Recepción: 01 Enero 2016
Aprobación: 01 Julio 2016
Resumen: El síndrome de Rett (SR) es un trastorno del neurodesarrollo que afecta a todos los grupos étnicos. Se caracteriza por regresión psicomotora, comportamiento autista, desaceleración del crecimiento de la cabeza (microcefalia postnatal), convulsiones, pérdida de las funciones propositivas manuales y movimientos repetitivos estereotipados de las manos. La prevalencia mundial es de 1:10.000 a 1:15.000 para el sexo femenino y 1:100.000 para varones. Es causado, en 90 a 95 % de los casos, por mutaciones en el gen MECP2. En Venezuela solo se ha reportado el caso de una paciente de 5 años de edad con los criterios diagnósticos de Baden de 2001. El objetivo de esta investigación fue clasificar según el fenotipo clínico a los pacientes con diagnóstico de SR referidos al Instituto de Investigaciones Genéticas de la Universidad del Zulia. Se elaboró para cada paciente la historia clínica genética, la aplicación de los criterios diagnósticos propuestos por Neul et al. (2010) y la escala de severidad de Kerr. El 48% de los 24 pacientes evaluados presentaron SR atípico, resultado que concuerda con estudios realizados en Israel y Malasia. Los pacientes con SR atípico presentaron mayor severidad clínica global en comparación con pacientes con SR típico (p < 0,05). También se evidenció diferencia significativa en el trastorno del humor, siendo más severo en los pacientes con SR atípico. La severidad clínica incrementa en el grupo etario de 7-12 años en comparación con el grupo menor de 7 años.
Palabras clave: Fenotipo clínico, escala de severidad de Kerr, criterios diagnósticos.
Abstract: Rett syndrome (RS) is a neurodevelopmental disorder that affects all ethnic groups. It is characterized by psychomotor regression, autistic behavior, slowing growth of the head (postnatal microcephaly), seizures, loss of manual propositional functions and stereotyped repetitive hand movements. The worldwide prevalence is 1: 10,000 to 1: 15,000 for females and 1: 100,000 for males. It is caused, in 90 to 95% of cases, by mutations in the MECP2 gene. In Venezuela, just one case of classic RS has been reported in a 5 year-old girl who was diagnoses by Baden 2001 criteria. The objective of this study was to classify, according to the clinical phenotype, the patients diagnosed with RS who were referred to the Genetics Investigations Institute at the University of Zulia. The genetic medical history, diagnostic criteria proposed by Neul et al. (2010) and Kerr severity scale were recorded from each patient. A total of 24 patients were evaluated and 48% of them had atypical SR, a finding consistent with studies in Israel and Malaysia. Patients with atypical SR had higher overall clinical severity compared with patients with typical SR (p < 0.05). A significant difference was also evident in the mood disorder, being more severe in patients with atypical SR. The clinical severity increases in the age group of 7-12 years compared to the less than 7 years group.
Keywords: Clinical phenotype, Kerr severity scale, diagnostic criteria.
INTRODUCCIÓN
El síndrome de Rett (SR) es una enfermedad caracterizada por regresión psicomotora, comportamiento autista, desaceleración del crecimiento de la cabeza (microcefalia postnatal), convulsiones, pérdida de las funciones propositivas manuales y movimientos repetitivos estereotipados de las manos (Hagberg et al. 1983). Afecta a todos los grupos étnicos y es la segunda causa más común de retardo mental en el sexo femenino, después del síndrome de Down (Petazzi et al. 2013). El SR pertenecía al grupo de los Trastornos Generalizados del Desarrollo (TGD) o trastornos del espectro autista, sin embargo, se excluye de esta categoría en el DSM V (Diagnostic and Statistical Manual of Mental Disorders).
La prevalencia mundial del SR es de 1:10.000 a 1:15.000 para el sexo femenino y 1:100.000 para el masculino (Archer et al. 2006), aunque esta prevalencia puede variar según la población estudiada y la edad de los pacientes. En Estados Unidos: 0,51/10.000 entre 0 y 18 años; en Japón 0,22 - 0,50/10.000 en población femenina entre 6 a 14 años; en Noruega, 2,17/10.000 entre 3 a 19 años; en Australia 0,88/10.000 entre 5 a 18 años y 0,96/10.000 a los 12 años; en Toscana (Italia), de 2,1/1.000 entre 6 a 18 años. En Latinoamérica y en Venezuela en apariencia no hay reportes de la prevalencia del SR (Suzuki et al. 1989, Burd et al. 1991, Terai et al. 1995, Pini et al. 1996, Leonard et al. 1997, Skjeldal et al. 1997, Laurvick et al. 2006).
El 99% de los casos son esporádicos con recurrencia de 1% y, es causado, entre 90 a 95 %, por mutaciones en el gen que codifica para la proteína 2 de unión a islas CpG metiladas (MeCP2), localizado en el locus Xq28. Más de 1.000 mutaciones diferentes han sido verificadas en el gen MECP2 y se encuentran registradas en bases de datos (The Human Gene Mutation y RettBASE). Estas mutaciones están presentes en el 95 a 97% de los pacientes con SR típico y en el 50 a 70% de los atípicos (Sampieri et al. 2007, OMIM 2011, Zahorakova et al. 2016). Dentro de las mutaciones registradas, las más frecuentes son R106W, R133C, T158M, R168X, R255X, R270X, R294X, V288X y se manifiestan en 65% de los pacientes con SR. Las deleciones extensas que involucran uno o más exones, se presentan en 37,8% de los pacientes con SR típico y 7,5% de los atípicos; especialmente en aquellos pacientes en quienes previamente no se habían detectado mutaciones luego de secuenciación de los 4 exones del gen MECP2 (Archer et al. 2006, Calfa et al. 2011).
El modo de herencia del SR varía debido a la heterogeneidad genética, siendo dominante ligada al X cuando hay afectación del gen MECP2 o del CDKL5, mientras que los casos con mutaciones en el gen FOXG1 son esporádicos (Roche-Martínez et al. 2011, Christianto et al. 2016). Otro gen probablemente involucrado en la etiología del SR es el Netrin G, aunque algunos autores difieren de su relevancia clínica (Borg et al. 2005, Nectoux et al. 2007).
La mayoría de los autores están de acuerdo en considerar que el diagnóstico del SR es clínico, debido a su heterogeneidad fenotípica; por lo cual en el año 1988 se establecieron los criterios diagnósticos de consenso (RSDCWG 1988). Posteriormente, considerando que existía un amplio patrón de presentaciones clínicas asociadas a mutaciones en el MECP2, fueron revisados los criterios, en el año 2001, en el Congreso de la Asociación Europea de Neurología Pediátrica realizado en Baden, Alemania (Hagberg et al. 2002) y, más recientemente, en el año 2010, el consorcio de investigadores clínicos en SR (Rett Search), revisa y amplia nuevamente los criterios y sugieren la nomenclatura que debe utilizarse (Neul et al. 2010).
Neul et al. (2010) clasifican el SR en típico y atípico, este último puede presentarse con algunas de sus variantes congénitas, convulsiones tempranas o preservación del habla. Concluyen que para el diagnóstico de SR típico deben cumplirse: a. Un período de regresión, seguido de la recuperación o estabilización y b. Todos los criterios principales (1. Pérdida parcial completa de habilidades manuales intencionales adquiridas, 2. Pérdida parcial o total del lenguaje oral adquirido, 3. Alteraciones de la marcha: ausencia de la capacidad para la marcha o deterioro (dispraxia), 4. Movimientos estereotipados de las manos como torsión de la mano, exprimido, palmoteo, aplausos, lavado, frotado) y todos los criterios de exclusión).
Dentro de los criterios de exclusión para el SR típico se destaca que no debe coexistir ninguna otra causa de disfunción neurológica que justifique los síntomas como daño cerebral secundario a trauma perinatal o postnatal, enfermedad neurometabólica, infección, retardo del crecimiento intrauterino, organomegalias, enfermedades de depósito, microcefalia prenatal, atrofia óptica o retinopatía, evidencia de daño cerebral adquirido perinatalmente, evidencia de error neurometabólico, trastornos neurológicos adquiridos por infecciones o trauma craneal, cualquier otra causa de disfunción neurológica. En caso de estar presente otra causa neurológica debe catalogarse como SR atípico; esto basado en el hecho que hay reportes de pacientes con todos los criterios diagnósticos para SR típico y mutaciones en MECP2 que coexisten con síndrome de Down. El otro criterio de exclusión para la forma típica que exponen Neul et al. (2010), se refiere al desarrollo psicomotor francamente anormal en los primeros seis meses, haciendo la salvedad que dicho criterio no aplica a la forma atípica “variante congénita”.
El diagnóstico de SR atípico, según Neul et al. (2010), debe cumplir: a. Un período de regresión, seguido de la recuperación o estabilización, b. Al menos dos de los cuatro criterios principales y cinco de los 11 criterios de soporte (trastornos de la respiración, bruxismo durante la vigilia, alteración del patrón de sueño, alteración del tono muscular, alteraciones vasomotoras periféricas, escoliosis o cifosis, retardo del crecimiento, manos y pies pequeños y fríos, lenguaje, gritos o risas inapropiadas, disminución de la respuesta al dolor y contacto visual intenso).
Asimismo, hay investigaciones que intentan demostrar la relación entre las mutaciones y la mayor o menor severidad del síndrome, la presencia de signos específicos y los problemas clínicos asociados (Kerr et al. 2001, Monrós et al. 2001, Archer et al. 2006,Scala et al. 2007, Stachon et al. 2007, Bao et al. 2008, Neul et al. 2008, De Lima et al. 2009). Además se reporta que la tasa de detección de mutaciones MECP2 es mucho mayor (20% vs 72%) cuando los pacientes se diagnostican, siguiendo estrictamente los criterios establecidos (Gauthier et al. 2005).
En Venezuela, Rojas et al. (2002) reportaron una paciente de 5 años de edad quien a los 18 meses de edad fue valorada en el Servicio de Neuropediatría del Instituto Autónomo Hospital de Los Andes (Mérida) por iniciar a los 8 meses de vida hipotonía muscular, pérdida de la capacidad de voltearse y de sentarse, posteriormente el habla y, además, interrupción (desde los 11 meses de vida) del crecimiento del perímetro cefálico y retraso psicomotor. Al examen físico a los 4 años de edad presentó microcefalia, atenta, mirada expresiva, seguía objetos con la mirada y los agarra, con estereotipia bucomanual y movimientos lavatorios de manos pocos frecuentes, se sienta sola, con tendencia a la cifosis, hipotonía axial, extremidades miembros superiores con discreto aumento del tono muscular grado I según escala de Aswhort, y en miembros inferiores espasticidad grado II, reflejos osteotendinosos exaltados Babinsky (+) no clonus. Se para con ayuda, con aumento de la base de sustentación y ligera flexión de rodillas, camina con ayuda, mantiene la posición de pie con ayuda. Se reportó hipoacusia periférica leve en medición bilateral. Potenciales evocados visuales normales. Electroencefalograma y mapeo, focal irritativo fronto-centro temporal hemicerebral izquierda con propagación parietal contralateral. Tomografía axial normal. Resonancia magnética normal. El diagnóstico de SR se realizó aplicando los criterios de consenso aprobados en la reunión de Baden del 2001 a los 5 años de edad, sin embargo, no reportaron estudio molecular de la paciente.
La aplicación de criterios diagnósticos, permite clasificar los tipos clínicos de SR, establecer la relación entre el fenotipo y el genotipo orientando qué genes deben ser estudiados, aumentando así la tasa de detección de mutaciones, orienta al genetista y a la familia, hacia la evolución clínica de los pacientes. En tal sentido, el SR típico y la variante preservación del habla se ha asociado a mutaciones en el gen MECP2, la variante congénita a mutaciones en el gen FOXG1 y la variante convulsiones tempranas a mutaciones en el gen CDKL5 (Neul et al. 2010, Pantaleón y Juvier 2015). Actualmente existen numerosas publicaciones que proponen estrategias terapéuticas a nivel génico y farmacológico para mejorar la expresión de la proteína MeCP2 o las complicaciones asociadas al SR, de las cuales podrían beneficiarse los pacientes en quienes se haya demostrado la mutación en este gen. Sin embargo, la mayoría de estas herramientas terapéuticas solo han sido probadas en modelos animales, por lo que la disponibilidad inmediata de las mismas para ser aplicadas en pacientes con SR no es una realidad sino un desafío (Gadalla et al. 2011).
El objetivo de este estudio fue clasificar, según el fenotipo clínico, a los pacientes con diagnóstico de SR referidos al Instituto de Investigaciones Genéticas (IIG-LUZ) de la Facultad de Medicina de la Universidad del Zulia.
MATERIALES Y MÉTODOS
Se incluyeron en el estudio a todos los pacientes referidos con diagnóstico presuntivo de SR al IIG-LUZ, entre enero de 2008 y junio de 2012. En cada paciente se elaboró la historia clínica genética y se aplicó la escala de severidad de Kerr (Kerr et al. 2001) y criterios diagnósticos publicados por Neul et al. (2010), de acuerdo con estos, se clasificaron en SR típico, SR atípico (variantes preservación del lenguaje, convulsiones tempranas o congénita) o sus variantes.
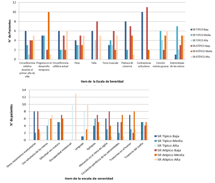
La escala evalúa 20 parámetros clínicos: circunferencia cefálica durante el primer año de vida, progreso en el desarrollo temprano, circunferencia cefálica actual, peso, talla, tono muscular, postura de la columna, contracturas articulares, función motora gruesa, estereotipias manuales, otros movimientos involuntarios, uso voluntario de las manos, dificultad oro-motora, discapacidad intelectual, lenguaje, epilepsia, alteración del ritmo de la respiración en vigilia, circulación periférica de las extremidades, trastornos en el humor y trastornos del sueño. La puntuación para cada parámetro de la escala según el grado de afectación puede ser de 2 puntos (alta), 1 punto (media) o 0 puntos (baja), por lo que los pacientes podrían obtener puntuación total entre 0 y 40 puntos.
Para el análisis estadístico se utilizó el software SPSS versión 20.0. La puntuación total de severidad clínica entre pacientes con SR típico y atípico se comparó utilizando la prueba no paramétrica para muestras independientes de Mann Whitney U, la comparación de cada uno de los parámetros de la escala de severidad entre pacientes SR típico y atípico se realizó mediante la prueba T pareada. Finalmente se aplicó ANOVA a la severidad clínica de acuerdo al grupo etario. Para todos los métodos se consideró significancia estadística p < 0,05.
RESULTADOS Y DISCUSIÓN
Se refirieron al IIG-LUZ un total de 30 pacientes de género femenino con diagnóstico presuntivo de SR de los cuales solo 24 cumplieron los criterios diagnósticos publicados por Neul et al. (2010). Posterior a la aplicación de los criterios diagnósticos se pudo establecer que 11 (42%) presentaban SR típico mientras que los 13 (48%) restantes cursaban con SR atípico. Se excluye a una paciente con SR típico del análisis clínico (relacionado con la edad y severidad) por no aportar información completa para la escala de Kerr (circunferencia cefálica durante el primer año de vida y progreso en el desarrollo temprano). La media de las edades de las 23 pacientes incluidas por el análisis clínico fue de 8,29 años (desviación típica 5,36 años). La edad promedio de las pacientes con SR típico fue 8,67 ± 6,45 años, mientras que en el SR atípico fue de 7,99 ± 4,6 años.
En la Tabla 1, todas las pacientes con SR típico cumplieron con los cuatro criterios principales mientras que en los atípicos cuatro pacientes (31%) cumplieron el criterio de pérdida del uso voluntario de las manos acompañado de deterioro de la comunicación: La totalidad pacientes con SR atípico (n = 13; 100%) presentaron ausencia del desarrollo de lenguaje o lenguaje muy rudimentario, 11 (85%) presentaron estereotipias manuales y 12 (92%) alteración de la marcha o no adquisición de la misma. Este resultado contrasta con un estudio en población británica donde la pérdida del uso de las manos estuvo presente en casi el 100% de las pacientes con SR evaluadas (Cianfaglione et al. 2015). Así también, Downs et al. (2010), en pacientes australianas, concluyeron que aproximadamente un tercio de las pacientes no presentó uso intencional de las manos. Dicha habilidad está relacionada con el tipo de mutación y la edad de las pacientes, estando más deteriorada a mayor edad y en presencia de la mutación p.R168X o aquellas que generen una proteína MeCP2 truncada tempranamente. En el presente estudio el uso voluntario de las manos estuvo comprometido en más de dos tercios de las pacientes, lo que conlleva a inferir que las pacientes venezolanas probablemente sean portadoras de mutaciones más severas.

(b) 11 pacientes con SR típico
(c) 13 pacientes con SR atípico
Con relación a los criterios secundarios (Tabla 1), los criterios observados con mayor frecuencia, tanto en pacientes con SR típico (82%) y atípico (92%), fueron bruxismo al estar despierto y lenguaje, risas o gritos inapropiados. Los criterios menos frecuentes en pacientes con SR típico (27%) fueron las alteraciones del patrón del sueño, escoliosis/cifosis y retardo del crecimiento, mientras que los trastornos de la respiración fue el criterio secundario menos frecuente en el grupo de SR atípico (38%).
Los resultados de puntuación total y por ítem de cada paciente evaluado con la escala de severidad clínica de Kerr et al. (2001) se reflejan en las figuras 1 y 2. Los pacientes con SR atípico presentaron una puntuación global de severidad superior al de los pacientes con SR típico con un promedio de 19 (± 5,66) y 15,8 (± 5,83) respectivamente. El resultado de la prueba de Mann Whitney U de los promedios de la severidad total fue significativamente mayor en el grupo con SR atípico (0,95) que en el grupo con SR típico (0,79) con p = 0,012 (p < 0,05). Con relación a las puntuaciones por cada parámetro de pacientes los pacientes con SR típico y atípico no se evidenciaron diferencias significativas entre ambos grupos, excepto para el parámetro de trastornos del humor el cual presentó mayor severidad en pacientes con SR atípico. Este hallazgo coincide con el estudio publicado por Cianfaglione et al. (2015) en el cual los trastornos del humor fue un problema frecuente presente en 77 de las 91 pacientes británicas evaluadas con SR.


La Epilepsia estuvo presente en el 50% de los pacientes estudiados, sin diferencias significativas entre pacientes típicos y atípicos. Cardoza et al. (2011) empleando la encuesta de Rett de las Islas Británicas (British Isles Rett Syndrome Survey) reportaron prevalencia de epilepsia de 67% en las pacientes británicas con SR, sin diferencias significativas entre el tipo de convulsión y el genotipo asociado.
En este trabajo, el 48% de las pacientes evaluadas tenían edades inferiores a 7 años, 22% entre 7 y 12 años, 22% entre 13 y 17 años y solo dos pacientes (8%) con edad superior a 17 años (Tabla 2).

De los 24 pacientes incluidos en el estudio, 11 se consideraron con SR típico y 13 con SR atípico, por lo que existe una mayor incidencia de SR atípicos en comparación con SR típico, lo cual concuerda con estudios realizados en Israel y Malasia (Yaron et al. 2002, Fong et al. 2009). Pero contrasta con la tendencia mundial a un predominio de los casos típicos sobre los atípicos descritos en los estudios de Monrós et al. (2001) en población española, Charman et al. (2005) en el Reino Unido, Bao et al. (2008) en China y Santander et al. (2010) en Chile. El estudio realizado en Israel consistió en el análisis molecular del gen MECP2 en 37 pacientes con sospecha de SR, de ellos solo 17 fueron clasificados como SR clásico (cabe destacar que este estudio se publicó en el 2002 previo a la propuesta de los criterios diagnósticos por Neul et al. (2010) empleados en esta investigación). Así también, el estudio de mutaciones en el gen MECP2 realizado en Malasia en 20 pacientes con SR, clasifican a 13 de ellos como variantes del SR.
En 23 pacientes no se evidenciaron antecedentes de otros familiares con SR, esto concuerda con la literatura que describe que el 90-95% de los casos son esporádicos (OMIM 2011). En Israel de 37 pacientes estudiados, solo uno presentó antecedente familiar de un hermano con encefalopatía neonatal severa. Los autores concluyeron que la causa era el mosaicismo gonadal en vista que los hermanos eran portadores de la misma mutación pero ésta se encontraba ausente en la madre con un fenotipo normal. Otras causas de recurrencia que se consideraron fueron la inactivación preferencial del cromosoma X materno mutado o una mutación con cambio de sentido o que genere proteína truncada tardíamente la cual se manifiesta con un fenotipo severo en el sexo masculino pero no en pacientes femenino con inactivación balanceada del cromosoma X (Yaron et al. 2002).
En nuestro estudio, la paciente #39 presentó un hermano con diagnóstico de síndrome de West [epilepsia, espasmos infantiles, trazado eléctrico hipsarritmico y retraso o detención del desarrollo psicomotor (Arce et al. 2011)], fenotipo que pudiese confundirse con la clínica exhibida por pacientes masculinos con SR, en el cual pudiese sospecharse de recurrencia de mutaciones del MECP2 heredada de uno de los progenitores. En este caso se trataría de una madre portadora obligada con una inactivación preferencial del cromosoma X mutado y fenotipo normal, pero capaz de heredar a su descendencia el cromosoma X mutado, tal y como se ha descrito en casos de recurrencia (Ravn et al. 2011), también pudiese tratarse de mosaicismo germinal en alguno de los padres. Otra hipótesis podría ser una mutación en el Gen FOXG1, con herencia autosómica recesiva, que se ha asociado tanto a epilepsia como a SR (Ariani et al. 2008, Dominique et al. 2009, Roche-Martínez et al. 2011, Pontrelli et al. 2014).
Así también, Saitsu et al. (2014) reportaron el caso de una niña de 5 años de edad con características similares al SR cuyo desarrollo inicial fue normal hasta que se desarrolló una serie de espasmos a los 5 meses de edad. El electroencefalograma a los 7 meses mostró un patrón de hipsarritmico, lo que llevó a un diagnóstico de síndrome de West, movimientos estereotipados de las manos desde los 8 meses de edad y posteriormente (a los 4 años y 9 meses de edad) se observaron rasgos autistas (como déficit en la comunicación, la hiperactividad y la excitabilidad). La secuenciación del exoma del paciente y sus padres reveló una mutación de novo en el gen TBL1XR; por lo anterior ¿podría la paciente #39 del presente estudio y su hermano, presentar una mutación en el gen TBL1XR?
Con relación a la severidad clínica global, por grupo etario, se evidenció incremento en la severidad clínica global (escala de Kerr) en los grupos 7 a 12 años y de 13 a 17 años en comparación con las pacientes en el rango de edad inferior a los 7 años. Este hallazgo coincide con lo publicado por Colvin et al. (2003) en la población australiana. También se ha descrito mayor incidencia de epilepsia entre los 7 y 12 años y menos edad (Cardoza et al. 2011), esta observación también pudo hacerse en este trabajo; sin embargo, la diferencia en severidad entre los distintos grupos etarios no fue significativa.
CONCLUSIONES
Existe una mayor incidencia de pacientes con SR atípicos en comparación con SR típico, lo cual concuerda con estudios realizados en Israel y Malasia, pero contrasta con la tendencia mundial a un predominio de los casos típicos sobre los atípicos. Ninguno de los pacientes con SR presentaron antecedentes de otros miembros de la familia afectados clínicamente por SR. Los criterios diagnóstico más característicos de los pacientes con SR estudiados fueron la ausencia del desarrollo del lenguaje/lenguaje muy rudimentario, bruxismo y lenguaje/gritos/risas inapropiadas. Los pacientes con SR atípico presentaron mayor severidad clínica global que los pacientes con SR típico siendo esta diferencia significativa. Dentro de los parámteros que conforman la escala de Kerr se evidenció diferencia significativa en el trastorno del humor, siendo más severo en los pacientes con SR atípico. Existe incremento en la severidad clínica en el grupo etario de 7 a 12 años y de 13 a17 años en comparación con el grupo de menores de 7 años de edad.
Agradecimientos
Al Dr. Joaquín Peña, MgSc. Luis E. Miranda, Lic. Doris Acosta, Dr. José A. Chacín, Dr. Marcos Gudiño, Dra. Maribel Alfonzo y Dr. Ángel Brito por su valiosa colaboración en la realización de este trabajo de investigación.
Referencias
Arce E, Rufo M, Muñoz B, Blanco B, Madruga M, Ruiz L, Candau M. 2011. West syndrome: aetiology, therapeutic options, clinical course and prognostic factors. Rev. Neurol. 52(2):81-89.
Archer HL, Whatley SD, Evans JC, Ravine D, Huppke P, Kerr A, Bunyan D, Kerr B, Sweeney E, Davies SJ, Reardon W, Horn J, MacDermot KD, Smith RA, Magee A, Donaldson A, Crow Y, Hermon G, Miedzybrodzka Z, Cooper DN, Lazarou L, Butler R, Sampson J, Pilz DT, Laccone F, Clarke AJ. 2006. Gross rearrangements of the MECP2 gene are found in both classical and atypical Rett syndrome patients. J. Med. Genet. 43(5):451-456.
Ariani F, Hayek G, Rondinella D, Artuso R, Mencarelli MA, Spanhol A, Pollazzon M, Buoni S, Spiga O, Ricciardi S, Meloni I, Longo I, Mari F, Broccoli V, Zappella M, Renieri A. 2008. FOXG1 is responsible for the congenital variant of Rett syndrome. Am. J. Hum. Genet. 83(1):89-93.
Bao X, Jiang S, Song F, Pan H, Li M, Wu XR. 2008. X chromosome inactivation in Rett Syndrome and its correlations with MECP2 mutations and phenotype. J. Child. Neurol. 23(1):22-25.
Borg I, Freude K, Kübart S, Hoffmann K, Menzel C, Laccone F, Firth H, Ferguson-Smith MA, Tommerup N, Ropers HH, Sargan D, Kalscheuer VM. 2005. Disruption of Netrin G1 by a balanced chromosome translocation in a girl with Rett syndrome. Eur. J. Hum. Genet. 13(8):921-7.
Burd L, Vesley B, Martsolf JT, Kerbeshian J. 1991. Prevalence study of Rett syndrome in North Dakota children. Am. J. Med. Genet. 38(4):565-568.
Calfa G, Percy AK, Pozzo L. 2011. Experimental models of Rett syndrome based on MECP2 dysfunction. Exp. Biol. Med. (Maywood). 236(1):3-19.
Cardoza B, Clarke A, Wilcox J, Gibbon F, Smith PE, Archer H, Hryniewiecka A, Kerr M. 2011. Epilepsy in Rett syndrome: association between phenotype and genotype, and implications for practice. Seizure. 20(8):646-649.
Charman T, Neilson TC, Mash V, Archer H, Gardiner MT, Knudsen GP, McDonnell A, Perry J, Whatley SD, Bunyan DJ, Ravn K, Mount RH, Hastings RP, Hulten M, Orstavik KH, Reilly S, Cass H, Clarke A, Kerr AM, Bailey ME. 2005. Dimensional phenotypic analysis and functional categorisation of mutations reveal novel genotype-phenotype associations in Rett syndrome. Eur. J. Hum. Genet. 13(10):1121-1130.
Christianto A, Katayama S, Kameshita I, Inazu T. 2016. A novel CDKL5 mutation in a Japanese patient with atypical Rett syndrome. Clin. Chim. Acta. 459(2):132-136.
Cianfaglione R, Clarke A, Kerr M, Hastings R, Oliver C, Moss J, Heald M, Felce D. 2015. A national survey of Rett syndrome: behavioural characteristics. J. Neurodev. Disord. 7(1):11.
Colvin L, Fyfe S, Leonard S, Schiavello T, Ellaway C, De Klerk N, Christodoulou J, Msall M, Leonard H. 2003. Describing the phenotype in Rett syndrome using a population database. Arch. Dis. Child. 88(1):38-43.
De Lima FT, Brunoni D, Schwartzman JS, Pozzi MC, Kok F, Juliano Y, Pereira V. 2009. Genotype-phenotype correlation in Brazillian Rett Syndrome Patients. Arq. Neuropsiquiatr. 67(3-A):577-584
Dominique F, Ramaseamy V, Andersen J. 2009. Atypical Rett Syndrome with selective FOXG1 deletion detected by comparative genomic hibridadation: case report and review of literature. Eur. J. Hum. Gentet. 17(12):1577-1581.
Downs J, Bebbington A, Jacoby P, Williams AM, Ghosh S, Kaufmann WE, Leonard H. 2010. Level of purposeful hand function as a marker of clinical severity in Rett syndrome. Dev. Med. Child. Neurol. 52(9):817-823.
Fong C, Thong M, Sam K, Mohamed N, Ariffin R. 2009. MECP2 mutations in Malasyan Rett syndrome patients. Singapore Med. J. 50(5):529-533.
Gadalla KK, Bailey ME, Cobb SR. 2011. MeCP2 and Rett syndrome: reversibility and potential avenues for therapy. Biochem J. 439(1):1-14.
Gauthier J, De Amorim G, Mnatzakanian GN, Saunders C, Vincent JB, Toupin S, Kauffman D, St-Onge J, Laurent S, Macleod PM, Minassian BA, Rouleau GA. 2005. Clinical Stringency Greatly Improves Mutation Detection in Rett Syndrome. Can. J. Neurol. Sci. 32(3):321-326.
Hagberg B, Aicardi J, Dias K, Ramos O. 1983. A progressive syndrome of autism, dementia, ataxia, and loss of purposeful hand use in girls: Rett's syndrome: report of 35 cases. Ann. Neurol. 14(4):471-479.
Hagberg B, Hanefeld F, Percy A, Skjeldal O. 2002. An update on clinically applicable diagnostic criteria in Rett syndrome. Comments to Rett Syndrome Clinical Criteria Consensus European Journal of Human Genetics Satellite to European Paediatric Neurology Society Meeting, Baden Baden, Germany, 11 September 2001. Eur. J. Paediatr. Neurol. 6(5):293-297.
Kerr AM, Nomura Y, Armstrong D, Anvret M, Belichenko PV, Budden S, Cass H, Christodoulou J, Clarke A, Ellaway C, D´Esposito M, Francke U, Hulten M, Julu P, Leonard H, Naidu S, Schanen C, Webb T, Engerstrom IW, Yamashita Y, Segawa M. 2001. Guidelines for reporting clinical features in cases with MECP2 mutations. Brain Dev. 23(4):208-211.
Laurvick CL, de Klerk N, Bower C, Christodoulou J, Ravine D, Ellaway C, Williamson S, Leonard H. 2006. Rett syndrome in Australia: a review of the epidemiology. J. Pediatr. 148(3):347-352.
Leonard H, Bower C, English D. 1997.The prevalence and incidence of Rett syndrome in Australia. Eur. Child Adolesc. Psychiatry. 6(Suppl 1):8-10.
Monrós E, Armstrong J, Aibar E, Poo P, Canós I, Pineda M. 2001. Rett syndrome in Spain: mutation analysis and clinical correlations. Brain Dev. 23(Suppl 1):S251-253.
Nectoux J, Girard B, Bahi N, Prieur F, Afenjar A, Rosas H, Chelly J, Bienvenu T. 2007. Netrin G1 mutations are an uncommon cause of atypical Rett syndrome with or without epilepsy. Pediatr. Neurol. 37(4):270-274.
Neul JL, Fang P, Barrish J, Lane J, Caeg EB, Smith EO, Zoghbi H, Percy A, Glaze DG. 2008. Specific mutations in Methyl-CpG-Binding Protein 2 confer different severity in Rett syndrome. Neurology. 70(16):1313-1321.
Neul JL, Kaufmann WE, Glaze DG, Christodoulou J, Clarke AJ, Bahi-Buisson N, Leonard H, Bailey ME, Schanen NC, Zappella M, Renieri A, Huppke P, Percy AK; RettSearch Consortium. 2010. Rett syndrome: revised diagnostic criteria and nomenclature. Ann. Neurol. 68(6):944-950.
Pantaleón G, Juvier T. 2015. Molecular basis of Rett syndrome: A current look. Rev. Chil. Pediatr. 86(3):142-151.
Petazzi P, Sandoval J, Szczesna K, Jorge OC, Roa L, Sayols S, Gomez A, Huertas D, Esteller M. 2013. Dysregulation of the long non-coding RNA transcriptome in a Rett syndrome mouse model. RNA Biol. 10(7):1197-1203.
Pini G, Milan M, Zappella M. 1996. Rett syndrome in northern Tuscany (Italy): family tree studies. Clin. Genet. 50(6):486-490.
Pontrelli G, Cappelletti S, Claps D, Sirleto P, Ciocca L, Petrocchi S, Terracciano A, Serino D, Fusco L, Vigevano F, Specchio N. 2014. Epilepsy in patients with duplications of chromosome 14 harboring FOXG1. Pediatr. Neurol. 50(5):530-535.
OMIM (Online Mendelian Inheritance in Man). 2011. Johns Hopkins University, Baltimore, MD. MIM Number: {300005}: {2011}: World Wide Web URL: http://omim.org/
Ravn K, Roende G, Duno M, Fuglsang K, Eiklid KL, Tümer Z, Nielsen JB, Skjeldal OH. 2011. Two new Rett syndrome families and review ofthe literature: expanding the knowledge of MECP2 frameshift mutations. Orphanet J. Rare Dis. 30(6):58.
Roche-Martínez A, Gerotina E, Armstrong-Moron J, Sans-Capdevila O, Pineda M. 2011. FOXG1, a new gene responsible for the congenital form of Rett syndrome. Rev. Neurol. 52(10):597-602.
Rojas D, Omaña A, Salinas P. 2002. Un caso de síndrome de Rett. Médula. 9(1-4):37-40.
Saitsu H, Tohyama J, Walsh T, Kato M, Kobayashi Y, Lee M, Tsurusaki Y, Miyake N, Goto Y, Nishino I, Ohtake A, King MC, Matsumoto N. 2014. A girl with West syndrome and autistic features harboring a de novo TBL1XR1 mutation. J. Hum. Genet. 59(10):581-583.
Sampieri K, Meloni I, Scala E, Ariani F, Caselli R, Pescucci C, Longo I, Artuso R, Bruttini M, Mencarelli MA, Speciale C, Causarano V, Hayek G, Zappella M, Renieri A, Mari F. 2007. Italian Rett database and biobank. Hum. Mutat. 28(24):328.
Santander P, Troncoso M, Barrios A, Troncoso A, Parra P, Sieber A. 2010. Síndrome de Rett. Variabilidad fenotípica asociada a mutaciones en el gen MECP2. [Internet] Actas del XIV Congreso Latinoamericano de Genética (ALAG). VIII Congreso de la Asociación Latinoamericana de Mutagénesis, Carcinogénesis y Teratogénesis Ambiental (ALAMCTA) XLIII Congreso de la Sociedad de Genética de Chile (SOCHIGEN); XXXIX Congreso de la Sociedad Argentina de Genética (SAG); 2010 Oct 01-05; Chile, Viña del Mar. Disponible en línea en: http://www.sag.org.ar/resumenesalag2010chile.pdf. (Acceso 09.04.2011).
Scala E, Longo I, Ottimo F, Speciale C, Sampieri K, Katzaki E, Artuso R, Mencarelli MA, D'Ambrogio T, Vonella G, Zappella M, Hayek G, Battaglia A, Mari F, Renieri A, Ariani F. 2007. MECP2 deletions and genotype-phenotype correlation in Rett syndrome. Am. J. Med. Genet A. 143A(23):2775-2784.
Skjeldal OH, von Tetzchner S, Aspelund F, Herder GA, Lofterłd B. 1997. Rett syndrome: geographic variation in prevalence in Norway. Brain Dev. 19(4):258-261.
Suzuki H, Hirayama Y, Arima M. 1989. Prevalence of Rett syndrome in Tokyo. No To Hattatsu. 21(5):430-433.
Stachon A, Assumpção F, Raskin S. 2007. Rett syndrome: clinical and molecular characterization of two Brazilian patients. Arq. Neuro-Psiquiatr. 65(1):36-40.
Terai K, Munesue T, Hiratani M, Jiang ZY, Jibiki I, Yamaguchi N. 1995. The prevalence of Rett syndrome in Fukui prefecture. Brain Dev. 17(2):153-154.
RSDCWG (Rett Syndrome Diagnostic Criteria Work Group). 1988. Diagnostic criteria for Rett syndrome. Ann. Neurol. 23(4):425-428.
Yaron Y, Ben Zeev B, Shomrat R, Bercovich D, Naiman T, Orr A. 2002. MECP2 mutations in Israel: implications for molecular analysis, genetic counseling, and prenatal diagnosis in Rett syndrome. Hum. Mutat. 20(4):323-324.
Zahorakova D, Lelkova P, Gregor V, Magner M, Zeman J, Martasek P. 2016. MECP2 mutations in Czech patients with Rett syndrome and Rett like phenotypes: novel mutations, genotype-phenotype correlations and validation of high-resolution melting analysis for mutation scanning. J. Hum. Genet. doi:10.1038/jhg.2016.19.