de fragilidad permitieron obtener la matriz de probabilidad de daño, que según los resultados obtenidos para la estructura EL y ELR, se observó de forma global que ambas alcanzan altas probabilidades de excedencia en el estado de Daño Moderado, lo que implica que estas estructuras no colapsan para las acciones sísmicas empleadas.
Las derivas de entrepiso para el eje resistente vertical (A-3) de las estructuras, ubicado en un ala adyacente a la esquina entrante presentó mayor demanda torsional. Los resultados obtenidos de las derivas, mostraron que las estructuras incursionan de forma predominante en el Estado Límite de Daño Reparables para las acciones sísmicas impuestas. Además, se observó que los valores de derivas de la estructura con viga rigidizadora disminuyeron en comparación con la estructura propuesta originalmente, confirmándose que la viga rigidizadora aporta significativa rigidez a la estructura.
La respuesta sísmica en el primer nivel expresada en términos de momentos torsores y rotaciones de las estructuras, demostró que en la estructura (EL) los máximos momentos torsores en planta y rotaciones en los nodos se producen para el sismo N-S Tucacas y para la combinación sísmica 2; además se determinó que los ejes con mayor demanda torsional son los de las columnas que constituyen la zona de las alas adyacente a la esquina entrante para ambas estructuras. Con respecto a la estructura (ELR) se pudo observar que los valores de momentos torsores en planta y rotaciones en el primer nivel disminuyeron, en contraste con la estructura (EL).
Se concluye que la estructuras de concreto armado (ELR) con viga rigidizadora, constituye una opción recomendable en el diseño de estructuras de gran altura con entrantes en planta (Tipo L), puesto que la incorporación de éste elemento contribuye a mejorar la rigidez del sistema estructural, puesto que éstas estructuras presentan elevada ductilidad.
Referencias
Bhatt C. 2011. Seismic assessment of existing buildings using nonlinear static procedures (NSPS) -A New 3d Pushover Procedure. Universidad Técnica de Lisboa. Instituto Superior Técnico, Lisboa, Portugal [Dissertation Doctorate], pp. 68.
ECN (European Committee of Normalization). 2004. Eurocode 8—Design of structures for earthquake resistance. Part 1: general rules, seismic actions and rules for buildings. European standard EN 1998-1, European Committee for Standardization, Brussels.
COVENIN (Comisión Venezolana de Normas Industriales). 1988. Norma Venezolana COVENIN-MINDUR 2002-88, Criterios y acciones mínimas para el proyecto de edificaciones, Fondonorma, Caracas, Venezuela, pp. 44.
COVENIN (Comisión Venezolana de Normas Industriales). 2001. Norma Venezolana COVENIN 1756:2001, Edificaciones Sismo-resistentes, Requisitos y Comentarios, Fondonorma, Caracas, Venezuela, pp. 21.
COVENIN (Comisión Venezolana de Normas Industriales). 2006. Norma Venezolana COVENIN 1753:2006, Proyecto Construcción de Obras en Concreto Estructural, Fondonorma, Caracas, Venezuela, pp. 88.
Elnashai A, Di Sarno L. 2008. Fundamentals of Earthquake Enginering. Chichester, John Wiley and Sons, United Kingdom, pp. 224-248.
Elnashai A, Papanilolau V, Lee D. 2011. ZEUS-NL, A system for Inelastic Analysis of Structures, User Manual. Mid-America Earthquake Center report no. MAE, Illinois University, USA, pp. 15.
Fajfar P. 2000. Nonlinear analysis method for performance based seismic design. Earthq. Spectra. 16(3):573-591.
Fajfar P, Marusic D, Perus I. 2005. Torsional effects in the pushover based Seismic analysis of buildings. J. Earthqu. Eng. 9(6):831-854.
NEHRP (National Earthquake Hazards Reduction Program). 1997. NEHRP guidelines for the seismic rehabilitation of buildings (FEMA 273). Washington D.C, USA, pp. 56.
Herrera R, Ugel R, Vielma J, Alfaro A, Barbat A, Pujades L. 2013. Seismic response and torsional effects of RC structure with irregular plant and variations in diaphragms, designed with Venezuelan codes. Earthquake Resistant Engineering Structures IX, ERES 2013: WIT Trans. Built Environ. 132(1):85-96
Lantada N, Pujades L, Barbat A. 2009. Vulnerability index and capacity spectrum based methods for urban seismic RISK evaluation. A comparison. Nat. Hazards. 51(3):501-524.
Mander J, Priestley M, Park R. 1988. Theoretical stress-strain model for confined concrete. J. Struct. Eng. 114(8):1804-1826.
Milutinovic Z, Trendafiloski G. 2003. WP4: Vulnerability of current buildings. Risk-UE project Handbook. Risk-UE project report, pp. 111.
Mwafy A, Elnashai A. 2002. Calibration of Force Reduction Factors of RC Buildings. J. Earthqu. Eng. 6(2):239-273.
Papanikolaou V, Elnashai A. 2005. Evaluation of conventional and adaptive pushover analysis I: methodology. J. Earthqu. Eng. 9(6):923-941.
Pinho R, Bento R, Bhatt C. 2008. Assessing the 3d irregular spear building with nonlinear static procedures. 14WCEE: The 14 th World Conference on Earthquake Engineering, Beijing, China.
Vamvatsikos D, Cornell C. 2002. Incremental dynamic analysis. Earthq. Eng. Struct. Dyn. 31(3):491-514.