FRECUENCIAS NATURALES EN VIGAS ACTIVAMENTE TORSIONADAS USANDO ALAMBRES DE ALEACIÓN CON MEMORIA DE FORMA (SMA)
NATURAL FREQUENCIES IN ACTVELY TWISTED BEAMS USING SHAPE MEMORY ALLOY (SMA) WIRES
FRECUENCIAS NATURALES EN VIGAS ACTIVAMENTE TORSIONADAS USANDO ALAMBRES DE ALEACIÓN CON MEMORIA DE FORMA (SMA)
SABER. Revista Multidisciplinaria del Consejo de Investigación de la Universidad de Oriente, vol. 28, núm. 2, pp. 305-310, 2016
Universidad de Oriente
Recepción: 01 Noviembre 2015
Aprobación: 01 Enero 2016
Resumen: Cambios en la geometría y rigidez de un elemento estructural pueden ser obtenidos utilizando alambre de Aleación con Memoria de Forma (SMA, por sus siglas en inglés), previamente estirado y externamente conectado al elemento en diferentes configuraciones angulares en forma helicoidal. El material del alambre fue modelado suponiendo su transformación desde la fase martensítica pura hasta la fase austenítica pura. Los valores de frecuencias naturales antes y después de la activación del alambre SMA conectado a la viga se estimaron utilizando el método de los elementos finitos y estos se compararon con resultados obtenidos para un modelo desarrollado para vigas en voladizo pre-torsionadas y libres de esfuerzo. Los resultados obtenidos mostraron la influencia que tiene la torsión activa del elemento estructural en los valores de las frecuencias naturales calculadas.
Palabras clave: Vibraciones, vigas pre-torsionadas, materiales inteligentes, método de los elementos finitos.
Abstract: Changes in the geometry and stiffness of structural members can be obtained using Shape Memory Alloys (SMA) wires, previously stretched, and externally attached to the member in a helical pattern. The wire was modeled assuming transformation from a pure martensitic phase to a pure austenitic phase. Natural frequency values before and after the SMA wire activation attached to the beam were calculated using the finite element method and these values were compared with those obtained from a model developed for pre-twisted stress-free cantilever members. The results obtained showed the active torsion influence over the structural element in the values of natural frequencies calculated.
Keywords: Vibrations, pre-twisted beams, smart materials, finite element method.
Introducción
Las innumerables aplicaciones de miembros estructurales torsionados, tales como álabes de maquinarias rotativas, helicópteros, propelas y turbinas, entre otras, han atraído la atención de muchos diseñadores e investigadores. Estos elementos estructurales torsionados presentan un comportamiento dinámico complejo debido al acoplamiento de los modos de vibración en flexión, torsión y extensión. Las aleaciones con memoria de forma (SMA, por sus iniciales en inglés) también han recibido gran atención debido a su capacidad de trabajo como elementos en sistemas estructurales simples y complejos. SMA tienen propiedades mecánicas cuyo comportamiento es no lineal y pueden ser sometidos a grandes deformaciones, las cuales se pueden llevar a su forma original sin deformación, calentando el material a un rango de temperaturas de transformación. Una descripción unidimensional de las relaciones constitutivas termo-mecánicas para SMA fue presentada por (Liang y Rogers 1990), basando el modelo en las transformaciones de fase y considerando solamente materiales para los cuales la temperatura de inicio de transformación de la austenita es mayor que la temperatura de inicio de la transformación de martensita. Un modelo tridimensional de las relaciones constitutivas con el cual se estudiaron los SMA como amortiguadores pasivos para estructuras sísmicas fue presentado por Graesser y Cozzarelli (1994). Entre las aleaciones existentes que muestran el efecto de memoria de forma, la más utilizada es el NiTiNOL, la cual muestra una composición aproximada de 50% níquel y 50% titanio. Los alambres de este tipo de aleación han sido ampliamente usados para cambiar geometrías y rigideces de elementos estructurales, entre otras aplicaciones, debido a las grandes fuerzas que puede aplicar sobre la estructura como respuesta a un cambio de temperatura (Wang y Shahinpoor 1997, Maji y Negret 1998).
Para configuraciones estructurales con alambre SMA colocado externamente, Shu et al. (1997), estudiaron el posicionamiento y control de una viga larga y flexible utilizando ecuaciones de equilibrio no lineales para el problema de flexión con alambre internamente colocado, haciendo cero las fuerzas actuantes en la viga debidas a los alambres internamente colocados y utilizando una relación lineal entre el momento y la curvatura de la viga encontrando que deflexiones del extremo libre de la viga con valores de hasta un 20% de su longitud pueden resolverse usando una teoría lineal que modela los cambios de forma. Thomson et al. (1995), desarrollaron modelos teóricos y experimentales usando alambre SMA externamente conectado como amortiguador pasivo en una viga en voladizo con masa puntual en el extremo libre. Sus resultados mostraron un incremento en amortiguamiento estructural usando actuadores de alambre SMA. Ellos usaron la teoría de Euler-Bernoulli y asumieron un comportamiento perfectamente elástico o perfectamente plástico para el alambre SMA. Por otra parte, Balhaddad y Onipede (1998) y Onipede y Sterlacci (1999), estudiaron miembros pre-torsionados utilizando formulaciones tridimensionales de elasticidad por el método de los elementos finitos demostrando que existe acoplamiento entre los modos de flexión, extensión y torsión para materiales isotrópicos.
En este trabajo se investigó el comportamiento dinámico de vigas esbeltas en voladizo cuando son activamente torsionadas usando alambre SMA de níquel-titanio (NiTiNOL), externamente conectado en forma helicoidal para una configuración de 45 grados (π/8 radianes) de orientación con respecto al eje longitudinal de la viga. Onipede y Sterlacci (2000) demostraron que ángulos grandes de torsión pueden ser obtenidos activamente en vigas esbeltas usando este procedimiento y que se puede predecir y controlar el ángulo de torsión del miembro. Un modelo unidimensional para el alambre de material (SMA) se incluye en el análisis por elementos finitos y algunos experimentos fueron conducidos para demostrar y verificar la variación en los valores de frecuencias naturales.
MATERIALES Y MéTODOS
Considere la viga pre-torsionada mostrada en la Figura 1. Las coordenadas globales (x, y, z) están fijas en el espacio mientras que las coordenadas locales (x, h, z) rotan con la sección transversal a lo largo del eje coordenado z. El ángulo total de torsión, aL es el ángulo entre los ejes x y x, donde a es el ángulo de torsión por unidad de longitud y los ejes z y z son coincidentes.

Para la creación del modelo por elementos finitos se utilizan elementos isoparamétricos de 20 nodos, con tres grados de libertad de traslación por nodo para modelar la viga. Para modelar el alambre SMA se utilizan elementos tipo barra de dos nodos y tres grados de libertad de traslación por nodo. El material del alambre SMA se modeló como Multilineal Elástico y con base en los porcentajes volumétricos de las fases martensítica y austenítica presentes en la aleación. Algunas de las propiedades mecánicas del alambre SMA varían con la temperatura (Tabla 1), en la cual se presentan algunas de las propiedades consideradas en la ecuación 1. La Figura 2 muestra la configuración del alambre a 45 grados de orientación con respecto al eje longitudinal de la viga.


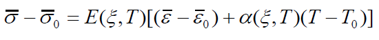
El modelo unidimensional de Liang y Rogers (1990) incluye el conjunto completo de variables para el alambre SMA se describe por la ecuación 1.
(1)Donde:

:Modulo de Elasticidad.

: Variación en deformación elástica.

: Coeficiente de Expansión Térmica.

: Variación de Temperatura.

: Deformación resultante de un cambio de fase isotérmico.
W: Tensor de transformación máxima para carga uni-axial isotérmica.
Con el modelo presentado en la ecuación 1 y asumiendo que la transformación en el alambre SMA ocurre desde una fase de martensita pura y alcanza una fase de austenita pura; y que además todas las transformaciones de fase se realizan cuando la temperatura se incrementa en el alambre, de tal forma que la influencia del tensor de transformación isotérmica en los esfuerzos finales son incluidos en el tensor termoelástico, se reduce la ecuación constitutiva para el material SMA a la forma simplificada presentada a continuación ecuación 2:
(2)RESULTADOS Y DISCUSIÓN
El cambio activo en la geometría de una viga recta o previamente torsionada, cambia su comportamiento dinámico. La Tabla 2 muestra los resultados obtenidos del modelo por elementos finitos para una viga de madera balsa en voladizo a la cual se le colocan externamente dos alambres de aleación con memoria de forma a 45 grados (π/8 radianes) de orientación con el eje longitudinal de la viga. Los resultados se muestran para antes y después de ser activados totalmente. Las etiquetas WB, SB y T se refieren a los modos de Flexión con respecto al eje débil, Flexión con respecto al eje fuerte y Torsión respectivamente y los números 1, 2, 3, señalan al modo que se produce: primero, segundo, tercero, etc.

La Tabla 3 presenta los resultados obtenidos con el programa realizado por Onipede y Sterlacci (1999) para vigas rectas y vigas pre-torsionadas al mismo ángulo (31.07 grados o 0,542 radianes) que se obtiene para una viga de madera balsa que tiene colocados externamente dos alambres SMA a 45 grados (π/8 radianes) de orientación completamente activados.
Para verificar los resultados obtenidos del modelo por elementos finitos se llevaron a cabo experimentos en los cuales se utilizó una viga de material isotrópico (vinil) en voladizo con las siguientes propiedades mecánicas: Modulo de Elasticidad E = 4,52 GPa. Densidad: 1114 kg/m3 y la masa del acelerómetro es de 0,03 kg. Para el material del alambre SMA se utilizaron las propiedades presentadas en la Tabla

La comparación de valores para las frecuencias naturales se realizó para la viga en dos instantes específicos de trabajo del alambre SMA, (1) alambre no activado y (2) alambre completamente activado. Cuando el alambre SMA no está activado, el ángulo de torsión es cero mientras que cuando el alambre está totalmente activado el ángulo de torsión inducido sobre el extremo libre es de 5.01 grados (0,087 radianes), como se muestra en las Tablas 4 y 5.


Los resultados mostrados en la Tabla 2 indican que los valores de las frecuencias naturales correspondientes a los modos de flexión débil disminuyen y los valores de las frecuencias naturales en los modos de flexión fuerte y torsión aumentan cuando la viga es torsionada activamente por el alambre SMA. Los valores mostrados en la Tabla 3 exponen el mismo comportamiento descrito anteriormente con la diferencia que los porcentajes de aumento y disminución de las frecuencias naturales son menores a los mostrados en la Tabla 2. En las tablas 4 y 5 se comparan los valores experimentales obtenidos para las frecuencias naturales de los modos de flexión débil con los resultados obtenidos utilizando el método de los elementos finitos. En ellos se observa que la diferencia es siempre menor al 10%. Estos resultados exhiben claramente la influencia que tiene la torsión activa del elemento en el comportamiento dinámico del elemento. Es necesario señalar que el modelo por elementos finitos incluye la masa puntual del acelerómetro utilizado para realizar las mediciones experimentales. El alambre de SMA usado en el presente trabajo fue de 0,015 pulgadas de diámetro y el rango de temperaturas de transición de 51 a 69ºC.
CONCLUSIONES
Se desarrolló un modelo por elementos finitos, el cual describe satisfactoriamente el comportamiento dinámico de vigas en voladizo activamente torsionadas usando alambre de aleación con memoria de forma y con el cual se calcularon las frecuencias naturales para estas vigas.
Se comprobó la influencia de la torsión activa de la viga en los valores de las frecuencias naturales del elemento al comparar estos resultados con los valores obtenidos para vigas pre-torsionadas a ángulos iguales y libres de esfuerzos.
Los resultados experimentales obtenidos concuerdan claramente con los resultados logrados por el método de los elementos finitos. En ellos se observa que la diferencia máxima es de 9,01 %, el cual se produce para el cuarto modo en flexión con respecto al eje débil y por lo tanto queda validado el modelo de elementos finitos desarrollado y el incremento en la rigidez del elemento estructural utilizando alambre con SMA.
AGRADECIMIENTO
El presente trabajo ha sido parcialmente financiado por el Consejo de Investigación de la Universidad de Oriente.
Referencias
Balhaddad A, Onipede Jr O. 1998. 3-D Free Vibration of Pretwisted Beams. AIAA J. 36(8):1524-1528.
Graesser E, Cozzarelli F. 1994. A proposed three-dimensional constitutive model for shape memory alloys. J. Intell. Mater. Syst. Struct. 5:78-89.
Liang C, Rogers C. (1990). One-dimensional thermomechanical constitutive relations for shape memory materials. J. Intell. Mater. Syst. Struct. 1(2):207-234.
Maji A, Negret I. 1998. Smart prestressing with shape memory alloy. J. Eng. Mech. ASCE. 1:1121-1128.
Onipede Jr O, Sterlacci G. 1999. Vibration of Pre-Twisted Beams With Various Boundary Conditions. Proceedings of the 13th ASCE Engineering Conference. Baltimore, USA.
Onipede Jr O, Sterlacci G. 2000. Large twisting of beams using shape memory alloys. smart structures and materials. Int. Soc. Opt. Eng. 3985:228-235.
Shu S, Lagoudas D, Hughes D, Wen J. 1997. Modeling of a flexible beam actuated by shape memory alloy wire. Smart Mater. Struct. 6:265-277.
Thomson P, Balas G, Leo P. 1995. The Use of Shape Memory Alloys for Passive Structural damping. Smart Mater. Struct. 4:36-42.
Wang G, Shahinpoor M. 1997. Design, Prototyping and Computer Simulations of a Novel Large Bending Actuator made with a Shape Memory Alloy Contractile Wire. Smart Mater. Struct. 6:214-221.